Clutter and Interference Cancellation in River Surface Velocity Measurement with a Coherent S-Band Radar
Abstract
1. Introduction
2. Materials and Methods
2.1. Measurement Principle
2.2. Methods
3. Results
3.1. Experiment Description
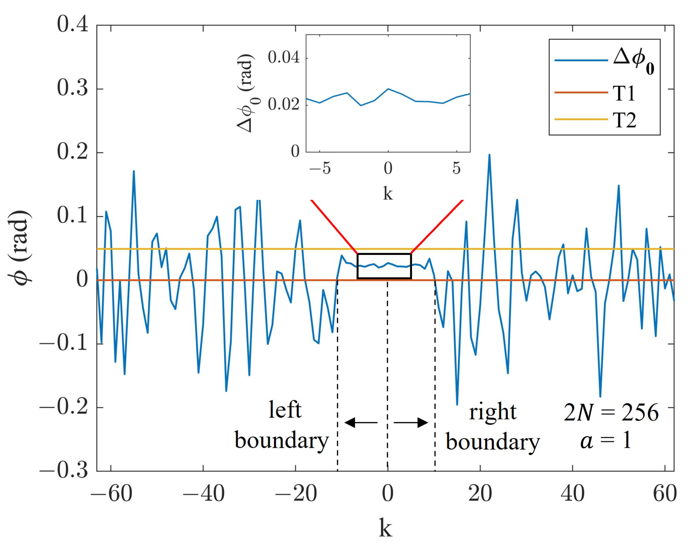
3.2. Ground Clutter Cancellation
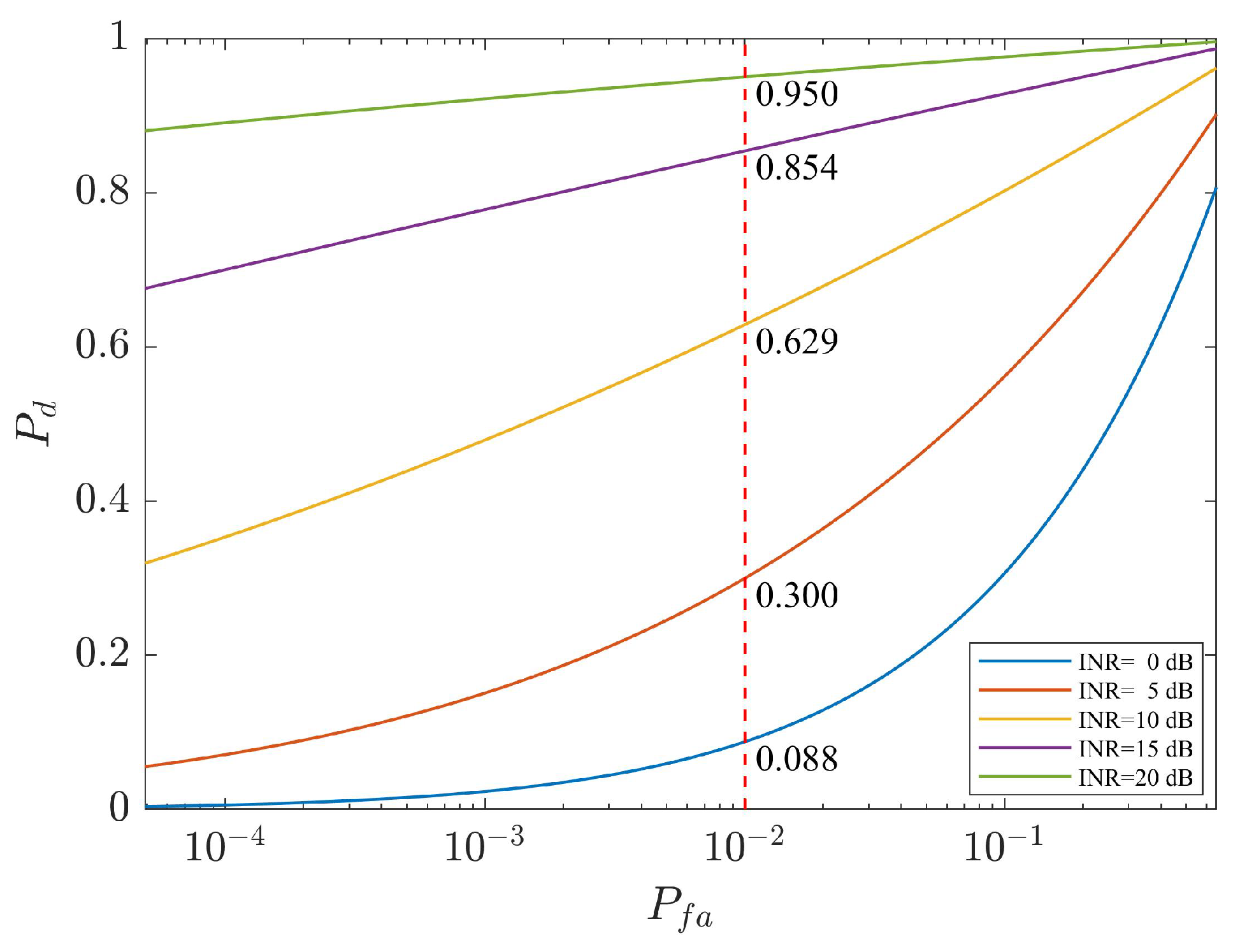
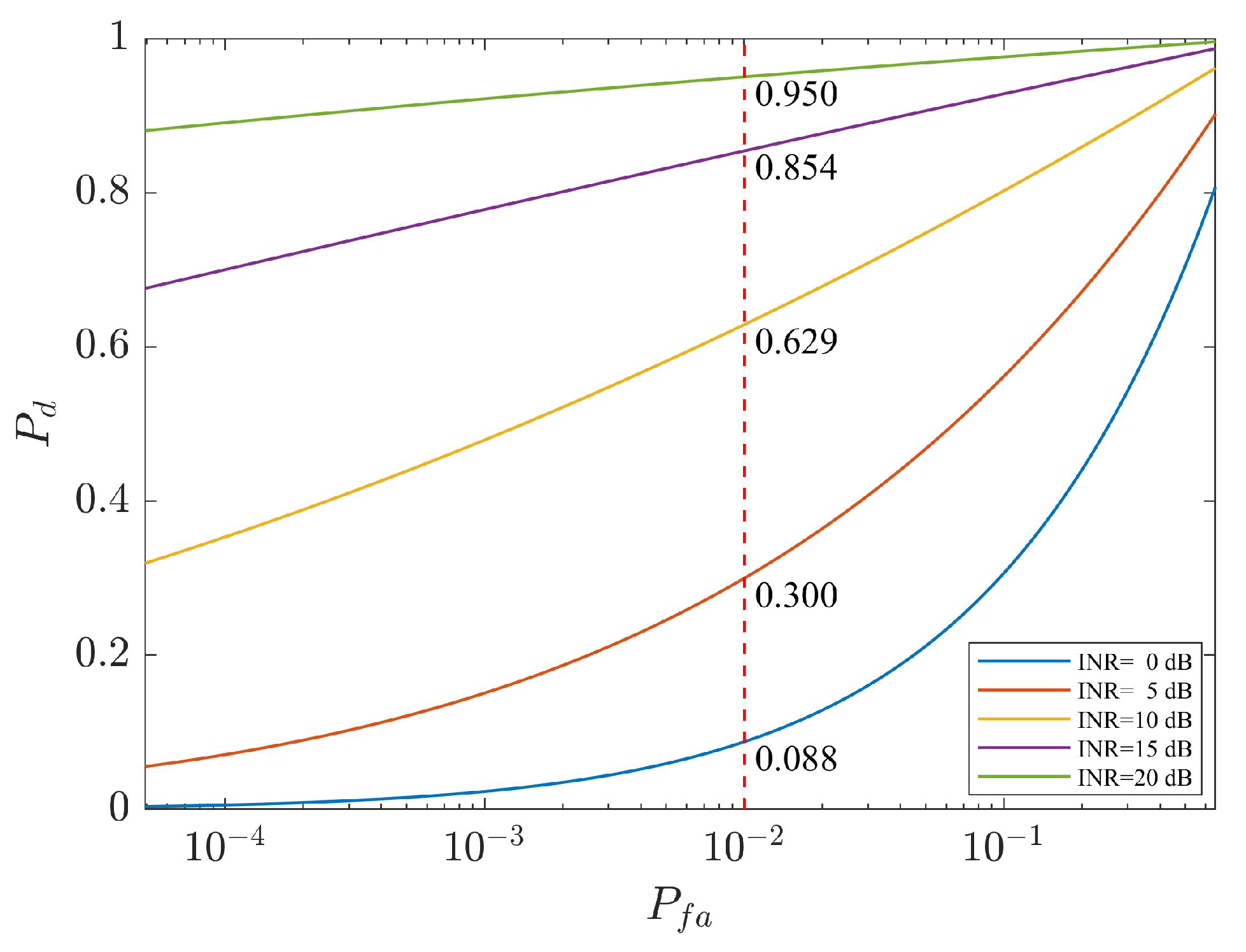
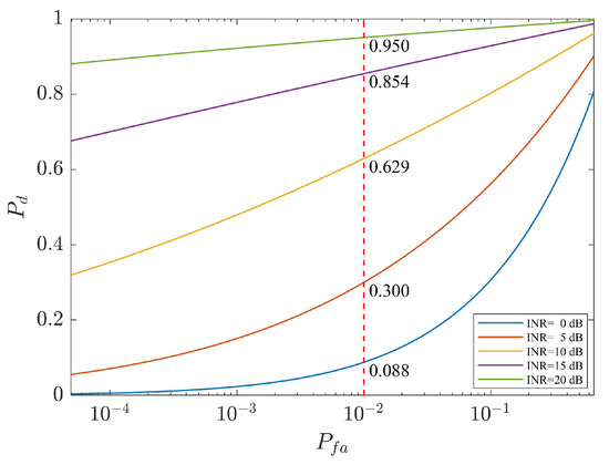
3.3. Moving Target Interference Cancellation
3.4. Overall Effect
4. Discussion
5. Conclusions
Author Contributions
Funding
Data Availability Statement
Acknowledgments
Conflicts of Interest
References
- Plant, W.J.; Keller, W.C.; Hayes, K. Measurement of river surface currents with coherent microwave systems. IEEE Trans. Geosci. Remote Sens. 2005, 43, 1242–1257. [Google Scholar] [CrossRef]
- Bandini, F.; Frías, M.C.; Liu, J.; Simkus, K.; Karagkiolidou, S.; Bauer-Gottwein, P. Challenges with Regard to Unmanned Aerial Systems (UASs) Measurement of River Surface Velocity Using Doppler Radar. Remote Sens. 2022, 14, 1277. [Google Scholar] [CrossRef]
- Yang, Y.; Wen, B.; Wang, C.; Hou, Y. Two-dimensional velocity distribution modeling for natural river based on UHF radar surface current. J. Hydrol. 2019, 577, 123930. [Google Scholar] [CrossRef]
- Lassabatere, L.; Pu, J.H.; Bonakdari, H.; Joannis, C.; Larrarte, F. Velocity distribution in open channel flows: Analytical approach for the outer region. J. Hydraul. Eng. 2013, 139, 37–43. [Google Scholar] [CrossRef]
- Costa, J.E.; Cheng, R.T.; Haeni, F.P.; Melcher, N.; Spicer, K.R.; Hayes, E.; Plant, W.; Hayes, K.; Teague, C.; Barrick, D. Use of radars to monitor stream discharge by noncontact methods. Water Resour. 2006, 42, 1–14. [Google Scholar]
- Herschy, R. The velocity-area method. Flow Meas. Instrum. 1993, 4, 7–10. [Google Scholar] [CrossRef]
