Assessing the Accuracy of Multi-Temporal GlobeLand30 Products in China Using a Spatiotemporal Stratified Sampling Method
Abstract
:1. Introduction
2. Methodology
2.1. Dataset
2.2. Spatiotemporal Stratification and Simplification
2.3. Sample Size Determination and Allocation
2.4. Accuracy Analysis and Area Estimation
3. Results and Discussion
3.1. The Spatiotemporal Stratified Sampling of GlobeLand30 in China
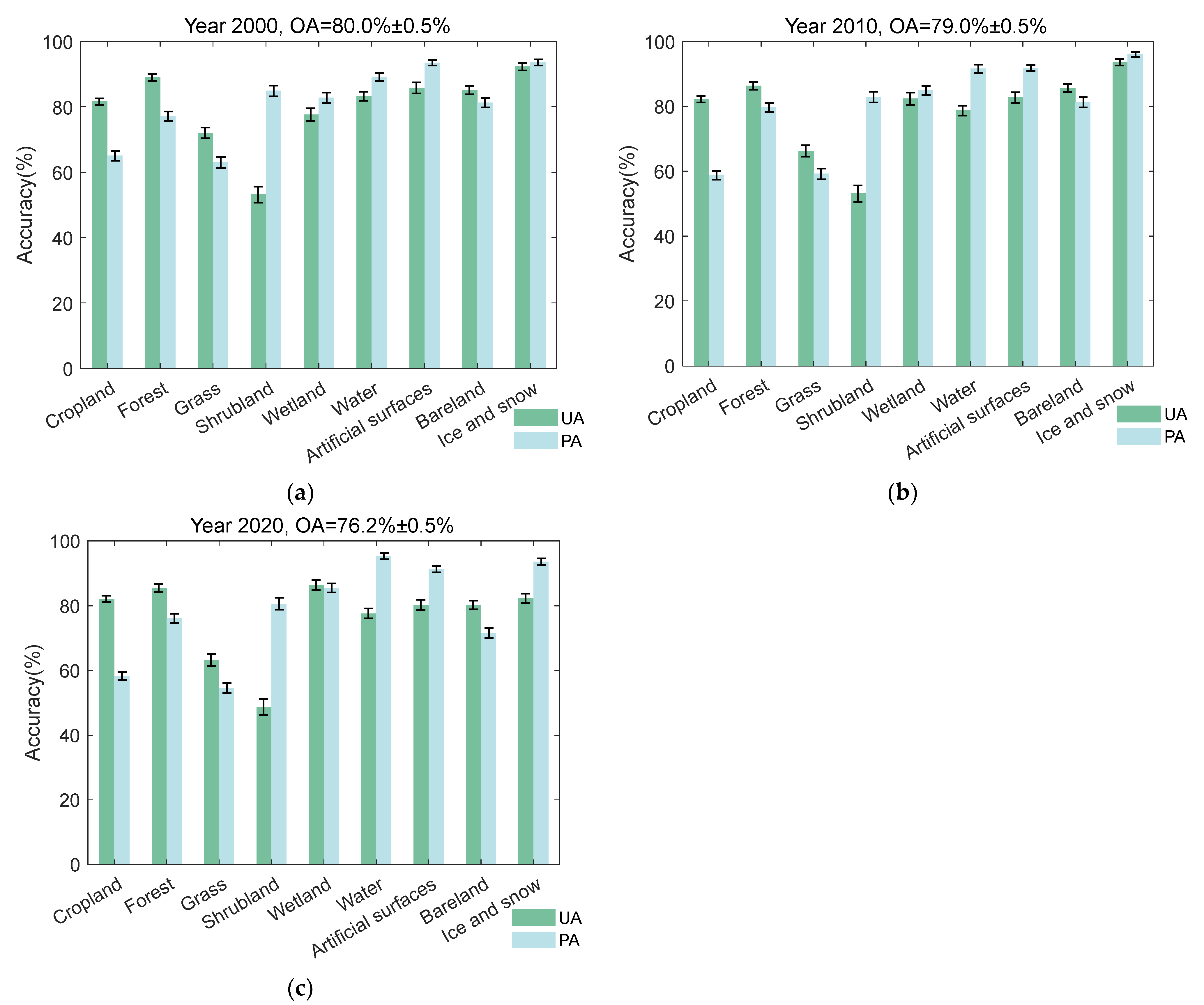
3.2. Multi-Temporal and Specified Class Accuracy
3.3. Single Data and Multiclass Accuracy
3.3.1. The Accuracy of All Strata for Each Class
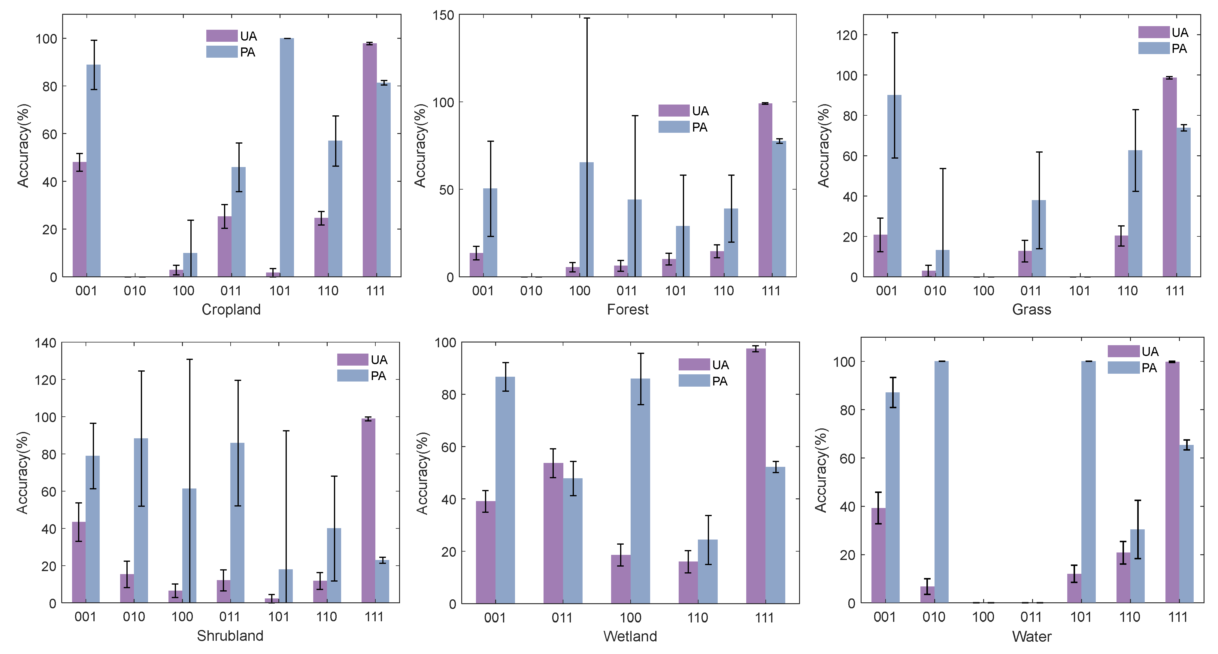
3.3.2. The Combined Accuracy of the Strata That Changed Once and the Strata That Were Stable and Unchanged
3.3.3. The Combined Accuracy of the Three Periods as Stable and Unchanged Strata
3.4. Binary Change and No-Change Accuracy
3.5. Specific Class Binary Change Area Estimation
4. Conclusions
Author Contributions
Funding
Data Availability Statement
Conflicts of Interest
References
- Hollmann, R.; Merchant, C.J.; Saunders, R.; Downy, C.; Buchwitz, M.; Cazenave, A.; Chuvieco, E.; Defourny, P.; De Leeuw, G.; Forsberg, R.; et al. The ESA climate change initiative: Satellite data records for essential climate variables. Bull. Am. Meteorol. Soc. 2013, 94, 1541–1552. [Google Scholar] [CrossRef]
- Stehman, S.V.; Foody, G.M. Key issues in rigorous accuracy assessment of land cover products. Remote Sens. Environ. 2019, 231, 111199. [Google Scholar] [CrossRef]
- Houghton, R.A.; House, J.I.; Pongratz, J.; Werf, G.v.d.; DeFries, R.S.; Hansen, M.C.; Le Quéré, C.; Ramankutty, N. Carbon emissions from land use and land-cover change. Biogeosciences 2012, 9, 5125–5142. [Google Scholar] [CrossRef]
- Tang, X.; Bullock, E.L.; Olofsson, P.; Estel, S.; Woodcock, C.E. Near real-time monitoring of tropical forest disturbance: New algorithms and assessment framework. Remote Sens. Environ. 2019, 224, 202–218. [Google Scholar] [CrossRef]
- Wulder, M.A.; Loveland, T.R.; Roy, D.P.; Crawford, C.J.; Masek, J.G.; Woodcock, C.E.; Allen, R.G.; Anderson, M.C.; Belward, A.S.; Cohen, W.B.; et al. Current status of Landsat program, science, and applications. Remote Sens. Environ. 2019, 225, 127–147. [Google Scholar] [CrossRef]
- Potapov, P.; Hansen, M.C.; Pickens, A.; Hernandez-Serna, A.; Tyukavina, A.; Turubanova, S.; Zalles, V.; Li, X.; Khan, A.; Stolle, F.; et al. The Global 2000–2020 Land Cover and Land Use Change Dataset Derived from the Landsat Archive: First Results. Front. Remote Sens. 2022, 3, 856903. [Google Scholar] [CrossRef]
- Verburg, P.H.; Mertz, O.; Erb, K.-H.; Haberl, H.; Wu, W. Land system change and food security: Towards multi-scale land system solutions. Curr. Opin. Environ. Sustain. 2013, 5, 494–502. [Google Scholar] [CrossRef]
