Abstract
In Wenchuan, China, which was severely affected by an M8.1 earthquake in 2008, the geomorphic process has been driven by gravitational erosion brought on by post-shock rockfalls and landslides. However, a process-based delineation of the post-shock landscape modification using quantitative methods employing mathematical modeling and control experiments has not yet been successfully undertaken. This is due to the areas’ substantial sediment yield and growing transportation capacity. This study looked into 31 minor watersheds along the Minjiang River’s Wenchuan–Yingxiu stretch. Additionally, a digital gully model based on multi-source remote sensing, Geographic Information System (GIS), Differential Intereferometric Synthetic Aperture Radar (D-InSAR), and amplitude tracking technology was created for the quantitative estimation of post-shock gravity erosion and sediment yield by comparison of three-dimensional topographical alternation (before and after the shock). Following regression analysis, a useful model for sediment yield estimation was suggested. The following conclusions were reached: (1) There was a considerable favorable effect between an angle of 50 and 70 degrees, and various geomorphological parameters had scale effects. Gravitational sediment yield modulus displayed a positive power function relationship with relative relief and surface fragmentation, but there was no clear correlation between the modulus and slope, relative relief, or surface fragmentation at the watershed scale; (2) Both the budget for post-shock geo-materials and the production of sediment from gravity erosion showed an annual trend of decline; (3) A 10–20-year active period would be recognized by gravity erosion.
1. Introduction
Earthquakes can alter the geological environment and microtopography in the affected areas [1]. They can also produce vast quantities of loose geomaterials that build up at the base of slopes and valley banks, which fully prepare the area for ensuing gravity erosion and sediment transport [2].
The 2008 Wenchuan earthquake in China resulted in more than 60,000 collapses and landslides as well as billions of cubic meters of loose solid deposits [3,4]. There were 3863 collapses, 18 landslides, and 280 million cubic meters of loose materials in the Wenchuan–Yingxiu area of the upper reaches of the Minjiang River [5,6]. Debris flow occurred in the Niuquangou Gully, the Wenchuan earthquake’s epicenter, on 28 June 2008, and later on 26 September as a result of sediment discharge of over 150,000 m3, destroying the old G213 national highway [7]; on 13 August 2010, the Hongchun Gully, close to the Niuquangou Gully, flushed out 700,000 m3 of geo-material. The G213 roadway had to be continuously rebuilt or rerouted as a result of the aforementioned damages, which even prompted Caopo Town to move [8,9]. For years, post-shock collapses, landslides, slope erosion, and sediment yield have plagued the area, posing serious challenges to its recovery as well as to the environment, public safety, and social and economic growth (Figure 1) [10]. Our prior awareness of its potent ability to destroy and generate significant amounts of silt was lacking.
Figure 1.
(a) Deposits of 15 m in depth in the channel of the Minjiang River at Yiwanshui Village, Yinxing Town, Wenchuan County, China on 13 August 2010 [11]; (b) Siltation of 20 m in depth in the channel of the Minjiang River at the Xianfeng village, Caopo town, Wenchuan County, China on 10 July 2013 [12]. Dotted circles indicate the extent of sedimentation.
There is little quantitative research on post-shock erosion and sediment output. The majority of researchers used secondary measured data to perform quantitative evaluations on the gravity erosion mechanism of gully systems [13], morphological evolution [14], sediment source, and vertical zonation [15], but they still rely on channel or section survey-based data analysis. Watershed morphology [16], geomorphological characteristics [17,18], rainfall [19], runoff [20], and underlying surface are a few examples of the factors that have been the subject of research [21]. Additionally, some researchers developed a classification of gravity erosion sediment yield (here referred to as gravity erosion sediment yield (GESY)) and explained the gravity erosion type and its genesis from a gully slope system [22,23]. Others have attempted to analyze the characteristics of sediment yield in a gully slope system quantitatively using 3S (Remote Sensing, Global Position System and Geographic Information System) technology [24,25,26], close-range photogrammetry [27], three-dimensional laser [28], etc., in combination with numerical simulation methods [29]. The movement of the post-shock slope is irregular, chaotic, and complicated in both time and space. The focus of research is currently shifting from qualitative description to qualitative analysis. Unfortunately, studies on post-shock gravity erosion in China have mostly focused on the Karst and Loess Plateau regions, with little attention paid to the post-earthquake areas. Therefore, it is still unclear what erosion and sediment production look like and how they affect the geomorphic system at various time and spatial scales [30,31].
The aim of this study is to summarize the characteristics of sediment yield by gravity erosion in post-earthquake landslide, quantitatively analyze the geomorphic effect of gravity erosion and sediment production, and predict the trend of sediment production by gravity erosion and landslide after an earthquake. In addition to providing a scientific foundation and engineering design guidelines for avoiding and managing geological disasters and regulating river sediment in high-intensity earthquake zones, this research will expand our understanding of the process and law of post-shock gravity erosion.
