Numerical Modeling of Land Surface Temperature over Complex Geologic Terrains: A Remote Sensing Approach
Abstract
1. Introduction
2. Model Description
2.1. Solar Radiation (Insolation)
2.2. Longwave Radiations
2.3. Sensible Heat Flux
2.4. Ground Heat Flux
2.5. Latent Heat Flux
2.6. Numerical Solution of the Heat Flow Equation
2.7. Soil Water Flow Model
2.8. Iterative Retrieval of and
2.9. Initial Conditions
3. Parameter Estimation
3.1. Meteorological Parameters
3.2. Remote Sensing Parameters
3.2.1. Broadband Surface Albedo
3.2.2. Broadband Surface Emissivity
3.2.3. Soil Moisture Content
3.2.4. Soil and Rock Thermal Properties
3.2.5. Surface Roughness Length
4. Numerical Experimentation
4.1. Study Sites
4.2. Model Setup
4.3. Model Evaluation
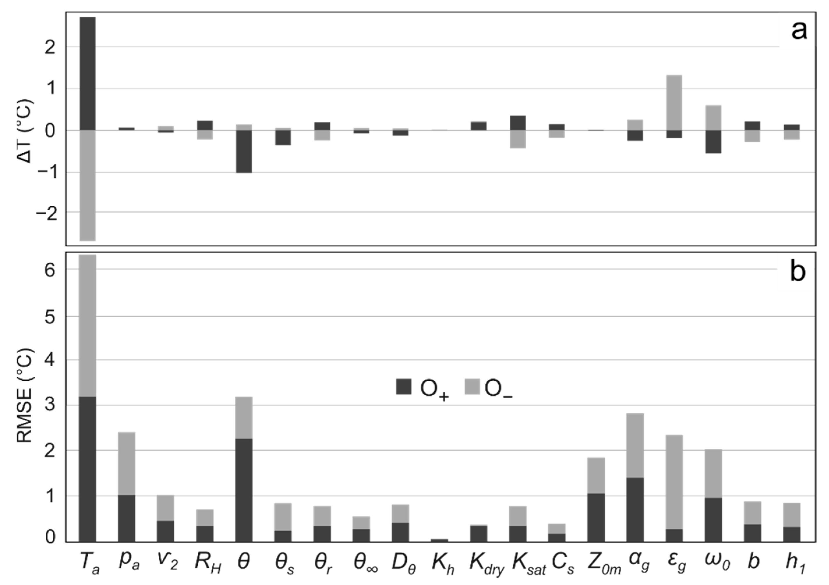
4.4. Sensitivity Analysis
5. Results
6. Discussion
7. Summary and Conclusions
Author Contributions
Funding
Acknowledgments
Conflicts of Interest
Abbreviations
| Symbol | Definition (Unit) | Symbol | Definition (Unit) |
| Temperature () | Von Karman’s constant (-) | ||
| Ground surface temperature () | Atmospheric stability parameter (-) | ||
| Air temperature () | Monin–Obukhou stability length () | ||
| Time (s) | Gravitational acceleration () | ||
| Depth () | Friction velocity () | ||
| Topographic height () | Constant in atmospheric stability calculation (-) | ||
| Shortwave solar radiation () | Soil thermal conductivity () | ||
| Downwelling longwave radiation () | Saturated thermal heat conductivity () | ||
| Upwelling longwave radiation () | Dry thermal heat conductivity () | ||
| Upwelling irradiance from the adjacent slopes | Thermal conductivity of water () | ||
| Re-emitted to nearby terrain () | Thermal diffusivity () | ||
| Sensible heat flux () | Volumetric heat capacity of solids () | ||
| Latent heat flux () | Soil moisture content () | ||
| Surface heat flux () | Saturated vol. soil water content () | ||
| Direct beam solar irradiance () | Residual vol. soil water content () | ||
| Diffuse irradiance from the sky () | Long-term soil moisture content () | ||
| Adjacent terrain-reflected irradiance | Relative humidity (%) | ||
| Solar constant () | Soil water diffusivity () | ||
| Average irradiance () | Vapor diffusivity within the soil () | ||
| Broadband albedo (-) | Molecular diffusion of water vapor in the air | ||
| Broadband emissivity (-) | Soil flow equation constant () | ||
| Atmospheric emissivity (-) | Actual evaporation flux () | ||
| Stephan–Boltzmann constant () | Net flux () | ||
| Solar azimuth angle (rad) | The latent heat () | ||
| Solar zenith angle (rad) | Coefficient of evaporation (-) | ||
| Solar elevation angle (rad) | Saturation vapor pressure curve slope () | ||
| Local solar illumination angle (rad) | Psychrometric coefficient () | ||
| Topographic slope (rad) | Water vapor/dry air molecular weight (-) | ||
| Topographic aspect (rad) | Actual atmospheric pressure () | ||
| Sky view factor (-) | Actual saturation vapor pressure () | ||
| Terrain configuration factor (-) | Saturation vapor pressure () | ||
| Atmosphere transmittance (-) | Aerodynamic conductance () | ||
| Air density () | Surface conductance () | ||
| Dry bulk density of the soil/rock () | Surface conductance parameter (-) | ||
| Specific heat of dry air () | Phase angle of the time () | ||
| Air mass (-) | Thickness of the topsoil layer () | ||
