The Spatiotemporal Distribution of NO2 in China Based on Refined 2DCNN-LSTM Model Retrieval and Factor Interpretability Analysis
Abstract
:1. Introduction
2. Materials and Methods
2.1. Data Sources and Preparation
2.1.1. NO2 Monitoring Stations and National Highways Map in China
2.1.2. Himawari-8 TOAR Data
2.1.3. Meteorological and Geographic Data
2.2. Methods
2.2.1. Data Matching
2.2.2. Feature Selection Based on Information Entropy
2.2.3. 2DCNN-LSTM
2.2.4. Integration Gradient Approximation and Beta Coefficients
3. Results
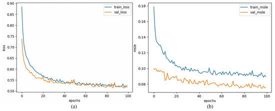
3.1. Model Performance Evaluation
3.2. Retrieval Results
3.3. Factor Interpretability
4. Discussion
5. Conclusions
Author Contributions
Funding
Data Availability Statement
Conflicts of Interest
References
- Sun, Q.; Hong, X.; Wold, L.E. Cardiovascular Effects of Ambient Particulate Air Pollution Exposure. Circulation 2010, 121, 2755–2765. [Google Scholar] [CrossRef] [PubMed]
- Vithanage, M.; Bandara, P.; Novo, L.; Kumar, A.; Ambade, B.; Gnanapragasam, N.; Ranagalage, M.; Magana-Arachchi, D. Deposition of trace metals associated with atmospheric particulate matter: Environmental fate and health risk assessment. Chemosphere 2022, 303, 135051. [Google Scholar] [CrossRef] [PubMed]
- Yun, G.; Yang, C.; Ge, S. Understanding Anthropogenic PM2.5 Concentrations and Their Drivers in China during 1998–2016. Int. J. Environ. Res. Public Health 2022, 20, 695. [Google Scholar] [CrossRef]
- Kang, H.; Zhu, B.; Zhu, C.; de Leeuw, G.; Hou, X.; Gao, J. Natural and anthropogenic contributions to long-term variations of SO2, NO2, CO, and AOD over East China. Atmos. Res. 2018, 215, 284–293. [Google Scholar] [CrossRef]
- He, T.; Tang, Y.; Cao, R.; Xia, N.; Li, B. Distinct urban-rural gradients of air NO2 and SO2 concentrations in response to emission reductions during 2015–2022 in Beijing, China. Environ. Pollut. 2023, 333, 122021. [Google Scholar] [CrossRef] [PubMed]
- Chen, B.; Hu, J.; Song, Z.; Zhou, X.; Zhao, L.; Wang, Y.; Chen, R.; Ren, Y. Exploring high-resolution near-surface CO concentrations based on Himawari-8 top-of-atmosphere radiation data: Assessing the distribution of city-level CO hotspots in China. Atmos. Environ. 2023, 312, 120021. [Google Scholar] [CrossRef]
- Hussain, A.J.; Sankar, T.K.; Vithanage, M.; Ambade, B.; Gautam, S. Black Carbon Emissions from Traffic Contribute Sustainability to Air Pollution in Urban Cities of India. Water Air Soil Pollut. 2023, 234, 217. [Google Scholar] [CrossRef]
- Ambade, B.; Sankar, T.; Sahu, L.; Dumka, U. Understanding Sources and Composition of Black Carbon and PM2.5 in Urban Environments in East India. Urban Sci. 2022, 6, 60. [Google Scholar] [CrossRef]
- Cheng, S.; Zhang, B.; Zhao, Y.; Peng, P.; Lu, F. Multiscale spatiotemporal variations of NOx emissions from heavy duty diesel trucks in the Beijing-Tianjin-Hebei region. Sci. Total Environ. 2022, 854, 158753. [Google Scholar] [CrossRef]
