Using Machine-Learning Algorithms to Predict Soil Organic Carbon Content from Combined Remote Sensing Imagery and Laboratory Vis-NIR Spectral Datasets
Abstract
:1. Introduction
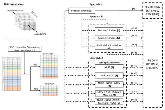
2. Materials and Methods
2.1. Study Area and Soil Sampling
2.2. Laboratory Reflectance Measurements
2.3. Sentinel-1 and Sentinel-2 Data Pre-Processing
2.4. Sentinel-1 Soil Moisture and Indices Retrieval
2.5. Retrieval and Analysis of Spectral Indices
2.6. Prediction Models and Accuracy Assessment
2.6.1. Partial Least Squares Regression
2.6.2. Random Forest
2.6.3. Deep Neural Networks
2.6.4. Model Accuracy
3. Results
3.1. Data Description and Analysis
3.1.1. Descriptive Statistics of Measured SOC Content
3.1.2. Sentinel-2 and Laboratory Spectral and Sentinel-1 Soil Moisture Information Analysis
3.2. Model Performance and Comparison
3.2.1. Sentinel-2 Bands Prediction Performance
3.2.2. Prediction Performance of Sentinel-2 Bands Combined with Sentinel-2 and Sentinel-1 Indices and Sentinel-1 Soil Moisture
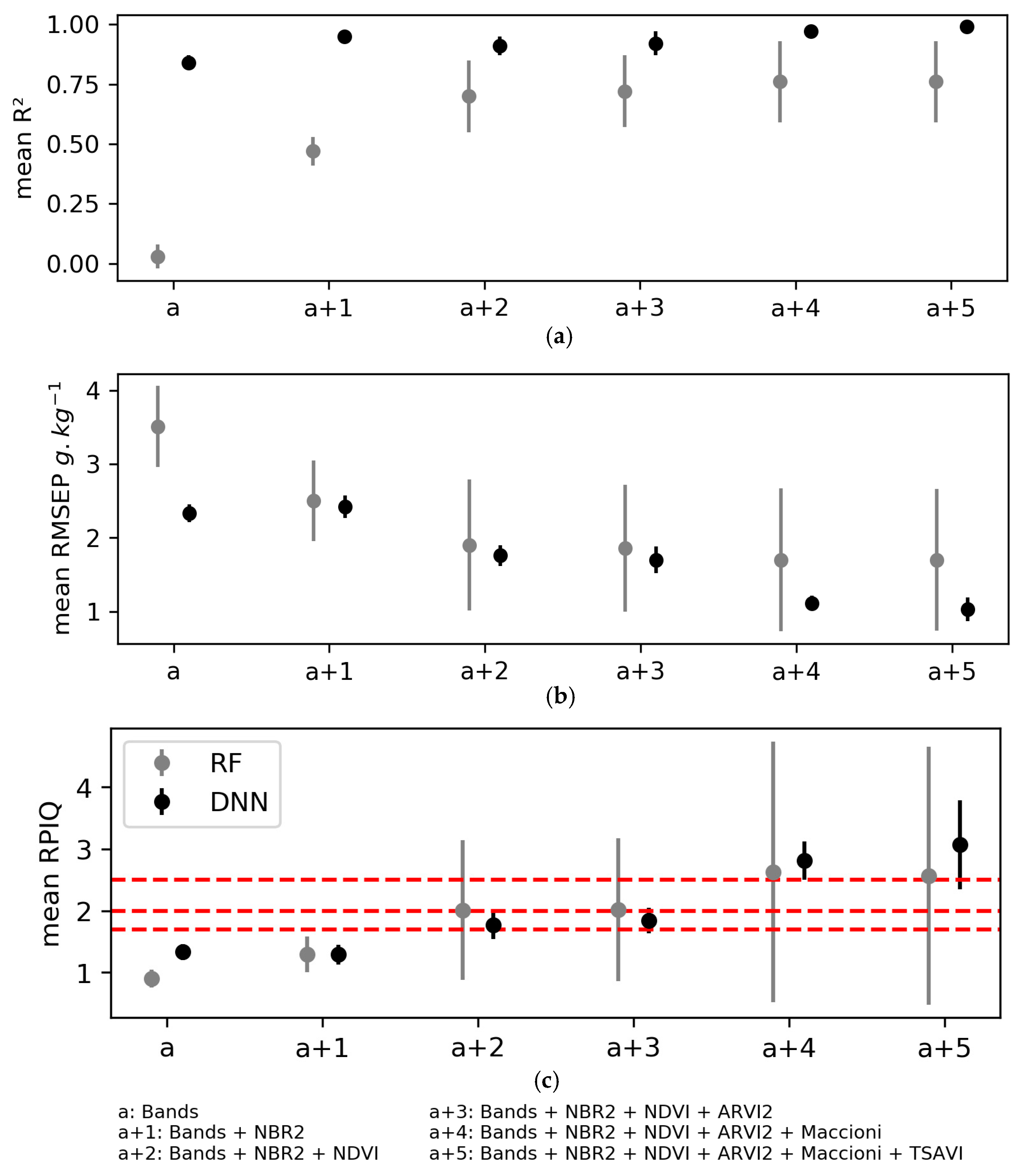
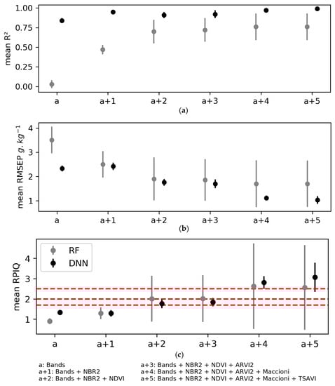
3.2.3. Prediction Performance of Sentinel-2 Bands Combined with Laboratory Spectral Indices
4. Discussion
4.1. Factors That Influenced Sentinel-2 Soil Surface Reflectance Spectra
4.2. Performance of Calibrated Models Using Only Sentinel-2 Bands: DNN vs. PLS and RF
4.3. Effects of Additional Information on Model Calibration and Validation
4.4. Utility of Including Sentinel-2 Spectral Indices
4.5. Utility of Including Sentinel-1-Derived Data
4.6. Effects of Including Laboratory Spectral Indices
5. Conclusions
Author Contributions
Funding
Data Availability Statement
Acknowledgments
Conflicts of Interest
Appendix A
| Abbreviation | Index | Equation | Reference |
|---|---|---|---|
| Vegetation indices | |||
| AFRI16 | Aerosol free vegetation index 2.1 | [79] | |
| AFRI21 | Aerosol free vegetation index 2.1 | [79] | |
| ARI | Anthocyanin reflectance index | [123] | |
| ARVI2 | Atmospherically Resistant vegetation index2 | [80] | |
| BRI | Browning reflectance index | [124] | |
| BWDRVI | Blue-wide dynamic range vegetation index | [125] | |
| CCCI | Canopy chlorophyll content index | [126] | |
| EVI | Enhanced vegetation index | [127] | |
| EVI2 | Enhanced vegetation index2 | [128] | |
| GARI | Green atmospherically resistant vegetation index | [129] | |
| GLI | Green leaf index | [130] | |
| GNDVI | Green normalized difference vegetation index | [129] | |
| GVMI | Global vegetation moisture index | [81] | |
| Maccioni | Maccioni vegetation index | [82] | |
| NBR | Normalized burn ratio | [83] | |
| NBR2 | Normalized burned Ratio 2 | [84,85] | |
| NDVI | Normalized difference vegetation index | [70] | |
| NSSI | NPV-soil separation index | [131] | |
| OSAVI | Optimized soil-adjusted vegetation index | [132] | |
| PANDVI | Pan normalized difference vegetation index | [133] | |
| SIWSI | Shortwave infrared water stress index | [86] | |
| TSAVI | Soil-adjusted vegetation index | [87] | |
| Soil indices | |||
| BI | Brightness index | [89,134] | |
| BSI | Bare soil index | [90] | |
| FI | Form index | [135] | |
| Hue | Hue index | [135] | |
| RedI | Redness index | [89] | |
| SI | Saturation index | [135] | |
| S2WI | Soil moisture index | [32] | |
| STI | Soil tillage index | [136] | |
| Geology indices | |||
| Fe2 | Ferrous iron index | [137] | |
| Fe3 | Ferric iron index | [137] | |
| FO | Ferric oxides index | [137] | |
| FS | Ferrous silicates index | [137] | |
| Gossan | Gossan index | [137] | |
| Water indices | |||
| AWEI | Automated water extraction index not dominant shadow | [121] | |
| AWEI2 | Automated water extraction index dominant shadow | [138] | |
| MNDWI | Modified normalized difference water index | [139] | |
| NDMI | Normalized difference moisture index | [91] | |
| NDWI | Normalized difference water index | [140] | |
Appendix B
| Input | PLS | RF | DNN | |||
|---|---|---|---|---|---|---|
| It. | Factors | Scale | Max_Features | Max_Depth | Num_Layers | |
| a | (1) | 6 | True | 0.60 | 70 | 12 |
| (2) | 5 | False | auto | 10 | 8 | |
| (3) | 6 | True | 0.60 | 70 | 7 | |
| a + b | (1) | - | - | 0.75 | 20 | 10 |
| (2) | - | - | 0.60 | 30 | 5 | |
| (3) | - | - | 0.85 | 70 | 12 | |
| a + c | (1) | - | - | 0.95 | 50 | 12 |
| (2) | - | - | 0.85 | 10 | 11 | |
| (3) | - | - | 0.85 | 10 | 12 | |
| a + d | (1) | - | - | 0.6 | None | 5 |
| (2) | - | - | 0.85 | 10 | 9 | |
| (3) | - | - | 0.60 | None | 9 | |
| a + e | (1) | - | - | 0.60 | 70 | 13 |
| (2) | - | - | 0.60 | 30 | 13 | |
| (3) | - | - | 0.60 | None | 13 | |
| Calibration | Validation | ||||||||
|---|---|---|---|---|---|---|---|---|---|
| Alg. | It. | R2 | RMSECV | RPD | RPIQ | r2 | RMSEP | RPD | RPIQ |
| PLS | (1) | 0.15 | 3.27 | 1.08 | 0.79 | 0.13 | 3.58 | 1.07 | 0.93 |
| (2) | 0.15 | 3.21 | 1.08 | 0.83 | 0.06 | 3.88 | 1.03 | 0.77 | |
| (3) | 0.17 | 3.67 | 1.1 | 0.77 | −0.10 | 2.61 | 0.95 | 1.15 | |
| RF | (1) | 0.73 | 1.82 | 1.94 | 1.41 | 0.09 | 3.65 | 1.05 | 0.91 |
| (2) | 0.75 | 1.73 | 2.00 | 1.54 | 0.02 | 3.96 | 1.01 | 0.76 | |
| (3) | 0.79 | 1.85 | 2.17 | 1.53 | −0.34 | 2.88 | 0.86 | 1.04 | |
| DNN | (1) | 0.81 | 1.55 | 2.29 | 1.67 | 0.65 | 2.28 | 1.69 | 1.46 |
| (2) | 0.85 | 1.36 | 2.55 | 1.96 | 0.62 | 2.47 | 1.62 | 1.21 | |
| (3) | 0.86 | 1.53 | 2.63 | 1.86 | 0.18 | 2.25 | 1.11 | 1.33 | |
| RF | DNN | ||||||||||||||||
|---|---|---|---|---|---|---|---|---|---|---|---|---|---|---|---|---|---|
| Calibration | Validation | Calibration | Validation | ||||||||||||||
| Input | It. | R2 | RMSECV | RPD | RPIQ | r2 | RMSEP | RPD | RPIQ | R2 | RMSE | RPD | RPIQ | r2 | RMSEP | RPD | RPIQ |
