Classification of Hyperspectral and LiDAR Data Using Multi-Modal Transformer Cascaded Fusion Net
Abstract
:1. Introduction
- This paper proposes a model for classifying data from multiple modalities, including HSI-LiDAR. In the feature extraction stage, a three-branch cascaded CNN module is used to extract spatial–spectral-3D terrain data. During the feature fusion stage, the VPGT method takes into account the correlation and heterogeneity among the multi-modal data and generates fusion features to improve classification accuracy.
- We introduce a straightforward yet efficient vectorized pixel group embedding in the feature fusion stage, which maintains detailed information of the feature maps in a non-overlapping multi-channel manner. Additionally, we employ the MASH with DropKey approach to address the issue of overfitting. The combination of these two techniques effectively captures long-range correlation information among the multi-modal features.
- We conduct numerous balanced and unbalanced sample tests on three HSI-LiDAR datasets, and the results demonstrate that our proposed method outperforms the state-of-the-art (SOTA) method we compare it with.
2. Methodology
2.1. Over Architecture
2.2. Feature Extraction Backbone
2.3. Feature Fusion Backbone
2.3.1. Vectorized Pixel Group Embedding
2.3.2. Transformer Encoder Block
Mulit-Head Self-Attention with DropKey
Multi-Layer Perceptron
3. Experiments and Analysis
3.1. Experimental Datasets
- Houston dataset: This dataset was acquired at the GRSS Data Fusion Contest 2013 and covers the University of Houston campus and the surrounding urban area. The number of HSI image bands totaled 270, with wavelengths ranging from 364 to 1046 nm. The spatial size of the HSI and DSM is 1905 × 349 image elements, and the spatial resolution is 2.5 m. The dataset has a total of 15 feature classes and the detailed information of each class is shown in Figure 5.
- 2.
- MUUFL dataset: The University of Southern Mississippi Gulf Park Campus is where the MUUFL Gulfport dataset, which includes HSI and LiDAR data for the campus area, was gathered. The raw HSI image has 72 bands and 325 × 337 pixels. There are 64 remaining bands after the noisy bands—the first four and the last four bands—are eliminated. The lower right corner of the original HSI image contains invalid regions that require cropping, and the cropped HSI and DSM dimensions are 325 × 220 × 64. The scene’s pixels were manually classified into a total of 11 classifications. However, mostly grass (label 2) refers to a surface that is clearly covered with grass, and mixed ground surface (label 3) refers to a surface that may include a mixture of grass, soil, dirt, etc.
- 3.
- Wuhan dataset: This dataset was acquired on 14 March 2023, in Wuhan, Hubei Province, China. The raw HSI data underwent preprocessing, which included atmospheric, geometric, and radiometric correction. Before creating a comprehensive digital surface model, the raw point cloud data was filtered and downsampled to remove noise and unnecessary points. Finally, the HSI was positioned in accordance with the LiDAR-based DSM utilizing ground-based individual control points to ensure spatial coherence between the two sources of data. The HSI images have a total of 270 bands with a wavelength range between 402–1031 nm and a spectral resolution of 3 nm. The spatial size of HSI and DSM is 2500 × 1140 pixels with a spatial resolution of 0.4 m. After comparing the features with Google Maps, a total of eight land cover features were tagged.
3.2. Experimental Setting
3.3. Comparison Methods
- 3D-CNN [48]: 3D convolution is created from 2D convolution to extract spectral and spatial features from the input data. In this study, a 3D-CNN with four convolutional layers and two pooling layers was used.
- DFFN [49]: DFFN uses residual learning to optimize multiple convolutional layers in constant mappings, resulting in a deeper network while also facilitates network training.
- SSFTT [50]: This model combines CNN and transformer to classify HSI data using spectral–spatial feature tokenization. Spatial–spectral feature extraction module first extracts shallow features, which are then turned into input features for transformer using a Gaussian weighted feature tokenizer, followed by feature learning and classification using transformer encoder.
- SpectralFormer [51]: To learn the feature representation in HSI images, the SpectralFormer uses the transformer encoder. In contrast to VIT, which only takes into account spatial information, SpectralFormer takes into account both spectral and spatial information.
- HRWN [31]: Hierarchical random walk network is a joint classifier for HSI and LiDAR data. HRWN employs a two-branch CNN to capture spectral and spatial information and uses a hierarchical random walk layer to explore the local similarity of pixel-level pairs.
- MAHiDFNet [38]: The multi-attentive hierarchical fusion net realizes feature-level HSI image and LiDAR data fusion and classification by extracting the spatial–spectral information and elevation information separately through a three-branch network, and then fusing the features using a hierarchical fusion strategy through Modal Attention Module (MA).
- GLT-Net [39]: The global–local transformer network achieves full mining and utilization of global–local spectral spatial information and complementary information of multi-modal data by fully utilizing the advantages of convolution operators in characterizing locally relevant features and the potential of the transformer framework in learning long-range dependencies, thus realizing the fusion and classification of HSI and LiDAR data.