- Liu, J.; Chen, W. First satellite-based regional hourly NO2 estimations using a space-time ensemble learning model: A case study for Beijing-Tianjin-Hebei Region, China. Sci. Total Environ. 2022, 820, 153289. [Google Scholar] [CrossRef]
- Meng, K.; Xu, X.; Cheng, X.; Xu, X.; Qu, X.; Zhu, W.; Ma, C.; Yang, Y.; Zhao, Y. Spatio-temporal variations in SO2 and NO2 emissions caused by heating over the Beijing-Tianjin-Hebei Region constrained by an adaptive nudging method with OMI data. Sci. Total Environ. 2018, 642, 543–552. [Google Scholar] [CrossRef]
- Chen, L.; Pang, X.; Li, J.; Xing, B.; An, T.; Yuan, K.; Dai, S.; Wu, Z.; Wang, S.; Wang, Q.; et al. Vertical profiles of O3, NO2 and PM in a major fine chemical industry park in the Yangtze River Delta of China detected by a sensor package on an unmanned aerial vehicle. Sci. Total Environ. 2022, 845, 157113. [Google Scholar] [CrossRef] [PubMed]
- Cooper, M.J.; Martin, R.V.; Hammer, M.S.; Levelt, P.F.; Veefkind, P.; Lamsal, L.N.; Krotkov, N.A.; Brook, J.R.; McLinden, C.A. Global fine-scale changes in ambient NO2 during COVID-19 lockdowns. Nature 2022, 601, 380–387. [Google Scholar] [CrossRef]
- Dong, L.; Chen, B.; Huang, Y.; Song, Z.; Yang, T. Analysis on the Characteristics of Air Pollution in China during the COVID-19 Outbreak. Atmosphere 2021, 12, 205. [Google Scholar] [CrossRef]
- Chi, Y.; Fan, M.; Zhao, C.; Yang, Y.; Fan, H.; Yang, X.; Yang, J.; Tao, J. Machine learning-based estimation of ground-level NO2 concentrations over China. Sci. Total Environ. 2022, 807, 150721. [Google Scholar] [CrossRef]
- Dai, Y.; Cai, X.; Zhong, J. Chemistry, transport, emission, and shading effects on NO2 and Ox distributions within urban canyons. Environ. Pollut. 2022, 315, 120347. [Google Scholar] [CrossRef] [PubMed]
- Liu, J.; Cui, S.; Chen, G.; Zhang, Y.; Wang, X.; Wang, Q.; Gao, P.; Hang, J. The influence of solar natural heating and NOx-O3 photochemistry on flow and reactive pollutant exposure in 2D street canyons. Sci. Total Environ. 2021, 759, 143527. [Google Scholar] [CrossRef]
- Chen, Y.; Fung, J.C.H.; Yuan, D.; Chen, W.; Fung, T.; Lu, X. Development of an integrated machine-learning and data assimilation framework for NOx emission inversion. Sci. Total Environ. 2023, 871, 161951. [Google Scholar] [CrossRef] [PubMed]
- Guo, X.; Zhang, Z.; Cai, Z.; Wang, L.; Gu, Z.; Xu, Y.; Zhao, J. Analysis of the Spatial–Temporal Distribution Characteristics of NO2 and Their Influencing Factors in the Yangtze River Delta Based on Sentinel-5P Satellite Data. Atmosphere 2022, 13, 1923. [Google Scholar] [CrossRef]
- Ji, X.; Shu, L.; Chen, W.; Chen, Z.; Shang, X.; Yang, Y.; Dahlgren, R.A.; Zhang, M. Nitrate pollution source apportionment, uncertainty and sensitivity analysis across a rural-urban river network based on δ15N/δ18O-NO3− isotopes and SIAR modeling. J. Hazard. Mater. 2022, 438, 129480. [Google Scholar] [CrossRef]
- Liu, F.; Xing, C.; Su, P.; Luo, Y.; Zhao, T.; Xue, J.; Zhang, G.; Qin, S.; Song, Y.; Bu, N. Source analysis of the tropospheric NO2 based on MAX-DOAS measurements in northeastern China. Environ. Pollut. 2022, 306, 119424. [Google Scholar] [CrossRef]
