Next Article in Journal
Remote Sensing Monitoring of Drought in Southwest China Using Random Forest and eXtreme Gradient Boosting Methods
Previous Article in Journal
Correction for the Attenuation Due to Atmospheric Gas and Stratiform Clouds in Triple-Frequency Radar Observations of the Microphysical Properties of Snowfall
 
 
Font Type:
Arial Georgia Verdana
Font Size:
Aa Aa Aa
Line Spacing:
Column Width:
Background:
Article

Assessing the Recent Trends of Land Degradation and Desertification in Romania Using Remote Sensing Indicators

by
Irina Ontel
1,*,
Sorin Cheval
2,3,4,
Anisoara Irimescu
1,
George Boldeanu
5,
Vlad-Alexandru Amihaesei
3,6,
Denis Mihailescu
1,
Argentina Nertan
1,
Claudiu-Valeriu Angearu
1 and
Vasile Craciunescu
1
1
Remote Sensing and Satellite Meteorology Laboratory, National Meteorological Administration, 97 Sos. București-Ploiești, 013686 Bucharest, Romania
2
National Institute for Research and Development in Forestry “Marin Dracea”, 077190 Bucharest, Romania
3
Department of Climatology, National Meteorological Administration, 97 Sos. București-Ploiești, 01686 Bucharest, Romania
4
Faculty of Geography, Doctoral School of Geography, Babeș-Bolyai University, 5-7 Clinicilor Street, 400347 Cluj-Napoca, Romania
5
Faculty of Geography, Doctoral School “Simion Mehedinți”, University of Bucharest, Blvd. Nicolae Bălcescu, no.1, 030018 Bucharest, Romania
6
Department of Geography, Faculty of Geography and Geology, Alexandru Ioan Cuza University of Iași, 20A Carol I Blvd., 700505 Iasi, Romania
*
Author to whom correspondence should be addressed.
Remote Sens. 2023, 15(19), 4842; https://doi.org/10.3390/rs15194842
Submission received: 1 September 2023 / Revised: 29 September 2023 / Accepted: 3 October 2023 / Published: 6 October 2023

Abstract

Land degradation (LD) and desertification (DS) are a sensitive global issue including southern and south-eastern Europe, which is severely affected by climate change. In this study, a state-of-the-art approach for assessing the intensity of LD and DS processes using remote-sensing-derived indicators within a GIS environment was proposed. The analysis was carried out using the Principal Component Analysis based on integrating the significant trends of relevant biophysical parameters in Romania. The methodology was tested and validated at the national level in Romania. In total, 7.76% of the area was identified as LD and 60.8% of the total area tended to improve, and 31.44% was stable. Most of the regions with LD overlapped with the dryland areas, while improvement areas were identified outside of the drylands. In forested areas from high altitudes, a tendency to improve the condition of vegetation was observed, and most of the surfaces being protected were natural areas that have benefited from proper management. All these results can be used to adapt management practices to avoid, reduce, or restore the LD. The proposed model was based on globally available remote sensing datasets, with a high frequency of data acquisition and collection history that allows for the statistical analyses of changes on a global scale.

1. Introduction

Many countries aim to prevent land degradation (LD) and desertification (DS), and promote sustainable land use due to the critical issues they cause, affecting human well-being, biodiversity, and the economy. The most common causes of LD include deforestation [1], agricultural practices, overgrazing [2,3], and climatic changes [4]. To combat land degradation and loss of biodiversity, various policies limit uncontrolled deforestation [5], overgrazing, or the excessive use of fertilizer in agriculture [6]. Extensive areas in southern and south-eastern Europe are affected by the increasing frequency and intensity of droughts [7,8,9] or heatwave events [10,11,12,13]. The Sustainable Development Goal (SDG) 15 aims to “protect, restore and promote sustainable use of terrestrial ecosystems, sustainably manage forests, combat desertification, and halt and reverse land degradation and halt biodiversity loss” [14]. Recent studies have highlighted an increase in vegetation productivity and a greening trend in natural vegetation, indicating a possible reverse of land degradation [15,16,17]. Additionally, areas with improved resilience of terrestrial ecosystems to climate change were identified [18].
Different approaches tackle land degradation and desertification at various scales (e.g., global, regional, and national). Globally, the SDG 15.3.1 indicator was developed for LD mapping using three sub-indicators: land cover, land productivity, and soil organic carbon stocks [19]. The World Atlas of Desertification was created using various data, including population dynamics, climate change data, and satellite data related to vegetation productivity [20].
Regionally, the MEDALUS project focused on the Mediterranean area, using indicators related to soil quality, climate factor, the quality of vegetation, and the quality of management [21]. In Romania, land degradation was analyzed through the ecosystem quality outside of protected areas using various types of data, such as land use and land cover data, human settlements, the digital elevation model (DEM), pollution sources, and remote sensing data [22,23].
In this study, the terms LD and DS are defined by the Intergovernmental Panel on Climate Change (IPCC) and UNCCD as follows: LD is a “negative trend in land condition, caused by direct or indirect human-induced processes including anthropogenic climate change, expressed as long-term reduction or loss of at least one of the following: biological productivity, ecological integrity, or value to humans” [20,24,25]; and DS is “land degradation in arid, semi-arid, and dry sub-humid areas resulting from various factors, including climatic variations and human activities” [26,27,28]. Therefore, desertification is a consequence of the appearance of land degradation in arid, semi-arid, and dry sub-humid areas.
Earth observation data play an essential role in mapping and assessing LD and DS by providing indicators like NDVI, NPP, Evapotranspiration (ET), Land Surface Temperature (LST), and albedo [29,30,31]. NDVI combined with land use information is frequently used for analyzing LD and DS due to its sensitivity to changes in vegetation cover [32] and is also associated with productivity [33,34,35]. The negative trend of NDVI denotes an increase in the degree of vegetation wilting in the long term and low productivity. But, recent studies quantified LD based on NPP, which is also useful for global carbon cycle analysis; the decreasing trend of the NPP denotes a decrease in carbon productivity as a result of the reduction in vegetation cover [36,37,38].
ET is an important indicator for the water cycle, being closely related to soil and plant moisture. It signifies the loss of water due to surface evaporation and transpiration occurring within the vegetation cover. Monitoring ET can help assess water availability and changes in water balance [34]. LST provides critical information about the thermal properties of the land surface. It is frequently used for identifying and monitoring urban heat islands and in the development of green infrastructure [39,40]. A decrease in vegetation cover can lead to higher LST due to reduced transpiration and cooling effects. In non-urban areas, the increase in land surface albedo is often determined by the decrease in vegetation and soil moisture, indicating LD or DS in dryland areas [41,42]. A higher albedo value indicates greater reflectivity, which can result from a decrease in vegetation cover and an increase in bare soil or impervious surfaces [43,44].
The aim of this study is to provide a state-of-the-art approach for assessing the intensity of land degradation and desertification processes using remote-sensing-derived indicators within a GIS environment. The choice of indices such as: NDVI, NPP, albedo, LST, and ET for mapping and LD and DS due to their sensitivity to vegetation changes, capacity to indicate surface properties, and water availability, and their relevance to the study of ecosystems and the Earth’s climate system. These indices, when combined with other data sources (meteorological and land cover type) provide valuable insights into the state and dynamics of land degradation and desertification processes.
Principal Component Analysis (PCA) was employed to conduct the analysis, integrating significant trends of relevant biotic and abiotic parameters. Land degradation assessment often involves analyzing a wide range of variables, including soil properties, vegetation indices, and climate data. These datasets can be high-dimensional, making it challenging to identify patterns and relationships. PCA helps by reducing the dimensionality of the data while retaining most of the relevant information. The methodology underwent testing and validation on a national level, but it can be readily applied to other locations, and is contingent upon the accessibility of the required data in a fast and cost-effective manner. Assessing land degradation is essential for decision-makers to effectively manage degraded lands and areas susceptible to desertification. This includes implementing sound agricultural practices, finding drought-resistant plant varieties, promoting soil conservation, and preventing nutrient depletion, especially in arable lands. In the case of forests, it involves sustainable forestry practices, reforestation efforts, and protection against deforestation. For grasslands, it includes responsible grazing management, preventing overgrazing, and implementing measures to combat invasive species that can degrade these ecosystems. These strategies collectively aim to enhance soil quality, maintain biodiversity, and ensure the long-term health and productivity of various land types.

2. Materials and Methods

2.1. Study Area

This study addresses the national level and covers Romania, a country with an area of approximately 238,400 km2 situated in south-eastern Europe. According to the Koeppen–Geiger classification [44], there are six types of climates in Romania (Figure 1). The largest area is represented by a humid continental warm summer climate (Dfb) over 147,000 km2. The hot summer humid continental climate (Dfa) is the second type of climate that occupies a significant area (approximately 45,000 km2). Cold semi-arid climate (BSk) is the third type of climate that occupies a large area in Romania (about 31,000 km2).
The main types of land cover and land use in Romania are agricultural land, forest, and grasslands (Figure 2a). Agricultural land occupies large areas in regions with Dfb, Dfa, and BSk climates (Figure 2b), forests and semi-natural areas are found mainly in regions with Dfb and Dfc climates, while the BSk climate includes large areas of wetland ecosystems such as the Danube Delta and the Danube Flood Plain (i.e., Baltile Dunarii, in Romanian).

2.2. Earth Observation and Auxiliary Data Used for Land Degradation and Desertification Mapping

The changes in vegetation were analyzed over the period 2001–2020 using Moderate Resolution Imaging Spectroradiometer (MODIS) products (Table 1) for the vegetation season (April–September) at a daily temporal resolution [46]. The data were resampled at 500 m spatial resolution and validated with data from the atlas of degraded ecosystems from Romania [22] and Trends.Earth SDG 15.3.1 indicator [19]. Climate data such as precipitation and potential evapotranspiration were used to compute the aridity index used to identify the areas susceptible to desertification. The CORINE Land Cover (CLC) dataset [45] was used to delimit the types of land use as well as other geospatial data such as Koeppen–Geiger climate classification or major landforms.