- Liu, J.; Kuang, W.; Zhang, Z.; Xu, X.; Qin, Y.; Ning, J.; Zhou, W.; Zhang, S.; Li, R.; Yan, C.; et al. Spatiotemporal characteristics, patterns, and causes of land-use changes in China since the late 1980s. J. Geogr. Sci. 2014, 24, 195–210. [Google Scholar] [CrossRef]
- Findell, K.L.; Berg, A.; Gentine, P.; Krasting, J.P.; Lintner, B.R.; Malyshev, S.; Santanello, J.A.; Shevliakova, E. The impact of anthropogenic land use and land cover change on regional climate extremes. Nat. Commun. 2017, 8, 989. [Google Scholar] [CrossRef] [PubMed]
- Diwediga, B.; Agodzo, S.; Wala, K.; Le, Q.B. Assessment of multifunctional landscapes dynamics in the mountainous basin of the Mo River (Togo, West Africa). J. Geogr. Sci. 2017, 27, 579–605. [Google Scholar] [CrossRef]
- Yin, C.; Zhao, W.; Pereira, P. Soil conservation service underpins sustainable development goals. Glob. Ecol. Conserv. 2022, 33, e01974. [Google Scholar] [CrossRef]
- Stehman, S.V. Estimating area and map accuracy for stratified random sampling when the strata are different from the map classes. Int. J. Remote Sens. 2014, 35, 4923–4939. [Google Scholar] [CrossRef]
- Congalton, R.G.; Green, K. Assessing the Accuracy of Remotely Sensed Data: Principles and Practices; Lewis Publishers: Boca Raton, FL, USA, 1999. [Google Scholar]
- Stehman, S.V.; Czaplewski, R.L. Introduction to special issue on map accuracy. Environ. Ecol. Stat. 2003, 10, 301–308. [Google Scholar] [CrossRef]
- Gallego, F.J. Remote sensing and land cover area estimation. Int. J. Remote Sens. 2004, 25, 3019–3047. [Google Scholar] [CrossRef]
- Olofsson, P.; Foody, G.M.; Herold, M.; Stehman, S.V.; Woodcock, C.E.; Wulder, M.A. Good practices for estimating area and assessing accuracy of land change. Remote Sens. Environ. 2014, 148, 42–57. [Google Scholar] [CrossRef]
- Wickham, J.; Stehman, S.V.; Sorenson, D.G.; Gass, L.; Dewitz, J.A. Thematic accuracy assessment of the NLCD 2019 land cover for the conterminous United States. GISci. Remote Sens. 2023, 60, 2181143. [Google Scholar] [CrossRef]
- Wickham, J.; Stehman, S.V.; Sorenson, D.G.; Gass, L.; Dewitz, J.A. Thematic accuracy assessment of the NLCD 2016 land cover for the conterminous United States. Remote Sens. Environ. 2021, 257, 112357. [Google Scholar] [CrossRef]
- Arévalo, P.; Olofsson, P.; Woodcock, C.E. Continuous monitoring of land change activities and post-disturbance dynamics from Landsat time series: A test methodology for REDD+ reporting. Remote Sens. Environ. 2020, 238, 111051. [Google Scholar] [CrossRef]