2. Materials and Methods
2.1. Study Area and Data Sources
The Wenchuan–Yingxiu portion is located in the upper sections of the Minjiang River in Wenchuan County, Sichuan Province, China, between the latitudes of 30°59′32.75″ and 31°29′27.28″N and from 103°20′50.73″ to 103°40′7.08″E. The Qiang, Tibetan, and other Sichuan ethnic minorities have lived permanently in this area for generations, and it has long served as a vital transportation route linking the Sichuan Basin and the Tibet Plateau (Figure 2).
Figure 2.
Distribution of post-earthquake geo-hazards in the study area.
The research region is a typical alpine and canyon landform, with elevations between 780 m and 6250 m, and is characterized by an inclined topography with highlands in the northwest and lowlands in the southeast. An active major fault that is intimately linked to the Wenchuan earthquake slants through the region as a result of the ongoing neotectonic processes in Tibet. This fault exhibits regular seismic activity, complex geological formations, and strata that are primarily made of granite, phyllite, and diorite. The vegetation types are mainly arid shrub vegetation with medium-drought-tolerant plants, which can be divided into coniferous forest, mixed coniferous broad-leaved forest, broad-leaved forest, shrub, meadow, alpine vegetation, and cultivated vegetation. The annual Normalized Difference Vegetation Index (NDVI) showed an upward trend before the 2008 Wenchuan earthquake, a downward trend during the earthquake, and an upward trend during the post-earthquake recovery period.
Regarding Supodian, a village at the southern end of the Minjiang River valley, the research region can be divided into two distinct climate zones along the Minjiang River. With an average annual precipitation of 1285.1 mm, the area south of Supodian is renowned as one of the rain centers in western Sichuan and has a subtropical humid monsoon climate [32]. A typical dry hot valley region with a semi-arid monsoon climate, 526.3 mm of annual precipitation, and an asymmetrical seasonal distribution may be found in the north [33]. Wenchuan–Yingxiu was a typical location before the earthquake, plagued by collapses, rockfall, landslides, and debris flows [34]. The earthquakes have become worse, making this China’s most vulnerable region to geohazards and gravity erosion. This location is particularly well-suited for investigations of slope movement after an earthquake and gravity erosion.
From 2008 to 2010, four events of slope deformation and gravity erosion were observed and quantitatively analyzed. ALPSRP radar pictures, ADS40 aerial remote sensing photos, 1:10,000 digital topographic maps, 3D laser scanning data, and field survey data were the main data sources used in this investigation. They utilized the four Sentinel-1 satellite scene descending orbit photos from 2015 to 2016 and the eight scene ascending orbit images of the ALOS satellite from 2007 to 2010 (Table 1). Interferential data with azimuth were acquired using image focus and multi-view processing (1–3) to suppress speckle noise, with ground resolutions of 9.55 m and 7.9 m, respectively. This created a very accurate three-dimensional digital terrain model (DTM) and slope deformation field using geocoding of the Doppler distance equation, cutting, and interference processing.
Table 1.
Remote sensing images of the research area from 2008 to 2016.
To characterize different types of gravity erosion and define the boundaries between gravity erosion and sediment generation, surface coverage information from the research region was extracted from three periods of ADS40 aerial remote sensing data from 2008/05, 2009/05, and 2010/05 with a ground resolution of 2 m. It was then followed by the use of object-oriented and random forest algorithms, which can extract underlying information about the earth’s surface, such as the type of vegetation coverage, the amount of undisturbed bare land, the amount of newly added bare land, and the type and range of gravity erosion caused by post-shock slope movement in the study area.
This resulted in a 5 m resolution digital elevation model (DEM) based on a 1:10,000 digital line graphic (DLG) of Wenchuan County from the National Catalogue Service for Geographic Information, which was primarily intended for oblique DEM conversion, micro-geomorphology categorization, geomorphology component extraction, various data registration, and fine correction. A single geographical data framework was created using ArcGIS 10.2, and the watershed’s morphological parameters as well as macro- and micro-geomorphic components were then extracted using hydrological analysis, topographic analysis, and spatial analysis.
Since 2008, in situ observations employing the AST-320 total station, IRTK2 BX GNSS, Riegl2000, and other equipment have been planned sequentially on an annual basis to undertake regular deformation measurements for typical downslope movements (Figure 3). Data from landslides, laser point clouds, and orthophoto images were gathered in conjunction with the IFLY D6 unmanned aerial vehicle to aid in the separation and extraction of micro-geomorphology units and calibrate our suggested model of sediment yield calculation.
Figure 3.
(a) Gravity erosion disaster events in the study area include landslide, collapse, and debris flow; (b) Field investigation and data collection in the study area.
2.2. Construction of Digital Slope–Ditch System
This study divided geomorphic elements causing post-shock gravity erosion into two categories: macro-geomorphic factors and micro-geomorphic factors, depending on the spatial scale and intensity of geomorphological conditions. A digital slope–groove model for estimating erosion yield was built using Geographic Information System (GIS), Differential Intereferometric Synthetic Aperture Radar (D-InSAR), and amplitude tracking technology.
2.2.1. Micro-Geomorphic Factors
A slope body and its accompanying micro-geomorphology, which is also the smallest unit for sediment generation, storage, and migration, are where downslope movement forms, develops, and evolves. In terms of surface undulation or curvature, slope bodies can be divided into four categories: linear slope, concave slope, convex slope, and compound slope. In general, the compound slope is a combination of the first three fundamental forms of slope body [35].