| a | (1) | 0.73 | 1.82 | 1.94 | 1.41 | 0.09 | 3.65 | 1.05 | 0.91 | 0.81 | 1.55 | 2.29 | 1.67 | 0.65 | 2.28 | 1.69 | 1.46 |
| (2) | 0.75 | 1.73 | 2.00 | 1.54 | 0.02 | 3.96 | 1.01 | 0.76 | 0.85 | 1.36 | 2.55 | 1.96 | 0.62 | 2.47 | 1.62 | 1.21 | |
| (3) | 0.79 | 1.85 | 2.17 | 1.53 | −0.34 | 2.88 | 0.86 | 1.04 | 0.86 | 1.53 | 2.63 | 1.86 | 0.18 | 2.25 | 1.11 | 1.33 | |
| a + b | (1) | 0.76 | 1.74 | 2.03 | 1.48 | 0.18 | 3.47 | 1.11 | 0.96 | 0.86 | 1.33 | 2.66 | 1.94 | 0.56 | 2.55 | 1.51 | 1.31 |
| (2) | 0.72 | 1.83 | 1.90 | 1.46 | 0.13 | 3.73 | 1.07 | 0.8 | 0.81 | 1.53 | 2.27 | 1.74 | 0.43 | 3.01 | 1.33 | 0.99 | |
| (3) | 0.8 | 1.78 | 2.26 | 1.60 | −0.30 | 2.83 | 0.88 | 1.06 | 0.97 | 0.70 | 5.87 | 4.08 | 0.02 | 2.46 | 1.02 | 1.22 | |
| a + c | (1) | 0.43 | 2.67 | 1.33 | 0.97 | 0.04 | 3.76 | 1.02 | 0.89 | 0.82 | 1.51 | 2.35 | 1.71 | 0.44 | 2.87 | 1.34 | 1.16 |
| (2) | 0.74 | 1.78 | 1.96 | 1.50 | −0.02 | 4.04 | 0.99 | 0.74 | 0.78 | 1.64 | 2.11 | 1.62 | 0.46 | 2.93 | 1.37 | 1.02 | |
| (3) | 0.77 | 1.93 | 2.08 | 1.47 | −0.44 | 2.98 | 0.83 | 1.00 | 0.97 | 0.67 | 6.02 | 4.25 | −0.11 | 2.61 | 0.95 | 1.14 | |
| a + d | (1) | 0.72 | 1.87 | 1.90 | 1.38 | 0.09 | 3.66 | 1.05 | 0.91 | 0.86 | 1.33 | 2.67 | 1.94 | 0.59 | 2.47 | 1.56 | 1.35 |
| (2) | 0.73 | 1.80 | 1.93 | 1.49 | 0.03 | 3.92 | 1.02 | 0.76 | 0.89 | 1.15 | 3.01 | 2.32 | 0.63 | 2.44 | 1.64 | 1.23 | |
| (3) | 0.78 | 1.89 | 2.13 | 1.51 | −0.30 | 2.84 | 0.87 | 1.05 | 0.9 | 1.26 | 3.2 | 2.26 | 0.13 | 2.32 | 1.07 | 1.29 | |
| a + e | (1) | 0.75 | 1.78 | 1.99 | 1.45 | 0.16 | 3.51 | 1.09 | 0.95 | 0.81 | 1.56 | 2.28 | 1.66 | 0.31 | 3.2 | 1.21 | 1.04 |
| (2) | 0.77 | 1.66 | 2.10 | 1.61 | 0.09 | 3.81 | 1.05 | 0.78 | 0.98 | 0.50 | 7.01 | 5.38 | 0.4 | 3.08 | 1.30 | 0.97 | |
| (3) | 0.79 | 1.84 | 2.18 | 1.54 | −0.37 | 2.91 | 0.85 | 1.03 | 0.81 | 1.75 | 2.3 | 1.63 | −0.06 | 2.56 | 0.97 | 1.17 | |
| Input | RF | DNN | ||
|---|---|---|---|---|
| It. | Max_Features | Max_Depth | Num_Layers | |
| a | (1) | 0.60 | 70 | 12 |
| (2) | auto | 10 | 8 | |
| (3) | 0.60 | 70 | 7 | |
| a + 1 | (1) | auto | 70 | 11 |
| (2) | Auto | 10 | 10 | |
| (3) | auto | 20 | 10 | |
| a + 2 | (1) | 0.85 | 10 | 7 |
| (2) | auto | 30 | 6 | |
| (3) | auto | 30 | 12 | |
| a + 3 | (1) | 0.58 | 50 | 12 |
| (2) | auto | 30 | 11 | |
| (3) | auto | 70 | 3 | |
| a + 4 | (1) | auto | 10 | 11 |
| (2) | 0.95 | None | 12 | |
| (3) | 0.95 | None | 12 | |
| a + 5 | (1) | auto | 20 | 13 |
| (2) | auto | 30 | 9 | |
| (3) | 0.95 | 30 | 5 | |
| RF | DNN | ||||||||||||||||
|---|---|---|---|---|---|---|---|---|---|---|---|---|---|---|---|---|---|
| Calibration | Validation | Calibration | Validation | ||||||||||||||
| Input | It. | R2 | RMSECV | RPD | RPIQ | r2 | RMSEP | RPD | RPIQ | R2 | RMSE | RPD | RPIQ | r2 | RMSEP | RPD | RPIQ |
| a | (1) | 0.73 | 1.82 | 1.94 | 1.41 | 0.09 | 3.65 | 1.05 | 0.91 | 0.73 | 1.55 | 2.29 | 1.67 | 0.65 | 2.28 | 1.69 | 1.46 |
| (2) | 0.75 | 1.73 | 2.00 | 1.54 | 0.02 | 3.96 | 1.01 | 0.76 | 0.75 | 1.36 | 2.55 | 1.96 | 0.62 | 2.47 | 1.62 | 1.21 | |
| (3) | 0.79 | 1.85 | 2.17 | 1.53 | −0.34 | 2.88 | 0.86 | 1.04 | 0.79 | 1.53 | 2.63 | 1.86 | 0.18 | 2.25 | 1.11 | 1.33 | |
| a + 1 | (1) | 0.81 | 1.53 | 2.32 | 1.69 | 0.43 | 2.89 | 1.33 | 1.15 | 0.96 | 0.69 | 5.18 | 3.76 | 0.65 | 2.27 | 1.7 | 1.47 |
| (2) | 0.82 | 1.45 | 2.39 | 1.84 | 0.53 | 2.74 | 1.46 | 1.09 | 0.96 | 0.67 | 5.17 | 3.97 | 0.59 | 2.56 | 1.56 | 1.17 | |
| (3) | 0.86 | 1.50 | 2.68 | 1.90 | 0.44 | 1.87 | 1.33 | 1.60 | 0.94 | 0.95 | 4.23 | 2.99 | 0.04 | 2.43 | 1.02 | 1.23 | |
| a + 2 | (1) | 0.83 | 1.47 | 2.42 | 1.76 | 0.57 | 2.52 | 1.52 | 1.32 | 0.96 | 0.69 | 5.14 | 3.75 | 0.82 | 1.64 | 2.35 | 2.03 |
| (2) | 0.79 | 1.58 | 2.20 | 1.69 | 0.67 | 2.30 | 1.74 | 1.30 | 0.88 | 1.20 | 2.91 | 2.23 | 0.77 | 1.92 | 2.09 | 1.56 | |
| (3) | 0.86 | 1.46 | 2.74 | 1.94 | 0.87 | 0.88 | 2.82 | 3.40 | 0.90 | 1.25 | 3.22 | 2.27 | 0.52 | 1.72 | 1.45 | 1.74 | |
| a + 3 | (1) | 0.79 | 1.61 | 2.21 | 1.61 | 0.58 | 2.50 | 1.54 | 1.33 | 0.87 | 1.27 | 2.79 | 2.02 | 0.8 | 1.73 | 2.22 | 1.92 |
| (2) | 0.82 | 1.45 | 2.40 | 1.84 | 0.70 | 2.20 | 1.81 | 1.36 | 0.97 | 0.62 | 5.60 | 4.30 | 0.78 | 1.86 | 2.16 | 1.61 | |
| (3) | 0.87 | 1.44 | 2.79 | 1.97 | 0.87 | 0.89 | 2.79 | 3.36 | 0.92 | 1.16 | 3.46 | 2.44 | 0.63 | 1.50 | 1.66 | 1.99 | |
| a + 4 | (1) | 0.84 | 1.41 | 2.52 | 1.83 | 0.61 | 2.39 | 1.61 | 1.39 | 0.95 | 0.78 | 4.54 | 3.30 | 0.92 | 1.10 | 3.51 | 3.04 |
| (2) | 0.83 | 1.41 | 2.46 | 1.89 | 0.72 | 2.11 | 1.89 | 1.42 | 0.99 | 0.40 | 8.75 | 6.72 | 0.93 | 1.02 | 3.92 | 2.92 | |
| (3) | 0.88 | 1.36 | 2.96 | 2.06 | 0.94 | 0.59 | 4.21 | 5.07 | 0.96 | 0.81 | 4.98 | 3.52 | 0.76 | 1.21 | 2.05 | 2.46 | |
| a + 5 | (1) | 0.84 | 1.40 | 2.53 | 1.84 | 0.60 | 2.42 | 1.59 | 1.38 | 0.99 | 0.21 | 16.74 | 12.17 | 0.95 | 0.85 | 4.51 | 3.90 |
| (2) | 0.83 | 1.43 | 2.42 | 1.86 | 0.73 | 2.08 | 1.92 | 1.44 | 0.99 | 0.34 | 10.21 | 7.84 | 0.92 | 1.10 | 3.65 | 2.72 | |
| (3) | 0.89 | 1.32 | 3.04 | 2.15 | 0.94 | 0.61 | 4.07 | 4.90 | 0.99 | 0.46 | 8.65 | 6.11 | 0.78 | 1.15 | 2.16 | 2.59 | |
References
- Shepherd, M.A.; Harrison, R.; Webb, J. Managing soil organic matter—Implications for soil structure on organic farms. Soil Use Manag. 2002, 18, 284–292. [Google Scholar] [CrossRef]
- Kirchmann, H.; Haberhauer, G.; Kandeler, E.; Sessitsch, A.; Gerzabek, M.H. Effects of level and quality of organic matter input on carbon storage and biological activity in soil: Synthesis of a long-term experiment. Glob. Biogeochem. Cycles 2004, 18, 1–9. [Google Scholar] [CrossRef]