- Chen, J.; Chen, J.; Liao, A.; Cao, X.; Chen, L.; Chen, X.; He, C.; Han, G.; Peng, S.; Lu, M.; et al. Global land cover mapping at 30 m resolution: A POK-based operational approach. Isprs J. Photogramm. Remote Sens. 2015, 103, 7–27. [Google Scholar] [CrossRef]
- Chughtai, A.H.; Abbasi, H.; Karas, I.R. A review on change detection method and accuracy assessment for land use land cover. Remote Sens. Appl. Soc. Environ. 2021, 22, 100482. [Google Scholar] [CrossRef]
- Tong, X.; Wang, Z.; Xie, H.; Liang, D.; Jiang, Z.; Li, J.; Li, J. Designing a two-rank acceptance sampling plan for quality inspection of geospatial data products. Comput. Geosci. 2011, 37, 1570–1583. [Google Scholar] [CrossRef]
- Olofsson, P.; Arévalo, P.; Espejo, A.B.; Green, C.; Lindquist, E.; McRoberts, R.E.; Sanz, M.J. Mitigating the effects of omission errors on area and area change estimates. Remote Sens. Environ. 2020, 236, 111492. [Google Scholar] [CrossRef]
- Hao, X.; Qiu, Y.; Jia, G.; Menenti, M.; Ma, J.; Jiang, Z. Evaluation of Global Land Use—Land Cover Data Products in Guangxi, China. Remote Sens. 2023, 15, 1291. [Google Scholar] [CrossRef]
- Auch, R.F.; Wellington, D.F.; Taylor, J.L.; Stehman, S.V.; Tollerud, H.J.; Brown, J.F.; Loveland, T.R.; Pengra, B.W.; Horton, J.A.; Zhu, Z.; et al. Conterminous United States Land-Cover Change (1985–2016): New Insights from Annual Time Series. Land 2022, 11, 298. [Google Scholar] [CrossRef]
- Potapov, P.; Turubanova, S.; Hansen, M.C.; Tyukavina, A.; Zalles, V.; Khan, A.; Song, X.-P.; Pickens, A.; Shen, Q.; Cortez, J. Global maps of cropland extent and change show accelerated cropland expansion in the twenty-first century. Nat. Food 2022, 3, 19–28. [Google Scholar] [CrossRef] [PubMed]
- Wickham, J.D.; Stehman, S.V.; Gass, L.; Dewitz, J.; Fry, J.A.; Wade, T.G. Accuracy assessment of NLCD 2006 land cover and impervious surface. Remote Sens. Environ. 2013, 130, 294–304. [Google Scholar] [CrossRef]
- Yang, J.; Huang, X. The 30 m annual land cover dataset and its dynamics in China from 1990 to 2019. Earth Syst. Sci. Data 2021, 13, 3907–3925. [Google Scholar] [CrossRef]
- Tyukavina, A.; Potapov, P.; Hansen, M.C.; Pickens, A.H.; Stehman, S.V.; Turubanova, S.; Parker, D.; Zalles, V.; Lima, A.; Kommareddy, I.; et al. Global Trends of Forest Loss Due to Fire from 2001 to 2019. Front. Remote Sens. 2022, 3, 825190. [Google Scholar] [CrossRef]
- Song, X.-P.; Li, H.; Potapov, P.; Hansen, M.C. Annual 30 m soybean yield mapping in Brazil using long-term satellite observations, climate data and machine learning. Agric. For. Meteorol. 2022, 326, 109186. [Google Scholar] [CrossRef]