Slopes were divided into six types of micro-geomorphic features based on the gradients of the slopes in the study area: flat or terrace, gentle slope, steep slope, abrupt slope, and precipitous slope, with corresponding critical slope gradients of 8, 15, 25, and 70, respectively. According to various academic opinions in geography, soil science, and soil and water conservation science, a region with a slope angle between 0 and 8 degrees is considered flat ground or a platform. This is what is meant by the determination of an essential slope gradient. Additionally, the crucial slope angle of 70 degrees was added to the previously mentioned gradient division while taking into account the formation circumstances and evolutional traits of in situ landslides or rockfalls. Slopes were divided into five groups based on their relative height differences: extremely low slope, low slope, medium slope, high slope, and extremely high slope, with corresponding essential elevation differences of 20 m, 50 m, 100 m, and 200 m. The slopes in the research area were divided into 26 micro-geomorphic units based on slope and relative height difference (Table 2).
Table 2.
Slope classification criteria in micro-geomorphic units.
2.2.2. Macroscopic Geomorphic Factors
The research on post-shock gravity erosion used small watersheds with a range of spatial dimensions as a macroscopic morphological unit. The macroscopic geomorphic factors watershed area (A), watershed perimeter (Pe), roundness ratio (Rc), relative elevation difference (HD), average elevation (Hm), gully bed gradient (I), and surface fragmentation (DD), which represent the macroscopic external dynamic conditions and material migration capacity for the formation and evolution of geohazards, are defined as the following: watershed area, watershed perimeter, roundness ratio, relative elevation difference, average elevation, gully bed gradient, and surface fragmentation.
Next, 1:10,000 digitized topographic maps were converted into DEM at 1 m intervals using ArcGIS 10.2. The traffic thresholds of the three-level watershed in the study region were calculated using the 4-neighbor flow direction technique, and they were 20,000, 2000, and 500, respectively. To undertake topology reconstruction and to finish coding and splitting each watershed, the three-level water system and its related watershed units were extracted. To reduce the impact of factors brought on by data precision, parameter calibration, and generalization of pertinent models, topology inspection and man–machine interactive editing were conducted in conjunction with high-resolution remote sensing photos and field survey data. A total of 31 watersheds were ultimately created using macro-geomorphological elements and other criteria, calculated as shown in Table 3.
Table 3.
Gravity erosion and sediment yield for each watershed in the study area from 2008 to 2010 and from 2015 to 2016.
2.3. Gravity Erosion Deformation Field
Amplitude Tracking and D-InSAR were combined to retrieve deformation data. In a digital valley system, landforms and ground features were categorized using object-oriented techniques. A high coherence area was defined as an area with relatively stable formation, little to no major slope deformation, and highly coherent ground characteristics. In order to identify the minor deformation in the high coherence region, the interferometric processing of the radar images acquired before and after each episode of downslope deformation was carried out using D-InSAR’s two-track approach. Low coherence zones are regions with significant surface deformation and substantial gravitational erosion. In the case of the optimized matching window size of 256 pixels by 256 pixels, the Amplitude Tracking technology could obtain the best deformation information and calculate the big deformation value in the low coherence region. To integrate the deformation fields in various regions, extract the time-series deformation data of each event of downslope movement, and construct a 3D deformation field model of post-earthquake gravity erosion based on geomorphology unit, ArcGIS 10.2 spatial analysis and vector grid transformation tools were also used. To compute the sediment yield characteristics and regularity of gravity erosion of each landslide, the deformation field and various types of gravity erosion areas were superimposed and examined [36].
2.4. Prediction Model of Gravity Erosion and Sediment Yield Due to Post-Shock Slope Movement
To determine source recharge and sediment yield for each episode of erosion event, an analysis of the deformation field overlapping with the watershed unit in the research region was conducted, and the results were then compared to field observations. Comparing the measured or survey data of solid material outflow in a few debris flow catastrophes in the research region has some practicability (the relative error is 1.58–14.12%) (Table 4) [37].
Table 4.
Comparison table between calculated and measured values of debris flow gully.
By using the methods of multi-factor correlation analysis and principal component analysis, the quantitative link between gravity erosion and geomorphological elements of post-earthquake downslope movement was investigated, identifying the primary geomorphological factors affecting sediment production. Based on the equilibrium of loose solid geo-material and sediment yield due to post-shock downslope movement, a regression analysis prediction model for post-shock gravity erosion and sediment yield was built, and the evolution trend of the sediment yield by gravity erosion after the earthquake was analyzed (Figure 4).
Figure 4.
Algorithm flow diagram of post-shock gravitational erosion and sediment yield.