- Johannes, A.; Sauzet, O.; Matter, A.; Boivin, P. Soil organic carbon content and soil structure quality of clayey cropland soils: A large-scale study in the Swiss Jura region. Soil Use and Management. 2023, 39, 1–10. [Google Scholar] [CrossRef]
- Ben-Dor, E. Quantitative remote sensing of soil properties. In Advances in Agronomy; Academic Press, Inc.: Cambridge, MA, USA, 2002; Volume 75, pp. 173–243. ISBN 9780120007936. [Google Scholar]
- Stenberg, B.; Viscarra Rossel, R.A.; Mouazen, A.M.; Wetterlind, J. Visible and Near Infrared Spectroscopy in Soil Science. In Advances in Agronomy; Elsevier Inc.: Amsterdam, The Netherlands, 2010; Volume 107, pp. 163–215. [Google Scholar]
- Nocita, M.; Stevens, A.; van Wesemael, B.; Aitkenhead, M.; Bachmann, M.; Barthès, B.G.; Ben-Dor, E.; Brown, D.J.; Clairotte, M.; Csorba, A.; et al. Soil Spectroscopy: An Alternative to Wet Chemistry for Soil Monitoring. Adv. Agron. 2015, 132, 139–159. [Google Scholar]
- Chabrillat, S.; Ben-Dor, E.; Cierniewski, J.; Gomez, C.; Schmid, T.; van Wesemael, B. Imaging Spectroscopy for Soil Mapping and Monitoring; Surveys in Geophysics; Springer: Dordrecht, The Netherlands, 2019; Volume 40, ISBN 0123456789. [Google Scholar]
- Vaudour, E.; Gholizadeh, A.; Castaldi, F.; Saberioon, M.M.; Borůvka, L.; Urbina-Salazar, D.; Fouad, Y.; Arrouays, D.; Richer-de-Forges, A.C.; Biney, J.; et al. Satellite Imagery to Map Topsoil Organic Carbon Content over Cultivated Areas: An Overview. Remote Sens. 2022, 14, 2917. [Google Scholar] [CrossRef]
- Francos, N.; Ogen, Y.; Ben-Dor, E. Spectral Assessment of Organic Matter with Different Composition Using Reflectance Spectroscopy. Remote Sens. 2021, 13, 1549. [Google Scholar] [CrossRef]
- Ben-Dor, E.; Chabrillat, S.; Demattê, J.A.M.; Taylor, G.R.; Hill, J.; Whiting, M.L.; Sommer, S. Using Imaging Spectroscopy to study soil properties. Remote Sens. Environ. 2009, 113, S38–S55. [Google Scholar] [CrossRef]
- Stevens, A.; van Wesemael, B.; Bartholomeus, H.; Rosillon, D.; Tychon, B.; Ben-Dor, E. Laboratory, field and airborne spectroscopy for monitoring organic carbon content in agricultural soils. Geoderma 2008, 144, 395–404. [Google Scholar] [CrossRef]
- Angelopoulou, T.; Tziolas, N.; Balafoutis, A.; Zalidis, G.; Bochtis, D. Remote sensing techniques for soil organic carbon estimation: A review. Remote Sens. 2019, 11, 676. [Google Scholar] [CrossRef]
- Franceschini, M.H.D.; Demattê, J.A.M.; da Silva Terra, F.; Vicente, L.E.; Bartholomeus, H.; de Souza Filho, C.R. Prediction of soil properties using imaging spectroscopy: Considering fractional vegetation cover to improve accuracy. Int. J. Appl. Earth Obs. Geoinf. 2015, 38, 358–370. [Google Scholar] [CrossRef]
- Lagacherie, P.; Baret, F.; Feret, J.B.; Madeira Netto, J.; Robbez-Masson, J.M. Estimation of soil clay and calcium carbonate using laboratory, field and airborne hyperspectral measurements. Remote Sens. Environ. 2008, 112, 825–835. [Google Scholar] [CrossRef]
- Denis, A.; Stevens, A.; van Wesemael, B.; Udelhoven, T.; Tychon, B. Soil organic carbon assessment by field and airborne spectrometry in bare croplands: Accounting for soil surface roughness. Geoderma 2014, 226–227, 94–102. [Google Scholar] [CrossRef]
- Bogrekci, I.; Lee, W.S. Effects of Soil Moisture Content on Absorbance Spectra of Sandy Soils in Sensing Phosphorus Concentrations Using Uv-Vis-Nir Spectroscopy. Am. Soc. Agric. Biol. Eng. 2006, 49, 1175–1180. [Google Scholar] [CrossRef]
- Nocita, M.; Stevens, A.; Noon, C.; Van Wesemael, B. Prediction of soil organic carbon for different levels of soil moisture using Vis-NIR spectroscopy. Geoderma 2013, 199, 37–42. [Google Scholar] [CrossRef]
- Castaldi, F.; Chabrillat, S.; Don, A.; van Wesemael, B. Soil organic carbon mapping using LUCAS topsoil database and Sentinel-2 data: An approach to reduce soil moisture and crop residue effects. Remote Sens. 2019, 11, 2121. [Google Scholar] [CrossRef]
- Diek, S.; Chabrillat, S.; Nocita, M.; Schaepman, M.E.; de Jong, R. Minimizing soil moisture variations in multi-temporal airborne imaging spectrometer data for digital soil mapping. Geoderma 2019, 337, 607–621. [Google Scholar] [CrossRef]
- Brown, D.J.; Shepherd, K.D.; Walsh, M.G.; Dewayne Mays, M.; Reinsch, T.G. Global soil characterization with VNIR diffuse reflectance spectroscopy. Geoderma 2006, 132, 273–290. [Google Scholar] [CrossRef]
- Ramirez-Lopez, L.; Behrens, T.; Schmidt, K.; Stevens, A.; Demattê, J.A.M.; Scholten, T. The spectrum-based learner: A new local approach for modeling soil vis-NIR spectra of complex datasets. Geoderma 2013, 195–196, 268–279. [Google Scholar] [CrossRef]
- Clairotte, M.; Grinand, C.; Kouakoua, E.; Thébault, A.; Saby, N.P.A.; Bernoux, M.; Barthès, B.G. National calibration of soil organic carbon concentration using diffuse infrared re fl ectance spectroscopy. Geoderma 2016, 276, 41–52. [Google Scholar] [CrossRef]
- Gomez, C.; Chevallier, T.; Moulin, P.; Bouferra, I.; Hmaidi, K.; Arrouays, D.; Jolivet, C.; Barthès, B.G. Prediction of soil organic and inorganic carbon concentrations in Tunisian samples by mid-infrared reflectance spectroscopy using a French national library. Geoderma 2020, 375, 114469. [Google Scholar] [CrossRef]
- Peng, Y.; Knadel, M.; Gislum, R.; Deng, F.; Norgaard, T.; De Jonge, L.W.; Moldrup, P.; Greve, M.H. Predicting soil organic carbon at field scale using a national soil spectral library. J. Near Infrared Spectrosc. 2013, 21, 213–222. [Google Scholar] [CrossRef]
- Cambou, A.; Cardinael, R.; Kouakoua, E.; Villeneuve, M.; Durand, C.; Barthès, B.G. Prediction of soil organic carbon stock using visible and near infrared reflectance spectroscopy (VNIRS) in the field. Geoderma 2016, 261, 151–159. [Google Scholar] [CrossRef]