2.3. Methodology

The workflow of this study includes four main stages (Figure 3): 1. the standardization of the MODIS products; 2. the extraction of trends of the relevant variables; 3. the analysis of the principal components (PCs) and computing and validating the LD model; and 4. computing the LD clusters and analyzing the areas within the drylands.

2.3.1. Z-Score

The average values of the BSA, LST, and NDVI for the vegetation season (April–September) were calculated, as well as the sum of the ET. The NPP represents the sum of the Net photosynthesis index. To remove the scale difference between variables [53], the z-score (anomaly) was extracted as the difference between the biophysical parameters and the multiannual average (for the period 2001–2020), relative to the standard deviation.

2.3.2. Mann-Kendall Test

According to the LD definition [20,25], the trend of the land condition over time is an essential parameter. Therefore, the non-parametric Mann-Kendall test (MK) [54,55] was used for detecting and estimating the trends of the z-score (anomaly of each parameter). The trend (z value) was reclassified into two categories (positive values and negative values), and the confidence level (p value) was reclassified into five classes which were assigned a score from 1 to 5 according to Table 2. This led to five new indicators (NDVI-Trend, NPP-Trend, ET-Trend, BSA-Trend, and LST-Trend) with values between −5 and +5. Considering that the LD is highlighted by the negative trend of NDVI, NPP, and ET and by the positive trend of LST and BSA, the values of the last two parameters were multiplied by −1 to be consistent with the first three. In the end, all the resulting indicators highlighted the same thing. Thus, positive values between 2 and 5 indicate improved lands, negative values between −2 and −5 indicate degraded lands, and those between −1 and +1 indicate stable lands without significant changes.

2.3.3. Principal Component Analysis

In this study, the Principal Component Analysis (PCA) method [56] was employed to aggregate the five resulting indicators (NDVI-Trend, NPP-Trend, ET-Trend, BSA-Trend, and LST-Trend) which were described in Section 2.3.2. PCA is commonly used to reduce the number of variables by identifying the principal components. It transforms the original variables into a smaller number of uncorrelated datasets (principal components) that capture the most significant variations in the data. This simplification makes it easier to detect patterns associated with land degradation. Each principal component is associated with eigenvectors; these eigenvectors can be used to obtain the weights for LD indices.
The five main components were obtained based on the five variables used as input in the principal components (Spatial Analyst) tool from ArcGIS toolbox [57]. The PCA tool generated new raster datasets where each raster represents a principal component. Each principal component is a linear combination of the original datasets, and they highlight different features or information in the data (Figure S1). Also, each PC is represented by a set of eigenvectors, which are the proportion with which each variable contributes to obtaining PC1, PC2, PC3, etc. [53]. These values can range between ±1 and 0. The closer they are to ±1, the greater the contribution of the analyzed variables, while values closer to 0 indicate a smaller contribution. The sign (positive or negative) shows the direction that a given variable in that PC is going on a single dimension vector.
The results from the PCA revealed that PC1 alone explains 61.24% of the variance, followed by PC2 with 14.57%, PC3 with 9.82%, PC4 with 7.83%, and PC5 with 6.53%. The cumulative eigenvalues demonstrated that the first four components collectively account for 93.47% of the variance (Table 3 and Figure S2 in Supplementary Material). As a result, the first four PCs were used to compute the Land Degradation Model (LDM).
In this study, in the structure of PC1, BSA-Trend contributed the most, followed by NDVI-Trend, while NPP-Trend contributed the least. Therefore, a significant proportion of the information related to the degradation phenomenon can be obtained through the analysis of these two variables alone. However, there remains an approximately 40% portion that cannot be explained by PC1. In this regard, it is necessary to calculate PC2, where ET-Trend and NPP-Trend significantly contribute. In other words, these are the next two variables that complement the information captured by PC1, adding an approximately 14% contribution. ET-Trend and NDVI-Trend significantly contribute to the calculation of PC3, explaining approximately 9.8% of the information related to degraded lands, while PC4 is highlighted through the use of the variables NDVI-Trend, BSA-Trend, and NPP-Trend. It can be observed (Table 3) that LST-Trend has the smallest contribution in the first four PCs but a significant contribution to PC5. However, PC5 explains only 6.5% of the phenomenon, while the first four PCs combined explain over 90% of the phenomenon. Therefore, we can rely on the analysis of the first four components for identifying degraded lands.
Finally, the five PCs were aggregated into a single LD model using a linear Equation (1). To achieve this, the value of the percent of eigenvalues was divided by 100 for each PC to scale values from 1–100 to 0–1. The obtained values were classified into three equal intervals representing land degradation, stable land, and improvement (Table 4).
LDM = 0.612422 × PC1 + 0.145714 × PC2 + 0.098244 × PC3 + 0.078337 × PC4

2.3.4. Evaluation of the LDM Performance

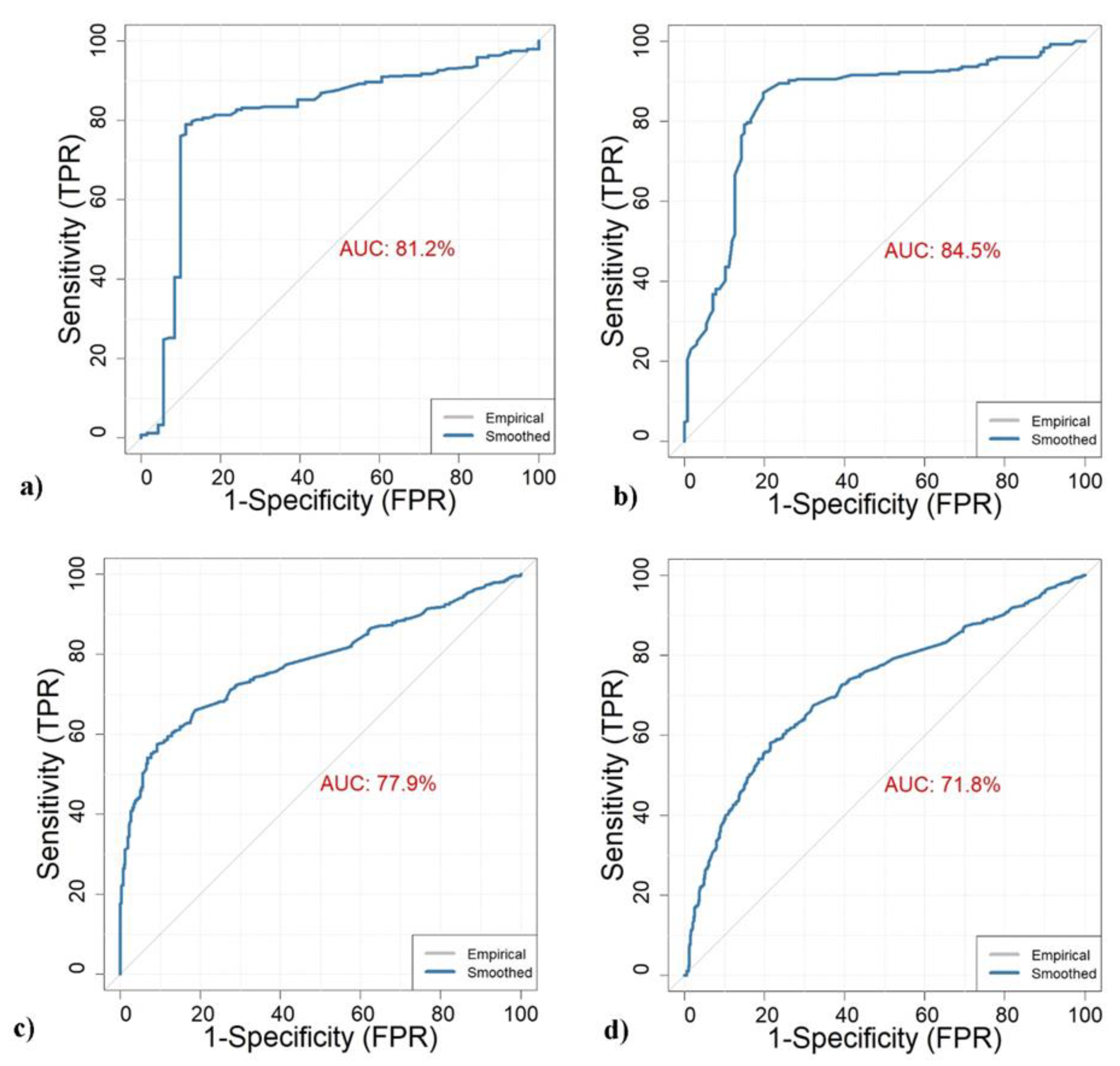
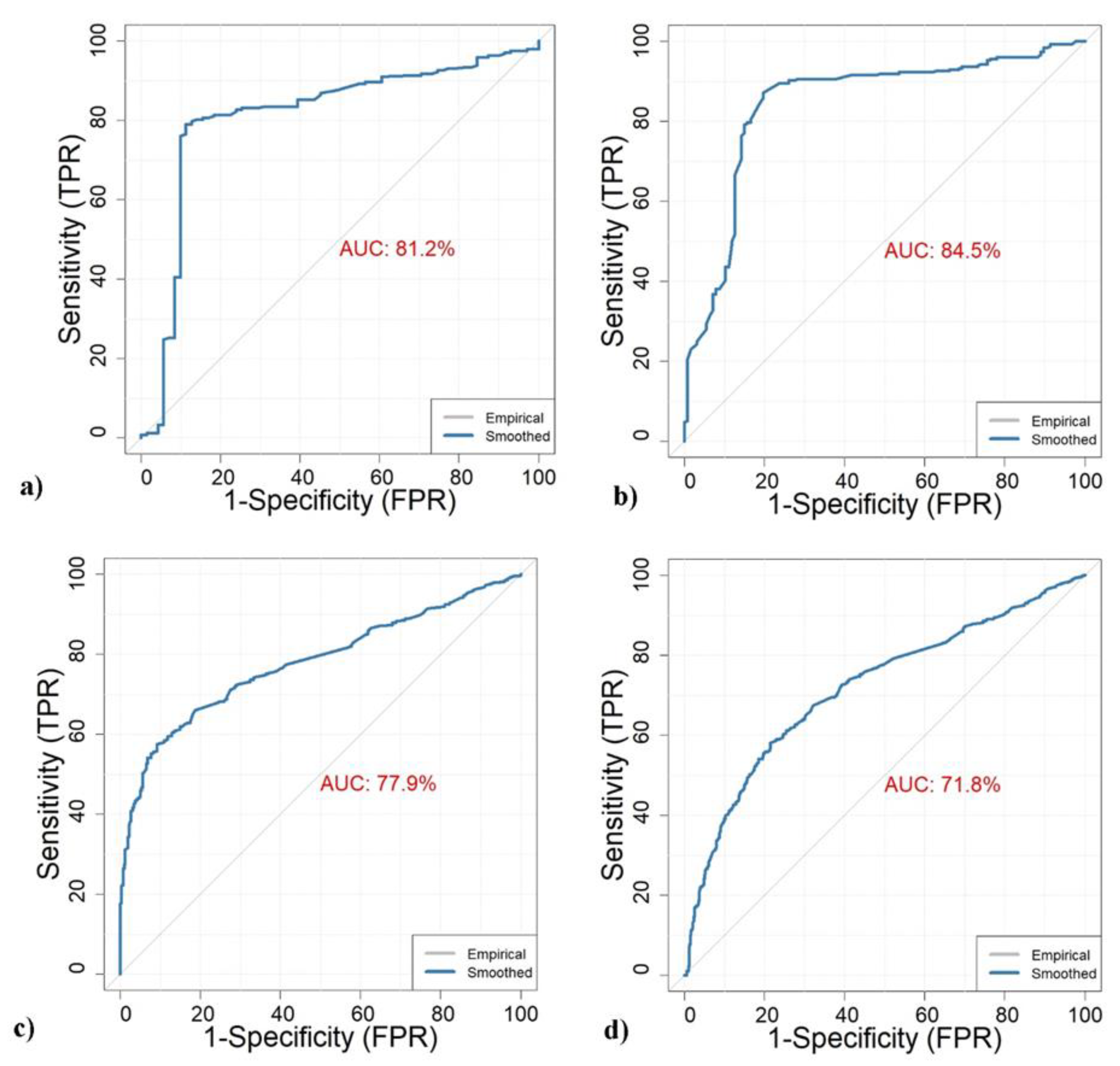
The receiver operating characteristics (ROC) analysis was used to evaluate the LDM performance. Several statistical indices like sensitivity, specificity, accuracy, and Area Under the Curve (AUC) were calculated [58]. The ROC curve is a method that compares true positive rates against false positive rates. The ROC analysis was performed using the roc() function implemented in the pROC R package [59].
The results of the model were compared with the forest ecosystem and grassland ecosystem evaluations from the atlas of degraded ecosystems from Romania [22] and with the LD data from Trends.Earth SDG 15.3.1 [52]. It has to be mentioned that the atlas of degraded ecosystems in Romania contains information about the degradation of grassland and forest ecosystems; it does not include an assessment of arable land or other types of land cover or use. Therefore, the information from Trends.Earth SDG 15.3.1 was used to validate degraded arable land and other types of land use or cover. From what is known so far, in Romania there are no other data related to land degradation that can be used for validation. Therefore, 400 points were randomly chosen for forest ecosystems (from the atlas of degraded ecosystems from Romania), 600 for grassland ecosystems (also from the atlas of degraded ecosystems), 900 for arable land (from Trends.Earth SDG 15.3.1), and 2500 points for all types of land use to cover all the counties of Romania (from Trends.Earth SDG 15.3.1).
Generally, a value of AUC greater than 70% indicates relatively good prediction [60] (Table 5). In this study, the AUC for forest ecosystems was 81.2%, for grassland ecosystems 84.5%, 77.9% for arable land, and for all types of land use AUC was 71.8%, in general showing satisfactory results (Figure 4). The highest values are in the case of forest and grassland ecosystems, with the results being compared with data from the atlas of degraded ecosystems from Romania. The lowest were in the case of arable land and other types of use, with the results being compared with data from Trend.Earth SDG 15.3.1. The difference between the validation results may be due to the data sources used for validation.