3.4. Discussion
3.4.1. Ablation Experiments
3.4.2. Analyzing the Effect of DropKey Ratio
3.4.3. Robustness Evaluation
4. Conclusions
Author Contributions
Funding
Data Availability Statement
Acknowledgments
Conflicts of Interest
References
- Ding, Z.; Liao, X.; Su, F.; Fu, D. Mining Coastal Land Use Sequential Pattern and Its Land Use Associations Based on Association Rule Mining. Remote Sens. 2017, 9, 116. [Google Scholar] [CrossRef]
- Luo, B.; Zhang, F.; Liu, X.; Pan, Q.; Guo, P. Managing Agricultural Water Considering Water Allocation Priority Based on Remote Sensing Data. Remote Sens. 2021, 13, 1536. [Google Scholar] [CrossRef]
- Mo, K.; Cong, Z.; Lei, H. Optimal vegetation cover in the Horqin Sands, China. Ecohydrology 2015, 9, 700–711. [Google Scholar] [CrossRef]
- Cao, W.; Dong, L.; Wu, L.; Liu, Y. Quantifying urban areas with multi-source data based on percolation theory. Remote Sens. Environ. 2020, 241, 111730. [Google Scholar] [CrossRef]
- Cheng, Y.; Zhou, K.; Wang, J.; Yan, J. Big Earth Observation Data Integration in Remote Sensing Based on a Distributed Spatial Framework. Remote Sens. 2020, 12, 972. [Google Scholar] [CrossRef]
- Tong, X.-Y.; Xia, G.-S.; Lu, Q.; Shen, H.; Li, S.; You, S.; Zhang, L. Land-cover classification with high-resolution remote sensing images using transferable deep models. Remote Sens. Environ. 2020, 237, 111322. [Google Scholar] [CrossRef]
- Roy, S.K.; Deria, A.; Hong, D.; Ahmad, M.; Plaza, A.; Chanussot, J. Hyperspectral and LiDAR Data Classification Using Joint CNNs and Morphological Feature Learning. IEEE Trans. Geosci. Remote Sens. 2022, 60, 5530416. [Google Scholar] [CrossRef]
- Zhang, Z.; Li, T.; Tang, X.; Lei, X.; Peng, Y. Introducing Improved Transformer to Land Cover Classification Using Multispectral LiDAR Point Clouds. Remote Sens. 2022, 14, 3808. [Google Scholar] [CrossRef]
- Liu, Q.; Xue, D.; Tang, Y.; Zhao, Y.; Ren, J.; Sun, H. PSSA: PCA-Domain Superpixelwise Singular Spectral Analysis for Unsupervised Hyperspectral Image Classification. Remote Sens. 2023, 15, 890. [Google Scholar] [CrossRef]
- Uchaev, D.; Uchaev, D. Small Sample Hyperspectral Image Classification Based on the Random Patches Network and Recursive Filtering. Sensors 2023, 23, 2499. [Google Scholar] [CrossRef]
- Uddin, P.; Mamun, A.; Hossain, A. Effective feature extraction through segmentation-based folded-PCA for hyperspectral image classification. Int. J. Remote Sens. 2019, 40, 7190–7220. [Google Scholar] [CrossRef]
- Li, W.; Prasad, S.; Fowler, J.E.; Bruce, L.M. Locality-Preserving Discriminant Analysis in Kernel-Induced Feature Spaces for Hyperspectral Image Classification. IEEE Geosci. Remote Sens. Lett. 2011, 8, 894–898. [Google Scholar] [CrossRef]
- Li, X.; Zhang, L.; You, J. Locally Weighted Discriminant Analysis for Hyperspectral Image Classification. Remote Sens. 2019, 11, 109. [Google Scholar] [CrossRef]