- Bai, Z.; Xie, M.; Hu, B.; Luo, D.; Wan, C.; Peng, J.; Shi, Z. Estimation of Soil Organic Carbon Using Vis-NIR Spectral Data and Spectral Feature Bands Selection in Southern Xinjiang, China. Sensors 2022, 22, 6124. [Google Scholar] [CrossRef] [PubMed]
- Wang, X.; Zhang, Y.; Atkinson, P.M.; Yao, H. Predicting soil organic carbon content in Spain by combining Landsat TM and ALOS PALSAR images. Int. J. Appl. Earth Obs. Geoinf. 2020, 92, 102182. [Google Scholar] [CrossRef]
- Castaldi, F. Sentinel-2 and Landsat-8 multi-temporal series to estimate topsoil properties on croplands. Remote Sens. 2021, 13, 3345. [Google Scholar] [CrossRef]
- Castaldi, F.; Hueni, A.; Chabrillat, S.; Ward, K.; Buttafuoco, G.; Bomans, B.; Vreys, K.; Brell, M.; van Wesemael, B. Evaluating the capability of the Sentinel 2 data for soil organic carbon prediction in croplands. ISPRS J. Photogramm. Remote Sens. 2019, 147, 267–282. [Google Scholar] [CrossRef]
- Dvorakova, K.; Heiden, U.; Van Wesemael, B. Sentinel-2 exposed soil composite for soil organic carbon prediction. Remote Sens. 2021, 13, 1791. [Google Scholar] [CrossRef]
- Vaudour, E.; Gomez, C.; Loiseau, T.; Baghdadi, N.; Loubet, B.; Arrouays, D.; Ali, L.; Lagacherie, P. The impact of acquisition date on the prediction performance of topsoil organic carbon from Sentinel-2 for croplands. Remote Sens. 2019, 11, 2143. [Google Scholar] [CrossRef]
- Vaudour, E.; Gomez, C.; Fouad, Y.; Lagacherie, P. Sentinel-2 image capacities to predict common topsoil properties of temperate and Mediterranean agroecosystems. Remote Sens. Environ. 2019, 223, 21–33. [Google Scholar] [CrossRef]
- Gholizadeh, A.; Žižala, D.; Saberioon, M.M.; Borůvka, L. Soil organic carbon and texture retrieving and mapping using proximal, airborne and Sentinel-2 spectral imaging. Remote Sens. Environ. 2018, 218, 89–103. [Google Scholar] [CrossRef]
- Žižala, D.; Minarík, R.; Zádorová, T. Soil organic carbon mapping using multispectral remote sensing data: Prediction ability of data with different spatial and spectral resolutions. Remote Sens. 2019, 11, 2947. [Google Scholar] [CrossRef]
- Biney, J.K.M.; Vašát, R.; Bell, S.M.; Kebonye, N.M.; Klement, A.; John, K.; Borůvka, L. Prediction of topsoil organic carbon content with Sentinel-2 imagery and spectroscopic measurements under different conditions using an ensemble model approach with multiple pre-treatment combinations. Soil Tillage Res. 2022, 220, 105379. [Google Scholar] [CrossRef]
- Gholizadeh, A.; Saberioon, M.M.; Viscarra Rossel, R.A.; Borůvka, L.; Klement, A. Spectroscopic measurements and imaging of soil colour for field scale estimation of soil organic carbon. Geoderma 2020, 357, 113972. [Google Scholar] [CrossRef]
- Matinfar, H.R.; Maghsodi, Z.; Mousavi, S.R.; Rahmani, A. Evaluation and Prediction of Topsoil organic carbon using Machine learning and hybrid models at a Field-scale. Catena 2021, 202, 105258. [Google Scholar] [CrossRef]
- Vaudour, E.; Gomez, C.; Lagacherie, P.; Loiseau, T.; Baghdadi, N.; Urbina-Salazar, D.; Loubet, B.; Arrouays, D. Temporal mosaicking approaches of Sentinel-2 images for extending topsoil organic carbon content mapping in croplands. Int. J. Appl. Earth Obs. Geoinf. 2021, 96, 102277. [Google Scholar] [CrossRef]
- Peng, Y.; Xiong, X.; Adhikari, K.; Knadel, M.; Grunwald, S.; Greve, M.H. Modeling soil organic carbon at regional scale by combining multi-spectral images with laboratory spectra. PLoS ONE 2015, 10, e0142295. [Google Scholar] [CrossRef]
- Mzid, N.; Castaldi, F.; Tolomio, M.; Pascucci, S.; Casa, R.; Pignatti, S. Evaluation of Agricultural Bare Soil Properties Retrieval from Landsat 8, Sentinel-2 and PRISMA Satellite Data. Remote Sens. 2022, 14, 714. [Google Scholar] [CrossRef]
- Wang, S.; Guan, K.; Zhang, C.; Lee, D.K.; Margenot, A.J.; Ge, Y.; Peng, J.; Zhou, W.; Zhou, Q.; Huang, Y. Using soil library hyperspectral reflectance and machine learning to predict soil organic carbon: Assessing potential of airborne and spaceborne optical soil sensing. Remote Sens. Environ. 2022, 271, 112914. [Google Scholar] [CrossRef]
- Aichi, H.; Fouad, Y.; Lili-chabaane, Z.; Sanaa, M.; Walter, C. Soil total carbon mapping, in Djerid Arid area, using ASTER multispectral remote sensing data combined with laboratory spectral proximal sensing data. Arab. J. Geosci. 2021, 14, 405. [Google Scholar] [CrossRef]
- Bao, Y.; Ustin, S.; Meng, X.; Zhang, X.; Guan, H.; Qi, B.; Liu, H. A regional-scale hyperspectral prediction model of soil organic carbon considering geomorphic features. Geoderma 2021, 403, 115263. [Google Scholar] [CrossRef]
- Gardin, L.; Chiesi, M.; Fibbi, L.; Maselli, F. Mapping soil organic carbon in Tuscany through the statistical combination of ground observations with ancillary and remote sensing data. Geoderma 2021, 404, 115386. [Google Scholar] [CrossRef]
- Goydaragh, M.G.; Taghizadeh-Mehrjardi, R.; Jafarzadeh, A.A.; Triantafilis, J.; Lado, M. Using environmental variables and Fourier Transform Infrared Spectroscopy to predict soil organic carbon. Catena 2021, 202, 105280. [Google Scholar] [CrossRef]
- Ayala Izurieta, J.E.; Jara Santillán, C.A.; Márquez, C.O.; García, V.J.; Rivera-Caicedo, J.P.; Van Wittenberghe, S.; Delegido, J.; Verrelst, J. Improving the remote estimation of soil organic carbon in complex ecosystems with Sentinel-2 and GIS using Gaussian processes regression. Plant Soil 2022, 479, 159–183. [Google Scholar] [CrossRef] [PubMed]
- Zhang, X.; Xue, J.; Chen, S.; Wang, N.; Shi, Z.; Huang, Y.; Zhuo, Z. Digital Mapping of Soil Organic Carbon with Machine Learning in Dryland of Northeast and North Plain China. Remote Sens. 2022, 14, 2504. [Google Scholar] [CrossRef]
