Estimating and Mapping Soil Salinity in Multiple Vegetation Cover Periods by Using Unmanned Aerial Vehicle Remote Sensing
Abstract
:1. Introduction
2. Materials and Methods
2.1. Study Site
2.2. Data Acquisition and Pretreatment
2.2.1. UAV Imagery
2.2.2. Spectral Indices Calculation
2.2.3. Ground-Truth Data Acquisition
2.3. Methods
2.3.1. Variable Selection Method
2.3.2. Soil Pixels Mask Method
2.3.3. Modeling and Evaluation Methods
3. Results
3.1. Soil Mask Analysis
3.2. Statistical Analysis of SSC and Spectral Index of Various Crop Types and Time Series
3.3. Response Analysis of the Spectral Index to SSC
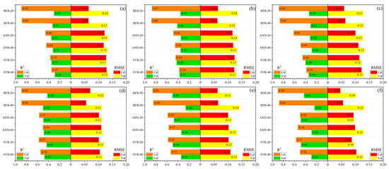
3.4. SSC Modeling Using Machine Learning Methods
3.5. Mapping Spatial Distribution of SSC
4. Discussion
4.1. Necessity of Masking Soil Pixels
4.2. Significance of Crop Type and Time Series Division
4.3. Estimation Models of SSC
4.4. Prediction Maps of SSC
5. Conclusions
Author Contributions
Funding
Data Availability Statement
Acknowledgments
Conflicts of Interest
References
- Singh, A. Soil salinity: A global threat to sustainable development. Soil Use Manag. 2022, 38, 39–67. [Google Scholar] [CrossRef]
- Sun, Y.; Li, X.; Shi, H.; Cui, J.; Wang, W.; Ma, H.; Chen, N. Modeling salinized wasteland using remote sensing with the integration of decision tree and multiple validation approaches in Hetao irrigation district of China. Catena 2022, 209, 105854. [Google Scholar] [CrossRef]
- Ivushkin, K.; Bartholomeus, H.; Bregt, A.K.; Pulatov, A.; Franceschini, M.H.D.; Kramer, H.; van Loo, E.N.; Jaramillo Roman, V.; Finkers, R. UAV based soil salinity assessment of cropland. Geoderma 2019, 338, 502–512. [Google Scholar] [CrossRef]
- Wei, G.; Li, Y.; Zhang, Z.; Chen, Y.; Chen, J.; Yao, Z.; Lao, C.; Chen, H. Estimation of soil salt content by combining UAV-borne multispectral sensor and machine learning algorithms. PeerJ 2020, 8, e9087. [Google Scholar] [CrossRef]
- Zhu, C.; Ding, J.; Zhang, Z.; Wang, Z. Exploring the potential of UAV hyperspectral image for estimating soil salinity: Effects of optimal band combination algorithm and random forest. Spectrochim. Acta A Mol. Biomol. Spectrosc. 2022, 279, 121416. [Google Scholar] [CrossRef] [PubMed]
- Lu, J.; Eitel, J.U.H.; Engels, M.; Zhu, J.; Ma, Y.; Liao, F.; Zheng, H.; Wang, X.; Yao, X.; Cheng, T.; et al. Improving Unmanned Aerial Vehicle (UAV) remote sensing of rice plant potassium accumulation by fusing spectral and textural information. Int. J. Appl. Earth Obs. 2021, 104, 102592. [Google Scholar] [CrossRef]
- Tang, Y.; Ma, J.; Xu, J.; Wu, W.; Wang, Y.; Guo, H. Assessing the Impacts of Tidal Creeks on the Spatial Patterns of Coastal Salt Marsh Vegetation and Its Aboveground Biomass. Remote Sens. 2022, 14, 1839. [Google Scholar] [CrossRef]
- Zhang, J.; Zhang, Z.; Chen, J.; Chen, H.; Jin, J.; Han, J.; Wang, X.; Song, Z.; Wei, G. Estimating soil salinity with different fractional vegetation cover using remote sensing. Land Degrad. Dev. 2021, 32, 597–612. [Google Scholar] [CrossRef]