| Potential surface temperature () | A constant to correct wind profile (-) | ||
| Potential air temperature () | Empirical param. to correct albedo (-) | ||
| Virtual potential temperature () | Empirical parameter (-) | ||
| Aerodynamic resistance () | Cosine of the solar zenith angle (-) | ||
| Stability correction factor (-) | |||
| Stability correction factor (-) | |||
| Surface roughness length—heat () | |||
| Surface roughness length—momentum () | |||
| Mean wind speed at screening level () |
Appendix A. Formulations of Beam Transmittance
| Parameter | Formulation |
|---|---|
| Beam transmittance of the atmosphere | |
| Diffuse transmittance of the atmosphere | |
| Water vapor absorption | |
| Ozone absorption | |
| Permanent gas absorption | |
| Rayleigh scattering | |
| Aerosol extinction | |
| – | |
| – | |
| air mass | |
| pressure-corrected air mass | |
| The thickness of the ozone layer (cm) | |
| Day of the year | |
| Precipitable water (cm) | |
| Ångström turbidity coefficient | |
| Correction factor for seasonal deviation |
Appendix B. Computation of Stability Correction Factors
Appendix C. Variables of the Warrick Equation
Appendix D. Soil Pedotransfer Function
Appendix E. Zenith Angle Formulation
Appendix F. Surface Conductance
References
- Lawrence, D.M.; Oleson, K.W.; Flanner, M.G.; Thornton, P.E.; Swenson, S.C.; Lawrence, P.J.; Zeng, X.; Yang, Z.-L.; Levis, S.; Sakaguchi, K.; et al. Parameterization improvements and functional and structural advances in Version 4 of the Community Land Model. J. Adv. Model. Earth Syst. 2011, 3, M03001. [Google Scholar]
- Liang, S.; Wang, J. Land-Surface Temperature and Thermal Infrared Emissivity. In Advanced Remote Sensing, 2nd ed.; Liang, S., Li, X., Wang, J., Eds.; Academic Press: Boston, MA, USA, 2012; pp. 235–271. [Google Scholar]
- Hulley, G.C.; Ghent, D.; Göttsche, F.M.; Guillevic, P.C.; Mildrexler, D.J.; Coll, C. Land Surface Temperature. In Taking the Temperature of the Earth; Hulley, G.C., Ghent, D., Eds.; Elsevier: Amsterdam, The Netherlands, 2019; pp. 57–127. [Google Scholar]
- Becker, M.W. Potential for Satellite Remote Sensing of Ground Water. Groundwater 2006, 44, 306–318. [Google Scholar] [CrossRef] [PubMed]
- Watson, K. Geologic applications of thermal infrared images. Proc. IEEE 1975, 63, 128–137. [Google Scholar] [CrossRef]
- Majumdar, T.J.; Mitra, D.S.; Nasipuri, P. Study of surface temperature anomalies over the oil fields in the Cambay Basin, India using Aster nighttime data. Int. J. Geoinform. 2010, 6, 55–64. [Google Scholar]
- Coolbaugh, M.; Kratt, C.; Fallacaro, A.; Calvin, W.M.; Taranik, J.V. Detection of geothermal anomalies using Advanced Spaceborne Thermal Emission and Reflection Radiometer (ASTER) thermal infrared images at Bradys Hot Springs, Nevada, USA. Remote Sens. Environ. 2007, 106, 350–359. [Google Scholar] [CrossRef]
- Vaughan, R.G.; Keszthelyi, L.P.; Lowenstern, J.B.; Jaworowski, C.; Heasler, H. Use of ASTER and MODIS thermal infrared data to quantify heat flow and hydrothermal change at Yellowstone National Park. J. Volcanol. Geotherm. Res. 2012, 233–234, 72–89. [Google Scholar] [CrossRef]
- Murphy, S.W.; Filho, C.R.d.S.; Oppenheimer, C. Monitoring volcanic thermal anomalies from space: Size matters. J. Volcanol. Geotherm. Res. 2011, 203, 48–61. [Google Scholar] [CrossRef]