- Sun, W.; Halevy, A.; Benedetto, J.J.; Czaja, W.; Liu, C.; Wu, H.; Shi, B.; Li, W. UL-Isomap based nonlinear dimensionality reduction for hyperspectral imagery classification. ISPRS J. Photogramm. Remote Sens. 2014, 89, 25–36. [Google Scholar] [CrossRef]
- Bigdeli, B.; Samadzadegan, F.; Reinartz, P. Fusion of hyperspectral and LIDAR data using decision template-based fuzzy multiple classifier system. Int. J. Appl. Earth Obs. Geoinf. 2015, 38, 309–320. [Google Scholar] [CrossRef]
- Li, Q.; Wong, F.K.K.; Fung, T. Mapping multi-layered mangroves from multispectral, hyperspectral, and LiDAR data. Remote Sens. Environ. 2021, 258, 112403. [Google Scholar] [CrossRef]
- de Almeida, C.T.; Galvão, L.S.; de Oliveira Cruz e Aragão, L.E.; Ometto, J.P.H.B.; Jacon, A.D.; de Souza Pereira, F.R.; Sato, L.Y.; Lopes, A.P.; Lima de Alencastro Graça, P.M.; Silva, C.V.d.J.; et al. Combining LiDAR and hyperspectral data for aboveground biomass modeling in the Brazilian Amazon using different regression algorithms. Remote Sens. Environ. 2019, 232, 111323. [Google Scholar] [CrossRef]
- Nimbalkar, P.; Jarocinska, A.; Zagajewski, B. Optimal Band Configuration for the Roof Surface Characterization Using Hyperspectral and LiDAR Imaging. J. Spectrosc. 2018, 2018, 6460518. [Google Scholar] [CrossRef]
- Jiang, H.; Peng, M.; Zhong, Y.; Xie, H.; Hao, Z.; Lin, J.; Ma, X.; Hu, X. A Survey on Deep Learning-Based Change Detection from High-Resolution Remote Sensing Images. Remote Sens. 2022, 14, 1552. [Google Scholar] [CrossRef]
- Li, K.; Wan, G.; Cheng, G.; Meng, L.; Han, J. Object detection in optical remote sensing images: A survey and a new benchmark. ISPRS J. Photogramm. Remote Sens. 2020, 159, 296–307. [Google Scholar] [CrossRef]
- Kuang, H.; Wu, J. Survey of Image Semantic Segmentation Based on Deep Learning. Comput. Eng. Appl. 2019, 55, 12–21+42. [Google Scholar]
- Wang, J.-X.; Chen, S.-B.; Ding, C.H.Q.; Tang, J.; Luo, B. Semi-Supervised Semantic Segmentation of Remote Sensing Images With Iterative Contrastive Network. IEEE Geosci. Remote Sens. Lett. 2022, 19, 2504005. [Google Scholar] [CrossRef]
- Bashir, S.M.A.; Wang, Y.; Khan, M.; Niu, Y. A comprehensive review of deep learning-based single image super-resolution. PeerJ Comput. Sci. 2021, 7, e621. [Google Scholar] [CrossRef]
- Fu, Y.; Zhang, X.; Wang, M. Super-Resolution Reconstruction of Remote Sensing Images Using Generative Adversarial Network With Shallow Information Enhancement. IEEE J. Sel. Top. Appl. Earth Obs. Remote Sens. 2022, 15, 8529–8540. [Google Scholar] [CrossRef]
- Li, J.; Hong, D.; Gao, L.; Yao, J.; Zheng, K.; Zhang, B.; Chanussot, J. Deep learning in multimodal remote sensing data fusion: A comprehensive review. Int. J. Appl. Earth Obs. Geoinf. 2022, 112, 102926. [Google Scholar] [CrossRef]
- Xu, P.; Zhu, X.; Clifton, D.A. Multimodal Learning with Transformers: A Survey. In IEEE Transactions on Pattern Analysis and Machine Intelligence; IEEE: Piscataway, NJ, USA, 2023; pp. 1–20. [Google Scholar] [CrossRef] [PubMed]