3. Results
3.1. Characteristics of Erosion and Sediment Production
3.1.1. Characteristics of Erosion and Sediment Yield at a Watershed Scale
The post-shock slope movement in the watershed that caused the sediment production has distinct characteristics of erosion and accumulation along their transportation path. According to Figure 5 and Table 4, between 2008 and 2010 and from 2015 to 2016, respectively, the total amount of erosion and sediment production by downslope movement in 31 watersheds of the study area was 246.2 × 106 m3, 68.71 × 106 m3, 35.27 × 106 m3, 20.59 × 106 m3, and 2.23 × 106 m3, with erosion moduli of 0.47 m/a, 0.13 m/a, 0.07 m/a, and 0.04 m. Twelve valleys—Banzi, Manianping, Er, Taoguan, Qipan, Yeniu, Taiping, Tutou, Luoquanwan, Niuquan, Fotangba, and Chediguan had higher sediment discharge rates, which were responsible for 78.36%, 80.73%, 83.36%, 76.76%, and 68.12%, respectively, of the total erosion in the study region. Due to the large gully area and favorable hydrodynamic circumstances, where the collapse and landslide were more developed through the Wenchuan earthquake main fault zone and located on the upper body of the main fault zone, with cracked and broken hillsides, it exhibits an increasing trend over time. As a result, the drainage region is directly impacted by the erosion and sedimentation brought on by post-shock collapse and landslides.
Figure 5.
Gravity erosion deformation field in various watersheds in the study area from 2007 to 2016. The Numbers 1–31 in the figure represent the watershed number.
Gravity erosion was defined in a watershed with a longer main channel and a big ratio of its relative height difference to its length by first accumulating and then scouring. This implied that, during periods of intense rainfall, collapses and landslides regularly happened with loose solid material moving, eroding, and collecting along slopes and channels. The average erosion depth for each main channel was 1 m, which was consistent with other studies.
3.1.2. Characteristics of Gravity Erosion and Sediment Production in the Main Stream of the Minjiang River
After the Wenchuan Earthquake, rehabilitation and restoration initiatives forced the majority of the local population to relocate; as a result, there was less geomorphological disruption, such as sand mining in riverbeds. In the Minjiang Valley, 31 offshoot valleys and river banks contributed the majority of the sediment outputs (Figure 5, Table 5). In response to an average depositing height of 0.60 m, 0.19 m, 0.16 m, 0.03 m, and 0.002 m (Depositing height = Accumulation sediment/River area), it was discovered that there was a trend of yearly accumulation in the Minjiang Valley with accumulation amounts of 5.36 × 106 m3, 1.74 × 106 m3, 1.41 × 106 m3, 0.27 × 106 m3, and 0.02 × 106 m3. For three years following the shock, the accumulative deposition in height was 0.95 m, and it mostly persisted in small channels, river bends, and debris flow from gully mouths (accumulation fan). As an example, the Douyaping–Yingxiu stretch, which runs in a wide channel from a narrow one, showed considerable undercutting erosion, with an accumulative undercutting of 3.79 m in three years, in locations where the river had straight channels and large dips.
Table 5.
Statistics of gravity erosion and sediment production in the main stream of the Minjiang River from 2008 to 2016.
3.2. Geomorphic Effects of Gravity Erosion
Understanding the process and features of gravity erosion and sediment formation is an advantage of a quantitative investigation of a single factor. We decided to examine the sediment-producing characteristics from macro and micro scales, as well as to analyze the key geomorphological elements and sediment-producing consequences of gravity erosion. We chose the geomorphological conditions of post-shock gravity erosion.
3.2.1. Effect of Micro-Landform
The slope gradient of the micro-geomorphic unit overlapping with the deformation field was used to determine the sediment yield values at various slope surface locations, using geohazard occurrences in 2008 as an example (Table 6 and Figure 6a). It was determined that the largest sediment yield, 134.937 × 106 m3, or 54.6% of the overall yield, occurred on the extremely steep slope with an inclination from 50 to 70. Additionally, the slopes between inclinations of 25 and 50 had bigger surfaces but produced less sediment via gravity erosion, amounting to 66.334 × 106 m3, or 26.84% of the total sediment yield.
Table 6.
Erosion and sediment yield in different slope geomorphology units in 2008.
Figure 6.
(a) Sediment yield and sediment yield modulus of slope units in different slope ranges; (b) Slope deformation profile.
The ratio of sediment yield to the surface areas of the slopes was defined as the “sediment yield modulus of slopes” (SYMS) in order to exclude the influence of the areas of different types of slopes on the sediment yield incurred by slope gravity erosion. Table 6 is a list of the SYMS’ precise calculations. SYMS, in micro-topography, initially decreases and then inversely increases with slope gradient, suggesting that the steepest slopes experienced the largest SYMS and that rockfalls were the primary cause of gravity erosion following the earthquake. In contrast, the SYMS in the middle steep slopes, where post-shock landslides predominated, had the lowest value. In the year that followed the shock, there was no significant landslide; instead, loose solid geo-materials moved downslope and finally piled along the transportation channel (Figure 6b); SYMSs were smaller than those in areas of heavy gravity erosion but larger than those in flat areas where there had not been a landslide, and terraces and mild-slopes that were in the middle of the slopes or slope toe were the spaces and passageways for the deposition or transportation of sediments. The potential for a micro-geomorphic unit to detach and transfer loose geo-materials can be reflected by the elevation variation within it. The association diagram between SYMS at a sloped unit and elevation difference was constructed by superimposing the erosion deformation field of the micro-geomorphic unit onto the responding elevation difference classification map using geohazard events in 2008 as case studies (Figure 7). With y = 0.0526e0.0241x and R2 of 0.868, it implies a substantial positive connection between SYMS and its elevation difference within a micro-geomorphic unit.