- van der Meer, F.; Hecker, C.; van Ruitenbeek, F.; van der Werff, H.; de Wijkerslooth, C.; Wechsler, C. Geologic remote sensing for geothermal exploration: A review. Int. J. Appl. Earth Obs. Geoinf. 2014, 33, 255–269. [Google Scholar]
- Hewson, R.; Mshiu, E.; Hecker, C.; van der Werff, H.; van Ruitenbeek, F.; Alkema, D.; van der Meer, F. The application of day and night time ASTER satellite imagery for geothermal and mineral mapping in East Africa. Int. J. Appl. Earth Obs. Geoinf. 2020, 85, 101991. [Google Scholar] [CrossRef]
- Neale, C.M.U.; Jaworowski, C.; Heasler, H.; Sivarajan, S.; Masih, A. Hydrothermal monitoring in Yellowstone National Park using airborne thermal infrared remote sensing. Remote Sens. Environ. 2016, 184, 628–644. [Google Scholar] [CrossRef]
- Taranik, J.V.; Coolbaugh, M.; Vaughan, R.G.; Bedell, R.; Crósta, A.P.; Grunsky, E. An Overview of Thermal Infrared Remote Sensing with Applications to Geothermal and Mineral Exploration in the Great Basin, Western United States. In Remote Sensing and Spectral Geology; Society of Economic Geologists: Littleton, CO, USA, 2009; Volume 16. [Google Scholar]
- Elachi, C.; van Zyl, J. Introduction to the Physics and Techniques of Remote Sensing; John Wiley & Sons, Inc.: Hoboken, NJ, USA, 2006; p. 552. [Google Scholar]
- Coolbaugh, M.; Taranik, J.V.; Brant, A. Mapping of surface geothermal anomalies at Steamboat Springs, NV. using NASA Thermal Infrared Multispectral Scanner (TIMS) and Advanced Visible and Infrared Imaging Spectrometer (AVIRIS) data. In Proceedings of the 14th Thematic Conference, Applied Geologic Remote Sensing, Las Vegas, NV, USA, 6–8 November 2000; pp. 623–663. [Google Scholar]
- Allis, R.G.; Nash, G.D.; Johnson, S.D. Conversion of Thermal Infrared Surveys to Heat Flow: Comparisons from Dixie Valley, Nevada, and Wairakei, New Zealand; The Geothermal Resources Council: Davis, CA, USA, 1999; pp. 499–504. [Google Scholar]
- Ulusoy, İ.; Labazuy, P.; Aydar, E. STcorr: An IDL code for image based normalization of lapse rate and illumination effects on nighttime TIR imagery. Comput. Geosci. 2012, 43, 63–72. [Google Scholar] [CrossRef]
- Fu, P.; Rich, P.M. Design and implementation of the Solar Analyst: An ArcView extension for modeling solar radiation at landscape scales. In Proceedings of the 19th Annual ESRI User Conference, San Diego, CA, USA, 26–30 July 1999. [Google Scholar]
- Gutiérrez, F.J.; Lemus, M.; Parada, M.A.; Benavente, O.M.; Aguilera, F.A. Contribution of ground surface altitude difference to thermal anomaly detection using satellite images: Application to volcanic/geothermal complexes in the Andes of Central Chile. J. Volcanol. Geotherm. Res. 2012, 237, 69–80. [Google Scholar] [CrossRef]
- Malbéteau, Y.; Merlin, O.; Gascoin, S.; Gastellu, J.P.; Mattar, C.; Olivera-Guerra, L.; Khabba, S.; Jarlan, L. Normalizing land surface temperature data for elevation and illumination effects in mountainous areas: A case study using ASTER data over a steep-sided valley in Morocco. Remote Sens. Environ. 2017, 189, 25–39. [Google Scholar]
- Liang, S.; Wang, K.; Zhang, X.; Wild, M. Review on Estimation of Land Surface Radiation and Energy Budgets from Ground Measurement, Remote Sensing and Model Simulations. IEEE J. Sel. Top. Appl. Earth Obs. Remote Sens. 2010, 3, 225–240. [Google Scholar] [CrossRef]