- Strahler, A.H.; Boschetti, L.; Foody, G.M.; Friedl, M.A.; Hansen, M.C.; Herold, M.; Mayaux, P.; Morisette, J.T.; Stehman, S.V.; Woodcock, C.E. Global Land Cover Validation: Recommendations for Evaluation and Accuracy Assessment of Global Land Cover Maps; Report of Institute of Environmental Sustainability; Joint Research Centre; Institute of Environmental Sustainability: Luxembourg, 2006. [Google Scholar]
- Cochran, W.G. Sampling Techniques, 3rd ed.; John Wiley & Sons: New York, NY, USA, 1977. [Google Scholar]
- Stehman, S.V.; Czaplewski, R.L. Design and Analysis for Thematic Map Accuracy Assessment: Fundamental Principles. Remote Sens. Environ. 1998, 64, 331–344. [Google Scholar] [CrossRef]
- Stehman, S.V. Statistical Rigor and Practical Utility in Thematic Map Accuracy Assessment. Photogramm. Eng. Remote Sens. 2001, 67, 727–734. [Google Scholar]
- Wickham, J.; Stehman, S.V.; Gass, L.; Dewitz, J.A.; Sorenson, D.G.; Granneman, B.J.; Poss, R.V.; Baer, L.A. Thematic accuracy assessment of the 2011 National Land Cover Database (NLCD). Remote Sens. Environ. 2017, 191, 328–341. [Google Scholar] [CrossRef] [PubMed]
- Clark, M.L.; Aide, T.M.; Grau, H.R.; Riner, G. A scalable approach to mapping annual land cover at 250 m using MODIS time series data: A case study in the Dry Chaco ecoregion of South America. Remote Sens. Environ. 2010, 114, 2816–2832. [Google Scholar] [CrossRef]
- Bicheron, P.; Amberg, V.; Bourg, L.; Petit, D.; Huc, M.; Miras, B.; Brockmann, C.; Hagolle, O.; Delwart, S.; Ranéra, F.; et al. Geolocation assessment of MERIS GlobCover orthorectified products. IEEE Trans. Geosci. Remote Sens. 2011, 49, 2972–2982. [Google Scholar] [CrossRef]
- Pengra, B.W.; Stehman, S.V.; Horton, J.A.; Dockter, D.J.; Schroeder, T.A.; Yang, Z.; Cohen, W.B.; Healey, S.P.; Loveland, T.R. Quality control and assessment of interpreter consistency of annual land cover reference data in an operational national monitoring program. Remote Sens. Environ. 2020, 238, 111261. [Google Scholar] [CrossRef]
- Mayaux, P.; Eva, H.; Gallego, J.; Strahler, A.H.; Herold, M.; Agrawal, S.; Naumov, S.; Miranda, E.D.; Bella, C.; Ordoyne, C. Validation of the global land cover 2000 map. IEEE Trans. Geosci. Remote Sens. 2006, 44, 1728–1739. [Google Scholar] [CrossRef]
- See, L.; Georgieva, I.; Duerauer, M.; Kemper, T.; Corbane, C.; Maffenini, L.; Gallego, J.; Pesaresi, M.; Sirbu, F.; Ahmed, R.; et al. A crowdsourced global data set for validating built-up surface layers. Sci. Data 2022, 9, 13. [Google Scholar] [CrossRef]
- Stehman, S.V. Estimating area from an accuracy assessment error matrix. Remote Sens. Environ. 2013, 132, 202–211. [Google Scholar] [CrossRef]
- Xie, H.; Wang, F.; Gong, Y.; Tong, X.; Jin, Y.; Zhao, A.; Wei, C.; Zhang, X.; Liao, S. Spatially Balanced Sampling for Validation of GlobeLand30 Using Landscape Pattern-Based Inclusion Probability. Sustainability 2022, 14, 2479. [Google Scholar] [CrossRef]