2.3.5. The Degree of Climate Susceptibility to Desertification Processes

The degree of climate susceptibility to desertification processes was highlighted by the intersection of two thematic layers, the Koeppen-Geiger climate types (Bsk, Cfa, and Cfb) and the dryland areas (aridity index between 0.2 and 0.65) determined for the period 1991–2020. Climate types like Bsk, Cfa, and Cfb are associated with different levels of temperatures and precipitation patterns. Areas with arid or semi-arid climates (such as Bsk) are more susceptible to desertification due to their limited water availability, while areas with humid climates (such as Cfa and Cfb) are generally less susceptible. The dryland (arid, semi-arid, and dry sub-humid areas) represents all areas in which the ratio between precipitation (P) and evapotranspiration (PET) has values between 0.05 and 0.65 [28,61]. The ratio is known as the UNEP Aridity Index (AI), which is frequently used in studies on a national [7,62] and global scale [63]. Areas with lower aridity index values have lower water availability, which can make them more prone to desertification processes [64]. The specified range of aridity index values (0.05 to 0.65) likely represents a critical threshold where the risk of desertification increases significantly [65].
By integrating both climate types and aridity index values, a more comprehensive assessment of desertification sensitivity was created. Regions that fall into the specified climate types and also have aridity index values within the defined range are likely to face a higher risk of desertification. This combined approach considers both the long-term climatic conditions and the immediate aridity levels, providing a more nuanced understanding of desertification vulnerability. Four classes were created in which values are assigned from −1 (slightly susceptible areas) to −4 (extremely susceptible areas) (Table 6). In Romania, only the semi-arid and dry sub-humid classes (between 0.2 and 0.65) were identified for the period 1991–2020. To identify areas with DS processes, the LD values lower than −1 from LDM (Table 4) are intersected with the four classes of degrees of climate susceptibility to desertification (Table 6).

2.3.6. Land Degradation and Desertification Hot Spots

To identify the statistical significance of DS process hot spots, the Getis-Ord Gi* method [66] was applied. This method is computed based on standard normal distribution. The Hot Spot Analysis was performed in ArcGIS using the Mapping Clusters toolset [67]. The statistical significance is based on the z-score (Standard Deviations) and P-value (Probability) and it was calculated for 90%, 95%, and 99% confidence levels (Table 7). The clusters were created based on the mean values of DS within the 10 km resolution cell grid.

3. Results

3.1. Trend of Remote Sensing Indices in Romania

To provide an overview of the BSA-Trend, LST-Trend, NDVI-Trend, NPP-Trend, and ET-Trend spatial distribution, the values were divided into four classes (decreasing between 0 and −1, significantly decreasing below −1, increasing between 0 and 1, and significantly increasing above 1) and the surface of each category relative to the total per country was calculated. Also, the evaluation of the spatial distribution was completed at the local level (by major landforms and main land cover). The spatial distribution of the increasing trends (increasing and significantly increasing) of BSA-Trend, LST-Trend, NDVI-Trend, NPP-Trend, and ET-Trend are presented in Figure 5.

3.1.1. Black Sky Albedo

Extensive areas with increasing trends were noted in the south-eastern part of Romania (in the Dobrogea Plateau, the Danube Delta, and in the Romanian Plain), the north-east (in the Moldavian Plateau), the west (in the Western Plain), and partially in the central part (Depression of Transylvania) (Figure 5a).
In total, 12.14% of Romania’s surface had BSA with significantly increasing trends and 31.75% with significantly decreasing trends. The decreasing trend of BSA was observed especially in the mountainous areas (the total was 29.21% of which 18.35% was significantly decreasing trends) while the increase was registered in the lower areas of Romania (the total was 21.48% of which 6.75% was significantly increasing trends). The percentage distribution of BSA trend classes in major landforms compared to the total surface of Romania are presented in the Supplementary Material (Figure S3).
Arable land occupied 36.32% of the country’s surface, of which 25.86% was increasing (17.14% increasing and 8.71% significantly increasing) and 10.46% decreasing (7.18% decreasing and 3.28% significantly decreasing). The forest surface occupied 29.9% of the country’s surface of which only 4.58% was increasing (3.67% increasing and 0.9% significantly increasing). The percentage distribution of trend classes in main land cover compared to the total surface of Romania are presented in the Supplementary Material (Figure S4).

3.1.2. Land Surface Temperature

Most of Romania’s surface is warming, but from among all the regions of the country, significantly increasing trends were observed in the central-eastern part (the Eastern and the Southern Carpathians) (Figure 5b). The largest surfaces with increasing trends of LST were observed in the hill and plateau areas (the total was 35.3% of which 11.96% was significantly increasing trends) and in mountainous areas (the total was 34.22% of which 18.14% was significantly increasing trends) (Figure S3 in the Supplementary Material). Most of the significantly increasing trends took place in forest areas (14.94%) and arable land (8.33%) (Figure S4 in the Supplementary Material).

3.1.3. Normalized Difference Vegetation Index

According to the results, only a few areas in Romania had decreasing trends of NDVI (15.1%, of which 7.17% was in plain areas). Significantly decreasing trends were registered on only 0.78% of plain areas, 0.54% of hills and plateaus, and 0.21% of mountains (Figure S3). Significant decreases were noticed in 0.84% of the arable land areas, 0.1% of the grassland areas, and 0.09% of the forest areas (Figure S4). The increases were observed especially in the mountainous areas (33.14%, of which 26.52% was significantly increasing trends), while the decreases were reported in the lower areas of Romania such as the Western Plain, Romanian Plain, and Danube Delta, and also in the center of the Dobrogea Plateau (Figure 5c).