- Su, Z. The Surface Energy Balance System (SEBS) for estimation of turbulent heat fluxes. Hydrol. Earth Syst. Sci. 2002, 6, 85–100. [Google Scholar] [CrossRef]
- Allen, R.G.; Tasumi, M.; Trezza, R. Satellite-Based Energy Balance for Mapping Evapotranspiration with Internalized Calibration (METRIC)—Model. J. Irrig. Drain. Eng. 2007, 133, 380–394. [Google Scholar] [CrossRef]
- Bastiaanssen, W.G.M.; Menenti, M.; Feddes, R.A.; Holtslag, A.A.M. A remote sensing surface energy balance algorithm for land (SEBAL). 1. Formulation. J. Hydrol. 1998, 212, 198–212. [Google Scholar] [CrossRef]
- Merlin, O.; Chehbouni, A.G.; Kerr, Y.H.; Njoku, E.G.; Entekhabi, D. A combined modeling and multispectral/multiresolution remote sensing approach for disaggregation of surface soil moisture: Application to SMOS configuration. IEEE Trans. Geosci. Remote Sens. 2005, 43, 2036–2050. [Google Scholar] [CrossRef]
- Zheng, D.; van der Velde, R.; Su, Z.; Wang, X.; Wen, J.; Booij, M.J.; Hoekstra, A.Y.; Chen, Y. Augmentations to the Noah Model Physics for Application to the Yellow River Source Area. Part II: Turbulent Heat Fluxes and Soil Heat Transport. J. Hydrometeorol. 2015, 16, 2677–2694. [Google Scholar] [CrossRef]
- Kahle, A.B. A simple thermal model of the Earth’s surface for geologic mapping by remote sensing. J. Geophys. Res. 1977, 82, 1673–1680. [Google Scholar] [CrossRef]
- Dozier, J.; Outcalt, S.I. An Approach toward Energy Balance Simulation over Rugged Terrain. Geogr. Anal. 1979, 11, 65–85. [Google Scholar] [CrossRef]
- Ghausi, S.A.; Tian, Y.; Zehe, E.; Kleidon, A. Radiative controls by clouds and thermodynamics shape surface temperatures and turbulent fluxes over land. Proc. Natl. Acad. Sci. USA 2023, 120, e2220400120. [Google Scholar] [CrossRef]
- Jia, A.; Ma, H.; Liang, S.; Wang, D. Cloudy-sky land surface temperature from VIIRS and MODIS satellite data using a surface energy balance-based method. Remote Sens. Environ. 2021, 263, 112566. [Google Scholar] [CrossRef]
- Jia, A.; Liang, S.; Wang, D. Generating a 2-km, all-sky, hourly land surface temperature product from Advanced Baseline Imager data. Remote Sens. Environ. 2022, 278, 113105. [Google Scholar] [CrossRef]
- Romaguera, M.; Vaughan, R.G.; Ettema, J.; Izquierdo-Verdiguier, E.; Hecker, C.A.; van der Meer, F.D. Detecting geothermal anomalies and evaluating LST geothermal component by combining thermal remote sensing time series and land surface model data. Remote Sens. Environ. 2018, 204, 534–552. [Google Scholar] [CrossRef]
- Xia, Z. Simulation of the Bare Soil Surface Energy Balance at the Tongyu Reference Site in Semiarid Area of North China. Atmos. Ocean. Sci. Lett. 2010, 3, 330–335. [Google Scholar] [CrossRef][Green Version]
- Saito, H.; Šimůnek, J. Effects of meteorological models on the solution of the surface energy balance and soil temperature variations in bare soils. J. Hydrol. 2009, 373, 545–561. [Google Scholar] [CrossRef]
- Chen, X.; Su, Z.; Ma, Y.; Yang, K.; Wang, B. Estimation of surface energy fluxes under complex terrain of Mt. Qomolangma over the Tibetan Plateau. Hydrol. Earth Syst. Sci. 2013, 17, 1607–1618. [Google Scholar] [CrossRef]
- Dozier, J.; Frew, J. Rapid calculation of terrain parameters for radiation modeling from digital elevation data. IEEE Trans. Geosci. Remote Sens. 1990, 28, 963–969. [Google Scholar] [CrossRef]
- Zakšek, K.; Oštir, K.; Kokalj, Ž. Sky-View Factor as a Relief Visualization Technique. Remote Sens. 2011, 3, 398–415. [Google Scholar] [CrossRef]