- Cheng, R.T.; Gartner, J.W. Complete velocity distribution in river cross-sections measured by acoustic instruments. In Proceedings of the IEEE/OES Seventh Working Conference on Current Measurement Technology, San Diego, CA, USA, 13–15 March 2003; pp. 21–26. [Google Scholar]
- Gunawan, B.; Sterling, M.; Knight, D.W. Using an acoustic Doppler current profiler in a small river. Water Environ. J. 2009, 24, 147–158. [Google Scholar] [CrossRef]
- Fulton, J.W.; Mason, C.A.; Eggleston, J.R.; Nicotra, M.J.; Chiu, C.L.; Henneberg, M.F.; Best, H.R.; Cederberg, J.R.; Holnbeck, S.R.; Lotspeich, R.R.; et al. Near-Field Remote Sensing of Surface Velocity and River Discharge Using Radars and the Probability Concept at 10 U.S. Geological Survey Streamgages. Remote Sens. 2020, 12, 1296. [Google Scholar] [CrossRef]
- Teague, C.C.; Barrick, D.E.; Lilleboe, P.M.; Cheng, R.T. Initial river test of a monostatic RiverSonde streamflow measurement system. In Proceedings of the IEEE/OES Seventh Working Conference on Current Measurement Technology, San Diego, CA, USA, 13–15 March 2003; pp. 46–50. [Google Scholar]
- Teague, C.C.; Barrick, D.E.; Lilleboe, P.M.; Cheng, R.T.; Ruhl, C.A. UHF RiverSonde Observations of Water Surface Velocity at Threemile Slough, California. In Proceedings of the IEEE International Geoscience and Remote Sensing Symposium, Seoul, Republic of Korea, 29–29 July 2005; pp. 4383–4386. [Google Scholar]
- Teague, C.C.; Barrick, D.E.; Lilleboe, P.M.; Roarty, H.; Holden, D.; Goldinger, D. Extended-range RiverSonde operation on the Hudson River. In Proceedings of the 2011 IEEE/OES 10th Current, Waves and Turbulence Measurements (CWTM), Monterey, CA, USA, 20–23 March 2011; pp. 78–80. [Google Scholar]