- Zhang, Y.; Shi, M.; Chen, J.; Fu, S.; Wang, H. Spatiotemporal variations of NO2 and its driving factors in the coastal ports of China. Sci. Total Environ. 2023, 871, 162041. [Google Scholar] [CrossRef]
- Chen, B.; Wang, Y.X.; Huang, J.P.; Zhao, L.; Chen, R.M.; Song, Z.H.; Hu, J.S. Estimation of near-surface ozone concentration and analysis of main weather situation in China based on machine learning model and Himawari-8 TOAR data. Sci. Total Environ. 2023, 864, 160928. [Google Scholar] [CrossRef]
- Song, Z.; Chen, B.; Zhang, P.; Guan, X.; Wang, X.; Ge, J.; Hu, X.; Zhang, X.; Wang, Y. High temporal and spatial resolution PM2.5 dataset acquisition and pollution assessment based on FY-4A TOAR data and deep forest model in China. Atmos. Res. 2022, 274, 106199. [Google Scholar] [CrossRef]
- Yin, H.; Zhang, X.; Wang, F.; Zhang, Y.; Xia, R.; Jin, J. Rainfall-runoff modeling using LSTM-based multi-state-vector sequence-to-sequence model. J. Hydrol. 2021, 598, 126378. [Google Scholar] [CrossRef]
- Paoletti, M.E.; Haut, J.M.; Plaza, J.; Plaza, A. Deep learning classifiers for hyperspectral imaging: A review. ISPRS J. Photogramm. Remote Sens. 2019, 158, 279–317. [Google Scholar] [CrossRef]
- Ahmed, R.; Sreeram, V.; Mishra, Y.; Arif, M.D. A review and evaluation of the state-of-the-art in PV solar power forecasting: Techniques and optimization. Renew. Sustain. Energy Rev. 2020, 124, 109792. [Google Scholar] [CrossRef]
- Zhang, F.; Luo, L.; Li, J.; Peng, J.; Zhang, Y.; Gao, X. Ultrasonic adaptive plane wave high-resolution imaging based on convolutional neural network. NDT E Int. 2023, 138, 102891. [Google Scholar] [CrossRef]
- Tahmasebi, P.; Kamrava, S.; Bai, T.; Sahimi, M. Machine learning in geo- and environmental sciences: From small to large scale. Adv. Water Resour. 2020, 142, 103619. [Google Scholar] [CrossRef]
- Bin, C.; Song, Z.H.; Huang, J.P.; Zhang, P.; Hu, X.Q.; Zhang, X.Y.; Guan, X.D.; Ge, J.M.; Zhou, X.Z. Estimation of Atmospheric PM10 Concentration in China Using an Interpretable Deep Learning Model and Top-of-the-Atmosphere Reflectance Data From China’s New Generation Geostationary Meteorological Satellite, FY-4A. J. Geophys. Res.-Atmos. 2022, 127, e2021JD036393. [Google Scholar] [CrossRef]
- Guo, J.P.; Miao, Y.C.; Zhang, Y.; Liu, H.; Li, Z.Q.; Zhang, W.C.; He, J.; Lou, M.Y.; Yan, Y.; Bian, L.G.; et al. The climatology of planetary boundary layer height in China derived from radiosonde and reanalysis data. Atmos. Chem. Phys. 2016, 16, 13309–13319. [Google Scholar] [CrossRef]
- Hansen, M.H.; Li, H.T.; Svarverud, R. Ecological civilization: Interpreting the Chinese past, projecting the global future. Glob. Environ. Chang.-Hum. Policy Dimens. 2018, 53, 195–203. [Google Scholar] [CrossRef]
- Bian, X.H.; Guo, J.; Ouyang, B.; Zhang, Y.; Feng, Z.H. Prospect Analysis for the Complementary Development of Gas-Fueled and Electric Vehicles in China. 3rd Annu. Int. Conf. Sustain. Dev. (ICSD) 2017, 111, 252–258. [Google Scholar]