3.1.4. Net Primary Productivity

The trends of NPP indicated large areas of decrease in the western part of Romania, but they were statistically insignificant in most landforms (in the Western Plain, the Crisana Hills, and the Western Carpathians) (Figure 5d). In total, 33.56% of Romania’s surface had decreasing trends of NPP, of which 1.61% was significantly decreasing (0.61% in mountain areas, 0.55% in hills and plateaus, and 0.43 in plain areas). From a land cover point of view, 13.5% of forest areas, 9.6% of the arable land, and 4.87% registered a decreasing trend (of which only 0.67%, 0.44%, and 0.24%, respectively, were significantly decreasing) (Figure S4).

3.1.5. Evapotranspiration

Small areas in Romania registered a decreasing trend of ET (the total was 14.62%, of which only 0.64% was significantly decreasing). This was observed mostly in the south-eastern part of the country (Dobrogea Plateau) (Figure 5e). This was known for its arid nature, and the decreasing trend of ET accentuates this condition. The most affected were the arable lands, where 6.21% had a decreasing trend, of which 0.33% was significant.

3.2. Land Degradation and Desertification Assessment

According to the LDM, a small percentage (7.76% of the total area of Romania) was identified as degraded lands. Most of the degraded surfaces were in areas with arable land (15% of the total area of arable land in Romania), followed by grassland (5.2% of the total area of grassland), and forests (1.2% of the total area of forests). LD areas were located predominantly in the center of the Dobrogea Plateau, followed by southeast of the Romanian Plain, the south of the Western Plain, the north of the Moldavian Plateau, and the Sub-Carpathians, as well as the center of the Transylvanian Depression (Figure 6). Meanwhile, extensive areas in Romania tended to improve between 2001 and 2020 (60.8% of the total area), especially in the Carpathian and Sub-Carpathian areas, and 31.44% of the total area was stable. Most of these areas have been declared protected areas and many of them have a management plan to conserve biodiversity.
According to the LDM, the largest area of degraded arable land was in the Romanian Plain of 5092.8 km2 (14.79% of its arable land) followed by the Western Plain with 2458.86 km2 (21.23% of the arable land), the Moldavian Plateau with 2080.56 km2 (18.37% of the arable land), and the Dobrogea Plateau with 1072.53 km2 (15.95% of the arable land). Table S1 shows the percentage values at the level of major landforms and main types of land use and Table S2 shows the absolute values in km2 with land degradation (LD), stable lands (S), and total improvement surfaces (I). The largest degraded forest area was identified in the eastern Carpathians of 187.3 km2 (which represents 1.14% of the total forest area in this area), followed by the Romanian Plain with 127.84 km2 (4.34% of the total forest area), the Moldavian Plateau with 115.3 km2 (3.37% of the total forest area), the southern Carpathians with 83.38 km2 (0.88% of the total forest area), and the Transylvanian Depression with 49.68 km2 (0.85% of the total forest area). The largest surface extension of the degraded grassland was present in the Moldavian Plateau, 395.19 km2 (12.67% of the total grassland area), followed by the Transylvanian Depression, 353.62 km2 (5.42% of the total grassland area), and the Western Plain, 331.58 km2 (17.61% of the total grassland area).
By aggregating the dryland areas (according to the AI values) with the LD in Romania, it turned out that the largest areas affected by desertification process were in the central part of the Dobrogea Plateau, the center and east of the Romanian Plain, and the south of the Western Plain (Figure 7). In the Dobrogea Plateau, approximately 1236 km2 of land was exposed to DS, of which 1072.55 km2 was arable lands and 147.65 km2 was grasslands. In the Romanian Plain, 5253.87 km2 was exposed to desertification, and in the Western Plain, 2431.92 km2.

3.3. Hot Spots of Land Degradation in Areas Susceptible to Desertification

Clustering provided an overview of areas with high concentrations of LD, and stable or improvement surfaces in areas susceptible to DS. The clusters obtained based on the Getis-Ord Gi* method highlighted hot spots with 99% confidence of the degraded lands in the Dobrogea Plateau, extensive areas of the Romanian Plain, the Western Plain, the Moldavian Plateau and the center of the Transylvanian Depression (Figure 8). These mostly overlap with the dryland areas, which means that they were susceptible to desertification. In these areas, management measures need to be applied to improve the quality of the land. On the other hand, extensive areas of the mountain and plateau areas (except for the Moldavian Plateau and the center of the Transylvanian Depression) recorded cold spots with 99% confidence.

4. Discussion

The EO data were frequently used for the identification of land degradation on an international scale. Some studies use land surface albedo, others vegetation indices such as NDVI or NPP [25]. UNCCD recommends land cover, land productivity, and soil organic carbon stocks [19]. A summary of the LD obtained based on the Trends.Earth SDG 15.3.1 indicator [19] at the level of Romania for the period 2000–2015 indicates 9.89% of the land area degraded from the total land area, 66.41% improved land area, and 23.33% stable land area. The values were very close to those obtained in this study (7.76% of the total area of Romania was LD, 60.8% of the total area tended to improve, and 31.44% was stable), in which the PCA was used to aggregate remote sensing indices into a single LDM. It is very likely that the differences between the results were due to the length of the analysis period (2000–2015 for Trends.Earth SDG 15.3.1 indicator versus 2001–2020 for our model).
In previous studies, various areas that were susceptible to degradation and desertification were identified, most of them due to climate changes that cause frequent dry events such as those in the Dobrogea Plateau and the eastern Romanian Plain [68,69], and in other areas due to soil erosion and landslides such as those in the Moldavian Plateau [70,71] and some areas in the Transylvanian Depression [72,73]. Also, soil erosion was identified in various areas of the Dobrogea Plateau [74], a phenomenon potentiated by overgrazing [75,76]. The results of our study confirm the occurrence of land degradation in all these areas, but the spatial extension according to our results was less extended than previously estimated.
Cheval (2020) found a high intensity of climate change hot spots determined especially by air temperatures in the north-western part of Romania (Western Plain, Crisana Hills, Western Carpathians, and Transylvanian Depression), in the central-southern part (southern Carpathians and Getic Plateau), and also in the eastern part of the country (the Dobrogea Plateau and the southern half of the Moldavian Plateau) [77]. However, the vegetation responds differently to these climate changes depending on its level of species resilience and adaptation, thereby explaining the increasing trends of the forest vegetation in the mountain area. Arable land, on the other hand, was more affected by these climate changes compared to land covered by natural vegetation (forest and grassland).
The sandy area in the west of the Romanian Plain, called “Sahara of Oltenia” by Romanians, was considered to be susceptible to desertification because of the destruction of the irrigation system in the post-communist period, the deforestation of forests, and forest protection belts [78,79,80,81]. All this led many farmers to give up agricultural activities, and much agricultural land was abandoned. There were studies that have shown that a greening of vegetation can be observed on abandoned agricultural lands [82]. Also, in some areas, the increase in tree cover was caused by the abandonment of farms even in critical regions such as the savannah of Africa [83]. According to our model, there were land improvements in this part of the country, and the extended surface was covered by vegetation (a greening of vegetation). The agricultural crops were replaced by natural steppe vegetation. Moreover, this area is currently a Special Protection Area (SPA) [84,85]. This is proof of the resilience of species and habitats despite climate change. Without human intervention, nature restores itself. However, a balance between the need to preserve biodiversity and the need to feed people is required. Not all of Romania’s agricultural surfaces must be returned to nature, replaced by natural vegetation, but neither should they be replaced by agricultural land. Therefore, it is recommended to practice sustainable, environmentally friendly agriculture [86].
The spatial distribution of the LD suggests that most degraded arable lands were intensively exploited by farmers. A high share of LD processes can also be observed around big cities (Figure 6) such as Bucharest-Alexandria, Constanta, Cluj-Napoca, Targu Mures, and Timisoara, etc. The increasing demand of food products in urban concentrations, in many cases, determined the farmers’ increase in production, to the detriment of the land quality [87]. It was proven that intensive agriculture without an adequate rotation of crops, and the use of various chemical fertilizers in quantities exceeding the accepted limit, can cause land degradation [86]. Also, the building demand determined the expansion of the cities towards the suburbs, with much agricultural land being replaced by built-up areas [87]. Moreover, people’s demand for accessibility and the development of the road network determined the replacement of agricultural or forest land with impervious areas; for example, the highway between the cities Deva, Alba-Iulia, and Cluj-Napoca, in the central part of the country, where the impact on the surrounding area can be clearly seen (Figure S5 in the Supplementary Material). All this leads to the degradation of the lands near the built-up areas by increasing the concentrations of pollutants and deforestation, increasing the temperature, and the fragmentation of habitats [87], all with an impact on the quality of life of the population as well as biodiversity.
This study was carried out based on satellite images, and the results have some inherent limitations. For example, the spatial resolution of the images (500 m), does not allow for the identification of smaller degraded surfaces. Also, crop rotation for arable land could induce errors in the analysis of trends; therefore, the recommendation is an analysis of the types of crops each year for a better accuracy of the model in these areas. However, acknowledging the degree of error of the model, the results can be extremely useful in the identification and monitoring of degraded lands on extensive surfaces, saving part of the financial resources and time spent in the field collecting data.