- Zhou, T.; Geng, Y.; Chen, J.; Liu, M.; Haase, D.; Lausch, A. Mapping soil organic carbon content using multi-source remote sensing variables in the Heihe River Basin in China. Ecol. Indic. 2020, 114, 106288. [Google Scholar] [CrossRef]
- Wang, S.; Xu, L.; Zhuang, Q.; He, N. Investigating the spatio-temporal variability of soil organic carbon stocks in different ecosystems of China. Sci. Total Environ. 2021, 758, 143644. [Google Scholar] [CrossRef] [PubMed]
- Urbina-Salazar, D.; Vaudour, E.; Baghdadi, N.; Ceschia, E.; Richer-De-forges, A.C.; Lehmann, S.; Arrouays, D. Using sentinel-2 images for soil organic carbon content mapping in croplands of southwestern france. The usefulness of sentinel-1/2 derived moisture maps and mismatches between sentinel images and sampling dates. Remote Sens. 2021, 13, 5115. [Google Scholar] [CrossRef]
- Nguyen, T.T.; Pham, T.D.; Nguyen, C.T.; Delfos, J.; Archibald, R.; Dang, K.B.; Hoang, N.B.; Guo, W.; Ngo, H.H. A novel intelligence approach based active and ensemble learning for agricultural soil organic carbon prediction using multispectral and SAR data fusion. Sci. Total Environ. 2022, 804, 150187. [Google Scholar] [CrossRef]
- Padarian, J.; Minasny, B.; McBratney, A.B. Machine learning and soil sciences: A review aided by machine learning tools. Soil 2020, 6, 35–52. [Google Scholar] [CrossRef]
- Wadoux, A.M.-C.; Samuel-Rosa, A.; Poggio, L.; Mulder, V.L. A note on knowledge discovery and machine learning in digital soil mapping. Eur. J. Soil Sci. 2020, 71, 133–136. [Google Scholar] [CrossRef]
- Odebiri, O.; Odindi, J.; Mutanga, O. Basic and deep learning models in remote sensing of soil organic carbon estimation: A brief review. Int. J. Appl. Earth Obs. Geoinf. 2021, 102, 102389. [Google Scholar] [CrossRef]
- Hengl, T.; Heuvelink, G.B.M.; Kempen, B.; Leenaars, J.G.B.; Walsh, M.G.; Shepherd, K.D.; Sila, A.; MacMillan, R.A.; De Jesus, J.M.; Tamene, L.; et al. Mapping soil properties of Africa at 250 m resolution: Random forests significantly improve current predictions. PLoS ONE 2015, 10, e0125814. [Google Scholar] [CrossRef]
- Morellos, A.; Pantazi, X.E.; Moshou, D.; Alexandridis, T.; Whetton, R.; Tziotzios, G.; Wiebensohn, J.; Bill, R.; Mouazen, A.M. Machine learning based prediction of soil total nitrogen, organic carbon and moisture content by using VIS-NIR spectroscopy. Biosyst. Eng. 2016, 152, 104–116. [Google Scholar] [CrossRef]
- Adhikari, K.; Mishra, U.; Owens, P.R.; Libohova, Z.; Wills, S.A.; Riley, W.J.; Hoffman, F.M.; Smith, D.R. Importance and strength of environmental controllers of soil organic carbon changes with scale. Geoderma 2020, 375, 114472. [Google Scholar] [CrossRef]
- Haghi, R.K.; Pérez-Fernández, E.; Robertson, A.H.J. Prediction of various soil properties for a national spatial dataset of Scottish soils based on four different chemometric approaches: A comparison of near infrared and mid-infrared spectroscopy. Geoderma 2021, 396, 115071. [Google Scholar] [CrossRef]
- Ng, W.; Minasny, B.; Montazerolghaem, M.; Padarian, J.; Ferguson, R.; Bailey, S.; McBratney, A.B. Convolutional neural network for simultaneous prediction of several soil properties using visible/near-infrared, mid-infrared, and their combined spectra. Geoderma 2019, 352, 251–267. [Google Scholar] [CrossRef]
- Kuang, B.; Tekin, Y.; Mouazen, A.M. Comparison between artificial neural network and partial least squares for on-line visible and near infrared spectroscopy measurement of soil organic carbon, pH and clay content. Soil Tillage Res. 2015, 146, 243–252. [Google Scholar] [CrossRef]
- Liu, Q.; He, L.; Guo, L.; Wang, M.; Deng, D.; Lv, P.; Wang, R.; Jia, Z.; Hu, Z.; Wu, G.; et al. Digital mapping of soil organic carbon density using newly developed bare soil spectral indices and deep neural network. Catena 2022, 219, 106603. [Google Scholar] [CrossRef]
- IUSS Working Group WRB. World Reference Base for Soil Resources. International Soil Classification System for Naming Soils and Creating Legends for Soil Maps, 4th ed.; IUSS Working Group WRB: Vienna, Austria, 2022; Volume 4, ISBN 9798986245119. [Google Scholar]
- Walter, C. Description des Profils Pédologiques du Bassin Versant du Coët-Dan (Naizin); Institut Agro Rennes Angers: Rennes, France, 1992. [Google Scholar]
- Hrkal, Z.; Langevin, C.; Lebret, P.; Sinan, M.; Steenhoudt, M. Bassin Versant Représentatif Expérimental du coët-Dan (Naizin-Morbihan). In Hydrogéologie: Evaluation des Ressources en Eau; BRGM Services Sol et Sous-Sol Direction Technique de l’Eau: Orleans, France, 1993; p. 36. [Google Scholar]
- AFNOR. NF ISO 10694: Qualité du Sol-Dosage du Carbone Organique et du Carbone Total Après Combustion Sèche (Analyse Élémentaire); Association Française de Normalisation: Paris, France, 1995; Volume 1. [Google Scholar]
- Malvern Panalytical Ltd. FieldSpec® 3 User Manual; ASD Rev. J.; ASD Inc.: Boulder, CO, USA, 2010. [Google Scholar]
- Danner, M.; Locherer, M.; Hank, T.; Richter, K. Spectral Sampling with the ASD FIELDSPEC 4—Theory, Measurment, Problems, Interpretation; EnMAP Field Guides Technical Report; GFZ Data Services: Potsdam, Germany, 2015; p. 20. [Google Scholar]
- Baetens, L.; Desjardins, C.; Hagolle, O. Validation of copernicus Sentinel-2 cloud masks obtained from MAJA, Sen2Cor, and FMask processors using reference cloud masks generated with a supervised active learning procedure. Remote Sens. 2019, 11, 433. [Google Scholar] [CrossRef]
- Theia Données Sentinel-2 de Theia. Available online: https://theia.cnes.fr/atdistrib/rocket/#/documents (accessed on 14 December 2022).