- Yang, L.; Huang, C.; Liu, G.; Liu, J.; Zhu, A. Mapping Soil Salinity Using a Similarity-based Prediction Approach: A Case Study in Huanghe River Delta, China. Chin. Geogr. Sci. 2015, 25, 283–294. [Google Scholar] [CrossRef]
- Scudiero, E.; Skaggs, T.H.; Corwin, D.L. Regional-scale soil salinity assessment using Landsat ETM+ canopy reflectance. Remote Sens. Environ. 2015, 169, 335–343. [Google Scholar] [CrossRef]
- Ivushkin, K.; Bartholomeus, H.; Bregt, A.K.; Pulatov, A.; Bui, E.N.; Wilford, J. Soil salinity assessment through satellite thermography for different irrigated and rainfed crops. Int. J. Appl. Earth Obs. 2018, 68, 230–237. [Google Scholar] [CrossRef]
- Li, Y.; Chang, C.; Wang, Z.; Zhao, G. Remote sensing prediction and characteristic analysis of cultivated land salinization in different seasons and multiple soil layers in the coastal area. Int. J. Appl. Earth Obs. 2022, 111, 102838. [Google Scholar] [CrossRef]
- Wang, N.; Xue, J.; Peng, J.; Biswas, A.; He, Y.; Shi, Z. Integrating Remote Sensing and Landscape Characteristics to Estimate Soil Salinity Using Machine Learning Methods: A Case Study from Southern Xinjiang, China. Remote Sens. 2020, 12, 4118. [Google Scholar] [CrossRef]
- Poblete, T.; Ortega-Farías, S.; Moreno, M.A.; Bardeen, M. Artificial Neural Network to Predict Vine Water Status Spatial Variability Using Multispectral Information Obtained from an Unmanned Aerial Vehicle (UAV). Sensors 2017, 17, 2488. [Google Scholar] [CrossRef]
- Phonphan, W.; Tripathi, N.K.; Tipdecho, T.; Eiumnoh, A. Modelling electrical conductivity of soil from backscattering coefficient of microwave remotely sensed data using artificial neural network. Geocarto Int. 2014, 29, 842–859. [Google Scholar] [CrossRef]
- Jiang, H.; Rusuli, Y.; Amuti, T.; He, Q. Quantitative assessment of soil salinity using multi-source remote sensing data based on the support vector machine and artificial neural network. Int. J. Remote Sens. 2018, 40, 284–306. [Google Scholar] [CrossRef]
- Qi, G.; Zhao, G.; Xi, X. Soil Salinity Inversion of Winter Wheat Areas Based on Satellite-Unmanned Aerial Vehicle-Ground Collaborative System in Coastal of the Yellow River Delta. Sensors 2020, 20, 6521. [Google Scholar] [CrossRef]
- Cao, Z.; Zhu, T.; Cai, X. Hydro-agro-economic optimization for irrigated farming in an arid region: The Hetao Irrigation District, Inner Mongolia. Agric. Water Manage. 2023, 277, 108095. [Google Scholar] [CrossRef]
- Li, D.; Zhang, J.; Wang, G.; Wang, X.; Wu, J. Impact of changes in water management on hydrology and environment: A case study in North China. J. Hydro-Environ. Res. 2020, 28, 75–84. [Google Scholar] [CrossRef]
- Li, G.; Han, W.; Dong, Y.; Zhai, X.; Huang, S.; Ma, W.; Cui, X.; Wang, Y. Multi-Year Crop Type Mapping Using Sentinel-2 Imagery and Deep Semantic Segmentation Algorithm in the Hetao Irrigation District in China. Remote Sens. 2023, 15, 875. [Google Scholar] [CrossRef]
- Zhang, L.; Niu, Y.; Zhang, H.; Han, W.; Li, G.; Tang, J.; Peng, X. Maize Canopy Temperature Extracted from UAV Thermal and RGB Imagery and Its Application in Water Stress Monitoring. Front. Plant Sci. 2019, 10, 1270. [Google Scholar] [CrossRef]