5. Conclusions

This study provides a state-of-the-art approach to assess the intensity of land degradation and desertification processes, with PCA demonstrating its suitability for this purpose. To identify degraded lands, the first step is to compute long-term trends of relevant biophysical parameters, such as NDVI, NPP, BSA, ET, and LST; then, the trends of remote sensing products between 2001 and 2020 are integrated to achieve optimal results, considering the climate change perspective. This methodology uses satellite images with a high frequency of data acquisition and collection history that allows for the statistical analyses of changes on a global scale.
Also, the results of the study are based on the first four principal components (PCs). PC1 is primarily composed of the variables NDVI-Trend and BSA-Trend, contributing to the final analysis with a weight of 61.24%. PC2 is composed of ET-Trend and NPP-Trend and contributes 14.57%. PC3 is composed of ET-Trend, NDVI-Trend, and NPP-Trend, contributing 9.82%. PC4 is composed of NPP-Trend, NDVI-Trend, and BSA-Trend, contributing 7.8%.
PCA not only helps reduce the number of indicators but also identifies the most significant ones. Moreover, the results obtained by the weighted aggregation of all the identified components are superior to those obtained by individually analyzing each indicator. The results obtained using PCA are consistent with those obtained in previous studies over a shorter period (2016–2018) and validated in the field at the national level, as well as with those conducted globally over a longer period (2001–2015) but not validated in Romania.
Our findings reveal that LD processes cover 7.76% of Romania’s total area, while the category of ‘no land degradation’ prevails, representing 60.8% of the total area with an improvement trend and 31.44% remaining stable. The hot spots of LD exposed to DS were predominantly observed in the south-eastern part of Romania (the Dobrogea Plateau and the Romanian Plain), the Western Plain, and the Moldavian Plateau.
These findings bear significant importance for decision makers in effectively managing degraded lands and those prone to DS processes. By adopting suitable agricultural practices and selecting drought-resistant plant varieties that enrich the soil without depleting nutrients, we can strive to improve soil quality and combat desertification, paving the way towards sustainable land use management.

Supplementary Materials

The following supporting information can be downloaded at: https://www.mdpi.com/article/10.3390/rs15194842/s1, Figure S1: The spatial distribution of the values of the principal components; Figure S2: The percentage of the accumulation of eigenvalues captured by the principal components; Figure S3: The percentage of the distribution of trend classes in major landforms compared to the total surface of Romania; Figure S4: The percentage of the distribution of trend classes in main land cover compared to the total surface of Romania; Figure S5: Spatial distribution of land degradation in the Deva, Alba-Iulia, Cluj-Napoca, and Targu-Mures areas; Table S1: Total surfaces (%) with land degradation (LD), stable lands (S), and total improvement surfaces (I) at the level of major landforms and main types of land use; Table S2: Total surfaces (km2) with land degradation (LD), stable lands (S), and total improvement surfaces (I) at the level of major landforms and main types of land use.

Author Contributions

Conceptualization, I.O. and S.C.; Formal analysis, G.B.; Methodology, I.O. and S.C.; Resources, A.I.; Software, I.O. and V.-A.A.; Supervision, A.I.; Validation, I.O.; Visualization, I.O. and G.B.; Writing—original draft, I.O.; Writing—review and editing, S.C., A.I., G.B., V.-A.A., D.M., A.N., C.-V.A. and V.C. All authors have read and agreed to the published version of the manuscript.

Funding

This research was partially funded by the Romanian National Meteorological Administration.

Acknowledgments

The authors acknowledge three anonymous reviewers for their useful comments on the paper. We acknowledge the meteorological database department who provided observations from the national meteorological network.

Conflicts of Interest

The authors declare no conflict of interest. The funders had no role in the design of the study; in the collection, analyses, or interpretation of data; in the writing of the manuscript; or in the decision to publish the results.