- Plant, W.J.; Keller, W.C.; Siani, C.; Chatham, G. River Current Measurement Using Coherent Microwave Radar: Toward Gaging Unstable Streams. In Proceedings of the 2008 IEEE/OES 9th Working Conference on Current Measurement Technology, Charleston, SC, USA, 17–19 March 2008; pp. 245–249. [Google Scholar]
- Plant, W.J.; Keller, W.C.; Hayes, K.; Contreras, R. Measurement of river surface currents using rough surface scattering. In Proceedings of the 2005 IEEE Antennas and Propagation Society International Symposium, Washington, DC, USA, 3–8 July 2005; pp. 380–383. [Google Scholar]
- Wang, C.; Wen, B.; Ma, Z.; Yan, W.; Huang, X. Measurement of River Surface Currents with UHF FMCW Radar Systems. J. Electromagn. Waves Appl. 2007, 21, 375–386. [Google Scholar] [CrossRef]
- Yang, Y.; Wen, B.; Wang, C.; Hou, Y. Real-Time and Automatic River Discharge Measurement with UHF Radar. IEEE Geosci. Remote Sens. Lett. 2020, 17, 1851–1855. [Google Scholar] [CrossRef]
- Phyu, H.P.; Lwin, K.S.; Oo, T.T.; Aung, P.T. Analysis on Ground Clutter Mitigation Using IIR Filter and Frequency Domain Filters for C-Band Phased Array Weather Radar. In Proceedings of the 2020 International Conference on Advanced Information Technologies (ICAIT), Yangon, Myanmar, 4–5 November 2020; pp. 48–52. [Google Scholar]
- Siggia, A.D.; Passarelli, R.E. Gaussian model adaptive processing (GMAP) for improved ground clutter cancellation and moment calculation. In Proceedings of the Third European Conference on Radar in Meteorology and Hydrology ERAD, Visby, Sweden, 6–10 September 2004; pp. 67–73. [Google Scholar]
- Ice, R.L.; Rhoton, R.D.; Saxion, D.S.; Ray, C.A.; Patel, N.K.; Warde, D.A.; Free, A.D.; Boydstun, O.E.; Berkowitz, D.S.; Chrisman, J.N.; et al. Optimizing clutter filtering in the WSR-88D. In Proceedings of the 23rd Intercontinental Conference Interactive Information Processing Systems (IIPS) Meteorology Oceanography Hydrology, Boston, MA, USA, 14–18 January 2007. [Google Scholar]
