Bringing to Light the Potential of Angular Nighttime Composites for Monitoring Human Activities in the Brazilian Legal Amazon
Abstract
1. Introduction
2. Materials and Methods
2.1. Database and Basic Processing Procedures
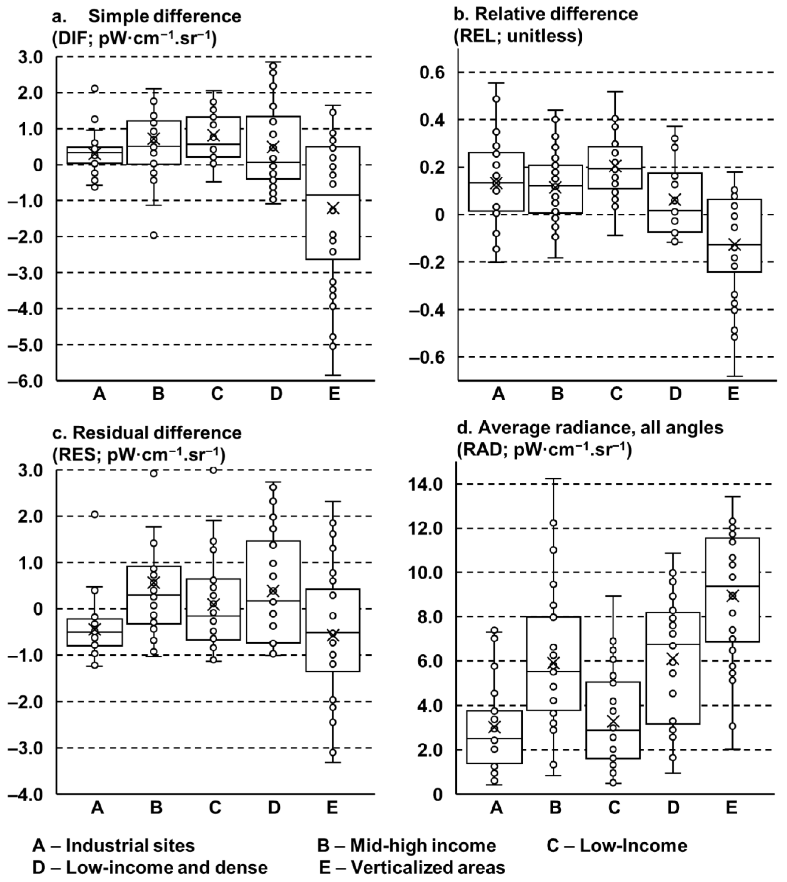
- (a)
- Simple difference (DIF): simple subtraction between the off-nadir (OFF) and near-nadir (NEAR) radiance values. Units are expressed in nW·cm−2·sr−1.
- (b)
- Relative difference (REL): the ratio between the DIF and OFF. The value is unitless and can be interpreted as the percentage or size of DIF as a fraction of OFF.
- (c)
- Residual (RES): the difference between actual NEAR and near-nadir predicted radiance values (NEARp). NEARp is estimated by using the Ordinary Least Squares method (OLS) [33], which is, in turn, based on the linear relation between OFF and NEAR, arbitrarily defined as independent and dependent variables, respectively. The details of the experiment are explained in Section 2.2.