References

  1. Dimobe, K.; Ouédraogo, A.; Soma, S.; Goetze, D.; Porembski, S.; Thiombiano, A. Identification of Driving Factors of Land Degradation and Deforestation in the Wildlife Reserve of Bontioli (Burkina Faso, West Africa). Glob. Ecol. Conserv. 2015, 4, 559–571. [Google Scholar] [CrossRef]
  2. Angerer, J.P.; Fox, W.E.; Wolfe, J.E. Chapter 11.3—Land Degradation in Rangeland Ecosystems. In Biological and Environmental Hazards, Risks, and Disasters; Shroder, J., Sivanpillai, R., Eds.; Academic Press: Boston, MA, USA, 2016; pp. 277–311. ISBN 978-0-12-394847-2. [Google Scholar]
  3. Bhunia, G.S.; Chatterjee, U.; Shit, P.K.; Kashyap, A. Chapter 5—Wasteland Reclamation and Geospatial Solution: Existing Scenario and Future Strategy. In Land Reclamation and Restoration Strategies for Sustainable Development; Academic Press: Cambridge, MA, USA, 2021; Volume 10, pp. 87–113. ISBN 1363-0814. [Google Scholar]
  4. Shukla, P.R.; Skea, J.; Buendia Calvo, E.; Masson-Delmotte, V.; Pörtner, H.-O.; Roberts, D.C.; Zhai, P.; Slade, R.; Connors, S.; Diemen, R.; et al. (Eds.) IPCC Summary for Policymakers. In Climate Change and Land: An IPCC Special Report on Climate Change, Desertification, Land Degradation, Sustainable Land Management, Food Security, and Greenhouse Gas Fluxes in Terrestrial Ecosystems; Intergovernmental Panel on Climate Change (IPCC): Geneva, Switzerland, 2019. [Google Scholar]
  5. European Commission. EU Forest Policies. Available online: https://ec.europa.eu/environment/forests/fpolicies.htm (accessed on 5 December 2022).
  6. European Commission. EU Soil Policy. Available online: https://ec.europa.eu/environment/soil/soil_policy_en.htm (accessed on 5 December 2022).
  7. Cheval, S.; Dumitrescu, A.; Birsan, M.-V. Variability of the Aridity in the South-Eastern Europe over 1961–2050. CATENA 2017, 151, 74–86. [Google Scholar] [CrossRef]
  8. Jaagus, J.; Aasa, A.; Aniskevich, S.; Boincean, B.; Bojariu, R.; Briede, A.; Danilovich, I.; Castro, F.D.; Dumitrescu, A.; Labuda, M.; et al. Long-Term Changes in Drought Indices in Eastern and Central Europe. Int. J. Climatol. 2022, 42, 225–249. [Google Scholar] [CrossRef]
  9. Spinoni, J.; Naumann, G.; Vogt, J.V. Pan-European Seasonal Trends and Recent Changes of Drought Frequency and Severity. Glob. Planet. Chang. 2017, 148, 113–130. [Google Scholar] [CrossRef]
  10. Croitoru, A.-E.; Piticar, A.; Ciupertea, A.-F.; Roşca, C.F. Changes in Heat Waves Indices in Romania over the Period 1961–2015. Glob. Planet. Chang. 2016, 146, 109–121. [Google Scholar] [CrossRef]
  11. Nagavciuc, V.; Scholz, P.; Ionita, M. Hotspots for Warm and Dry Summers in Romania. Nat. Hazards Earth Syst. Sci. 2022, 22, 1347–1369. [Google Scholar] [CrossRef]
  12. Russo, S.; Sillmann, J.; Fischer, E.M. Top Ten European Heatwaves since 1950 and Their Occurrence in the Coming Decades. Environ. Res. Lett. 2015, 10, 124003. [Google Scholar] [CrossRef]
  13. Spinoni, J.; Lakatos, M.; Szentimrey, T.; Bihari, Z.; Szalai, S.; Vogt, J.; Antofie, T. Heat and Cold Waves Trends in the Carpathian Region from 1961 to 2010. Int. J. Climatol. 2015, 35, 4197–4209. [Google Scholar] [CrossRef]
  14. United Nations—Department of Economic and Social Affairs. Goal15. Available online: https://sdgs.un.org/goals/goal15 (accessed on 20 November 2022).
  15. Gonzalez-Roglich, M.; Zvoleff, A.; Noon, M.; Liniger, H.; Fleiner, R.; Harari, N.; Garcia, C. Synergizing Global Tools to Monitor Progress towards Land Degradation Neutrality: Trends.Earth and the World Overview of Conservation Approaches and Technologies Sustainable Land Management Database. Environ. Sci. Policy 2019, 93, 34–42. [Google Scholar] [CrossRef]
  16. Gemitzi, A.; Banti, M.A.; Lakshmi, V. Vegetation Greening Trends in Different Land Use Types: Natural Variability versus Human-Induced Impacts in Greece. Environ. Earth Sci. 2019, 78, 172. [Google Scholar] [CrossRef]
  17. Zhong, L.; Ma, Y.; Xue, Y.; Piao, S. Climate Change Trends and Impacts on Vegetation Greening Over the Tibetan Plateau. J. Geophys. Res. Atmos. 2019, 124, 7540–7552. [Google Scholar] [CrossRef]
  18. Wu, J.; Liang, S. Assessing Terrestrial Ecosystem Resilience Using Satellite Leaf Area Index. Remote Sens. 2020, 12, 595. [Google Scholar] [CrossRef]
  19. Sims, N.C.; Green, C.; Newnham, G.J.; England, J.R.; Held, A.; Wulder, M.A.; Herold, M.; Cox, S.J.D.; Huete, A.R.; Kumar, L.; et al. Good Practice Guidance: SDG Indicator 15.3.1. Version 1.0; United Nations Convention to Combat Desertification: Bonn, Germany, 2017; pp. 1–115. [Google Scholar]
  20. Cherlet, M.; Hutchinson, C.; Reynolds, J.; Hill, J.; Sommer, S.; von Maltitz, G. World Atlas of Desertification; Publication Office of the European Union: Luxembourg, 2018. [Google Scholar]
  21. Kosmas, C.; Kirkby, M.; Geeson, N. The Medalus Project Mediterranean Desertification and Land Use Manual on Key Indicators of Desertification and Mapping Environmentally Sensitive Areas to Desertification; Kosmas, C., Kirkby, M., Geeson, N., Eds.; Office for Official Publications of the European Communities: Luxembourg, 1999; ISBN 92-828-6349-2. [Google Scholar]
  22. Avram, S.; Corpade, A.M.; Corpade, C.; Crioitoru, A.; Dedu, S.; Gheorghe, C.; Malos, C.V.; Manta, N.; Niculae, I.M.; Ontel, I.; et al. Atlasul Ecosistemelor Degradate Din Romania; Avram, S., Croitoru, A., Gheorghe, C., Eds.; Editura Academiei Române: Bucharest, Romania, 2021. [Google Scholar]
  23. Avram, S.; Gheorghe, C.; Croitoru, A.; Bădărău, A.S.; Bărbos, M.; Burlacu, R.; Ciocănea, C.; Cipu, E.; Ciuinel, A.; Corpade, A.-M.; et al. Cartarea Ecosistemelor Naturale Si Seminaturale Degradate; Avram, S., Croitoru, A., Gheorghe, C., Manta, N., Eds.; Romanian Academy: Bucharest, Romania, 2018. [Google Scholar]
  24. Eskandari Dameneh, H.; Gholami, H.; Telfer, M.W.; Comino, J.R.; Collins, A.L.; Jansen, J.D. Desertification of Iran in the Early Twenty-First Century: Assessment Using Climate and Vegetation Indices. Sci. Rep. 2021, 11, 20548. [Google Scholar] [CrossRef]
  25. Olsson, L.; Barbosa, H.; Bhadwal, S.; Cowie, A.; Delusca, K.; Flores-Renteria, D.; Hermans, K.; Jobbagy, E.; Kurz, W.; Li, D.; et al. Land Degradation. In Climate Change and Land: An IPCC Special Report on Climate Change, Desertification, Land Degradation, Sustainable Land Management, Food Security, and Greenhouse Gas Fluxes in Terrestrial Ecosystems; Shukla, P.R., Skea, J., Buendia, E.C., Masson-Delmotte, V., Pörtner, H.-O., Roberts, D.C., Zhai, P., Slade, R., Connors, S., Diemen, R., et al., Eds.; Intergovernmental Panel on Climate Change (IPCC): Geneva, Switzerland, 2019. [Google Scholar]
  26. Cheval, S.; Popa, A.; Șandric, I.; Iojă, I. Exploratory Analysis of Cooling Effect of Urban Lakes on Land Surface Temperature in Bucharest (Romania) Using Landsat Imagery. Urban Clim. 2020, 34, 100696. [Google Scholar] [CrossRef]
  27. Cui, Y.; Li, X. A New Global Land Productivity Dynamic Product Based on the Consistency of Various Vegetation Biophysical Indicators. Big Earth Data 2022, 6, 36–53. [Google Scholar] [CrossRef]
  28. Lamchin, M.; Lee, J.-Y.; Lee, W.-K.; Lee, E.J.; Kim, M.; Lim, C.-H.; Choi, H.-A.; Kim, S.-R. Assessment of Land Cover Change and Desertification Using Remote Sensing Technology in a Local Region of Mongolia. Adv. Space Res. 2016, 57, 64–77. [Google Scholar] [CrossRef]
  29. Tolche, A.D.; Gurara, M.A.; Pham, Q.B.; Anh, D.T. Modelling and Accessing Land Degradation Vulnerability Using Remote Sensing Techniques and the Analytical Hierarchy Process Approach. Geocarto Int. 2021, 37, 7122–7142. [Google Scholar] [CrossRef]
  30. FAO. Lesotho: Land Cover Atlas 2017–2021; FAO: Maseru, Lesotho, 2023; ISBN 978-92-5-137412-2. [Google Scholar]
  31. Ma, Y.J.; Shi, F.Z.; Hu, X.; Li, X.Y. Threshold Vegetation Greenness under Water Balance in Different Desert Areas over the Silk Road Economic Belt. Remote Sens. 2020, 12, 2452. [Google Scholar] [CrossRef]
  32. Ibrahim, Y.Z.; Balzter, H.; Kaduk, J.; Tucker, C.J. Land Degradation Assessment Using Residual Trend Analysis of GIMMS NDVI3g, Soil Moisture and Rainfall in Sub-Saharan West Africa from 1982 to 2012. Remote Sens. 2015, 7, 5471–5494. [Google Scholar] [CrossRef]
  33. Yengoh, G.T.; Dent, D.; Olsson, L.; Tengberg, A.E.; Tucker, C.J. The Use of the Normalized Difference Vegetation Index (NDVI) to Assess Land Degradation at Multiple Scales: A Review of the Current Status, Future Trends, and Practical Considerations; Springer: Berlin/Heidelberg, Germany, 2014; ISBN 9783319241128. [Google Scholar]
  34. Fang, O.; Wang, Y.; Shao, X. The Effect of Climate on the Net Primary Productivity (NPP) of Pinus Koraiensis in the Changbai Mountains over the Past 50 Years. Trees 2016, 30, 281–294. [Google Scholar] [CrossRef]
  35. Cowie, A.L.; Orr, B.J.; Castillo Sanchez, V.M.; Chasek, P.; Crossman, N.D.; Erlewein, A.; Louwagie, G.; Maron, M.; Metternicht, G.I.; Minelli, S.; et al. Land in Balance: The Scientific Conceptual Framework for Land Degradation Neutrality. Environ. Sci. Policy 2018, 79, 25–35. [Google Scholar] [CrossRef]
  36. Eisfelder, C.; Klein, I.; Niklaus, M.; Kuenzer, C. Net Primary Productivity in Kazakhstan, Its Spatio-Temporal Patterns and Relation to Meteorological Variables. J. Arid Environ. 2014, 103, 17–30. [Google Scholar] [CrossRef]
  37. Jung, M.; Reichstein, M.; Ciais, P.; Seneviratne, S.I.; Sheffield, J.; Goulden, M.L.; Bonan, G.; Cescatti, A.; Chen, J.; de Jeu, R.; et al. Recent Decline in the Global Land Evapotranspiration Trend Due to Limited Moisture Supply. Nature 2010, 467, 951–954. [Google Scholar] [CrossRef] [PubMed]
  38. Cârlan, I.; Haase, D.; Große-Stoltenberg, A.; Sandric, I. Mapping Heat and Traffic Stress of Urban Park Vegetation Based on Satellite Imagery—A Comparison of Bucharest, Romania and Leipzig, Germany. Urban Ecosyst. 2020, 23, 363–377. [Google Scholar] [CrossRef]
  39. Mirzabaev, A.; Wu, J.; Evans, J.; García-Oliva, F.; Hussein, I.A.G.; Iqbal, M.H.; Kimutai, J.; Knowles, T.; Meza, F.; Nedjraoui, D.; et al. Desertification. In Climate Change and Land: An IPCC Special Report on Climate Change, Desertification, Land Degradation, Sustainable Land Management, Food Security, and Greenhouse Gas Fluxes in Terrestrial Ecosystems; Shukla, P.R., Skea, J., Buendia, E.C., Masson-Delmotte, V., Pörtner, H.-O., Roberts, D.C., Zhai, P., Slade, R., Connors, S., Diemen, R., et al., Eds.; Intergovernmental Panel on Climate Change (IPCC): Geneva, Switzerland, 2019. [Google Scholar]
  40. Angelopoulou, T.; Tziolas, N.; Balafoutis, A.; Zalidis, G.; Bochtis, D. Remote Sensing Techniques for Soil Organic Carbon Estimation: A Review. Remote Sens. 2019, 11, 676. [Google Scholar] [CrossRef]
  41. Ladoni, M.; Bahrami, H.A.; Alavipanah, S.K.; Norouzi, A.A. Estimating Soil Organic Carbon from Soil Reflectance: A Review. Precis. Agric. 2010, 11, 82–99. [Google Scholar] [CrossRef]
  42. Beck, H.E.; Zimmermann, N.E.; McVicar, T.R.; Vergopolan, N.; Berg, A.; Wood, E.F. Present and Future Köppen-Geiger Climate Classification Maps at 1-Km Resolution. Sci. Data 2018, 5, 180214. [Google Scholar] [CrossRef]
  43. EEA. Copernicus Land Monitoring Service (Pan-European). Available online: https://land.copernicus.eu/pan-european/corine-land-cover/clc2018?tab=mapview (accessed on 11 May 2021).
  44. NASA USGS MODIS. Available online: https://modis.gsfc.nasa.gov/data/ (accessed on 10 December 2021).
  45. Didan, K. MOD13A1 MODIS/Terra Vegetation Indices 16-Day L3 Global 500m SIN Grid V006 [Data set] NASA EOSDIS Land Processes Distributed Active Archive Center. 2015. Available online: https://doi.org/10.5067/MODIS/MOD13A1.006 (accessed on 10 December 2021).
  46. Running, S.; Mu, Q.; Zhao, M. MOD17A2H MODIS/Terra Gross Primary Productivity 8-Day L4 Global 500m SIN Grid V006 [Data set]. NASA EOSDIS Land Processes Distributed Active Archive Center. 2015. Available online: https://lpdaac.usgs.gov/products/mod13a2v061/ (accessed on 10 December 2021).
  47. Running, S.; Mu, Q.; Zhao, M. MOD16A2 MODIS/Terra Net Evapotranspiration 8-Day L4 Global 500m SIN Grid V006 [Data set]. NASA EOSDIS Land Processes Distributed Active Archive Center. 2017. Available online: https://doi.org/10.5067/MODIS/MOD16A2.006 (accessed on 10 December 2021).
  48. Wan, Z.; Hook, S.; Hulley, G. MOD11A1 MODIS/Terra Land Surface Temperature/Emissivity Daily L3 Global 1km SIN Grid V006. Available online: https://lpdaac.usgs.gov/products/mod11a1v006/ (accessed on 16 August 2021).
  49. Schaaf, C.; Wang, Z. MCD43A3 MODIS/Terra+Aqua BRDF/Albedo Daily L3 Global—500m V006 [Data set]. NASA EOSDIS Land Processes Distributed Active Archive Center. 2021. Available online: https://doi.org/10.5067/MODIS/MCD43A3.006 (accessed on 10 December 2021).
  50. UNCCD. SDG Indicator 15.3.1; United Nations Convention to Combat Desertification: Bonn, Germany, 2017. [Google Scholar]
  51. Priyadharshini, R.; Radha, M.; Kumaraperumal, R.; Vanitha, G.; Kannan, B. Characterization of Environmental Covariates of Coimbatore District Using Principal Component Analysis. Int. J. Curr. Microbiol. Appl. Sci. 2021, 10, 3114–3123. [Google Scholar] [CrossRef]
  52. Gilbert, R.O. Statistical Methods for Environmental Pollution Monitoring; Van Nostrand Reinhold Company Inc.: New York, NY, USA, 1987; ISBN 0442230508. [Google Scholar]
  53. Mann, H.B. Nonparametric Tests Against Trend. Econometrica 1945, 13, 245–259. [Google Scholar] [CrossRef]
  54. Abdi, H.; Williams, L.J. Principal Component Analysis. WIREs Comput. Stat. 2010, 2, 433–459. [Google Scholar] [CrossRef]
  55. ESRI How Principal Components Works. Available online: https://desktop.arcgis.com/en/arcmap/10.3/tools/spatial-analyst-toolbox/how-principal-components-works.htm (accessed on 10 March 2023).
  56. Fawcett, T. An Introduction to ROC Analysis. Pattern Recognit. Lett. 2006, 27, 861–874. [Google Scholar] [CrossRef]