- Warde, D.A.; Torres, S.M. The Autocorrelation Spectral Density for Doppler-Weather-Radar Signal Analysis. IEEE Trans. Geosci. Remote Sens. 2014, 52, 508–518. [Google Scholar] [CrossRef]
- Torres, S.M.; Warde, D.A. Ground clutter mitigation for weather radars using the autocorrelation spectral density. J. Atmos. Oceanic Technol. 2014, 31, 2049–2066. [Google Scholar] [CrossRef]
- Golbon-Haghighi, M.; Zhang, G.; Doviak, R.J. Ground Clutter Detection for Weather Radar Using Phase Fluctuation Index. IEEE Trans. Geosci. Remote Sens. 2019, 57, 2889–2895. [Google Scholar] [CrossRef]
- Wang, Y.; Wu, D.; Yu, Q.; Zhu, D.; Meng, F. A weather signal detection algorithm based on EVD in elevation for airborne weather radar. Digital Signal Process. 2021, 116, 103118. [Google Scholar] [CrossRef]
- Bachmann, S.M. Phase-Based Clutter Identification in Spectra of Weather Radar Signals. IEEE Geosci. Remote Sens. Lett. 2008, 5, 487–491. [Google Scholar] [CrossRef]
- Weiss, M. Analysis of some modified cell-averaging CFAR processors in multiple-target situations. IEEE Trans. Aerosp. Electron. Syst. 1982, 18, 102–114. [Google Scholar] [CrossRef]
- Barboy, B.; Lomes, A.; Perkalski, E. Cell-averaging CFAR for multiple-target situations. IEE Proc. F Commun. Radar Signal Process. 1986, 133, 176–186. [Google Scholar] [CrossRef]
- Xu, C.; Li, Y.; Ji, C.; Huang, Y.; Wang, H.; Xia, Y. An improved CFAR algorithm for target detection. In Proceedings of the 2017 International Symposium on Intelligent Signal Processing and Communication Systems (ISPACS), Xiamen, China, 6–9 November 2017; pp. 883–888. [Google Scholar]
- Zhang, W.; Li, H.; Sun, G.; He, Z. Enhanced Detection of Doppler-Spread Targets for FMCW Radar. IEEE Trans. Aerosp. Electron. Syst. 2019, 55, 2066–2078. [Google Scholar] [CrossRef]