- Zhang, M.; Li, W.; Du, Q.; Gao, L.; Zhang, B. Feature Extraction for Classification of Hyperspectral and LiDAR Data Using Patch-to-Patch CNN. IEEE Trans. Cybern. 2018, 50, 100–111. [Google Scholar] [CrossRef] [PubMed]
- Rasti, B.; Ghamisi, P.; Plaza, J.; Plaza, A. Fusion of Hyperspectral and LiDAR Data Using Sparse and Low-Rank Component Analysis. IEEE Trans. Geosci. Remote Sens. 2017, 55, 6354–6365. [Google Scholar] [CrossRef]
- Xia, J.; Liao, W.; Du, P. Hyperspectral and LiDAR Classification with Semisupervised Graph Fusion. IEEE Geosci. Remote Sens. Lett. 2019, 17, 666–670. [Google Scholar] [CrossRef]
- Hang, R.; Li, Z.; Ghamisi, P.; Hong, D.; Xia, G.; Liu, Q. Classification of Hyperspectral and LiDAR Data Using Coupled CNNs. IEEE Trans. Geosci. Remote Sens. 2020, 58, 4939–4950. [Google Scholar] [CrossRef]
- Zhao, X.; Tao, R.; Li, W.; Li, H.-C.; Du, Q.; Liao, W.; Philips, W. Joint Classification of Hyperspectral and LiDAR Data Using Hierarchical Random Walk and Deep CNN Architecture. IEEE Trans. Geosci. Remote Sens. 2020, 58, 7355–7370. [Google Scholar] [CrossRef]
- Zhu, Y.; Li, W.; Zhang, M.; Pang, Y.; Tao, R.; Du, Q. Joint feature extraction for multi-source data using similar double-concentrated network. Neurocomputing 2021, 450, 70–79. [Google Scholar] [CrossRef]
- Hou, Q.; Zhou, D.; Feng, J. Coordinate Attention for Efficient Mobile Network Design. In Proceedings of the 2021 IEEE/CVF Conference on Computer Vision and Pattern Recognition, CVPR 2021, Nashville, TN, USA, 20–25 June 2021; pp. 13708–13717. [Google Scholar]
- Hu, J.; Shen, L.; Sun, G. Squeeze-and-Excitation Networks. In Proceedings of the 2018 IEEE/CVF Conference on Computer Vision and Pattern Recognition (CVPR), Salt Lake City, UT, USA, 18–23 June 2018; pp. 7132–7141. [Google Scholar]
- Woo, S.; Park, J.; Lee, J.-Y.; Kweon, I.S. CBAM: Convolutional Block Attention Module. In Proceedings of the Computer Vision—ECCV 2018, PT VII, Munich, Germany, 8–14 September 2018; pp. 3–19. [Google Scholar]
- Li, H.-C.; Hu, W.-S.; Li, W.; Li, J.; Du, Q.; Plaza, A. A3 CLNN: Spatial, Spectral and Multiscale Attention ConvLSTM Neural Network for Multisource Remote Sensing Data Classification. IEEE Trans. Neural Networks Learn. Syst. 2020, 33, 747–761. [Google Scholar] [CrossRef]
- Mohla, S.; Pande, S.; Banerjee, B.; Chaudhuri, S. FusAtNet: Dual Attention based SpectroSpatial Mul-ti-modal Fusion Network for Hyperspectral and LiDAR Classification. In Proceedings of the 2020 IEEE/CVF Conference on Computer Vision and Pattern Recognition Workshops (CVPRW 2020), Seattle, WA, USA, 14–19 June 2020; pp. 416–425. [Google Scholar]
- Wang, X.; Feng, Y.; Song, R.; Mu, Z.; Song, C. Multi-attentive hierarchical dense fusion net for fusion classification of hyperspectral and LiDAR data. Inf. Fusion 2021, 82, 1–18. [Google Scholar] [CrossRef]