- Yang, K.; Huang, G.W.; Tamai, N. A hybrid model for estimating global solar radiation. Sol. Energy 2001, 70, 13–22. [Google Scholar] [CrossRef]
- Yang, K.; Koike, T.; Ye, B. Improving estimation of hourly, daily, and monthly solar radiation by importing global data sets. Agric. For. Meteorol. 2006, 137, 43–55. [Google Scholar] [CrossRef]
- Behar, O.; Sbarbaro, D.; Marzo, A.; Gonzalez, M.T.; Vidal, E.F.; Moran, L. Critical analysis and performance comparison of thirty-eight (38) clear-sky direct irradiance models under the climate of Chilean Atacama Desert. Renew. Energy 2020, 153, 49–60. [Google Scholar] [CrossRef]
- Prata, A.J. A new long-wave formula for estimating downward clear-sky radiation at the surface. Q. J. R. Meteorol. Soc. 1996, 122, 1127–1151. [Google Scholar] [CrossRef]
- Alados, I.; Foyo-Moreno, I.; Alados-Arboledas, L. Estimation of downwelling longwave irradiance under all-sky conditions. Int. J. Climatol. 2012, 32, 781–793. [Google Scholar] [CrossRef]
- Yang, K.; Koike, T.; Ishikawa, H.; Kim, J.; Li, X.; Liu, H.; Liu, S.; Ma, Y.; Wang, J. Turbulent Flux Transfer over Bare-Soil Surfaces: Characteristics and Parameterization. J. Appl. Meteorol. Climatol. 2008, 47, 276–290. [Google Scholar] [CrossRef]
- Allen, R.G.; Pereira, L.S.; Raes, D.; Smith, M. Crop Evapotranspiration: Guidelines for Computing Crop Water Requirements. FAO 1998, 300, D05109. [Google Scholar]
- McArthur, A.J. The Penman form equations and the value of Delta: A small difference of opinion or a matter of fact? Agric. For. Meteorol. 1992, 57, 305–308. [Google Scholar] [CrossRef]
- Peng, L.; Zeng, Z.; Wei, Z.; Chen, A.; Wood, E.F.; Sheffield, J. Determinants of the ratio of actual to potential evapotranspiration. Glob. Chang. Biol. 2019, 25, 1326–1343. [Google Scholar] [CrossRef]
- Sakaguchi, K.; Zeng, X. Effects of soil wetness, plant litter, and under-canopy atmospheric stability on ground evaporation in the Community Land Model (CLM3.5). J. Geophys. Res. Atmos. 2009, 114, D01107. [Google Scholar] [CrossRef]
- Zheng, D.; van der Velde, R.; Su, Z.; Wang, X.; Wen, J.; Booij, M.J.; Hoekstra, A.Y.; Chen, Y. Augmentations to the Noah Model Physics for Application to the Yellow River Source Area. Part I: Soil Water Flow. J. Hydrometeorol. 2015, 16, 2659–2676. [Google Scholar] [CrossRef]
- Warrick, A.W. Analytical solutions to the one-dimensional linearized moisture flow equation for arbitrary input. Soil Sci. 1975, 120, 79–84. [Google Scholar] [CrossRef]
- Sadeghi, M.; Tuller, M.; Warrick, A.W.; Babaeian, E.; Parajuli, K.; Gohardoust, M.R.; Jones, S.B. An analytical model for estimation of land surface net water flux from near-surface soil moisture observations. J. Hydrol. 2019, 570, 26–37. [Google Scholar] [CrossRef]
- Choudhury, B.J.; Reginato, R.J.; Idso, S.B. An analysis of infrared temperature observations over wheat and calculation of latent heat flux. Agric. For. Meteorol. 1986, 37, 75–88. [Google Scholar] [CrossRef]
- Holmes, T.R.H.; Owe, M.; De Jeu, R.A.M.; Kooi, H. Estimating the soil temperature profile from a single depth observation: A simple empirical heatflow solution. Water Resour. Res. 2008, 44, W02412. [Google Scholar] [CrossRef]