- Cui, X.; Han, W.; Zhang, H.; Cui, J.; Ma, W.; Zhang, L.; Li, G. Estimating soil salinity under sunflower cover in the Hetao Irrigation District based on unmanned aerial vehicle remote sensing. Land Degrad. Dev. 2023, 34, 84–97. [Google Scholar] [CrossRef]
- Wang, J.; Ding, J.; Yu, D.; Ma, X.; Zhang, Z.; Ge, X.; Teng, D.; Li, X.; Liang, J.; Lizaga, I.; et al. Capability of Sentinel-2 MSI data for monitoring and mapping of soil salinity in dry and wet seasons in the Ebinur Lake region, Xinjiang, China. Geoderma 2019, 353, 172–187. [Google Scholar] [CrossRef]
- Wang, D.; Chen, H.; Wang, Z.; Ma, Y. Inversion of soil salinity according to different salinization grades using multi-source remote sensing. Geocarto Int. 2022, 37, 1274–1293. [Google Scholar] [CrossRef]
- Scudiero, E.; Skaggs, T.H.; Corwin, D.L. Regional scale soil salinity evaluation using Landsat 7, western San Joaquin Valley, California, USA. Geoderma Regional. 2014, 2–3, 82–90. [Google Scholar] [CrossRef]
- Ding, J.; Yu, D. Monitoring and evaluating spatial variability of soil salinity in dry and wet seasons in the Werigan–Kuqa Oasis, China, using remote sensing and electromagnetic induction instruments. Geoderma 2014, 235–236, 316–322. [Google Scholar] [CrossRef]
- Douaoui, A.E.K.; Nicolas, H.; Walter, C. Detecting salinity hazards within a semiarid context by means of combining soil and remote-sensing data. Geoderma 2006, 134, 217–230. [Google Scholar] [CrossRef]
- Allbed, A.; Kumar, L.; Aldakheel, Y.Y. Assessing soil salinity using soil salinity and vegetation indices derived from IKONOS high-spatial resolution imageries: Applications in a date palm dominated region. Geoderma 2014, 230–231, 1–8. [Google Scholar] [CrossRef]
- Bannari, A.; Guedon, A.M.; El Harti, A.; Cherkaoui, F.Z.; El Ghmari, A. Characterization of Slightly and Moderately Saline and Sodic Soils in Irrigated Agricultural Land using Simulated Data of Advanced Land Imaging (EO-1) Sensor. Commun. Soil Sci. Plan. 2008, 39, 2795–2811. [Google Scholar] [CrossRef]
- Rouse, J.W.; Haas, R.H.; Schell, J.A.; Deering, D.W. Monitoring vegetation systems in the Great Plains with ERTS. NASA Spec. Publ. 1974, 351, 309. [Google Scholar]
- Tucker, C.J. Red and photographic infrared l, lnear combinations for monitoring vegetation. Remote Sens. Environ. 1979, 8, 127–150. [Google Scholar] [CrossRef]
- Wang, Z.X.; Liu, C.; Huete, A. From AVHRR-NDVI to MODIS-EVI: Advances in vegetation index research. Acta Ecol. Sin. 2003, 23, 979–987. [Google Scholar]
- Gao, G.; Wang, S. Compare Analysis of Vegetation Cover Change in Jianyang City Based on RVI and NDVI. In Proceedings of the 2012 2nd International Conference on Remote Sensing, Environment and Transportation Engineering, Nanjing, China, 1–3 June 2012; pp. 1–4. [Google Scholar]
- Gamon, J.A.; Surfus, J.S. Assessing leaf pigment content and activity with a reflectometer. New Phytologist. 1999, 143, 105–117. [Google Scholar] [CrossRef]