Figure 7.
Relationship between sediment yield modulus of slopes (SYMS) and elevation difference of slope unit in 2008 study area.
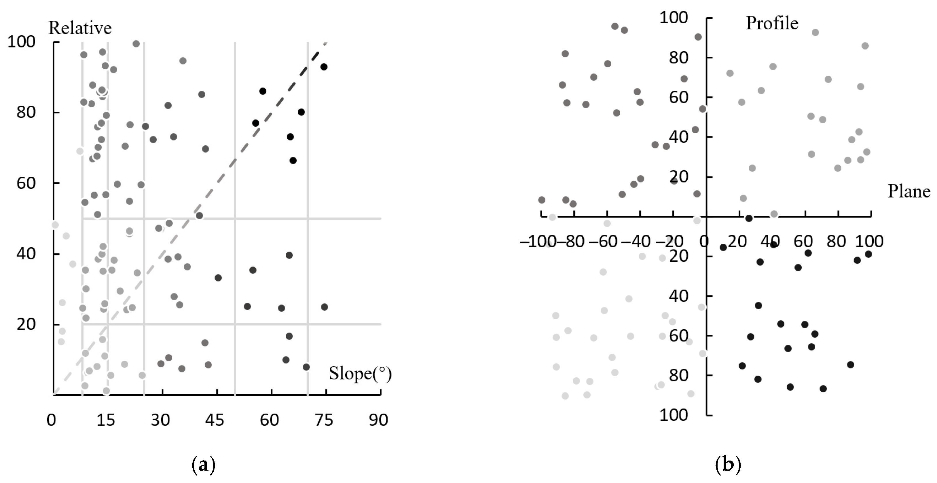
A scatter diagram of SYMS was created to show the levels of SYMS for a specific slope type in relation to slope gradient and relative height. SYMS is larger and vice versa depending on how dark the dot’s color is (Figure 8a). The findings showed that, regardless of the kind of slope, SYMS was positively correlated with slope gradient and relative height, i.e., the greater the slope angle, the higher the SYMS. The bigger the SYMS, the greater the relative height.
Figure 8.
(a) Relationship between sediment yield, SYMS and inclinations of different slope units in the study area in 2008; (b) Relationship between SYMS and elevation difference of slope unit in 2008 study area.
SYMS was considerably influenced by slope shape as well. By using plane curvature and section curvature as coordinate axes when drawing the scatter plot of SYMS in the micro-geomorphic unit, the sediment yield area with various slope types was revealed (Figure 8b). It was discovered that SYMS values at micro-geomorphic units with various slope types were in the following order: mixed type slope > convex slope > linear slope > concave slope. In other words, mixed slopes with geohazard occurrences (groups) were the source for post-shock gravity erosion, having the largest SYMS, while a relatively stable concave slope, subject to accumulation of loose geo-materials in the headwater, had the smallest SYMS.
3.2.2. Macro-Geomorphic Effect
The erosion and sedimentation of post-shock slope movement were significantly influenced by the macro-geomorphological characteristics of a watershed. The deformation fields of each watershed superimposing with each erosion in the research area were examined using small watersheds as the targeted units. Following that, the sediment output and SYMS of each geohazard occurrence in each watershed were determined (Table 5). For the macro-geomorphic effects and post-shock changes in erosion and sediment yield, the quantitative relationships between sediment yield and watershed area, perimeter, roundness ratio, elevation difference, watershed surface fragmentation, and valley–bed ratio were analyzed (Figure 9, Figure 10 and Figure 11):
Figure 9.
(a) Relationship between erosion and sediment yield and watershed areas in the study area; (b) Relationship between erosion and sediment yield and watershed perimeter in each watershed of the study area.
Figure 10.
(a) Relationship between gravity erosion and SYMS and watershed circularity ratio in each watershed of the study area; (b) Relationship between gravity erosion and SYMS and watershed elevation difference in each watershed of the study area.
Figure 11.
(a) Relationship between erosion and SYMS and watershed surface fragmentation in each watershed of the study area; (b) Relationship between erosion and SYMS and groove gradient in each watershed of the study area.
(a) In a watershed with an area of between 1 and 50 km2, sediment yield gradually increases with the increase in the watershed area, but SYMS showed a declining trend over time and was positively connected with the watershed’s perimeter (Figure 9).
(b) The roundness ratio represents the shape of the watershed and is related to the asymmetry of the topography and bedrock lithology. The power function of the association between the roundness ratio and the SYMS changed negatively (Figure 10a). That is to say, the longer and narrower a watershed’s structure, the shorter its sediment transport path; and the more adequate the hydrodynamic conditions in the channel, the bigger the SYMS.
(c) The watersheds in the research area were divided into three categories, including small watershed, medium watershed, and the large watershed, based on the three sizes at ≤ 1 km2, 1 < < 10 km2, and ≥ 10 km2. Each watershed’s elevational difference exhibited a favorable power function relationship with its SYMS (Figure 10b). As the elevation of each watershed becomes higher, SYMS also increases.