- Blocken, B.; van der Hout, A.; Dekker, J.; Weiler, O. CFD simulation of wind flow over natural complex terrain: Case study with validation by field measurements for Ria de Ferrol, Galicia, Spain. J. Wind Eng. Ind. Aerodyn. 2015, 147, 43–57. [Google Scholar]
- Liang, S. Narrowband to broadband conversions of land surface albedo I: Algorithms. Remote Sens. Environ. 2001, 76, 213–238. [Google Scholar] [CrossRef]
- Richter, R. Correction of satellite imagery over mountainous terrain. Appl. Opt. 1998, 37, 4004–4015. [Google Scholar] [CrossRef]
- Alkhaier, F.; Flerchinger, G.N.; Su, Z. Shallow groundwater effect on land surface temperature and surface energy balance under bare soil conditions: Modeling and description. Hydrol. Earth Syst. Sci. 2012, 16, 1817–1831. [Google Scholar] [CrossRef]
- Dickinson, R.E. Land Surface Processes and Climate—Surface Albedos and Energy Balance. In Advances in Geophysics, Saltzman, B., Ed.; Elsevier: Amsterdam, The Netherlands, 1983; Volume 25, pp. 305–353. [Google Scholar]
- Wang, Z.; Barlage, M.; Zeng, X.; Dickinson, R.E.; Schaaf, C.B. The solar zenith angle dependence of desert albedo. Geophys. Res. Lett. 2005, 32, L05403. [Google Scholar] [CrossRef]
- Cheng, J.; Liang, S.; Yao, Y.; Zhang, X. Estimating the Optimal Broadband Emissivity Spectral Range for Calculating Surface Longwave Net Radiation. IEEE Geosci. Remote Sens. Lett. 2013, 10, 401–405. [Google Scholar] [CrossRef]
- Mira, M.; Valor, E.; Caselles, V.; Rubio, E.; Coll, C.; Galve, J.M.; Niclos, R.; Sanchez, J.M.; Boluda, R. Soil Moisture Effect on Thermal Infrared (8–13-μm) Emissivity. IEEE Trans. Geosci. Remote Sens. 2010, 48, 2251–2260. [Google Scholar] [CrossRef]
- Sadeghi, M.; Babaeian, E.; Tuller, M.; Jones, S.B. The optical trapezoid model: A novel approach to remote sensing of soil moisture applied to Sentinel-2 and Landsat-8 observations. Remote Sens. Environ. 2017, 198, 52–68. [Google Scholar] [CrossRef]
- Johansen, O. Thermal Conductivity of Soils; University of Trondheim: Torgarden, Norway, 1975. [Google Scholar]
- Côté, J.; Konrad, J.-M. A generalized thermal conductivity model for soils and construction materials. Can. Geotech. J. 2005, 42, 443–458. [Google Scholar] [CrossRef]
- Kurata, K.; Yamaguchi, Y. Integration and Visualization of Mineralogical and Topographical Information Derived from ASTER and DEM Data. Remote Sens. 2019, 11, 162. [Google Scholar] [CrossRef]
- Flerchinger, G.N.; Xaio, W.; Marks, D.; Sauer, T.J.; Yu, Q. Comparison of algorithms for incoming atmospheric long-wave radiation. Water Resour. Res. 2009, 45, W03423. [Google Scholar] [CrossRef]
- Aït-Mesbah, S.; Dufresne, J.L.; Cheruy, F.; Hourdin, F. The role of thermal inertia in the representation of mean and diurnal range of surface temperature in semiarid and arid regions. Geophys. Res. Lett. 2015, 42, 7572–7580. [Google Scholar] [CrossRef]
- Dai, Y.; Wei, N.; Yuan, H.; Zhang, S.; Shangguan, W.; Liu, S.; Lu, X.; Xin, Y. Evaluation of Soil Thermal Conductivity Schemes for Use in Land Surface Modeling. J. Adv. Model. Earth Syst. 2019, 11, 3454–3473. [Google Scholar] [CrossRef]
- Navarro-Serrano, F.; López-Moreno, J.I.; Azorin-Molina, C.; Alonso-González, E.; Tomás-Burguera, M.; Sanmiguel-Vallelado, A.; Revuelto, J.; Vicente-Serrano, S.M. Estimation of near-surface air temperature lapse rates over continental Spain and its mountain areas. Int. J. Climatol. 2018, 38, 3233–3249. [Google Scholar] [CrossRef]