2.2. Statistical Differences between the VNP46A4 Angular Composites
2.3. Identification and Characterization of Exclusives Pixels
2.4. Correlation between Off-Nadir and Near Nadir-Composites
2.5. Analysis of the Relational Metrics in Different Urban Typologies
3. Results
3.1. Descriptive Analysis of the Differences between NTL Angular Composites
3.2. Land Use and Cover Classes versus Simple Radiance Difference between Angular Composites
3.2.1. The Potential Use of the Annual Angular Composites for Urban Environments in the Brazilian Legal Amazon Territory
3.3. Characterization of Exclusive Pixels
4. Discussion
4.1. Linear Regression Coefficients as Indicators of Radiance Angular Persistency and Angular Minimum Detection Threshold
4.2. Association between Man-Made Typologies and Relational Metrics
4.3. Suitability of the Annual Composites in Comparison to Daily DNB Images
5. Conclusions
Author Contributions
Funding
Data Availability Statement
Acknowledgments
Conflicts of Interest
Appendix A
| Industrial Sites | Mid- to High-Income | Low-Income and Dense | Low-Income | Verticalized Areas | |
|---|---|---|---|---|---|
| Industrial sites | - | 193 | 279 | 347 | 452 |
| Mid- to high-income | 0.001 | - | 501 | 567 | 624 |
| Low-income and dense | 0.038 | 0.293 | - | 522 | 590 |
| Low-income | 0.168 | 0.366 | 0.786 | - | 529 |
| Verticalized areas | 0.665 | 0.088 | 0.279 | 0.307 | - |
| Industrial Sites | Mid- to High-Income | Low-Income and Dense | Low-Income | Verticalized Areas | |
|---|---|---|---|---|---|
| Industrial sites | - | 456 | 514 | 404 | 723 |
| Mid- to high-income | 0.513 | - | 531 | 406 | 750 |
| Low-income and dense | 0.055 | 0.109 | - | 288 | 684 |
| Low-income | 0.023 | 1.87·10−4 | 4.787·10−5 | - | 788 |
| Verticalized areas | 2.8·10−5 | 1.29·10−5 | 5.5·10−3 | 1.37·10−8 | - |
| Industrial Sites | Mid- to High-Income | Low-Income and Dense | Low-Income | Verticalized Areas | |
|---|---|---|---|---|---|
| Industrial sites | - | 328.5 | 431.5 | 310 | 635 |
| Mid- to high-income | 0.099 | - | 513 | 456 | 704 |
| Low-income and dense | 0.186 | 0.131 | - | 368 | 666 |
| Low-income | 0.009 | 0.442 | 0.002 | - | 704.5 |
| Verticalized areas | 0.006 | 9.02·10−4 | 0.018 | 8.89·10−5 | - |
| Industrial Sites | Mid- to High-Income | Low-Income and Dense | Low-Income | Verticalized Areas | |
|---|---|---|---|---|---|
| Industrial sites | - | 210 | 214 | 387.5 | 63 |
| Mid- to high-income | 8.14·10−5 | - | 443 | 656.3 | 181 |
| Low-income and dense | 3.05·10−5 | 0.676 | - | 636.5 | 189 |
| Low-income | 0.615 | 2.93·10−4 | 8.89·10−5 | - | 74 |
| Verticalized areas | 1.10·10−8 | 2.75·10−4 | 5.43·10−4 | 1.25·10−8 | - |
References
- Loureiro, V.R.; Pinto, J.N.A. A questão fundiária na Amazônia. Estud. Avançados 2005, 19, 77–98. [Google Scholar] [CrossRef]
- Becker, B.K. Articulando o complexo urbano e o complexo verde na Amazônia. In Um Projeto para a Amazônia no Século 21: Desafios e Contribuições; Centro de Gestão e Estudos Estratégicos: Brasília, DF, Spain, 2009; p. 426. [Google Scholar]
- Crist, R.E.; Alarich, R.; Schultz, J.J.P. Amazon River. Encyclopedia Britannica. Available online: https://www.britannica.com/place/Amazon-River (accessed on 15 August 2022).