- Rouse, J.W.; Haas, R.H.; Schell, J.A.; Deering, D.W. Monitoring vegetation systems in the great plains with ERTS. In Proceedings of the 3rd ERTS Symposium, NASA SP-351, Washington, DC, USA, 10–14 December 1973. [Google Scholar]
- Shabou, M.; Mougenot, B.; Lili-chabaane, Z.; Walter, C.; Boulet, G.; Ben Aissa, N.; Zribi, M. Soil clay content mapping using a time series of Landsat TM data in semi-arid lands. Remote Sens. 2015, 7, 6059–6078. [Google Scholar] [CrossRef]
- El Hajj, M.; Baghdadi, N.; Zribi, M.; Bazzi, H. Synergic use of Sentinel-1 and Sentinel-2 images for operational soil moisture mapping at high spatial resolution over agricultural areas. Remote Sens. 2017, 9, 1292. [Google Scholar] [CrossRef]
- Zayani, H.; Zribi, M.; Baghdadi, N.; Ayari, E.; Kassouk, Z.; Lili-chabaane, Z.; Michot, D.; Walter, C.; Fouad, Y. Potential of C-Band Sentinel-1 Data for Estimating Soil Moisture and Surface Roughness in a Watershed in Western France. In Proceedings of the IGARSS 2022—2022 IEEE International Geoscience and Remote Sensing Symposium, Kuala Lumpur, Malaysia, 17–22 July 2022; pp. 6104–6107. [Google Scholar]
- Vreugdenhil, M.; Wagner, W.; Bauer-Marschallinger, B.; Pfeil, I.; Teubner, I.; Rüdiger, C.; Strauss, P. Sensitivity of Sentinel-1 backscatter to vegetation dynamics: An Austrian case study. Remote Sens. 2018, 10, 1396. [Google Scholar] [CrossRef]
- Villarroya-Carpio, A.; Lopez-Sanchez, J.M.; Engdahl, M.E. Sentinel-1 interferometric coherence as a vegetation index for agriculture. Remote Sens. Environ. 2022, 280, 113208. [Google Scholar] [CrossRef]
- Bannari, A.; Morin, D.; Bonn, F.; Huete, A.R. A review of vegetation indices. Remote Sens. Rev. 1995, 13, 95–120. [Google Scholar] [CrossRef]
- Dorigo, W.A.; Zurita-Milla, R.; de Wit, A.J.W.; Brazile, J.; Singh, R.; Schaepman, M.E. A review on reflective remote sensing and data assimilation techniques for enhanced agroecosystem modeling. Int. J. Appl. Earth Obs. Geoinf. 2007, 9, 165–193. [Google Scholar] [CrossRef]
- Pagès, J. Analyse factorielle multiple appliquée aux variables qualitatives et aux données mixtes. Rev. Des. Stat. Appliquées 2002, 50, 5–37. [Google Scholar]
- Karnieli, A.; Kaufman, Y.J.; Remer, L.; Wald, A. AFRI—Aerosol free vegetation index. Remote Sens. Environ. 2001, 77, 10–21. [Google Scholar] [CrossRef]
- Kaufman, Y.; Tanre, D. Atmospherically resistant vegetation index. IEEE Trans. Geosci. Remote Sens. 1992, 30, 260–271. [Google Scholar] [CrossRef]
- Ceccato, P.; Flasse, S.; Grégoire, J.M. Designing a spectral index to estimate vegetation water content from remote sensing data: Part 1: Theoretical approach. Remote Sens. Environ. 2002, 82, 188–197. [Google Scholar] [CrossRef]
- Maccioni, A.; Agati, G.; Mazzinghi, P. New vegetation indices for remote measurement of chlorophylls based on leaf directional reflectance spectra. J. Photochem. Photobiol. B Biol. 2001, 61, 52–61. [Google Scholar] [CrossRef]
- Rozario, P.F.; Madurapperuma, B.D.; Wang, Y. Remote sensing approach to detect burn severity risk zones in Palo Verde National Park, Costa Rica. Remote Sens. 2018, 10, 1427. [Google Scholar] [CrossRef]
- Roteta, E.; Bastarrika, A.; Padilla, M.; Storm, T.; Chuvieco, E. Development of a Sentinel-2 burned area algorithm: Generation of a small fire database for sub-Saharan Africa. Remote Sens. Environ. 2019, 222, 1–17. [Google Scholar] [CrossRef]
- Van Deventer, A.P.; Ward, A.D.; Gowda, P.M.; Lyon, J.G. Using thematic mapper data to identify contrasting soil plains and tillage practices. Photogramm. Eng. Remote Sens. 1997, 63, 87–93. [Google Scholar]
- Fensholt, R.; Sandholt, I. Derivation of a shortwave infrared water stress index from MODIS near- and shortwave infrared data in a semiarid environment. Remote Sens. Environ. 2003, 87, 111–121. [Google Scholar] [CrossRef]
- Baret, F.; Guyot, G. Potentials and limits of vegetation indices for LAI and APAR assessment. Remote Sens. Environ. 1991, 35, 161–173. [Google Scholar] [CrossRef]
- Escadafal, R. Remote sensing of arid soil surface color with landsat thematic mapper. Adv. Space Res. 1989, 9, 159–163. [Google Scholar] [CrossRef]
- Mathieu, R.; Pouget, M.; Cervelle, B.; Escadafal, R. Relationships between satellite-based radiometric indices simulated using laboratory reflectance data and typic soil color of an arid environment. Remote Sens. Environ. 1998, 66, 17–28. [Google Scholar] [CrossRef]
- Diek, S.; Fornallaz, F.; Schaepman, M.E.; de Jong, R. Barest Pixel Composite for agricultural areas using landsat time series. Remote Sens. 2017, 9, 1245. [Google Scholar] [CrossRef]
- Jin, S.; Sader, S.A. Comparison of time series tasseled cap wetness and the normalized difference moisture index in detecting forest disturbances. Remote Sens. Environ. 2005, 94, 364–372. [Google Scholar] [CrossRef]
- Wold, H. Path Models with Latent Variables: The NIPALS Approach; Academic Press, Inc.: Cambridge, MA, USA, 1975. [Google Scholar]
- Wold, S.; Ruche, A.; Wold, H.; Dunn III, W.J. The collinearity problem in linear regression. The partial least squares (PLS) approach to generalized inverses. SIAM J. Sci. Stat. Comput. 1984, 5, 735–743. [Google Scholar] [CrossRef]
- González, J.; Peña, D.; Romera, R. A robust partial least squares regression method with applications. J. Chemom. 2009, 23, 78–90. [Google Scholar] [CrossRef]
- Bellon-maurel, V.; Palagos, B.; Roger, J.M.; Bellon-maurel, V.; Palagos, B.; Roger, J.M.; Prediction, A.M.; Fernandez-ahumada, E.; Palagos, B.; Roger, J.M.; et al. Critical review of chemometric indicators commonly used for assessing the quality of the prediction of soil attributes by NIR spectroscopy. Trends Anal. Chem. 2010, 29, 1073–1081. [Google Scholar] [CrossRef]
- Wold, S.; Kettaneh-Wold, N.; Skagerberg, B. Nonlinear PLS modeling. Chemom. Intell. Lab. Syst. 1989, 7, 53–65. [Google Scholar] [CrossRef]
- Feurer, M.; Hutter, F. Hyperparameter Optimization. In Automated Machine Learning; Springer: Cham, The Netherlands, 2019; ISBN 9783030053185. [Google Scholar]
- Picard, R.R.; Cook, R.D. Cross-validation of regression models. J. Am. Stat. Assoc. 1984, 79, 575–583. [Google Scholar] [CrossRef]
- Phung, V.H.; Rhee, E.J. A High-accuracy model average ensemble of convolutional neural networks for classification of cloud image patches on small datasets. Appl. Sci. 2019, 9, 4500. [Google Scholar] [CrossRef]
- Breiman, L. Random Forests. Mach. Learn. 2001, 45, 5–32. [Google Scholar] [CrossRef]
- Song, J.; Gao, J.; Zhang, Y.; Li, F.; Man, W.; Liu, M.; Wang, J.; Li, M.; Zheng, H.; Yang, X.; et al. Estimation of Soil Organic Carbon Content in Coastal Wetlands with Measured VIS-NIR Spectroscopy Using Optimized Support Vector Machines and Random Forests. Remote Sens. 2022, 14, 4372. [Google Scholar] [CrossRef]
- Probst, P.; Wright, M.N.; Boulesteix, A.L. Hyperparameters and tuning strategies for random forest. Wiley Interdiscip. Rev. Data Min. Knowl. Discov. 2019, 9, e1301. [Google Scholar] [CrossRef]
- Liu, W.; Wang, Z.; Liu, X.; Zeng, N.; Liu, Y.; Alsaadi, F.E. A survey of deep neural network architectures and their applications. Neurocomputing 2017, 234, 11–26. [Google Scholar] [CrossRef]
- Alam, M.; Samad, M.D.; Vidyaratne, L.; Glandon, A.; Iftekharuddin, K.M. Survey on Deep Neural Networks in Speech and Vision Systems. Neurocomputing 2020, 417, 302–321. [Google Scholar] [CrossRef]
- Odebiri, O.; Mutanga, O.; Odindi, J.; Naicker, R. Modelling soil organic carbon stock distribution across different land-uses in South Africa: A remote sensing and deep learning approach. ISPRS J. Photogramm. Remote Sens. 2022, 188, 351–362. [Google Scholar] [CrossRef]
- Emadi, M.; Taghizadeh-Mehrjardi, R.; Cherati, A.; Danesh, M.; Mosavi, A.; Scholten, T. Predicting and mapping of soil organic carbon using machine learning algorithms in Northern Iran. Remote Sens. 2020, 12, 2234. [Google Scholar] [CrossRef]
- Ma, L.; Liu, Y.; Zhang, X.; Ye, Y.; Yin, G.; Johnson, B.A. Deep learning in remote sensing applications: A meta-analysis and review. ISPRS J. Photogramm. Remote Sens. 2019, 152, 166–177. [Google Scholar] [CrossRef]
- O’Malley, T.; Brusztein, E.; Long, J.; Chollet, F.; Jin, H.; Invernizzi, L. The Tuner Classes in KerasTuner. Available online: https://github.com/keras-team/keras-tuner/blob/v1.3.3/keras_tuner/tuners/randomsearch.py#L104 (accessed on 26 October 2022).