- Ding, K.; Lu, T.; Fu, W.; Li, S.; Ma, F. Global–Local Transformer Network for HSI and LiDAR Data Joint Classification. IEEE Trans. Geosci. Remote Sens. 2022, 60, 5541213. [Google Scholar] [CrossRef]
- Zhang, Y.; Peng, Y.; Tu, B.; Liu, Y. Local Information Interaction Transformer for Hyperspectral and LiDAR Data Classification. IEEE J. Sel. Top. Appl. Earth Obs. Remote Sens. 2022, 16, 1130–1143. [Google Scholar] [CrossRef]
- Ghosh, K.; Bellinger, C.; Corizzo, R.; Branco, P.; Krawczyk, B.; Japkowicz, N. The class imbalance problem in deep learning. Mach. Learn. 2022, 1–57. [Google Scholar] [CrossRef]
- Lin, E.; Chen, Q.; Qi, X. Deep reinforcement learning for imbalanced classification. Appl. Intell. 2020, 50, 2488–2502. [Google Scholar] [CrossRef]
- Sarker, I.H. Deep Learning: A Comprehensive Overview on Techniques, Taxonomy, Applications and Research Directions. SN Comput. Sci. 2021, 2, 420. [Google Scholar] [CrossRef]
- Zhu, X.X.; Tuia, D.; Mou, L.; Xia, G.-S.; Zhang, L.; Xu, F.; Fraundorfer, F. Deep Learning in Remote Sensing: A Comprehensive Review and List of Resources. IEEE Geosci. Remote Sens. Mag. 2017, 5, 8–36. [Google Scholar] [CrossRef]
- He, K.; Zhang, X.; Ren, S.; Sun, J. Deep Residual Learning for Image Recognition. In Proceedings of the 2016 IEEE Conference on Computer Vision and Pattern Recognition (CVPR), Las Vegas, NV, USA, 27–30 June 2016; pp. 770–778. [Google Scholar]
- Dosovitskiy, A.; Beyer, L.; Kolesnikov, A.; Weissenborn, D.; Zhai, X.; Unterthiner, T.; Dehghani, M.; Minderer, M.; Heigold, G.; Gelly, S.; et al. An Image is Worth 16x16 Words: Transformers for Image Recognition at Scale. arXiv 2021, arXiv:2010.11929. [Google Scholar]
- Vaswani, A.; Shazeer, N.; Parmar, N.; Uszkoreit, J.; Jones, L.; Gomez, A.N.; Kaiser, L.; Polosukhin, I. Attention Is All You Need. In Proceedings of the Advances in Neural Information Processing Systems 30 (NIPS 2017), Long Beach, CA, USA, 4–9 December 2017. [Google Scholar]
- Ben Hamida, A.; Benoit, A.; Lambert, P.; Ben Amar, C. 3-D Deep Learning Approach for Remote Sensing Image Classification. IEEE Trans. Geosci. Remote Sens. 2018, 56, 4420–4434. [Google Scholar] [CrossRef]
- Song, W.; Li, S.; Fang, L.; Lu, T. Hyperspectral Image Classification with Deep Feature Fusion Network. IEEE Trans. Geosci. Remote Sens. 2018, 56, 3173–3184. [Google Scholar] [CrossRef]
- Sun, L.; Zhao, G.; Zheng, Y.; Wu, Z. Spectral–Spatial Feature Tokenization Transformer for Hyperspectral Image Classification. IEEE Trans. Geosci. Remote Sens. 2022, 60, 5522214. [Google Scholar] [CrossRef]
- Hong, D.; Han, Z.; Yao, J.; Gao, L.; Zhang, B.; Plaza, A.; Chanussot, J. SpectralFormer: Rethinking Hyperspectral Image Classification with Transformers. IEEE Trans. Geosci. Remote Sens. 2022, 60, 5518615. [Google Scholar] [CrossRef]















| Label | Train | Test | Methods | |||||||
|---|---|---|---|---|---|---|---|---|---|---|
| 3D-CNN | DFFN | SSFTT | SpectralFormer | HRWN | MAHiDFNet | GLT-Net | MMTCFN | |||