- Santana, J.V.; Holanda, A.C.G.; de Moura, A.D.S.F. A Questão da Habitação em Municípios Periurbanos na Amazônia, 1st ed.; UFPA: Belém, Brazil, 2012. [Google Scholar]
- Sakatauskas, G.D.L.B.; Santana, J.V. Particularidades das habitações nos pequenos municípios paraenses. In XVI ENANPUR-Sessões Tmáticas, Estado, Planejamento e Política; ANPUR: Belo Horizonte, Brazil, 2015; p. 14. [Google Scholar]
- Sakatauskas, G.D.L.B. Especificidades da Precariedade Habitacional na Amazônia Ribeirinha: Um Olhar Sobre a Região do Baixo Tocantins. Ph.D. Thesis, Universidade Federal do ABC, Santo André, Brazil, 2020. [Google Scholar]
- Duarte Cardoso, A.C.; de Melo, A.C.; Do Vale Gomes, T. O urbano contemporâneo na fronteira de expansão do capital. Rev. Morfol. Urbana 2017, 4, 5–28. [Google Scholar] [CrossRef]
- Cardoso, A.C.D.; Lima, J.J.F. Tipologias e padrões de ocupação urbana na Amazônia Oriental: Para que e para quem? In O Rural e o Urbano na Amazônia. Diferentes Olhares e Perspectivas; EDUFPA: Belém, Spain, 2006; pp. 55–88. [Google Scholar]
- Santos, B.D.d.; de Pinho, C.M.D.; Oliveira, G.E.T.; Korting, T.S.; Escada, M.I.S.; Amaral, S. Identifying Precarious Settlements and Urban Fabric Typologies Based on GEOBIA and Data Mining in Brazilian Amazon Cities. Remote Sens. 2022, 14, 704. [Google Scholar] [CrossRef]
- Becker, B.K. Geopolítica da Amazônia. In Estudos Avançados; SciELO Brasil: São Paulo, Spain, 2005; Volume 19, pp. 71–86. [Google Scholar] [CrossRef]
- Bezerra, F.G.S.; de Toledo, P.M.; von Randow, C.; de Aguiar, A.P.D.; Lima, P.V.P.S.; dos Anjos, L.J.S.; Bezerra, K.R.A. Spatio-temporal analysis of dynamics and future scenarios of anthropic pressure on biomes in Brazil. Ecol. Indic. 2022, 137, 108749. [Google Scholar] [CrossRef]
- Ferraz, G.; Marinelli, C.E.; Lovejoy, T.E. Biological monitoring in the Amazon: Recent progress and future needs. Biotropica 2008, 40, 7–10. [Google Scholar] [CrossRef]
- Araújo, R.; Vieira, I.C.G. Deforestation and the ideologies of the frontier expansion: The case of criticism of the Brazilian Amazon monitoring program. Sustentabilidade Debate 2019, 10, 354–365. [Google Scholar] [CrossRef]
- Adarme, M.O.; Feitosa, R.Q.; Happ, P.N.; Almeida, C.A.D.; Gomes, A.R. Evaluation of deep learning techniques for deforestation detection in the brazilian amazon and cerrado biomes from remote sensing imagery. Remote Sens. 2020, 12, 910. [Google Scholar] [CrossRef]
- Croft, T.A. Nighttime Images of the Earth from Space. Sci. Am. 1978, 239, 86–98. [Google Scholar] [CrossRef]
- Amaral, S.; Monteiro, A.M.V.; Camara, G.; Quintanilha, J.A. DMSP/OLS night-time light imagery for urban population estimates in the Brazilian Amazon. Int. J. Remote Sens. 2006, 27, 855–870. [Google Scholar] [CrossRef]
- Amaral, S.; Camara, G.; Vieira Monteiro, A.M.; Elvidge, C.D.; Quintanilha, J.A. Nighttime lights–DMSP Satellite Data as an Indicator of Human Activity in the Brazilian Amazonia: Relations with Population and Electrical Power Consumption. Comput. Environ. Urban Syst. 2005, 29, 179–195. [Google Scholar] [CrossRef]
- Levin, N.; Zhang, Q. A global analysis of factors controlling VIIRS nighttime light levels from densely populated areas. Remote Sens. Environ. 2017, 190, 366–382. [Google Scholar] [CrossRef]
- Levin, N.; Kyba, C.C.M.; Zhang, Q.; Sánchez de Miguel, A.; Román, M.O.; Li, X.; Portnov, B.A.; Molthan, A.L.; Jechow, A.; Miller, S.D.; et al. Remote sensing of night lights: A review and an outlook for the future. Remote Sens. Environ. 2020, 237, 111443. [Google Scholar] [CrossRef]
- Duan, H.; Cao, Z.; Shen, M.; Liu, D.; Xiao, Q. Detection of illicit sand mining and the associated environmental effects in China’s fourth largest freshwater lake using daytime and nighttime satellite images. Sci. Total Environ. 2019, 647, 606–618. [Google Scholar] [CrossRef]
- MAPBIOMAS. MapBiomas General “Handbook”: Algorithm Theoretical Basis Document (ATBD). Collection 6, Version 1.0. 2022, p. 48. Available online: http://mapbiomas.org (accessed on 7 December 2021).