- Minder, J.R.; Mote, P.W.; Lundquist, J.D. Surface temperature lapse rates over complex terrain: Lessons from the Cascade Mountains. J. Geophys. Res. Atmos. 2010, 115, W03423. [Google Scholar] [CrossRef]
- Marticorena, B.; Kardous, M.; Bergametti, G.; Callot, Y.; Chazette, P.; Khatteli, H.; Le Hégarat-Mascle, S.; Maillé, M.; Rajot, J.-L.; Vidal-Madjar, D.; et al. Surface and aerodynamic roughness in arid and semiarid areas and their relation to radar backscatter coefficient. J. Geophys. Res. Earth Surf. 2006, 111, F03017. [Google Scholar] [CrossRef]
- Hulley, G.C.; Hughes, C.G.; Hook, S.J. Quantifying uncertainties in land surface temperature and emissivity retrievals from ASTER and MODIS thermal infrared data. J. Geophys. Res. Atmos. 2012, 117, D23113. [Google Scholar]
- Chlaily, S.; Mura, M.D.; Chanussot, J.; Jutten, C.; Gamba, P.; Marinoni, A. Capacity and Limits of Multimodal Remote Sensing: Theoretical Aspects and Automatic Information Theory-Based Image Selection. IEEE Trans. Geosci. Remote Sens. 2021, 59, 5598–5618. [Google Scholar] [CrossRef]
- Paulson, C.A. The Mathematical Representation of Wind Speed and Temperature Profiles in the Unstable Atmospheric Surface Layer. J. Appl. Meteorol. 1970, 9, 857–861. [Google Scholar] [CrossRef]
- Saito, H.; Šimůnek, J.; Mohanty, B.P. Numerical Analysis of Coupled Water, Vapor, and Heat Transport in the Vadose Zone. Vadose Zone J. 2006, 5, 784–800. [Google Scholar] [CrossRef]









| Model Parameter | Value |
|---|---|
| Surface albedo | 0.28 |
| Surface emissivity | 0.964 |
| Soil porosity | 0.415 |
| Sand (%) | 58 |
| Clay (%) | 35 |
| Saturation hydraulic conductivity (m2s−1) | 7.11 10−6 |
| Aerodynamic roughness length (m) | 0.006 |
| Rock Type | ) | ) | ) |
|---|---|---|---|
| Quartz | 7.7 | 2650 | - |
| Sandstone | 3.0 | 2800 | 2.8 |
| Limestone | 2.5 | 2700 | 2.4 |
| Shale | 2.0 | 2650 | 2.5 |
| Alluvium | 2.0 | 2700 | 2.0 |
Disclaimer/Publisher’s Note: The statements, opinions and data contained in all publications are solely those of the individual author(s) and contributor(s) and not of MDPI and/or the editor(s). MDPI and/or the editor(s) disclaim responsibility for any injury to people or property resulting from any ideas, methods, instructions or products referred to in the content. |
© 2023 by the authors. Licensee MDPI, Basel, Switzerland. This article is an open access article distributed under the terms and conditions of the Creative Commons Attribution (CC BY) license (https://creativecommons.org/licenses/by/4.0/).
Share and Cite
Asadzadeh, S.; Souza Filho, C.R. Numerical Modeling of Land Surface Temperature over Complex Geologic Terrains: A Remote Sensing Approach. Remote Sens. 2023, 15, 4877. https://doi.org/10.3390/rs15194877
Asadzadeh S, Souza Filho CR. Numerical Modeling of Land Surface Temperature over Complex Geologic Terrains: A Remote Sensing Approach. Remote Sensing. 2023; 15(19):4877. https://doi.org/10.3390/rs15194877
Chicago/Turabian StyleAsadzadeh, Saeid, and Carlos Roberto Souza Filho. 2023. "Numerical Modeling of Land Surface Temperature over Complex Geologic Terrains: A Remote Sensing Approach" Remote Sensing 15, no. 19: 4877. https://doi.org/10.3390/rs15194877
APA StyleAsadzadeh, S., & Souza Filho, C. R. (2023). Numerical Modeling of Land Surface Temperature over Complex Geologic Terrains: A Remote Sensing Approach. Remote Sensing, 15(19), 4877. https://doi.org/10.3390/rs15194877