- Haboudane, D.; Miller, J.R.; Tremblay, N.; Zarco-Tejada, P.J.; Dextraze, L. Integrated narrow-band vegetation indices for prediction of crop chlorophyll content for application to precision agriculture. Remote Sens. Environ. 2002, 81, 416–426. [Google Scholar] [CrossRef]
- Roujean, J.; Breon, F. Estimating PAR absorbed by vegetation from bidirectional reflectance measurements. Remote Sens. Environ. 1995, 51, 375–384. [Google Scholar] [CrossRef]
- Gitelson, A.A.; Kaufman, Y.J.; Merzlyak, M.N. Use of a green channel in remote sensing of global vegetation from EOS-MODIS. Remote Sens. Environ. 1996, 58, 289–298. [Google Scholar] [CrossRef]
- Gitelson, A.A.; Stark, R.; Grits, U.; Rundquist, D.; Kaufman, Y.; Derry, D. Vegetation and soil lines in visible spectral space: A concept and technique for remote estimation of vegetation fraction. Int. J. Remote Sens. 2002, 23, 2537–2562. [Google Scholar] [CrossRef]
- Kaufman, Y.J.; Tanre, D. Atmospherically resistant vegetation index (ARVI) for EOS-MODIS. IEEE Trans. Geosci. Remote Sens. 1992, 30, 261–270. [Google Scholar] [CrossRef]
- Li, C.; Han, W.; Peng, M.; Zhang, M. Abiotic and biotic factors contribute to CO2 exchange variation at the hourly scale in a semiarid maize cropland. Sci. Total Environ. 2021, 784, 147170. [Google Scholar] [CrossRef]
- Zhang, L.; Han, W.; Niu, Y.; Chávez, J.L.; Shao, G.; Zhang, H. Evaluating the sensitivity of water stressed maize chlorophyll and structure based on UAV derived vegetation indices. Comput. Electron. Agric. 2021, 185, 106174. [Google Scholar] [CrossRef]
- Periasamy, S.; Ravi, K.P. A novel approach to quantify soil salinity by simulating the dielectric loss of SAR in three-dimensional density space. Remote Sens. Environ. 2020, 251, 112059. [Google Scholar] [CrossRef]
- Wang, N.; Peng, J.; Xue, J.; Zhang, X.; Huang, J.; Biswas, A.; He, Y.; Shi, Z. A framework for determining the total salt content of soil profiles using time-series Sentinel-2 images and a random forest-temporal convolution network. Geoderma 2022, 409, 115656. [Google Scholar] [CrossRef]
- Poldrack, R.A.; Huckins, G.; Varoquaux, G. Establishment of Best Practices for Evidence for Prediction: A Review. Jama Psychiat. 2020, 77, 534–540. [Google Scholar] [CrossRef] [PubMed]
- Wang, Z.; Zhang, X.; Zhang, F.; Chan, N.W.; Kung, H.; Liu, S.; Deng, L. Estimation of soil salt content using machine learning techniques based on remote-sensing fractional derivatives, a case study in the Ebinur Lake Wetland National Nature Reserve, Northwest China. Ecol. Indic. 2020, 119, 106869. [Google Scholar] [CrossRef]
- Lin, L.I. A Concordance Correlation Coefficient to Evaluate Reproducibility. Int. Biom. Soc. 1989, 1, 255–268. [Google Scholar] [CrossRef]
- Rossel, R.A.V.; Webster, R. Predicting soil properties from the Australian soil visible-near infrared spectroscopic database. Eur. J. Soil Sci. 2012, 63, 848–860. [Google Scholar] [CrossRef]
- Garini, Y.; Young, I.T.; McNamara, G. Spectral Imaging: Principles and Applications. Cytom. Part A 2006, 69A, 735–747. [Google Scholar] [CrossRef]