| 1 | 68 | 961 | 80.12 ± 2.14 | 92.51 ± 3.78 | 93.44 ± 0.26 | 94.11 ± 1.08 | 91.59 ± 0.25 | 98.06 ± 0.70 | 94.15 ± 0.48 | 98.65 ± 0.37 |
| 2 | 72 | 1017 | 74.43 ± 2.57 | 85.72 ± 4.00 | 98.74 ± 0.17 | 98.70 ± 0.70 | 96.22 ± 0.05 | 97.09 ± 0.28 | 96.54 ± 0.21 | 98.33 ± 0.35 |
| 3 | 39 | 556 | 67.19 ± 1.61 | 99.03 ± 1.68 | 99.89 ± 0.09 | 96.47 ± 2.25 | 96.76 ± 0.30 | 97.27 ± 0.85 | 99.12 ± 1.88 | 98.13 ± 0.54 |
| 4 | 63 | 884 | 74.64 ± 3.98 | 86.61 ± 2.60 | 94.68 ± 0.21 | 89.86 ± 4.88 | 88.37 ± 0.38 | 97.17 ± 0.86 | 98.05 ± 1.09 | 98.19 ± 0.46 |
| 5 | 64 | 908 | 70.93 ± 2.44 | 96.81 ± 0.84 | 99.80 ± 0.08 | 98.04 ± 0.73 | 98.61 ± 0.11 | 99.76 ± 0.27 | 99.10 ± 0.75 | 99.74 ± 0.32 |
| 6 | 16 | 237 | 46.67 ± 2.87 | 64.47 ± 15.37 | 78.14 ± 1.54 | 75.70 ± 3.53 | 60.59 ± 0.34 | 83.21 ± 2.32 | 97.14 ± 0.62 | 89.70 ± 3.27 |
| 7 | 73 | 1033 | 76.67 ± 1.55 | 83.33 ± 2.76 | 92.74 ± 0.28 | 82.19 ± 2.17 | 88.11 ± 0.13 | 94.68 ± 0.46 | 94.64 ± 1.25 | 94.83 ± 2.20 |
| 8 | 67 | 947 | 56.24 ± 1.88 | 69.17 ± 6.55 | 79.66 ± 0.99 | 79.62 ± 2.56 | 64.73 ± 1.66 | 91.64 ± 1.16 | 90.59 ± 1.52 | 95.97 ± 1.08 |
| 9 | 77 | 1087 | 64.10 ± 1.58 | 77.44 ± 2.79 | 93.36 ± 0.27 | 74.06 ± 1.75 | 80.37 ± 0.35 | 89.46 ± 1.50 | 94.28 ± 0.33 | 95.38 ± 1.49 |
| 10 | 71 | 996 | 53.59 ± 4.47 | 57.75 ± 10.68 | 88.63 ± 0.39 | 81.99 ± 2.17 | 73.59 ± 0.47 | 91.27 ± 1.19 | 91.92 ± 1.94 | 97.17 ± 0.36 |
| 11 | 78 | 1096 | 57.66 ± 1.56 | 64.09 ± 5.34 | 94.29 ± 0.23 | 74.42 ± 1.13 | 80.53 ± 0.19 | 95.26 ± 0.40 | 96.54 ± 0.95 | 97.10 ± 1.18 |
| 12 | 71 | 1000 | 56.04 ± 4.59 | 81.06 ± 5.25 | 78.52 ± 0.56 | 81.86 ± 4.54 | 75.32 ± 0.39 | 86.88 ± 1.12 | 92.68 ± 1.77 | 95.38 ± 2.93 |
| 13 | 31 | 442 | 72.35 ± 1.30 | 76.02 ± 9.51 | 95.16 ± 0.44 | 30.09 ± 3.33 | 80.36 ± 0.33 | 89.50 ± 2.54 | 98.40 ± 0.46 | 83.71 ± 4.84 |
| 14 | 25 | 359 | 48.91 ± 2.01 | 89.36 ± 2.44 | 97.72 ± 0.48 | 91.03 ± 4.39 | 98.61 ± 0.00 | 96.10 ± 2.24 | 98.69 ± 1.18 | 99.05 ± 0.67 |
| 15 | 39 | 558 | 55.66 ± 1.11 | 96.16 ± 3.37 | 100.00 ± 0.00 | 99.07 ± 0.44 | 93.01 ± 0.16 | 98.42 ± 0.64 | 99.96 ± 1.38 | 99.96 ± 0.07 |
| OA | 65.13 ± 0.20 | 82.69 ± 2.68 | 92.24 ± 0.15 | 84.26 ± 1.24 | 84.52 ± 0.17 | 94.05 ± 0.34 | 95.34 ± 0.19 | 96.63 ± 0.35 | ||
| AA | 63.28 ± 0.25 | 81.30 ± 3.09 | 92.32 ± 0.14 | 83.15 ± 1.41 | 84.45 ± 0.16 | 93.72 ± 0.47 | 95.04 ± 0.48 | 96.09 ± 0.43 | ||
| K × 100 | 62.26 ± 0.22 | 79.12 ± 2.90 | 91.62 ± 0.17 | 82.98 ± 1.34 | 83.26 ± 0.19 | 93.57 ± 0.37 | 94.12 ± 0.68 | 93.36 ± 0.38 | ||
| Label | Train | Test | Methods | |||||||
|---|---|---|---|---|---|---|---|---|---|---|
| 3D-CNN | DFFN | SSFTT | SpectralFormer | HRWN | MAHiDFNet | GLT-Net | MMTCFN | |||
| 1 | 150 | 22,083 | 89.35 ± 0.05 | 88.24 ± 2.10 | 92.20 ± 0.03 | 89.15 ± 0.95 | 90.10 ± 0.69 | 89.95 ± 0.98 | 91.28 ± 0.59 | 92.27 ± 0.81 |
| 2 | 150 | 4056 | 81.04 ± 0.09 | 73.79 ± 1.00 | 78.50 ± 0.12 | 71.09 ± 2.16 | 79.70 ± 2.16 | 72.58 ± 5.77 | 79.63 ± 3.63 | 83.08 ± 4.70 |