- Nisar, H.; Sarwar, F.; Shirazi, S.A.; Aslam, R.W. Assessment and Monitoring of VIIRS-DNB and SQML-L light Pollution in Lahore-Pakistan. Int. J. Innov. Sci. Technol. 2022, 4, 94–109. [Google Scholar] [CrossRef]
- Alahmadi, M.; Mansour, S.; Dasgupta, N.; Abulibdeh, A.; Atkinson, P.M.; Martin, D.J. Using Daily Nighttime Lights to Monitor Spatiotemporal Patterns of Human Lifestyle under COVID-19: The Case of Saudi Arabia. Remote Sens. 2021, 13, 4633. [Google Scholar] [CrossRef]
- Li, X.; Shang, X.; Zhang, Q.; Li, D.; Chen, F.; Jia, M.; Wang, Y. Using radiant intensity to characterize the anisotropy of satellite-derived city light at night. Remote Sens. Environ. 2022, 271, 112920. [Google Scholar] [CrossRef]
- Kyba, C.C.M.; Ruhtz, T.; Lindemann, C.; Fischer, J.; Hölker, F. Two camera system for measurement of urban uplight angular distribution. In AIP Conference Proceedings; American Institute of Physics: College Park, MD, USA, 2013; Volume 1531, pp. 568–571. [Google Scholar] [CrossRef]
- Elvidge, C.D.; Baugh, K.; Zhizhin, M.; Hsu, F.C.; Ghosh, T. VIIRS night-time lights. Int. J. Remote Sens. 2017, 38, 5860–5879. [Google Scholar] [CrossRef]
- Román, M.O.; Wang, Z.; Sun, Q.; Kalb, V.; Miller, S.D.; Molthan, A.; Schultz, L.; Bell, J.; Stokes, E.C.; Pandey, B.; et al. NASA’s Black Marble nighttime lights product suite. Remote Sens. Environ. 2018, 210, 113–143. [Google Scholar] [CrossRef]
- Wang, Z.; Shrestha, R.M.; Roman, M.O.; Kalb, V.L. NASA’s Black Marble Multiangle Nighttime Lights Temporal Composites. IEEE Geosci. Remote Sens. Lett. 2022, 19, 1–5. [Google Scholar] [CrossRef]
- Román, M.Ó.; Wang, Z.; Shrestha, R.; Yao, T.; Kalb, V. Black Marble User Guide Version 1.2; NASA: Washington, DC, USA, 2021; p. 66.
- Tong, K.P.; Kyba, C.C.M.; Heygster, G.; Kuechly, H.U.; Notholt, J.; Kolláth, Z. Angular distribution of upwelling artificial light in Europe as observed by Suomi–NPP satellite. J. Quant. Spectrosc. Radiat. Transf. 2020, 249, 107009. [Google Scholar] [CrossRef]
- Tan, X.; Zhu, X.; Chen, J.; Chen, R. Modeling the direction and magnitude of angular effects in nighttime light remote sensing. Remote Sens. Environ. 2022, 269, 112834. [Google Scholar] [CrossRef]
- Li, X.; Ma, R.; Zhang, Q.; Li, D.; Liu, S.; He, T.; Zhao, L. Anisotropic characteristic of artificial light at night–Systematic investigation with VIIRS DNB multi-temporal observations. Remote Sens. Environ. 2019, 233, 111357. [Google Scholar] [CrossRef]
- Goldberger, A.S. Classical Linear Regression. In Econometric Theory; John Wiley & Sons: New York, NY, USA, 1964; p. 158. [Google Scholar]
- Instituto Brasileiro de Geografia e Estatística, I. Tipologia Intraurbana: Espaços de Diferenciação Socioeconômica nas Concentrações Urbanas do Brasil; IBGE: Rio de Janeiro, Brazil, 2017.