- Wang, Y.; Zhang, J.; Liu, D.; Yang, W.; Zhang, W. Accuracy Assessment of GlobeLand30 2010 Land Cover over China Based on Geographically and Categorically Stratified Validation Sample Data. Remote Sens. 2018, 10, 1213. [Google Scholar] [CrossRef]













| Category | Description |
|---|---|
| Cropland | Area used for the production of annual cultivated crops, such as corn, paddy land, vegetables, fruit trees, tilled tidal flats, mudflats, etc. |
| Forest | Area refers to land with a crown density of more than 10% but also includes land with a crown density of less than 10% that is not used for other land types. |
| Grassland | Area dominated by natural grassland with a total vegetation coverage ratio of more than 20%, including areas used for animal husbandry production and all kinds of natural grassland, such as meadows, savannas, etc. |
| Shrub | Area dominated by relatively low-growing plants without a main stem and with a total vegetation cover of more than 20%. |
| Wetland | A confluence of land and water near or at the surface of the ground or of shallow water and soil with a bog or hygrophyte growth in a wetland section. |
| Water | Liquid water on land surfaces, including rivers, lakes, reservoirs, ponds, fishponds, etc., except for cultivated land, such as paddy fields, wetlands, multi-year snow-covered areas or glaciers, and marine types. |
| Artificial surfaces | Area formed by artificial activities covered by asphalt, concrete, sand, stone, brick, glass, and other building materials, including residential areas, industrial and mining land, land for transportation facilities, etc. |
| Bare land | Land with less than 20% total vegetation cover, including saline-alkali surfaces, sandy land, gravel land, rocky land, biological crusts, etc., but excludes human-made cover, tidal flats, sea surfaces, etc. |
| Ice and snow | Permanent snow-covered areas, ice caps, and glaciers. Seasonal snow and ice-covered areas on land and water are not included in this category. |
| Category | Stratum | Binary Coding |
|---|---|---|
| Cropland | Stable cropland, cropland gain from 2000 to 2010, cropland loss from 2000 to 2010, cropland gain from 2010 to 2020, cropland loss from 2010 to 2020, cropland gain then loss, cropland loss then gain. | 111, 011, 100, 001, 110, 010, 101 |
| Forest | Stable forest, forest gain from 2000 to 2010, forest loss from 2000 to 2010, forest gain from 2010 to 2020, forest loss from 2010 to 2020, forest gain then loss, forest loss then gain. | 111, 011, 100, 001, 110, 010, 101 |
| Grass | Stable grass, grass gain from 2000 to 2010, grass loss from 2000 to 2010, grass gain from 2010 to 2020, grass loss from 2010 to 2020, grass gain then loss, grass loss then gain. | 111, 011, 100, 001, 110, 010, 101 |