| 3 | 150 | 6537 | 61.84 ± 0.10 | 63.15 ± 3.69 | 61.91 ± 0.08 | 61.32 ± 3.35 | 67.73 ± 6.63 | 78.19 ± 3.83 | 74.29 ± 1.84 | 79.36 ± 1.21 |
| 4 | 150 | 1734 | 88.02 ± 0.08 | 85.78 ± 2.50 | 92.92 ± 0.21 | 80.99 ± 6.04 | 90.72 ± 0.54 | 91.22 ± 3.51 | 91.48 ± 1.74 | 92.54 ± 3.65 |
| 5 | 150 | 6352 | 80.83 ± 0.06 | 79.21 ± 1.35 | 85.37 ± 0.06 | 77.02 ± 1.51 | 81.73 ± 1.64 | 86.97 ± 1.45 | 88.90 ± 0.64 | 87.74 ± 1.42 |
| 6 | 150 | 442 | 99.41 ± 0.11 | 98.73 ± 0.23 | 99.77 ± 0.00 | 99.91 ± 0.18 | 99.41 ± 0.18 | 99.28 ± 0.09 | 98.39 ± 0.34 | 99.50 ± 0.17 |
| 7 | 150 | 2121 | 93.14 ± 0.18 | 88.28 ± 0.78 | 91.75 ± 0.25 | 87.92 ± 0.69 | 90.10 ± 2.01 | 94.91 ± 1.21 | 91.43 ± 1.54 | 94.38 ± 1.69 |
| 8 | 150 | 5928 | 94.62 ± 0.05 | 94.55 ± 0.55 | 95.46 ± 0.05 | 95.02 ± 0.22 | 94.77 ± 0.40 | 94.71 ± 1.32 | 96.48 ± 1.09 | 94.82 ± 0.78 |
| 9 | 150 | 1315 | 68.53 ± 0.33 | 53.32 ± 2.80 | 55.03 ± 0.13 | 54.10 ± 4.73 | 68.06 ± 6.16 | 78.81 ± 3.04 | 71.74 ± 1.39 | 83.24 ± 2.58 |
| 10 | 150 | 173 | 89.83 ± 0.28 | 87.75 ± 1.23 | 86.71 ± 0.52 | 87.86 ± 1.75 | 90.64 ± 0.85 | 96.18 ± 1.53 | 95.24 ± 1.71 | 98.38 ± 0.57 |
| 11 | 150 | 255 | 99.37 ± 0.19 | 98.75 ± 0.38 | 99.61 ± 0.00 | 98.20 ± 0.91 | 98.59 ± 0.19 | 98.51 ± 1.30 | 99.49 ± 1.52 | 98.90 ± 1.48 |
| OA | 84.43 ± 0.03 | 82.64 ± 1.11 | 85.89 ± 0.02 | 82.22 ± 0.96 | 85.48 ± 1.39 | 87.34 ± 0.53 | 88.66 ± 0.12 | 89.59 ± 0.38 | ||
| AA | 86.00 ± 0.06 | 82.87 ± 0.52 | 85.38 ± 0.07 | 82.05 ± 1.14 | 86.50 ± 1.44 | 89.21 ± 0.44 | 89.37 ± 0.59 | 91.29 ± 0.90 | ||
| K × 100 | 79.97 ± 0.04 | 77.72 ± 1.33 | 81.69 ± 0.03 | 77.08 ± 1.20 | 81.27 ± 1.75 | 83.65 ± 0.65 | 84.29 ± 1.17 | 86.49 ± 0.48 | ||
| Label | Train | Test | Methods | |||||||
|---|---|---|---|---|---|---|---|---|---|---|
| 3D-CNN | DFFN | SSFTT | SpectralFormer | HRWN | MAHiDFNet | GLT-Net | MMTCFN | |||
| 1 | 377 | 37,755 | 93.23 ± 0.46 | 90.92 ± 1.46 | 93.93 ± 0.37 | 89.04 ± 0.83 | 91.58 ± 0.43 | 95.21 ± 0.50 | 95.41 ± 0.68 | 94.70 ± 0.42 |
| 2 | 36 | 3688 | 35.82 ± 3.95 | 61.25 ± 17.37 | 77.99 ± 1.09 | 00.00 ± 0.0 | 34.84 ± 7.67 | 77.62 ± 3.46 | 76.94 ± 1.10 | 79.37 ± 1.82 |
| 3 | 86 | 8674 | 82.61 ± 0.91 | 81.36 ± 2.27 | 87.08 ± 0.46 | 55.25 ± 20.14 | 82.65 ± 0.46 | 88.10 ± 0.78 | 87.49 ± 0.70 | 88.48 ± 1.26 |
| 4 | 128 | 12,809 | 89.77 ± 0.59 | 91.73 ± 0.69 | 86.91 ± 0.27 | 89.89 ± 1.23 | 91.47 ± 0.32 | 93.52 ± 0.93 | 93.52 ± 0.54 | 92.50 ± 0.64 |
| 5 | 360 | 36,021 | 92.67 ± 0.12 | 90.47 ± 0.85 | 91.88 ± 0.37 | 88.59 ± 0.53 | 90.97 ± 0.21 | 94.58 ± 0.58 | 93.69 ± 0.16 | 93.42 ± 0.28 |
| 6 | 156 | 15,615 | 83.25 ± 1.48 | 84.60 ± 2.32 | 92.22 ± 0.10 | 64.37 ± 2.51 | 87.53 ± 0.29 | 89.56 ± 1.17 | 88.18 ± 0.82 | 90.61 ± 0.72 |
| 7 | 73 | 7344 | 84.90 ± 0.87 | 84.06 ± 1.76 | 88.01 ± 1.36 | 61.04 ± 6.04 | 84.55 ± 0.27 | 89.33 ± 0.76 | 87.24 ± 0.97 | 90.20 ± 0.73 |
| 8 | 433 | 43,376 | 94.86 ± 0.19 | 95.04 ± 0.22 | 97.24 ± 0.17 | 96.25 ± 0.46 | 95.78 ± 0.15 | 95.67 ± 0.37 | 96.66 ± 0.21 | 97.30 ± 0.09 |
| OA | 90.12 ± 0.18 | 89.93 ± 0.76 | 92.70 ± 0.10 | 83.57 ± 1.22 | 90.11 ± 0.23 | 92.78 ± 0.18 | 92.22 ± 0.02 | 93.36 ± 0.14 | ||