- Chang, C.-W.; Laird, D.A.; Mausbach, M.J.; Hurburgh, C.R., Jr. Near-Infrared Reflectance Spectroscopy-Principal Components Regression Analyses of Soil Properties. Soil Sci. Soc. Am. J. 2001, 65, 480–490. [Google Scholar] [CrossRef]
- Nawar, S.; Mouazen, A.M. Predictive performance of mobile vis-near infrared spectroscopy for key soil properties at different geographical scales by using spiking and data mining techniques. Catena 2017, 151, 118–129. [Google Scholar] [CrossRef]
- Viaud, V.; Santillàn-Carvantes, P.; Akkal-Corfini, N.; Le Guillou, C.; Prévost-Bouré, N.C.; Ranjard, L.; Menasseri-Aubry, S. Landscape-scale analysis of cropping system effects on soil quality in a context of crop-livestock farming. Agric. Ecosyst. Environ. 2018, 265, 166–177. [Google Scholar] [CrossRef]
- Bhatia, N.; Tolpekin, V.A.; Reusen, I.; Sterckx, S.; Biesemans, J.; Stein, A. Sensitivity of Reflectance to Water Vapor and Aerosol Optical Thickness. IEEE J. Sel. Top. Appl. Earth Obs. Remote Sens. 2015, 8, 3199–3208. [Google Scholar] [CrossRef]
- Loiseau, T.; Chen, S.; Mulder, V.L.; Román Dobarco, M.; Richer-de-Forges, A.C.; Lehmann, S.; Bourennane, H.; Saby, N.P.A.; Martin, M.P.; Vaudour, E.; et al. Satellite data integration for soil clay content modelling at a national scale. Int. J. Appl. Earth Obs. Geoinf. 2019, 82, 101905. [Google Scholar] [CrossRef]
- Rousseeuw, P.J.; Debruyne, M.; Engelen, S.; Hubert, M. Robustness and outlier detection in chemometrics. Crit. Rev. Anal. Chem. 2006, 36, 221–242. [Google Scholar] [CrossRef]
- Belgiu, M.; Drăgu, L. Random forest in remote sensing: A review of applications and future directions. ISPRS J. Photogramm. Remote Sens. 2016, 114, 24–31. [Google Scholar] [CrossRef]
- Dvorakova, K.; Heiden, U.; Pepers, K.; Staats, G.; van Os, G.; van Wesemael, B. Improving soil organic carbon predictions from a Sentinel–2 soil composite by assessing surface conditions and uncertainties. Geoderma 2023, 429, 116–128. [Google Scholar] [CrossRef]
- Jin, X.; Song, K.; Du, J.; Liu, H.; Wen, Z. Comparison of different satellite bands and vegetation indices for estimation of soil organic matter based on simulated spectral configuration. Agric. For. Meteorol. 2017, 244–245, 57–71. [Google Scholar] [CrossRef]
- Dvorakova, K.; Shi, P.; Limbourg, Q.; van Wesemael, B. Soil organic carbon mapping from remote sensing: The effect of crop residues. Remote Sens. 2020, 12, 1913. [Google Scholar] [CrossRef]
- Demattê, J.A.M.; Fongaro, C.T.; Rizzo, R.; Safanelli, J.L. Geospatial Soil Sensing System (GEOS3): A powerful data mining procedure to retrieve soil spectral reflectance from satellite images. Remote Sens. Environ. 2018, 212, 161–175. [Google Scholar] [CrossRef]
- Baghdadi, N.; Gherboudj, I.; Zribi, M.; Sahebi, M.; King, C.; Bonn, F. Semi-empirical calibration of the IEM backscattering model using radar images and moisture and roughness field measurements. Int. J. Remote Sens. 2004, 25, 3593–3623. [Google Scholar] [CrossRef]
- Bousbih, S.; Zribi, M.; Lili-chabaane, Z.; Baghdadi, N.; El Hajj, M.; Gao, Q.; Mougenot, B. Potential of sentinel-1 radar data for the assessment of soil and cereal cover parameters. Sensors 2017, 17, 2617. [Google Scholar] [CrossRef] [PubMed]
- Malley, D.F.; Martin, P.D.D.; Ben-Dor, E. Application in Analysis of Soils. In Near-Infrared Spectroscopy in Agriculture; Agronomy Monograph No. 44; American Society of Agronomy, Crop Science Society of America, Soil Science Society of America, Eds.; American Society of Agronomy: Madison, WI, USA, 2004; pp. 729–784. ISBN 9780891182368. [Google Scholar]
- Gitelson, A.A.; Chivkunova, O.B.; Merzlyak, M.N. Nondestructive estimation of anthocyanins and chlorophylls in anthocyanic leaves. Am. J. Bot. 2009, 96, 1861–1868. [Google Scholar] [CrossRef]
- Chivkunova, O.B.; Solovchenko, A.E.; Sokolova, S.G.; Merzlyak, M.N.; Reshetnikova, I.V.; Gitelson, A.A. Reflectance Spectral Features and Detection of Superficial Scald—Induced Browning in Storing Apple Fruit. J. Russ. Phytopathol. Soc. 2001, 2, 73–77. [Google Scholar]
- Hancock, D.W.; Dougherty, C.T. Relationships between Blue- and Red-based Vegetation Indices and Leaf Area and Yield of alfalfa. Crop Sci. 2007, 47, 2547–2556. [Google Scholar] [CrossRef]
- El-Shikha, D.M.; Barnes, E.M.; Clarke, T.R.; Hunsaker, D.J.; Haberland, J.A.; Pinter, P.J., Jr.; Waller, P.M.; Thompson, T.L. Remote sensing of cotton nitrogen status using the canopy chlorophyll content index (CCCI). Am. Soc. Agric. Biol. Eng. 2008, 51, 73–82. [Google Scholar] [CrossRef]
- Huete, A.; Didan, K.; Miura, T.; Rodriguez, E.P.; Gao, X.; Ferreira, L.G. Overview of the radiometric and biophysical performance of the MODIS vegetation indices. Remote Sens. Environ. 2002, 83, 195–213. [Google Scholar] [CrossRef]
- Miura, T.; Yoshioka, H.; Fujiwara, K.; Yamamoto, H. Inter-comparison of ASTER and MODIS surface reflectance and vegetation index products for synergistic applications to natural resource monitoring. Sensors 2008, 8, 2480–2499. [Google Scholar] [CrossRef]
- Gitelson, A.A.; Kaufman, Y.J.; Merzlyak, M.N. Use of a green channel in remote sensing of global vegetation from EOS-MODIS. Remote Sens. Environ. 1996, 58, 289–298. [Google Scholar] [CrossRef]
- Gobron, N.; Pinty, B.; Verstraete, M.M.; Widlowski, J.L. Advanced vegetation indices optimized for up-coming sensors: Design, performance, and applications. IEEE Trans. Geosci. Remote Sens. 2000, 38, 2489–2505. [Google Scholar]
- Tian, J.; Su, S.; Tian, Q.; Zhan, W.; Xi, Y.; Wang, N. A novel spectral index for estimating fractional cover of non-photosynthetic vegetation using near-infrared bands of Sentinel satellite. Int. J. Appl. Earth Obs. Geoinf. 2021, 101, 102361. [Google Scholar] [CrossRef]