- Liu, Y.; Zhou, Y.; Lu, J. Exploring the relationship between air pollution and meteorological conditions in China under environmental governance. Sci. Rep. 2020, 10, 14518. [Google Scholar] [CrossRef] [PubMed]
- Cao, M.; Xing, J.; Sahu, S.K.; Duan, L.; Li, J.H. Accurate prediction of air quality response to emissions for effective control policy design. J. Environ. Sci. 2023, 123, 116–126. [Google Scholar] [CrossRef] [PubMed]
- Ambade, B.; Sethi, S.; Kumar, A.; Sankar, T.; Kurwadkar, S. Health Risk Assessment, Composition, and Distribution of Polycyclic Aromatic Hydrocarbons (PAHs) in Drinking Water of Southern Jharkhand, East India. Arch. Environ. Contam. Toxicol. 2021, 80, 120–133. [Google Scholar] [CrossRef] [PubMed]
- Ambade, B.; Sankar, T.K.; Kumar, A.; Gautam, A.S.; Gautam, S. COVID-19 lockdowns reduce the Black carbon and polycyclic aromatic hydrocarbons of the Asian atmosphere: Source apportionment and health hazard evaluation. Environ. Dev. Sustain. 2021, 23, 12252–12271. [Google Scholar] [CrossRef]
- Charakopoulos, A.K.; Katsouli, G.A.; Karakasidis, T.E. Dynamics and causalities of atmospheric and oceanic data identified by complex networks and Granger causality analysis. Phys. A Stat. Mech. Appl. 2018, 495, 436–453. [Google Scholar] [CrossRef]
- Yuan, K.; Zhu, Q.; Li, F.; Riley, W.J.; Torn, M.; Chu, H.; McNicol, G.; Chen, M.; Knox, S.; Delwiche, K.; et al. Causality guided machine learning model on wetland CH4 emissions across global wetlands. Agric. For. Meteorol. 2022, 324, 109115. [Google Scholar] [CrossRef]










| Variables | Implication | Time Series Length | Unit | Spatial Resolution | Temporal Resolution | Data Source |
|---|---|---|---|---|---|---|
| NO2 | NO2 observation data | March 2018 to February 2020 | μg/m3 | site | Hourly | CNEMC |
| TOAR1 | AHI blue band (0.46 μm) | March 2018 to February 2020 | / | 0.05° × 0.05° | Hourly | JMA |
| TOAR2 | AHI green band (0.51 μm) | March 2018 to February 2020 | / | 0.05° × 0.05° | Hourly | JMA |
| TOAR3 | AHI red band (0.64 μm) | March 2018 to February 2020 | / | 0.05° × 0.05° | Hourly | JMA |
| TOAR4 | AHI Near-infrared band (0.86 μm) | March 2018 to February 2020 | / | 0.05° × 0.05° | Hourly | JMA |
| TOAR5 | AHI Near-infrared band (1.5 μm) | March 2018 to February 2020 | / | 0.05° × 0.05° | Hourly | JMA |
| TOAR6 | AHI Near-infrared band (2.3 μm) | March 2018 to February 2020 | / | 0.05° × 0.05° | Hourly | JMA |
| TOAR7 | AHI Infrared band (3.9 μm) | March 2018 to February 2020 | / | 0.05° × 0.05° | Hourly | JMA |
| TOAR8 | AHI Infrared band (6.2 μm) | March 2018 to February 2020 | / | 0.05° × 0.05° | Hourly | JMA |
| TOAR9 | AHI Infrared band (6.9 μm) | March 2018 to February 2020 | / | 0.05° × 0.05° | Hourly | JMA |
| TOAR10 | AHI Infrared band (7.3 μm) | March 2018 to February 2020 | / | 0.05° × 0.05° | Hourly | JMA |
| TOAR11 | AHI Infrared band (8.6 μm) | March 2018 to February 2020 | / | 0.05° × 0.05° | Hourly | JMA |
| TOAR12 | AHI Infrared band (9.6 μm) | March 2018 to February 2020 | / | 0.05° × 0.05° | Hourly | JMA |
| TOAR13 | AHI Infrared band (10.4 μm) | March 2018 to February 2020 | / | 0.05° × 0.05° | Hourly | JMA |