(d) Surface fragmentation is a measure of surface smoothness and integrity. Although there was a positive power function association between SYMS and surface fragmentation within the same watershed (Figure 11a), there was no clear correlation between SYMS and surface fragmentation at the watershed size.
(e) Groove gradient refers to the ratio of the drop of the river bed to its length in any stretch of river SYMS and valley groove gradient, which showed a positive connection (Figure 11b). With the increase in ditch bed gradient, SYMS also increases.
3.2.3. Effect of a Collapsed Landslide on Sediment Yield under Multi-Factor Coupling
In intermediate and small watersheds with an area of less than 10 km2, a correlation study between sediment yield and macro geomorphological parameters was conducted (Table 7). As shown in Table 7, there is a positive correlation between sediment yield and watershed area, watershed perimeter, elevation difference, gully bed gradient, and surface fragmentation as a result of post-shock geohazards. However, there is a negative correlation between the roundness ratio and sediment yield.
Table 7.
Correlation analysis between macro-geomorphic factors and gravity erosion sediment yield in the study area.
Seven macro-geomorphological components were subjected to principal component analysis (Table 8). It is found that the first three principal components account for 93.43% of the variance contribution rate of all variables, and that the absolute values of the load of the five variables, such as the first principal component , , and , the second principal component , and the third principal component , are all greater than 0.8. This implies that the five macro-geomorphic parameters—watershed area, elevation difference, a gradient of gully beds, roundness ratio, and degree of surface fragmentation—are the primary governing elements affecting SYMS.
Table 8.
Correlation analysis between macro-geomorphic factors and gravity erosion sediment yield in the study area.
The association between SYMS and macro-control geomorphological parameters at the watershed scale in the research area was established using the approach of multiple regression analysis:
where is sediment yield due to post-shock gravity erosion; is watershed area; is roundness ratio; is elevation difference; is the gradient of gully bed; is surface fragmentation.
Testing model 1 yielded statistical significance. For instance, the model’s F test value was 9.781 (Table 9), far over the significance level of 0.05, and the 95% confidence level was 3.204. This shows that the model may be used to predict erosion and sediment output in small and medium watersheds and that it is consistent with post-earthquake gravity erosion in these watersheds.
Table 9.
Variance analysis of F-test for sediment yield of gravity erosion in watershed.
The link between gravity erosion, SYMS, and the macro-topographical regulating elements can be established for a watershed with an extent larger than 10 km2:
where is sediment yield due to gravity erosion in a large watershed; , , , , and have the same in formula 1.
It is determined that the following describes the prediction model for gravity erosion and sediment yield at various watershed scales in the study area:
where is SYMS in the watershed;, , , , and are the same as in formula (1).
The SYMS due to post-shock downslope movement predicted by model 3 and its variation trend can be observed in Figure 12, where it can be seen that they have good accuracy and applicability and are generally consistent with the measured gravity erosion sediment yield of each watershed.
Figure 12.
(a) Relationship between the observed sediment yield and predicted sediment yield by erosion in small and medium watershed of the research area; (b) Relationship between measured sediment yield and predicted sediment yield in large watershed in the study area.
3.3. Activity Analysis of Gravity Erosion of Post-Shock Slope Movement
The erosion and sediment yield of a watershed is defined as the discharge of loose geomaterial to be transported in a particular watershed. By extracting the deformation field before and after each geohazard event and then evaluating it with field research and measured data, the magnitude may be determined.
Regression was used to examine the observations of gravity erosion in 31 watersheds from 2008 to 2016 (Table 10). It is possible to establish a quantitative relationship between changes in sediment output over time and the storage of geomaterials at source areas:
where is new source of gravity erosion in the watershed; is sediment yield due to gravity erosion in the watershed. The is number of years after Wenchuan earthquake.
Table 10.
Geo-material storage at source and sediment yields of the research area from 2007 to 2016.
As can be observed in Figure 13, both the sediment yield and the amount of geomaterial stored in the headwaters were steadily declining over time, with the storage declining at a faster rate than the yield. If the budget of geomaterials in a watershed’s source areas roughly matches the production of sediment, it predicts that a mature landform may have taken shape. Gravity erosion stopped, and the slope tended to remain stable without experiencing any significant geohazards in the future.
Figure 13.
Prediction of the relationship between the source of gravity erosion and sediment yield in small watersheds after the earthquake. (Note: The first year after the earthquake is 2008 (x = 1), and the other years are analogized in turn).
To study post-shock gravity erosions, models 4 and 5 were introduced. According to Figure 13, post-shock gravity erosions in the watershed dramatically declined and tended to stabilize 10 years after the earthquake, but they would eventually stop 20 years after the earthquake [38,39]. The number determined by our modeling and the idea that post-shock debris flow would identify a 10–20 year active period is broadly consistent with this conclusion [34].
4. Discussion
- a.