- Shapiro, A.S.S.; Wilk, M.B. Trust An Analysis of Variance Test for Normality (Complete Samples). Biometrika 1965, 52, 591–611. [Google Scholar] [CrossRef]
- Kruskal, W.H.; Wallis, W.A. Use of Ranks in One-Criterion Variance Analysis. J. Am. Stat. Assoc. 1952, 47, 583. [Google Scholar] [CrossRef]
- Mann, H.B.; Whitney, D.R. On a Test of Whether one of Two Random Variables is Stochastically Larger than the Other. Ann. Math. Stat. 1947, 18, 50–60. [Google Scholar] [CrossRef]
- IBGE. Classificação e Caracterização dos Espaços Rurais e Urbanos do Brasil: Uma Primeira Aproximação; IBGE: Rio de Janeiro, Brazil, 2017.
- Bennett, M.M.; Smith, L.C. Advances in using multitemporal night-time lights satellite imagery to detect, estimate, and monitor socioeconomic dynamics. Remote Sens. Environ. 2017, 192, 176–197. [Google Scholar] [CrossRef]
- Shi, K.; Yu, B.; Huang, Y.; Hu, Y.; Yin, B.; Chen, Z.; Chen, L.; Wu, J. Evaluating the ability of NPP-VIIRS nighttime light data to estimate the gross domestic product and the electric power consumption of China at multiple scales: A comparison with DMSP-OLS data. Remote Sens. 2014, 6, 1705–1724. [Google Scholar] [CrossRef]
- Wang, X.; Rafa, M.; Moyer, J.; Li, J.; Scheer, J.; Sutton, P. Estimation and Mapping of Sub-National GDP in Uganda Using NPP-VIIRS Imagery. Remote Sens. 2019, 11, 163. [Google Scholar] [CrossRef]
- IPAM. Igarapé. Education: Glossary. Available online: https://ipam.org.br/glossary/ (accessed on 27 October 2022).
- Neto, T.O.; Nogueira, R.J.B. Os transportes e as dinâmicas territoriais no Amazonas. Confins 2019, 43. [Google Scholar] [CrossRef]
- IBGE. Localidades 2010; IBGE: Rio de Janeiro, Brazil, 2010.
- Breunig, F.M.; Galvão, L.S.; Formaggio, A.R.; Epiphanio, J.C.N. Influence of data acquisition geometry on soybean spectral response simulated by the prosail model. Eng. Agric. 2013, 33, 176–187. [Google Scholar] [CrossRef]
- Middleton, E.M. Quantifying reflectance anisotropy of photosynthetically active radiation in grasslands. J. Geophys. Res. 1992, 97, 935–946. [Google Scholar] [CrossRef]
- Gastellu-Etchegorry, J.P.; Demarez, V.; Trichon, V.; Ducrot, D.; Zagolski, F. BRDF behaviour of a tropical forest surveyed from space. In Proceedings of the IGARSS’97. 1997 IEEE International Geoscience and Remote Sensing Symposium Proceedings. Remote Sensing-A Scientific Vision for Sustainable Development, Singapore, 3–8 August 1997; IEEE: New York, NY, USA, 2019; Volume 4, pp. 1566–1568. [Google Scholar] [CrossRef]
- De Wasseige, C.; Defourny, P. Retrieval of tropical forest structure characteristics from bi-directional reflectance of SPOT images. Remote Sens. Environ. 2002, 83, 362–375. [Google Scholar] [CrossRef]
- Moraes, E.C.; Pereira, G. Spectral response of vegetation covered surface subject to flooding due to viewing geometry. Geografia 2011, 12, 187–199. [Google Scholar]
- Sammarco, J.J.; Carr, J.L. Mine Illumination: A Historical and Technological Perspective. Extr. Sci. A Century Min. Res. 1982, 35, 1–12. [Google Scholar]
- Kyba, C.C.M.; Aubé, M.; Bará, S.; Bertolo, A.; Bouroussis, C.A.; Cavazzani, S.; Espey, B.R.; Falchi, F.; Gyuk, G.; Jechow, A.; et al. Multiple Angle Observations Would Benefit Visible Band Remote Sensing Using Night Lights. J. Geophys. Res. Atmos. 2022, 127, e2021JD036382. [Google Scholar] [CrossRef]