| TOAR14 | AHI Infrared band (11.2μm) | March 2018 to February 2020 | / | 0.05° × 0.05° | Hourly | JMA |
| TOAR15 | AHI Infrared band (12.4 μm) | March 2018 to February 2020 | / | 0.05° × 0.05° | Hourly | JMA |
| TOAR16 | AHI Infrared band (13.3 μm) | March 2018 to February 2020 | / | 0.05° × 0.05° | Hourly | JMA |
| BLH | Boundary layer height | March 2018 to February 2020 | m | 0.25° × 0.25° | Hourly | ERA-5 |
| TM | 2m temperature | March 2018 to February 2020 | K | 0.1° × 0.1° | Hourly | ERA-5 |
| RH | Relative humidity | March 2018 to February 2020 | % | 0.25° × 0.25° | Hourly | ERA-5 |
| U10 | 10m u component of wind | March 2018 to February 2020 | m/s | 0.1° × 0.1° | Hourly | ERA-5 |
| V10 | 10m v component of wind | March 2018 to February 2020 | m/s | 0.1° × 0.1° | Hourly | ERA-5 |
| SP | Surface pressure | March 2018 to February 2020 | Pa | 0.1° × 0.1° | Hourly | ERA-5 |
| LUCC | The type of surface | March 2018 to February 2020 | / | 0.05° × 0.05° | Yearly | NASA |
| Key Hyperparam Eters | Value |
|---|---|
| Loss | Mean Absolute Error |
| Optimizer | Adam |
| Learning Rate | 0.0009 |
| Epoch | 100 |
| Batch size | 8 |
| Activation functions | ReLU |
| Regularizing functions | Regularizers.L2 (0.005) |
| Hidden layers | 30 |
| Dropout | 0.05 |
| Trainable params | 39,708 |
Disclaimer/Publisher’s Note: The statements, opinions and data contained in all publications are solely those of the individual author(s) and contributor(s) and not of MDPI and/or the editor(s). MDPI and/or the editor(s) disclaim responsibility for any injury to people or property resulting from any ideas, methods, instructions or products referred to in the content. |
© 2023 by the authors. Licensee MDPI, Basel, Switzerland. This article is an open access article distributed under the terms and conditions of the Creative Commons Attribution (CC BY) license (https://creativecommons.org/licenses/by/4.0/).
Share and Cite
Chen, R.; Hu, J.; Song, Z.; Wang, Y.; Zhou, X.; Zhao, L.; Chen, B. The Spatiotemporal Distribution of NO2 in China Based on Refined 2DCNN-LSTM Model Retrieval and Factor Interpretability Analysis. Remote Sens. 2023, 15, 4261. https://doi.org/10.3390/rs15174261
Chen R, Hu J, Song Z, Wang Y, Zhou X, Zhao L, Chen B. The Spatiotemporal Distribution of NO2 in China Based on Refined 2DCNN-LSTM Model Retrieval and Factor Interpretability Analysis. Remote Sensing. 2023; 15(17):4261. https://doi.org/10.3390/rs15174261
Chicago/Turabian StyleChen, Ruming, Jiashun Hu, Zhihao Song, Yixuan Wang, Xingzhao Zhou, Lin Zhao, and Bin Chen. 2023. "The Spatiotemporal Distribution of NO2 in China Based on Refined 2DCNN-LSTM Model Retrieval and Factor Interpretability Analysis" Remote Sensing 15, no. 17: 4261. https://doi.org/10.3390/rs15174261
APA StyleChen, R., Hu, J., Song, Z., Wang, Y., Zhou, X., Zhao, L., & Chen, B. (2023). The Spatiotemporal Distribution of NO2 in China Based on Refined 2DCNN-LSTM Model Retrieval and Factor Interpretability Analysis. Remote Sensing, 15(17), 4261. https://doi.org/10.3390/rs15174261