  57. Robin, X.; Turck, N.; Hainard, A.; Tiberti, N.; Lisacek, F.; Sanchez, J.-C.; Müller, M. PROC: An Open-Source Package for R and S+ to Analyze and Compare ROC Curves. BMC Bioinform. 2011, 12, 77. [Google Scholar] [CrossRef]
  58. Nahm, F.S. Receiver Operating Characteristic Curve: Overview and Practical Use for Clinicians. Korean J. Anesthesiol. 2022, 75, 25–36. [Google Scholar] [CrossRef]
  59. Maliva, R.; Missimer, T. Geology of Arid Lands BT—Arid Lands Water Evaluation and Management; Maliva, R., Missimer, T., Eds.; Springer: Berlin/Heidelberg, Germany, 2012; pp. 43–94. ISBN 978-3-642-29104-3. [Google Scholar]
  60. Prǎvǎlie, R. Climate Issues on Aridity Trends of Southern Oltenia in the Last Five Decades. Geogr. Tech. 2013, 17, 70–79. [Google Scholar]
  61. Zomer, R.J.; Xu, J.; Trabucco, A. Version 3 of the Global Aridity Index and Potential Evapotranspiration Database. Sci. Data 2022, 9, 409. [Google Scholar] [CrossRef] [PubMed]
  62. Greve, P.; Roderick, M.L.; Ukkola, A.M.; Wada, Y. The Aridity Index under Global Warming. Environ. Res. Lett. 2019, 14, 124006. [Google Scholar] [CrossRef]
  63. Chai, R.; Mao, J.; Chen, H.; Wang, Y.; Shi, X.; Jin, M.; Zhao, T.; Hoffman, F.M.; Ricciuto, D.M.; Wullschleger, S.D. Human-Caused Long-Term Changes in Global Aridity. npj Clim. Atmos. Sci. 2021, 4, 65. [Google Scholar] [CrossRef]
  64. Ord, J.K.; Getis, A. Local Spatial Autocorrelation Statistics: Distributional Issues and an Application. Geogr. Anal. 1995, 27, 286–306. [Google Scholar] [CrossRef]
  65. ESRI How Hot Spot Analysis (Getis-Ord Gi*) Works. Available online: https://desktop.arcgis.com/en/arcmap/10.3/tools/spatial-statistics-toolbox/h-how-hot-spot-analysis-getis-ord-gi-spatial-stati.htm (accessed on 15 January 2023).
  66. Angearu, C.V.; Ontel, I.; Boldeanu, G.; Mihailescu, D.; Nertan, A.; Craciunescu, V.; Catana, S.; Irimescu, A. Multi-Temporal Analysis and Trends of the Drought Based on Modis Data in Agricultural Areas, Romania. Remote Sens. 2020, 12, 3940. [Google Scholar] [CrossRef]
  67. Dobri, R.V.; Sfîcă, L.; Amihaaesei, V.A.; Apostol, L.; Timpu, S. Arable Lands in Romania Derived from Normalized Difference Drought Index (2001–2020). Remote Sens. 2021, 13, 1478. [Google Scholar] [CrossRef]
  68. Niacsu, L.; Bucur, D.; Ionita, I.; Codru, I.C. Soil Conservation Measures on Degraded Land in the Hilly Region of Eastern Romania: A Case Study from Puriceni-Bahnari Catchment. Water 2022, 14, 525. [Google Scholar] [CrossRef]
  69. Niacsu, L.; Ionita, I.; Samoila, C.; Grigoras, G.; Blebea-Apostu, A.M. Land Degradation and Soil Conservation Measures in the Moldavian Plateau, Eastern Romania: A Case Study from the Racova Catchment. Water 2021, 13, 2877. [Google Scholar] [CrossRef]
  70. Bilașco, S.; Roșca, S.; Vescan, I.; Fodorean, I.; Dohotar, V.; Sestras, P. A GIS-Based Spatial Analysis Model Approach for Identification of Optimal Hydrotechnical Solutions for Gully Erosion Stabilization. Case Study. Appl. Sci. 2021, 11, 4847. [Google Scholar] [CrossRef]
  71. Sestras, P.; Bilașco, Ș.; Roșca, S.; Dudic, B.; Hysa, A.; Spalević, V. Geodetic and UAV Monitoring in the Sustainable Management of Shallow Landslides and Erosion of a Susceptible Urban Environment. Remote Sens. 2021, 13, 385. [Google Scholar] [CrossRef]
  72. Patriche, C.V. Quantitative Assessment of Rill and Interrill Soil Erosion in Romania. Soil Use Manag. 2019, 35, 257–272. [Google Scholar] [CrossRef]
  73. Marusca, T.; Oprea, A.; Memedemin, D.; Pop, O.G.; Țibirnac, M.; Maftei, D.I.; Simion, I.; Taulescu, E. Assessment of Phytodiversity and Productivity of Steppic Grasslands from ROSCI0201 Podișul Nord-Dobrogean. Delta Dunării 2020, 8, 63–82. [Google Scholar]
  74. Maruşca, T.; Memedemin, D.; Groza, A.; Pop, O.; Simion, I.; Taulescu, E. Comparative Study of Steppic Grasslands Productivity and Grazing Pressurein Babadag and Casimcea Plateaus. Ann. Acad. Rom. Sci. Agric. Silvic. Vet. Med. Sci. 2019, 8, 33–42. [Google Scholar]
  75. Cheval, S.; Dumitrescu, A.; Adamescu, M.; Cazacu, C. Identifying Climate Change Hotspots Relevant for Ecosystems in Romania. Clim. Res. 2020, 80, 165–173. [Google Scholar] [CrossRef]
  76. Achim, E.; Manea, G.; Vijulie, I.; Cocoş, O.; Tarla, L. Ecological Reconstruction of the Plain Areas Prone to Climate Aridity through Forest Protection Belts. Case Study: Dăbuleni Town, Oltenia Plain, Romania. Procedia Environ. Sci. 2012, 14, 154–163. [Google Scholar] [CrossRef][Green Version]
  77. Fraser, E.D.G.; Stringer, L.C. Explaining Agricultural Collapse: Macro-Forces, Micro-Crises and the Emergence of Land Use Vulnerability in Southern Romania. Glob. Environ. Chang. 2009, 19, 45–53. [Google Scholar] [CrossRef]
  78. Secu, C.V.; Stoleriu, C.C.; Lesenciuc, C.D.; Ursu, A. Normalized Sand Index for Identification of Bare Sand Areas in Temperate Climates Using Landsat Images, Application to the South of Romania. Remote Sens. 2022, 14, 3802. [Google Scholar] [CrossRef]
  79. Vijulie, I.; Matei, E.; Manea, G.; Tîrl, L.; Cuculici, R. Land Use Reconversion in the Drought—And Aridity–Affected Areas in SW Romania (Bechet, Dolj County). Analale Univ. Bucurest Ser. Geogr. 2017, 1, 69–81. [Google Scholar]
  80. Kolecka, N. Greening Trends and Their Relationship with Agricultural Land Abandonment across Poland. Remote Sens. Environ. 2021, 257, 112340. [Google Scholar] [CrossRef]
  81. Cho, M.A.; Ramoelo, A. Optimal Dates for Assessing Long-Term Changes in Tree-Cover in the Semi-Arid Biomes of South Africa Using MODIS NDVI Time Series (2001–2018). Int. J. Appl. Earth Obs. Geoinf. 2019, 81, 27–36. [Google Scholar] [CrossRef]
  82. ANANP. Plan de Management Integrat Pentru Situl Natura 2000 ROSPA0135 Nisipurile de La Dăbuleni Şi Aria Protejată de Interes Naţional 2.667 Casa Pădurii Din Pădurea Potelu. 2015. Available online: http://www.mmediu.ro/app/webroot/uploads/files/2015-12-07_Plan_management_ROSPA0135_versiunea_2.pdf (accessed on 15 January 2023).
  83. ANANP. Limitele Ariilor Naturale Protejate. Available online: http://www.mmediu.ro/articol/date-gis/434 (accessed on 15 January 2023).
  84. World Bank Group. Promote Environmentally Sustainable Agriculture. Available online: https://www.worldbank.org/en/topic/agriculture/brief/promote-environmentally-sustainable-agriculture (accessed on 1 June 2023).
  85. Satterthwaite, D.; McGranahan, G.; Tacoli, C. Urbanization and Its Implications for Food and Farming. Philos. Trans. R. Soc. B Biol. Sci. 2010, 365, 2809–2820. [Google Scholar] [CrossRef]
  86. FAO. The Future of Food and Agriculture—Trends and Challenges; FAO: Rome, Italy, 2017.
  87. Arima, E.Y.; Walker, R.T.; Perz, S.; Souza, C. Explaining the Fragmentation in the Brazilian Amazonian Forest. J. Land Use Sci. 2016, 11, 257–277. [Google Scholar] [CrossRef]
Figure 1. Climate types in Romania according to Koppen–Geiger classification (1980–2016) [44] and the geographical location of Romania in Europe (in the medallion).
Figure 1. Climate types in Romania according to Koppen–Geiger classification (1980–2016) [44] and the geographical location of Romania in Europe (in the medallion).
Remotesensing 15 04842 g001
Figure 2. (a) Land use in Romania according to Corine Land Cover 2018 [45]. (b) The surface occupied by the main categories of land use in different climatic zones in Romania (in km2).
Figure 2. (a) Land use in Romania according to Corine Land Cover 2018 [45]. (b) The surface occupied by the main categories of land use in different climatic zones in Romania (in km2).
Remotesensing 15 04842 g002
Figure 3. Methodological flowchart of this study. NDVI, NPP, ET, LST, and BSA are biophysical parameters; z-score represents the anomaly of each parameter; z value—trend and p value—statistical significance according to the Mann-Kendall test; NDVI-Trend, NPP-Trend, ET-Trend, LST-Trend, and BSA-Trend resulted from the combination of the z value and p value parameters; LDM—index for assessing the intensity of land degradation.
Figure 3. Methodological flowchart of this study. NDVI, NPP, ET, LST, and BSA are biophysical parameters; z-score represents the anomaly of each parameter; z value—trend and p value—statistical significance according to the Mann-Kendall test; NDVI-Trend, NPP-Trend, ET-Trend, LST-Trend, and BSA-Trend resulted from the combination of the z value and p value parameters; LDM—index for assessing the intensity of land degradation.
Remotesensing 15 04842 g003
Figure 4. The ROC and AUC for (a) forest ecosystems, (b) grassland ecosystems, (c) arable land, and (d) for all other type of land use (including agriculture and natural areas).
Figure 4. The ROC and AUC for (a) forest ecosystems, (b) grassland ecosystems, (c) arable land, and (d) for all other type of land use (including agriculture and natural areas).
Remotesensing 15 04842 g004
Figure 5. Spatial distribution of remote sensing index trends: (a) Black Sky Albedo; (b) Land Surface Temperature; (c) Normalized Difference Vegetation Index; (d) Net Primary Productivity; (e) Evapotranspiration.
Figure 5. Spatial distribution of remote sensing index trends: (a) Black Sky Albedo; (b) Land Surface Temperature; (c) Normalized Difference Vegetation Index; (d) Net Primary Productivity; (e) Evapotranspiration.
Remotesensing 15 04842 g005
Figure 6. Spatial distribution of land degradation in Romania.
Figure 6. Spatial distribution of land degradation in Romania.
Remotesensing 15 04842 g006
Figure 7. Spatial distribution of LD in susceptible areas to DS processes in Romania. ESA represents extremely susceptible areas, HSA—high susceptible areas, MSA—moderately susceptible areas, and SSA—slightly susceptible areas.
Figure 7. Spatial distribution of LD in susceptible areas to DS processes in Romania. ESA represents extremely susceptible areas, HSA—high susceptible areas, MSA—moderately susceptible areas, and SSA—slightly susceptible areas.
Remotesensing 15 04842 g007
Figure 8. Hot spots of LD in areas susceptible to DS processes. Confidence levels indicate the thresholds for which the null hypothesis is rejected.
Figure 8. Hot spots of LD in areas susceptible to DS processes. Confidence levels indicate the thresholds for which the null hypothesis is rejected.
Remotesensing 15 04842 g008
Table 1. Remote sensing and auxiliary data used for LD and DS identification and validation.
Table 1. Remote sensing and auxiliary data used for LD and DS identification and validation.
Data NamePeriodResolutionData TypeSource
Normalized Difference Vegetation Index (MOD13A1v006)2001–2020500 mrasterNASA EOSDIS [47]
Net photosynthesis (MOD17A2HV6)2001–2020500 mrasterNASA EOSDIS [48]
Total evapotranspiration (MOD16A2v006)2001–2020500 mrasterNASA EOSDIS [49]
Land Surface Temperature (MOD11A2v006)2001–20201000 mrasterNASA EOSDIS [50]
Black sky albedo (MCD43A3v006)2001–2020500 mrasterNASA EOSDIS [51]
Precipitation (P)1991–2020-vectorNational Meteorological Administration
Potential evapotranspiration (ETP)1991-2020-vectorNational Meteorological Administration
CORINE Land Cover (CLC)2018100 mrasterCopernicus Land Monitoring Service [45]
Degraded ecosystems2016–2018-vectorThe atlas of degraded ecosystems from Romania [22]
Land degradation indicator2001–2015250 mrasterTrends.Earth SDG 15.3.1 indicator [52]
Table 2. Scores assigned using trend classification (z value), significance level (p value), and confidence levels.
Table 2. Scores assigned using trend classification (z value), significance level (p value), and confidence levels.
Trend (According z Value)Significance Level (p Value)Score *Confidence Levels
±0 to 0.001599.9% confidence level
0.001 to 0.01499% confidence level
0.01 to 0.05395% confidence level
0.05 to 0.1290% confidence level
0.1 to 11<90% No Sig. trend
* Represents the values assigned to the classes obtained after the classification.
Table 3. Principal Component Analysis.
Table 3. Principal Component Analysis.
PCPC1PC2PC3PC4PC5
EigenvectorsNDVI-Trend0.602430.179290.559360.533910.08364
NPP-Trend0.001310.612810.40223−0.57068−0.37014
ET-Trend0.190800.70214−0.607940.141250.28471
BSA-Trend0.77391−0.31466−0.27073−0.47023−0.08743
LST-Trend0.041740.01780−0.287140.38497−0.87595
Eigenvalues5.307891.262910.851490.678950.56581
Percent of Eigenvalues (%)61.242214.57149.82447.83376.5283
Accumulative of Eigenvalues (%)61.242275.813685.638193.4717100
Table 4. LDM value classification.
Table 4. LDM value classification.
ValuesDescription
<−1Land Degradation
−1 to 1Stable
>1Improvement
Table 5. Interpretation of the Area Under the Curve [60].
Table 5. Interpretation of the Area Under the Curve [60].
Area Under the Curve (AUC)Interpretation
90% ≤ AUCExcellent
80% ≤ AUC < 90%Good
70% ≤ AUC < 80%Fair
60% ≤ AUC < 70%Poor
50% ≤ AUC < 60%Fail
Table 6. The degree of climate susceptibility to desertification processes.
Table 6. The degree of climate susceptibility to desertification processes.
Dryland Areas (Aridity Index between 0.2 and 0.65)Koeppen-Geiger Climate TypesDegree of Climate Susceptibility to DSScore
Semi-aridBSKExtremely susceptible areas (ESA)−4
CfaHigh susceptible areas (HSA)−3
Dry sub-humidCfaModerately susceptible areas (MSA)−2
CfbSlightly susceptible areas (SSA)−1
Table 7. The statistical significance of hot and cold spots according to Getis-Ord Gi* statistics.
Table 7. The statistical significance of hot and cold spots according to Getis-Ord Gi* statistics.
z-Score (Standard Deviations)p-Value (Probability)Confidence Level
<−1.65 or >+1.65<0.1090%
<−1.96 or >+1.96<0.0595%
<−2.58 or >+2.58<0.0199%
−1.65 to +1.65>0.10<90% Not statistically significant
Disclaimer/Publisher’s Note: The statements, opinions and data contained in all publications are solely those of the individual author(s) and contributor(s) and not of MDPI and/or the editor(s). MDPI and/or the editor(s) disclaim responsibility for any injury to people or property resulting from any ideas, methods, instructions or products referred to in the content.