- Dos Santos, T.V. Perspective Chapter: Belem and Manaus and the Urban Agglomeration in the Brazilian Amazon. In Urban Agglomeration; IntechOpen: London, UK, 2022. [Google Scholar] [CrossRef]
- Roso, M.; Oliveira, T.D.d.; Beuter, N.C. Por que verticalizar? Um estudo sobre o processo de verticalização nas cidades. Res. Soc. Dev. 2021, 10, e250101724737. [Google Scholar] [CrossRef]
- Sathler, D.; Monte-Mór, R.L.; de Carvalho, J.A.M. As redes para além dos rios: Urbanização e desequilíbrios na Amazônia brasileira. Nov. Econ. 2009, 19, 10–39. [Google Scholar] [CrossRef]
- Jochem, W.C.; Leasure, D.R.; Pannell, O.; Chamberlain, H.R.; Jones, P.; Tatem, A.J. Classifying settlement types from multi-scale spatial patterns of building footprints. Environ. Plan. B Urban Anal. City Sci. 2021, 48, 1161–1179. [Google Scholar] [CrossRef]
- Coesfeld, J.; Anderson, S.J.; Baugh, K.; Elvidge, C.D.; Schernthanner, H.; Kyba, C.C.M. Variation of individual location radiance in VIIRS DNB monthly composite images. Remote Sens. 2018, 10, 1964. [Google Scholar] [CrossRef]
- Mann, M.L.; Melaas, E.K.; Malik, A. Using VIIRS day/night band to measure electricity supply reliability: Preliminary results from Maharashtra, India. Remote Sens. 2016, 8, 711. [Google Scholar] [CrossRef]
- Zhao, X.; Yu, B.; Liu, Y.; Yao, S.; Lian, T.; Chen, L.; Yang, C.; Chen, Z.; Wu, J. NPP-VIIRS DNB daily data in natural disaster assessment: Evidence from selected case studies. Remote Sens. 2018, 10, 1526. [Google Scholar] [CrossRef]
- Chang, Y.; Wang, S.; Zhou, Y.; Wang, L.; Wang, F. A novel method of evaluating highway traffic prosperity based on nighttime light remote sensing. Remote Sens. 2020, 12, 102. [Google Scholar] [CrossRef]
- Bragion, G.d.R.; Gonçalves, G.C.; Dal’Asta, A.P.; de Faria Santos, A.C.; de Oliveira, L.M.; Monteiro, A.M.V.; Amaral, S. Identifying Basal Nighttime Radiance Levels for Estimating Traffic Flow based on VIIRS/DNB data. Rev. Bras. Cartogr. 2021, 73, 1106–1117. [Google Scholar] [CrossRef]
- Bará, S.; Rodríguez-Arós; Pérez, M.; Tosar, B.; Lima, R.C.; Sánchez de Miguel, A.; Zamorano, J. Estimating the relative contribution of streetlights, vehicles, and residential lighting to the urban night sky brightness. Light. Res. Technol. 2019, 51, 1092–1107. [Google Scholar] [CrossRef]
- Li, X.; Levin, N.; Xie, J.; Li, D. Monitoring hourly night-time light by an unmanned aerial vehicle and its implications to satellite remote sensing. Remote Sens. Environ. 2020, 247, 111942. [Google Scholar] [CrossRef]
- Román, M.O.; Stokes, E.C. Holidays in lights: Tracking cultural patterns in demand for energy services. Earth Futur. 2015, 3, 182–205. [Google Scholar] [CrossRef]










| Class | Subclass | Description | Example |
|---|---|---|---|
| Urban area | Industrial sites | Large building footprints, parking lots, and industrial facilities. Samples are restricted to designated industrial parks. | ![]() |
| - | Mid to high-income (A to F in [34]) | Areas with good living conditions. These areas are found both in secluded luxury areas, commercial areas in city centers, and their immediate neighborhoods. Dwellings are made of bricks, and basic services such as sewage, garbage collection, and the internet are universal. Median income per capita ranges from one to six times the minimum wage. | ![]() |