- Shieh, H.; Kuo, C. A reduced data set method for support vector regression. Expert Syst. Appl. 2010, 37, 7781–7787. [Google Scholar] [CrossRef]











| Spectral Index | Formulation | Reference |
|---|---|---|
| NDSI | (b3 – b5)/(b3 + b5) | [4] |
| CRSI | {[(b5 × b3) − (b2 × b1)]/[(b5 × b3) + (b2 × b1)]}0.5 | [25] |
| SI1 | (b1 × b3)0.5 | [26] |
| SI3 | (b1 + b3)0.5 | [27] |
| SI4 | (b1 − b3)/(b1 + b3) | [4] |
| SI5 | (b2 × b3)/b2 | [28] |
| SI6 | (b1 × b3)/b3 | [28] |
| SI7 | (b3 × b5)/b3 | [28] |
| SI8 | b1/b3 | [29] |
| SI9 | (b2 × b3)0.5 | [27] |
| NDVI | (b5 − b3)/(b5 + b3) | [30] |
| DVI | b5 − b3 | [31] |
| EVI | 2.5 × (b5 − b3)/(b5 + 6 × b3 − 7.5 × b1 + 1) | [32] |
| RVI | b5/b3 | [33] |
| GI | b2/b3 | [34] |
| TCARI | 3 × [(b4 − b3) − 0.2 × (b4 − b2) × (b4/b3)] | [35] |
| RDVI | (b5 − b3)/(b5 + b3)0.5 | [36] |
| GARI | {b5 − [b2 − (b1 − b3)]}/{b5 + [b2 − (b1 − b3)]} | [37] |
| VARI | (b2 − b3)/(b2 + b3 − b1) | [38] |
| ARVI | (b5 – 2b3 + b1)/(b5 + 2b3 − b1) | [39] |
| Year | Study Area | Sampling Times | Number of Sampling Plots | Number of Sampling Points with Different Salinization Level | |||||||||
|---|---|---|---|---|---|---|---|---|---|---|---|---|---|
| July | August | ||||||||||||
| July | August | July | August | None | Mild | Moderate | Severe | None | Mild | Moderate | Severe | ||
| 2021 | 1 | 28 | 16 | 26 | 26 | 12 | 9 | 5 | 0 | 10 | 11 | 4 | 1 |
| 2 | 27 | 17 | 25 | 25 | 7 | 12 | 6 | 0 | 3 | 12 | 8 | 2 | |
| 3 | 30 | 26 | 20 | 20 | 10 | 6 | 4 | 0 | 1 | 12 | 6 | 1 | |
| 4 | 19 | 12 | 22 | 22 | 13 | 4 | 3 | 2 | 8 | 11 | 3 | 0 | |
| 2022 | 5 | 27 | 11 | 20 | 20 | 0 | 15 | 4 | 1 | 5 | 14 | 1 | 0 |
| 6 | 27 | 09 | 12 | 26 | 8 | 2 | 1 | 1 | 10 | 12 | 1 | 3 | |
| 7 | 24 | 10 | 21 | 21 | 9 | 7 | 3 | 2 | 7 | 8 | 3 | 2 | |
| Month | Crop Type | Depth/cm | Name of Datasets | Variables |
|---|---|---|---|---|
| Jul | Sunflower | 0–20 | 1 | SI1; SI3; SI6; SI9; GARI |
| 20–40 | 2 | SI1; SI9; SI3; SI5; SI6 | ||
| Maize | 0–20 | 3 | RVI; RDVI; EVI; DVI; GARI | |
| 20–40 | 4 | RVI; GARI; RDVI; EVI; ARVI | ||
| Squash | 0–20 | 5 | SI6; ARVI; NDSI; NAVI; GARI | |
| 20–40 | 6 | SI6; SI1; NDSI; NAVI; SI9 | ||
| Aug | Sunflower | 0–20 | 7 | GARI; SI1; RVI; SI6; SI5 |
| 20–40 | 8 | SI1; SI3; SI9; SI5; SI6 | ||
| Maize | 0–20 | 9 | NDSI; NAVI; GARI; ARVI; SI6 | |
| 20–40 | 10 | NDSI; NDVI; SI1; SI9; GARI | ||
| Squash | 0–20 | 11 | SI1; SI3; SI5; SI6; SI9 | |
| 20–40 | 12 | SI1; SI3; SI5; SI6; SI9 |
| Name of Datasets | Calibration | Validation | ||||||||||||||||
|---|---|---|---|---|---|---|---|---|---|---|---|---|---|---|---|---|---|---|
| RFR | ANN | SVR | RFR | ANN | SVR | |||||||||||||
| R2 | RM SE | R2 | RM SE | R2 | RM SE | R2 | RM SE | RPD | LC CC | R2 | RM SE | RPD | LC CC | R2 | RM SE | RPD | LC CC | |
| 1 | 0.89 | 0.06 | 0.50 | 0.11 | 0.56 | 0.11 | 0.47 | 0.12 | 1.37 | 0.61 | 0.51 | 0.11 | 1.53 | 0.69 | 0.44 | 0.13 | 1.35 | 0.60 |
| 2 | 0.90 | 0.06 | 0.54 | 0.11 | 0.59 | 0.10 | 0.48 | 0.12 | 1.74 | 0.77 | 0.53 | 0.12 | 1.86 | 0.81 | 0.48 | 0.12 | 1.86 | 0.80 |