| AA | 82.14 ± 0.53 | 85.00 ± 2.48 | 89.42 ± 0.09 | 68.05 ± 3.14 | 82.42 ± 1.01 | 90.10 ± 0.68 | 91.19 ± 0.34 | 90.07 ± 0.33 | ||
| K × 100 | 87.74 ± 0.23 | 87.54 ± 0.95 | 90.96 ± 0.13 | 79.39 ± 1.61 | 87.75 ± 0.28 | 91.33 ± 0.23 | 91.60 ± 0.99 | 91.78 ± 0.17 | ||
| Houston | MUUFL | Wuhan | |||||||
|---|---|---|---|---|---|---|---|---|---|
| OA | AA | Kappa | OA | AA | Kappa | OA | AA | Kappa | |
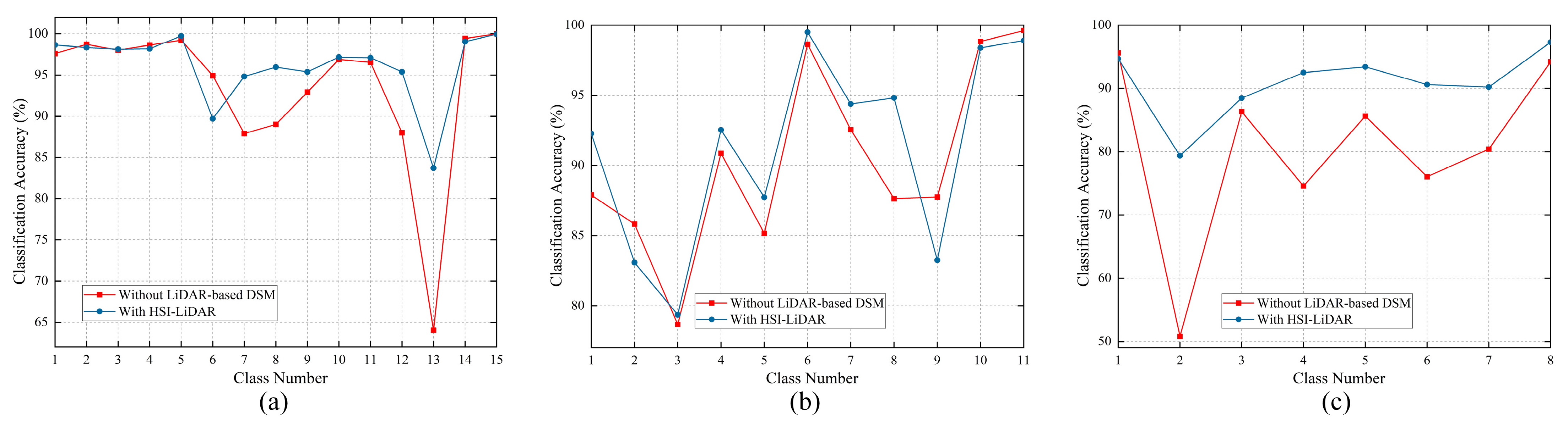
| Without LiDAR-based DSM | 93.92 | 93.46 | 93.43 | 86.65 | 90.31 | 82.84 | 87.43 | 80.46 | 84.43 |
| With HSI-LiDAR | 96.63 | 96.09 | 93.36 | 89.59 | 91.29 | 86.49 | 93.36 | 90.07 | 91.78 |
| Houston | MUUFL | Wuhan | |||||||
|---|---|---|---|---|---|---|---|---|---|
| OA | AA | Kappa | OA | AA | Kappa | OA | AA | Kappa | |
| Without VPGT | 94.59 | 93.75 | 94.40 | 87.01 | 88.08 | 83.77 | 90.64 | 88.01 | 89.62 |
| With VPGT | 96.63 | 96.09 | 93.36 | 89.59 | 91.29 | 86.49 | 93.36 | 90.07 | 91.78 |
| 0.1 | 0.2 | 0.3 | 0.4 | 0.5 | 0.6 | 0.7 | 0.8 | 0.9 | |
|---|---|---|---|---|---|---|---|---|---|
| Houston | 96.28 | 96.51 | 96.63 | 96.40 | 96.10 | 95.85 | 96.39 | 96.20 | 95.74 |
| MUUFL | 88.46 | 87.87 | 88.58 | 88.37 | 88.22 | 89.12 | 89.59 | 89.11 | 88.98 |
| Wuhan | 92.96 | 93.17 | 93.22 | 92.36 | 93.12 | 93.36 | 93.42 | 93.61 | 93.34 |
Disclaimer/Publisher’s Note: The statements, opinions and data contained in all publications are solely those of the individual author(s) and contributor(s) and not of MDPI and/or the editor(s). MDPI and/or the editor(s) disclaim responsibility for any injury to people or property resulting from any ideas, methods, instructions or products referred to in the content. |
© 2023 by the authors. Licensee MDPI, Basel, Switzerland. This article is an open access article distributed under the terms and conditions of the Creative Commons Attribution (CC BY) license (https://creativecommons.org/licenses/by/4.0/).
Share and Cite
Wang, S.; Hou, C.; Chen, Y.; Liu, Z.; Zhang, Z.; Zhang, G. Classification of Hyperspectral and LiDAR Data Using Multi-Modal Transformer Cascaded Fusion Net. Remote Sens. 2023, 15, 4142. https://doi.org/10.3390/rs15174142
Wang S, Hou C, Chen Y, Liu Z, Zhang Z, Zhang G. Classification of Hyperspectral and LiDAR Data Using Multi-Modal Transformer Cascaded Fusion Net. Remote Sensing. 2023; 15(17):4142. https://doi.org/10.3390/rs15174142
Chicago/Turabian StyleWang, Shuo, Chengchao Hou, Yiming Chen, Zhengjun Liu, Zhenbei Zhang, and Geng Zhang. 2023. "Classification of Hyperspectral and LiDAR Data Using Multi-Modal Transformer Cascaded Fusion Net" Remote Sensing 15, no. 17: 4142. https://doi.org/10.3390/rs15174142
APA StyleWang, S., Hou, C., Chen, Y., Liu, Z., Zhang, Z., & Zhang, G. (2023). Classification of Hyperspectral and LiDAR Data Using Multi-Modal Transformer Cascaded Fusion Net. Remote Sensing, 15(17), 4142. https://doi.org/10.3390/rs15174142