- High-precision multi-source remote sensing technology enables the dynamic monitoring of post-earthquake geohazards and offers sophisticated and dependable technical methods for large-scale quantitative studies on gravity erosion and sediment [40]. However, its cost, hardware and software processing requirements, spatial and temporal resolution, and technical threshold have restricted its popularity and applicability [41], and it is challenging to implement real-time monitoring of the gravity erosion process [42]. Therefore, the accuracy and effectiveness of monitoring and evaluating gravity erosion of downslope movement can be further improved when combined with multi-source earth observation technologies such as the unmanned aerial vehicles, three-dimensional laser scanning systems, close-range photogrammetry, and ground-based radars [43,44].
- b.
- The Minjiang River basin experienced significant accumulations of solid loose materials during the 2008 Wenchuan earthquakes, which could pose threats to surface material migration, erosion, and sediment yield (Figure 5 and Table 5). Geo-material aggregation would make it simple to create secondary geological disasters with high frequency, large scale, and clustered occurrence in the case of heavy rainfalls [45]. Although the activities of post-shock geo-disasters were undoubtedly more intense than those before the earthquake (Table 10), it appears that earthquake zones now require more rainfall to trigger secondary geo-disasters than in the past [46]. The geo-environment begins to noticeably improve with the regeneration of flora as solid loose materials are transported from steep slopes and gullies to gentle terrains and consecutive catastrophe avoidance measures are implemented in the basin. Following the earthquake, gravity erosion and sediment yield showed a variation attenuation pattern over time (Table 5, Table 10, and Figure 13). Additionally, the basin’s erosion and sediment output created a clear hanging wall effect (Figure 3 and Table 4). This is mostly due to the basin passing through the Wenchuan earthquake’s main fault zone, with the majority of the earthquake’s shaking occurring on its upper wall, which increased the generation of collapses and landslides, as was supported by related research [47]. Additionally, according to studies, the active period of secondary geo-disasters would be extended from 10 to 20 years, particularly in the first five years following an earthquake.
- c.
- The basin’s steep slopes, which are covered with an abundance of geomaterials in the upper mountains, were favorable for the rapid creation of runoff and the confluence of rainfall, and they offered a significant initial energy and power source for gravity erosion and material migration [48]. Gravity erosion in the basin produced a pattern of sediment output that included annual accumulation (Figure 5 and Table 5).
- d.
- The dynamic reactions of various landforms or slopes to earthquakes varied. The amplification effect of upper ground motion increased with slope steepness [49]. Sediment yield modulus with respect to a slope in the basin was positively linked with slope gradient and relative height (Figure 6b, Figure 7 and Figure 8a). More than 80% of the sediment yield from gravity erosion in the basin was concentrated on steep and extremely steep slopes with gradients ranging from 25° to 70° (Table 6 and Figure 6b), which is essentially in line with the findings of previous studies. Our data showed that, compared to straight and concave slopes, compound and convex slopes were more vulnerable to gravity erosion, including collapse and landslide. Gravity erosion was clearly influenced by slope types, and mixed and convex slopes showed low stabilities (Figure 8b).
- e.
- According to [50], gravity erosion and sediment production caused by post-shock downslope movement are nonlinear processes influenced by a variety of factors, including topography, geomorphology, geology, earthquake, meteorology, hydrology, soil, vegetation, and human activities [50]. However, in this study, the geomorphological effects of post-shock gravity erosion and sediment production were only examined using geomorphological features. The characteristics, process, and mechanism of gravity erosion and sediment yield under multi-factor coupling need to be further quantitatively analyzed based on field research, experimental observation [51], thorough monitoring, and indoor and outdoor simulation [52].
- f.
- Based on strengthening long-term series of experimental observations [53], it is important to establish quantitative expressions of watershed, channel, and slope body weight erosion and sediment yield in different time and space scales; to determine the scale effect and conversely [51], the main predominant factors and dynamic process of gravity erosion sediment production should be studied in depth [54].
5. Conclusions
These are the conclusions:
- a.
- A model of a high-precision gravity erosion deformation field with a digital slope system was built in this study based on multi-source remote sensing and GIS technology to carefully extract information on post-shock gravity erosion under various time and space scales. This study offers new technical methods for dynamically monitoring and quantitatively analyzing large-scale gravity erosion processes. An approach to quantitative research and modeling analysis of regional gravity erosion sediment production was made possible by combining D-InSAR and Amplitude Tracking technology for the processing of radar data. The updated deformation field could be generated for each episode of downslope movement and parameters could be calculated, including gravity erosion, sediment production, transport, and accumulation. By combining high-resolution remote sensing images with highly accurate digital topographic maps, it introduced a classification criterion for building micro-geomorphological units of post-shock slopes, which is helpful to quantitatively analyze and reveal the process of gravity erosion and sediment production of collapse and landslide.
- b.
- In the research region, the post-earthquake geohazards (collapse and landslides) exhibited strong erosional, sedimentary, and accumulation transport features. The erosion modulus and sediment yield were both declining annually. Following the earthquake, obvious hanging wall effects were exposed by gravity erosion and sediment release, which were then subjected to drainage zones. A total of 80% of the total yearly sediment supply came from 12 watersheds that were located on the top plate of the main fault zone and had rather substantial land areas. The lengthy main channel and steep channel bed of the watershed where the sediments produced by gravity erosion occurred were characterized by transportation and buildup before intense erosion and erosion.