| - | Low-income and high density (G1 in [34]) | Areas with bad-to-medium living conditions together or around other areas with better conditions. Sewage and garbage collection are present in almost all areas. Mansory houses are still frequent but not exclusive. This class has the highest demographic density of all classes. The median income per capita corresponds to approx. 75% of the minimum wage. | ![]() |
| - | Low-income (G2 to K in [34]) | Areas with bad living conditions. The population has low rates of internet access, sewage, and garbage collection. The high school education level is limited to less than half of the population. The median income per capita represents 40% to 60% of the minimum wage. | ![]() |
| - | Verticalized areas | Areas within a city with a predominance of buildings with four or more floors. Although this class is not intrinsically mutually exclusive to others, its presence eliminates the possibility of the designation of other classes. | ![]() |
| Mining site | Extraction sites | Open spaces of bare soils, without the presence of permanent structures for processing, transporting, or managing raw mineral materials. | ![]() |
| - | Supporting facilities | Parking lots, structures for processing raw mineral materials, and administrative buildings. | ![]() |
| Year | 2012 | 2013 | 2014 | 2015 | 2016 | 2017 | 2018 | 2019 | 2020 | 2021 |
|---|---|---|---|---|---|---|---|---|---|---|
| p-value | 8.3·10−6 | 3.4·10−11 | 5.2·10−14 | 1.9·10−6 | 2.1·10−11 | 2.5·10−11 | 2.6·10−14 | 5.8·10−8 | 6.5·10−5 | 2.3·10−6 |
| V-stat. | 2348.5 | 3887.5 | 4282.5 | 3194.5 | 4208 | 3678.5 | 4547.5 | 3231 | 3309.5 | 3172 |
Disclaimer/Publisher’s Note: The statements, opinions and data contained in all publications are solely those of the individual author(s) and contributor(s) and not of MDPI and/or the editor(s). MDPI and/or the editor(s) disclaim responsibility for any injury to people or property resulting from any ideas, methods, instructions or products referred to in the content. |
© 2023 by the authors. Licensee MDPI, Basel, Switzerland. This article is an open access article distributed under the terms and conditions of the Creative Commons Attribution (CC BY) license (https://creativecommons.org/licenses/by/4.0/).
Share and Cite
Bragion, G.d.R.; Dal’Asta, A.P.; Amaral, S. Bringing to Light the Potential of Angular Nighttime Composites for Monitoring Human Activities in the Brazilian Legal Amazon. Remote Sens. 2023, 15, 3515. https://doi.org/10.3390/rs15143515
Bragion GdR, Dal’Asta AP, Amaral S. Bringing to Light the Potential of Angular Nighttime Composites for Monitoring Human Activities in the Brazilian Legal Amazon. Remote Sensing. 2023; 15(14):3515. https://doi.org/10.3390/rs15143515
Chicago/Turabian StyleBragion, Gabriel da Rocha, Ana Paula Dal’Asta, and Silvana Amaral. 2023. "Bringing to Light the Potential of Angular Nighttime Composites for Monitoring Human Activities in the Brazilian Legal Amazon" Remote Sensing 15, no. 14: 3515. https://doi.org/10.3390/rs15143515
APA StyleBragion, G. d. R., Dal’Asta, A. P., & Amaral, S. (2023). Bringing to Light the Potential of Angular Nighttime Composites for Monitoring Human Activities in the Brazilian Legal Amazon. Remote Sensing, 15(14), 3515. https://doi.org/10.3390/rs15143515