- Clevers, J.G.P.W.; Gitelson, A.A. Remote estimation of crop and grass chlorophyll and nitrogen content using red-edge bands on sentinel-2 and-3. Int. J. Appl. Earth Obs. Geoinf. 2013, 23, 344–351. [Google Scholar] [CrossRef]
- Wang, F.; Huang, J.; Tang, Y.; WANG, X. New Vegetation Index and Its Application in Estimating Leaf Area Index of Rice. Rice Sci. 2007, 14, 195–203. [Google Scholar] [CrossRef]
- Escadafal, R.; Girard, M.; Courault, D. Munsell Soft Color and Soil Reflectance in the Visible Spectral Bands of Landsat MSS and TM Data. Remote Sens. Environ. 1989, 46, 37–46. [Google Scholar] [CrossRef]
- Escadafal, R.; Gouinaud, C.; Mathieu, R.; Pouget, M. Le spectroradiometre de terrain: Un outil de la teledetection et de la pedologie. Cah.-ORSTOM Ser. Pedol. 1993, 28, 15–29. [Google Scholar]
- Eskandari, I.; Navid, H.; Rangzan, K. Evaluating spectral indices for determining conservation and conventional tillage systems in a vetch-wheat rotation. Int. Soil Water Conserv. Res. 2016, 4, 93–98. [Google Scholar] [CrossRef]
- Van der Meer, F.D.; van der Werff, H.M.A.; van Ruitenbeek, F.J.A. Potential of ESA’s Sentinel-2 for geological applications. Remote Sens. Environ. 2014, 148, 124–133. [Google Scholar] [CrossRef]
- Feyisa, G.L.; Meilby, H.; Fensholt, R.; Proud, S.R. Automated Water Extraction Index: A new technique for surface water mapping using Landsat imagery. Remote Sens. Environ. 2014, 140, 23–35. [Google Scholar] [CrossRef]
- Xu, H. Modification of normalised difference water index (NDWI) to enhance open water features in remotely sensed imagery. Int. J. Remote Sens. 2006, 27, 3025–3033. [Google Scholar] [CrossRef]
- McFeeters, S.K. The use of the Normalized Difference Water Index (NDWI) in the delineation of open water features. Remote Sens. Environ. 1996, 25, 687–711. [Google Scholar] [CrossRef]










| Abbreviation | Index | Equation | Reference |
|---|---|---|---|
| R1 | Radar cross ratio | [74] | |
| R2 | Radar ratio 2 | [74] | |
| D | Radar difference | [75] |
| Ab. | Index | Equation for Sentinel-2 Indices | Equation for Laboratory Spectral Indices | Ref. |
|---|---|---|---|---|
| Vegetation indices | ||||
| AFRI21 | Aerosol free vegetation index 2.1 | [79] | ||
| ARVI2 | Atmospherically resistant vegetation index2 | [80] | ||
| GVMI | Global vegetation moisture index | [81] | ||
| Maccioni | Maccioni vegetation index | [82] | ||
| NBR | Normalized burn ratio | [83] | ||
| NBR2 | Normalized burned Ratio 2 | [84,85] | ||
| NDVI | Normalized difference vegetation index | [70] | ||
| SIWSI | Shortwave infrared water stress index | [86] | ||
| TSAVI | Soil-adjusted vegetation index | [87] | ||
| Soil indices | ||||
| BI | Brightness index | [88,89] | ||
| BSI | Bare soil index | [90] | ||
| Water indices | ||||
| NDMI | Normalized difference moisture index | [91] | ||
| n | Mean | St. Dev. | Median | Min | Max | Skewness |
|---|---|---|---|---|---|---|
| 58 | 22.3 | 3.6 | 21.9 | 15.2 | 49.4 | 3.7 |
| It. | Dataset | n | Mean | St. Dev. | Median | Min | Max | Skewness |
|---|---|---|---|---|---|---|---|---|
| 1 | Cal | 358 | 22.2 | 3.5 | 21.9 | 15.2 | 49.4 | 3.4 |
| Val | 154 | 22.3 | 3.9 | 21.9 | 17.1 | 49.4 | 4.2 | |
| 2 | Cal | 359 | 22.3 | 3.5 | 22.0 | 15.2 | 49.4 | 3.6 |
| Val | 153 | 22.2 | 4.0 | 21.8 | 17.1 | 49.4 | 3.8 | |
| 3 | Cal | 358 | 22.5 | 4.0 | 22.0 | 15.2 | 49.4 | 3.8 |
| Val | 154 | 21.9 | 2.5 | 21.8 | 15.2 | 30.1 | 0.4 |
| Index | r |
|---|---|
| NBR2 | 0.85 *** |
| NDVI | 0.81 *** |
| ARVI2 | 0.81 *** |
| Maccioni | 0.80 *** |
| TSAVI | 0.79 *** |
| BI | −0.46 *** |
| GVMI | 0.41 *** |
| NBR | 0.26 * |
| BSI | 0.22 * |
| NDMI | −0.16 ns |
| AFRI21 | −0.20 ns |
| SIWSI | −0.05 ns |
Disclaimer/Publisher’s Note: The statements, opinions and data contained in all publications are solely those of the individual author(s) and contributor(s) and not of MDPI and/or the editor(s). MDPI and/or the editor(s) disclaim responsibility for any injury to people or property resulting from any ideas, methods, instructions or products referred to in the content. |
© 2023 by the authors. Licensee MDPI, Basel, Switzerland. This article is an open access article distributed under the terms and conditions of the Creative Commons Attribution (CC BY) license (https://creativecommons.org/licenses/by/4.0/).
Share and Cite
Zayani, H.; Fouad, Y.; Michot, D.; Kassouk, Z.; Baghdadi, N.; Vaudour, E.; Lili-Chabaane, Z.; Walter, C. Using Machine-Learning Algorithms to Predict Soil Organic Carbon Content from Combined Remote Sensing Imagery and Laboratory Vis-NIR Spectral Datasets. Remote Sens. 2023, 15, 4264. https://doi.org/10.3390/rs15174264
Zayani H, Fouad Y, Michot D, Kassouk Z, Baghdadi N, Vaudour E, Lili-Chabaane Z, Walter C. Using Machine-Learning Algorithms to Predict Soil Organic Carbon Content from Combined Remote Sensing Imagery and Laboratory Vis-NIR Spectral Datasets. Remote Sensing. 2023; 15(17):4264. https://doi.org/10.3390/rs15174264
Chicago/Turabian StyleZayani, Hayfa, Youssef Fouad, Didier Michot, Zeineb Kassouk, Nicolas Baghdadi, Emmanuelle Vaudour, Zohra Lili-Chabaane, and Christian Walter. 2023. "Using Machine-Learning Algorithms to Predict Soil Organic Carbon Content from Combined Remote Sensing Imagery and Laboratory Vis-NIR Spectral Datasets" Remote Sensing 15, no. 17: 4264. https://doi.org/10.3390/rs15174264
APA StyleZayani, H., Fouad, Y., Michot, D., Kassouk, Z., Baghdadi, N., Vaudour, E., Lili-Chabaane, Z., & Walter, C. (2023). Using Machine-Learning Algorithms to Predict Soil Organic Carbon Content from Combined Remote Sensing Imagery and Laboratory Vis-NIR Spectral Datasets. Remote Sensing, 15(17), 4264. https://doi.org/10.3390/rs15174264