- Kuang, C.; Wang, C.; Wen, B.; Hou, Y.; Lai, Y. An improved CA-CFAR method for ship target detection in strong clutter using UHF radar. IEEE Signal Process. Lett. 2020, 27, 1445–1449. [Google Scholar] [CrossRef]
- Plant, W.J.; Keller, W.C. Evidence of Bragg scattering in microwave Doppler spectra of sea return. J. Geophys. Res. 1990, 95, 16299–16310. [Google Scholar] [CrossRef]
- Alimenti, F.; Bonafoni, S.; Gallo, E.; Palazzi, V.; Gatti, R.V.; Mezzanotte, P.; Roselli, L.; Zito, D.; Barbetta, S.; Corradini, D.; et al. Noncontact Measurement of River Surface Velocity and Discharge Estimation With a Low-Cost Doppler Radar Sensor. IEEE Trans. Geosci. Remote Sens. 2020, 58, 5195–5207. [Google Scholar] [CrossRef]
- Chen, Z.; Wang, Z.; Chen, X.; Zhao, C.; Xie, F.; He, C. S-band Doppler wave radar system. Remote Sens. 2017, 9, 1302. [Google Scholar] [CrossRef]
- Zhao, C.; Wang, X.; Chen, Z.; Wu, S.; Zeng, Y. Inversion of Wave Parameters From Time-Doppler Spectrum Using Shore-Based Coherent S-Band Radar. IEEE Trans. Geosci. Remote Sens. 2023, 61, 1–11. [Google Scholar] [CrossRef]
- Teague, C.C.; Barrick, D.E.; Lilleboe, P.; Cheng, R.T. Canal and river tests of a RiverSonde streamflow measurement system. In Proceedings of the IEEE 2001 International Geoscience and Remote Sensing Symposium, Sydney, Australia, 9–13 July 2001; pp. 1288–1290. [Google Scholar]
- Fernandez, D.M.; Meadows, L.A.; Vesecky, J.F.; Teague, C.C.; Paduan, J.D.; Hansen, P. Surface current measurements by HF radar in freshwater lakes. IEEE J. Ocean. Eng. 2000, 25, 458–471. [Google Scholar] [CrossRef]


















| Parameters | Values |
|---|---|
| Transmitting frequency | 2.85 GHz |
| Transmitting power | 5 W |
| Sweep bandwidth | 30 MHz |