| Shrub | Stable shrub, shrub gain from 2000 to 2010, shrub loss from 2000 to 2010, shrub gain from 2010 to 2020, shrub loss from 2010 to 2020, shrub gain then loss, shrub loss then gain. | 111, 011, 100, 001, 110, 010, 101 |
| Wetland | Stable wetland, wetland loss from 2000 to 2010, wetland loss from 2010 to 2020, wetland gain from 2000 to 2010, wetland gain from 2010 to 2020. | 111, 011, 100, 001, 110 |
| Water | Stable water, water gain from 2000 to 2010, water loss from 2000 to 2010, water gain from 2010 to 2020, water loss from 2010 to 2020, water gain then loss, water loss then gain. | 111, 011, 100, 001, 110, 010, 101 |
| Artificial surfaces | Stable artificial surfaces, artificial surfaces gain from 2000 to 2010, and artificial surfaces gain from 2010 to 2020. | 111, 011, 001, |
| Bare land | Stable bare land, bare land gain from 2000 to 2010, bare land loss from 2000 to 2010, bare land gain from 2010 to 2020, bare land loss from 2010 to 2020. | 111, 011, 100, 001, 110 |
| Ice and snow | Stable ice and snow, ice and snow gain from 2000 to 2010, ice and snow loss from 2000 to 2010, ice and snow gain from 2010 to 2020, ice and snow loss from 2010 to 2020. | 111, 011, 100, 001, 110 |
| Land Cover Class | Sample Size | Land Cover Class | Sample Size |
|---|---|---|---|
| Cropland | 1987 | Water | 1030 |
| Forest | 1236 | Artificial surfaces | 622 |
| Grassland | 1041 | Bare land | 1107 |
| Shrub | 717 | Ice and snow | 904 |
| Wetland | 694 | Total | 9338 |
| Stratum | Pixels | % | Proportionally | Adjusted |
|---|---|---|---|---|
| Forest gain from 2010 to 2020 | 74,895,126 | 6.5 | 143 | 143 |
| Forest gain then loss | 36,502,895 | 3.1 | 70 | 100 |
| Forest gain from 2000 to 2010 | 52,240,761 | 4.5 | 100 | 100 |
| Forest loss from 2000 to 2010 | 46,593,596 | 4 | 89 | 100 |
| Forest loss then gain | 31,190,465 | 2.7 | 59 | 100 |
| Forest loss from 2010 to 2020 | 60,876,520 | 5.3 | 116 | 116 |
| Stable forest | 857,387,729 | 73.9 | 557 | 557 |
| Total | 1,159,687,092 | 100% | 1134 | 1216 |
| Cropland Map | Reference | |||||||
|---|---|---|---|---|---|---|---|---|
| 2000–2010 OA = 95.1 ± 0.5% | 2010–2020 OA = 92.6 ± 0.6% | |||||||
| Unchanged | Change | Total | UA (%) | Unchanged | Change | Total | UA (%) | |
| Unchanged | 0.9472 | 0.0095 | 0.9567 | 99 (0.3) | 0.9051 | 0.0139 | 0.919 | 98.5 (0.4) |
| Changed | 0.0394 | 0.0039 | 0.0433 | 9 (1.4) | 0.0598 | 0.0211 | 0.0809 | 26.1 (1.6) |
| Total | 0.9866 | 0.0134 | 0.9649 | 0.035 | ||||
| PA (%) | 96 (0.2) | 29.1 (9.7) | 93.8 (0.3) | 60.3 (5.6) | ||||
| Forest Map | Reference | |||||||