| 3 | 0.84 | 0.06 | 0.64 | 0.09 | 0.58 | 0.10 | 0.55 | 0.10 | 1.98 | 0.84 | 0.54 | 0.11 | 1.62 | 0.70 | 0.46 | 0.11 | 1.47 | 0.69 |
| 4 | 0.87 | 0.05 | 0.50 | 0.10 | 0.52 | 0.10 | 0.42 | 0.11 | 1.30 | 0.57 | 0.48 | 0.11 | 1.34 | 0.65 | 0.42 | 0.11 | 1.38 | 0.66 |
| 5 | 0.95 | 0.04 | 0.69 | 0.08 | 0.83 | 0.06 | 0.79 | 0.07 | 2.60 | 0.92 | 0.69 | 0.08 | 2.24 | 0.88 | 0.78 | 0.07 | 2.70 | 0.92 |
| 6 | 0.89 | 0.06 | 0.55 | 0.11 | 0.63 | 0.10 | 0.41 | 0.13 | 1.01 | 0.32 | 0.45 | 0.13 | 1.02 | 0.39 | 0.33 | 0.14 | 0.94 | 0.27 |
| 7 | 0.89 | 0.05 | 0.60 | 0.09 | 0.64 | 0.09 | 0.44 | 0.12 | 1.40 | 0.68 | 0.52 | 0.11 | 1.60 | 0.78 | 0.43 | 0.12 | 1.26 | 0.57 |
| 8 | 0.89 | 0.05 | 0.50 | 0.10 | 0.57 | 0.10 | 0.31 | 0.12 | 1.32 | 0.63 | 0.44 | 0.11 | 1.59 | 0.73 | 0.39 | 0.12 | 1.35 | 0.69 |
| 9 | 0.94 | 0.04 | 0.77 | 0.08 | 0.82 | 0.07 | 0.76 | 0.08 | 1.76 | 0.77 | 0.72 | 0.09 | 1.64 | 0.71 | 0.68 | 0.09 | 1.81 | 0.78 |
| 10 | 0.89 | 0.06 | 0.64 | 0.10 | 0.73 | 0.09 | 0.68 | 0.10 | 1.37 | 0.75 | 0.59 | 0.12 | 1.25 | 0.59 | 0.57 | 0.12 | 1.19 | 0.67 |
| 11 | 0.85 | 0.05 | 0.52 | 0.08 | 0.57 | 0.08 | 0.49 | 0.09 | 1.88 | 0.81 | 0.53 | 0.08 | 1.98 | 0.82 | 0.49 | 0.09 | 2.05 | 0.85 |
| 12 | 0.82 | 0.06 | 0.45 | 0.10 | 0.48 | 0.09 | 0.30 | 0.11 | 1.18 | 0.65 | 0.43 | 0.10 | 1.32 | 0.66 | 0.42 | 0.10 | 1.29 | 0.67 |
Disclaimer/Publisher’s Note: The statements, opinions and data contained in all publications are solely those of the individual author(s) and contributor(s) and not of MDPI and/or the editor(s). MDPI and/or the editor(s) disclaim responsibility for any injury to people or property resulting from any ideas, methods, instructions or products referred to in the content. |
© 2023 by the authors. Licensee MDPI, Basel, Switzerland. This article is an open access article distributed under the terms and conditions of the Creative Commons Attribution (CC BY) license (https://creativecommons.org/licenses/by/4.0/).
Share and Cite
Cui, X.; Han, W.; Dong, Y.; Zhai, X.; Ma, W.; Zhang, L.; Huang, S. Estimating and Mapping Soil Salinity in Multiple Vegetation Cover Periods by Using Unmanned Aerial Vehicle Remote Sensing. Remote Sens. 2023, 15, 4400. https://doi.org/10.3390/rs15184400
Cui X, Han W, Dong Y, Zhai X, Ma W, Zhang L, Huang S. Estimating and Mapping Soil Salinity in Multiple Vegetation Cover Periods by Using Unmanned Aerial Vehicle Remote Sensing. Remote Sensing. 2023; 15(18):4400. https://doi.org/10.3390/rs15184400
Chicago/Turabian StyleCui, Xin, Wenting Han, Yuxin Dong, Xuedong Zhai, Weitong Ma, Liyuan Zhang, and Shenjin Huang. 2023. "Estimating and Mapping Soil Salinity in Multiple Vegetation Cover Periods by Using Unmanned Aerial Vehicle Remote Sensing" Remote Sensing 15, no. 18: 4400. https://doi.org/10.3390/rs15184400
APA StyleCui, X., Han, W., Dong, Y., Zhai, X., Ma, W., Zhang, L., & Huang, S. (2023). Estimating and Mapping Soil Salinity in Multiple Vegetation Cover Periods by Using Unmanned Aerial Vehicle Remote Sensing. Remote Sensing, 15(18), 4400. https://doi.org/10.3390/rs15184400