| Sweep period | 8.32 ms |
| Range resolution | 5 m |
| Coherent integration time | 2.13 s |
| Velocity resolution | 2.47 cm/s |
| Maximum radial velocity | ±3.16 m/s |
| Polarization mode | VV |
| Antenna beamwidth | 4.25° (horizontal) 23.89° (vertical) |
Disclaimer/Publisher’s Note: The statements, opinions and data contained in all publications are solely those of the individual author(s) and contributor(s) and not of MDPI and/or the editor(s). MDPI and/or the editor(s) disclaim responsibility for any injury to people or property resulting from any ideas, methods, instructions or products referred to in the content. |
© 2023 by the authors. Licensee MDPI, Basel, Switzerland. This article is an open access article distributed under the terms and conditions of the Creative Commons Attribution (CC BY) license (https://creativecommons.org/licenses/by/4.0/).
Share and Cite
Zeng, Y.; Chen, Z.; Zhao, C.; Wei, Y.; He, J. Clutter and Interference Cancellation in River Surface Velocity Measurement with a Coherent S-Band Radar. Remote Sens. 2023, 15, 3979. https://doi.org/10.3390/rs15163979
Zeng Y, Chen Z, Zhao C, Wei Y, He J. Clutter and Interference Cancellation in River Surface Velocity Measurement with a Coherent S-Band Radar. Remote Sensing. 2023; 15(16):3979. https://doi.org/10.3390/rs15163979
Chicago/Turabian StyleZeng, Yichen, Zezong Chen, Chen Zhao, Yunyu Wei, and Jiangheng He. 2023. "Clutter and Interference Cancellation in River Surface Velocity Measurement with a Coherent S-Band Radar" Remote Sensing 15, no. 16: 3979. https://doi.org/10.3390/rs15163979
APA StyleZeng, Y., Chen, Z., Zhao, C., Wei, Y., & He, J. (2023). Clutter and Interference Cancellation in River Surface Velocity Measurement with a Coherent S-Band Radar. Remote Sensing, 15(16), 3979. https://doi.org/10.3390/rs15163979