| 2000–2010 OA = 94.79 ± 0.7% | 2010–2020 OA = 93.5 ± 0.7% | |||||||
| Unchanged | Changed | Total | UA | Unchanged | Changed | Total | UA | |
| Unchanged | 0.9416 | 0.0038 | 0.9454 | 99.6 (0.2) | 0.9240 | 0.0082 | 0.9322 | 99.1 (0.4) |
| Changed | 0.0483 | 0.0063 | 0.0546 | 11.5 (1.6) | 0.0573 | 0.0105 | 0.0678 | 15.4 (1.7) |
| Total | 0.9899 | 0.0101 | 0.9813 | 0.0187 | ||||
| PA | 95.1 (0.2) | 62.2 (14.7) | 94.2 (0.3) | 55.9 (10.2) | ||||
| Grass Map | Reference | |||||||
| 2000–2010 OA = 92.42 ± 0.9% | 2010–2020 OA = 92.4 ± 0.9% | |||||||
| Unchanged | Changed | Total | UA | Unchanged | Changed | Total | UA | |
| Unchanged | 0.9217 | 0.0095 | 0.9312 | 99 (0.4) | 0.9142 | 0.0025 | 0.9167 | 99.7 (0.2) |
| Changed | 0.0663 | 0.0025 | 0.0688 | 3.7 (0.9) | 0.0735 | 0.0098 | 0.0833 | 11.7 (1.6) |
| Total | 0.988 | 0.012 | 0.9877 | 0.0123 | ||||
| PA | 93.3 (0.3) | 21.1 (19.8) | 92.6 (0.4) | 79.6 (12.5) | ||||
| Shrub Map | Reference | |||||||
| 2000–2010 OA = 60.2 ± 2% | 2010–2020 OA = 57.1 ± 2% | |||||||
| Unchanged | Changed | Total | UA | Unchanged | Changed | Total | UA | |
| Unchanged | 0.5780 | 0 | 0.578 | 1 (0) | 0.5311 | 0.0190 | 0.5501 | 96.5 (1.2) |
| Changed | 0.3983 | 0.0237 | 0.422 | 5.6 (1.1) | 0.4096 | 0.0402 | 0.4498 | 8.9 (1.4) |
| Total | 0.9763 | 0.0237 | 0.9407 | 0.0592 | ||||
| PA | 59.2 (1.3) | 1 (0) | 56.5 (1.2) | 67.9 (12.1) | ||||
| Wetland Map | Reference | |||||||
| 2000–2010 OA = 74.29 ± 1.9% | 2010–2020 OA = 69.3 ± 1.9% | |||||||
| Unchanged | Changed | Total | UA | Unchanged | Changed | Total | UA | |
| Unchanged | 0.6562 | 0.003 | 0.6157 | 99.5 (0.4) | 0.547 | 0.0187 | 0.5657 | 96.7 (1) |
| Changed | 0.254 | 0.0867 | 0.3843 | 25.4 (2.8) | 0.2886 | 0.1458 | 0.4344 | 33.6 (2.7) |
| Total | 0.9407 | 0.0593 | 0.8356 | 0.1645 | ||||
| PA | 72.1(1.4) | 96.6 (2.3) | 865.5 (1.7) | 88.7 (2.9) | ||||
| Water Map | Reference | |||||||
| 2000–2010 OA = 88.7 ± 1% | 2010–2020 OA = 86.7 ± 1.1% | |||||||
| Unchanged | Changed | Total | UA | Unchanged | Changed | Total | UA | |
| Unchanged | 0.8576 | 0.0019 | 0.8595 | 99.8 (0.2) | 0.8304 | 0.0073 | 0.8377 | 99.1 (0.4) |
| Changed | 0.1115 | 0.0290 | 0.1405 | 20.7 (2) | 0.1254 | 0.0368 | 0.1622 | 22.7 (2.1) |
| Total | 0.9691 | 0.0309 | 0.9558 | 0.0441 | ||||
| PA | 88.5 (0.5) | 94 (4) | 86.9 (0.6) | 83.4 (5.7) | ||||
| Artificial surfaces Map | Reference | |||||||
| 2000–2010 OA = 82 ± 1.7% | 2010–2020 OA = 60.5 ± 2% | |||||||
| Unchanged | Changed | Total | UA | Unchanged | Changed | Total | UA | |
| Unchanged | 0.7333 | 0.0106 | 0.7439 | 98.6 (0.6) | 0.4642 | 0.0141 | 0.4783 | 97.1 (0.7) |
| Changed | 0.1691 | 0.0871 | 0.2562 | 34 (4.7) | 0.3809 | 0.1409 | 0.5218 | 27 (4.4) |
| Total | 0.9024 | 0.0977 | 0.8451 | 0.155 | ||||