Share and Cite

MDPI and ACS Style

Ontel, I.; Cheval, S.; Irimescu, A.; Boldeanu, G.; Amihaesei, V.-A.; Mihailescu, D.; Nertan, A.; Angearu, C.-V.; Craciunescu, V. Assessing the Recent Trends of Land Degradation and Desertification in Romania Using Remote Sensing Indicators. Remote Sens. 2023, 15, 4842. https://doi.org/10.3390/rs15194842

AMA Style

Ontel I, Cheval S, Irimescu A, Boldeanu G, Amihaesei V-A, Mihailescu D, Nertan A, Angearu C-V, Craciunescu V. Assessing the Recent Trends of Land Degradation and Desertification in Romania Using Remote Sensing Indicators. Remote Sensing. 2023; 15(19):4842. https://doi.org/10.3390/rs15194842

Chicago/Turabian Style

Ontel, Irina, Sorin Cheval, Anisoara Irimescu, George Boldeanu, Vlad-Alexandru Amihaesei, Denis Mihailescu, Argentina Nertan, Claudiu-Valeriu Angearu, and Vasile Craciunescu. 2023. "Assessing the Recent Trends of Land Degradation and Desertification in Romania Using Remote Sensing Indicators" Remote Sensing 15, no. 19: 4842. https://doi.org/10.3390/rs15194842

APA Style

Ontel, I., Cheval, S., Irimescu, A., Boldeanu, G., Amihaesei, V.-A., Mihailescu, D., Nertan, A., Angearu, C.-V., & Craciunescu, V. (2023). Assessing the Recent Trends of Land Degradation and Desertification in Romania Using Remote Sensing Indicators. Remote Sensing, 15(19), 4842. https://doi.org/10.3390/rs15194842

Note that from the first issue of 2016, this journal uses article numbers instead of page numbers. See further details here.

Article Metrics

Back to TopTop