| PA | 81.3 (1.7) | 89.2 (4.2) | 54.9 (2.3) | 90.9 (2.8) | ||||
| Bare land Map | Reference | |||||||
| 2000–2010 OA = 93 ± 0.8% | 2010–2020 OA = 92 ± 0.9% | |||||||
| Unchanged | Changed | Total | UA | Unchanged | Changed | Total | UA | |
| Unchanged | 0.9256 | 0.0021 | 0.9277 | 99.8 (0.2) | 0.9129 | 0.0005 | 0.9167 | 99.9 (0.1) |
| Changed | 0.0679 | 0.0044 | 0.0723 | 6.1 (1.5) | 0.0793 | 0.0073 | 0.0833 | 8.5 (1.6) |
| Total | 0.988 | 0.012 | 0.9877 | 0.0123 | ||||
| PA | 93.2 (0.3) | 67.4 (23.2) | 92 (0.4) | 93.2 (9.2) | ||||
| Ice and snow Map | Reference | |||||||
| 2000–2010 OA = 87.7 ± 1.3% | 2010–2020 OA = 58.7 ± 1.7% | |||||||
| Unchanged | Changed | Total | UA | Unchanged | Changed | Total | UA | |
| Unchanged | 0.8724 | 0 | 0.6157 | 1 (0) | 0.5709 | 0.0002 | 0.7818 | 99.9 (0.1) |
| Changed | 0.1228 | 0.0047 | 0.3843 | 3.7 (1.3) | 0.4127 | 0.0163 | 0.2182 | 3.8 (1.1) |
| Total | 0.9952 | 0.0047 | 0.941 | 0.059 | ||||
| PA | 87.7 (0.8) | 1 (0) | 58 (1.5) | 99 (2.6) | ||||
Disclaimer/Publisher’s Note: The statements, opinions and data contained in all publications are solely those of the individual author(s) and contributor(s) and not of MDPI and/or the editor(s). MDPI and/or the editor(s) disclaim responsibility for any injury to people or property resulting from any ideas, methods, instructions or products referred to in the content. |
© 2023 by the authors. Licensee MDPI, Basel, Switzerland. This article is an open access article distributed under the terms and conditions of the Creative Commons Attribution (CC BY) license (https://creativecommons.org/licenses/by/4.0/).
Share and Cite
Gong, Y.; Xie, H.; Liao, S.; Lu, Y.; Jin, Y.; Wei, C.; Tong, X. Assessing the Accuracy of Multi-Temporal GlobeLand30 Products in China Using a Spatiotemporal Stratified Sampling Method. Remote Sens. 2023, 15, 4593. https://doi.org/10.3390/rs15184593
Gong Y, Xie H, Liao S, Lu Y, Jin Y, Wei C, Tong X. Assessing the Accuracy of Multi-Temporal GlobeLand30 Products in China Using a Spatiotemporal Stratified Sampling Method. Remote Sensing. 2023; 15(18):4593. https://doi.org/10.3390/rs15184593
Chicago/Turabian StyleGong, Yali, Huan Xie, Shicheng Liao, Yao Lu, Yanmin Jin, Chao Wei, and Xiaohua Tong. 2023. "Assessing the Accuracy of Multi-Temporal GlobeLand30 Products in China Using a Spatiotemporal Stratified Sampling Method" Remote Sensing 15, no. 18: 4593. https://doi.org/10.3390/rs15184593
APA StyleGong, Y., Xie, H., Liao, S., Lu, Y., Jin, Y., Wei, C., & Tong, X. (2023). Assessing the Accuracy of Multi-Temporal GlobeLand30 Products in China Using a Spatiotemporal Stratified Sampling Method. Remote Sensing, 15(18), 4593. https://doi.org/10.3390/rs15184593