- c.
- Annual buildup defined the sediment outputs in the valleys along the Minjiang River. The Minjiang River deposited 5.16 m of silt in the three years following the earthquake, mostly in the river’s constrictions, channel bends, and debris flow gullies. The Douyaping–Yingxiu stretch of the river, on the other hand, had significant undercutting erosion, with a total undercutting of 3.79 m over three years, particularly in the straight sections of the river with large drops or in the sections going from narrow to wide.
- d.
- The erosion capacity of a slope was greatly influenced by the kind and form of the slope. Sediment yield modulus can be ordered by quantity according to slope types as follows: mixed slope with geohazards events > convex slope > linear slope > concave slope. As a result, this slope type accounted for the majority of post-shock sediment yield. The sediment yield modulus had a positive correlation with the slope gradient and relative height. More than 80% of the total sediment output from gravity erosion in the study area was concentrated in the steep and extremely steep slopes from 25 to 70 degrees.
- e.
- The primary controlling elements for the sediment yield from gravity erosion at a watershed scale were five macro-geomorphological characteristics, including watershed area, watershed perimeter, elevation difference, gully bed gradient, and surface fragmentation. Our suggested prediction model has good accuracy and applicability for the sediment output from gravity erosion caused by post-shock downslope movement.
- f.
- Due to post-shock gravity erosion, both the volume of geo-material that was still present in the source area and the amount of sediment produced were steadily declining. However, the budget’s rate of decline was greater than that of the sediment production. It is anticipated that the gravity erosions in the earthquake-affected watershed will continue for 10–20 years.
Author Contributions
Conceptualization and methodology Y.H. and D.Z.; writing—original draft preparation, D.Z. and Z.W.; writing—review and editing, L.L. and Y.C.; contributed extensively to data processing and formal analysis, Z.W. and Y.C.; data curation, Z.Q.; investigation, Y.X.; funding acquisition, Y.H. All authors have read and agreed to the published version of the manuscript.
Funding
This research was supported by the National Key Research and Development Program No. 2021YFB3901203, Major scientific research projects of Hunan Provincial Institute of Geology No. HNGSTP202303, Open Fund of Key Laboratory of Early Rapid Identification, Prevention and Control of Geological Diseases in Traffic Corridor of High Intensity Earthquake Mountainous Area of Yunnan Province No. KLGDTC-2021-05, and Hunan Provincial Natural Science Foundation of China No. 2020JJ4295.
Data Availability Statement
Not applicable.
Acknowledgments
Thanks to the field data gatherers in the National Soil Erosion Survey for their invaluable efforts.
Conflicts of Interest
The authors declare no conflict of interest.
Abbreviation
The following abbreviations are used in this manuscript:
| GIS | Geographic Information System |
| D-InSAR | Differential Intereferometric Synthetic Aperture Radar |
| GESY | Gravity Erosion Sediment Yield |
| 3S | Remote Sensing, Global Position System and Geographic Information System |
| DTM | Digital Terrain Model |
| DEM | Digital Elevation Model |
| DLG | Digital Line Graphic |
| SYMS | Sediment Yield Modulus of Slopes |
| NDVI | Normalized Difference Vegetation Index |
References
- Parker, R.; Densmore, A.; Rosser, N.; De, M.; Li, Y.; Huang, R.; Whadcoat, S.; Petley, D. Mass wasting triggered by the 2008 wenchuan earthquake is greater than orogenic growth. Nat. Geosci. 2011, 4, 449–452. [Google Scholar] [CrossRef]
- Dadson, S.; Hovius, N.; Chen, H.; Chen, H.; Dade, W.; Lin, J.; Hsu, M.; Lin, C.; Horng, M.; Chen, T.; et al. Earthquake-triggered increase in sediment delivery from an active mountain belt. Geology 2004, 32, 733–736. [Google Scholar] [CrossRef]
- Huang, R.; Zhao, J.; Ju, N.; Li, G.; Lee, M.; Li, Y. Analysis of an anti-dip landslide triggered by the 2008 Wenchuan earthquake in China. Nat. Hazards (Dordr.) 2013, 68, 1021–1039. [Google Scholar] [CrossRef]
- Cui, P.; Chen, X.; Zhu, Y. The Wenchuan Earthquake (May 12, 2008), Sichuan Province, China, and resulting geohazards. Nat Hazards. 2011, 56, 19–36. [Google Scholar] [CrossRef]
- Cui, P.; Zhu, Y.; Han, Y. The 12 May Wenchuan earthquake-induced landslide lakes: Distribution and preliminary risk evaluation. Landslides 2009, 6, 209–223. [Google Scholar] [CrossRef]
- Han, Y.; Cui, P.; Zhu, Y.; Sun, F.; Zhang, Y.; Yang, C. Remote Sensing Monitoring and Assessment of Traffical Damage by Wenchuan Earthquake—A Case Study in Du-Wen Highway. J. Sichuan Univ. 2009, 41, 273–283. [Google Scholar]
- Xue, D.; He, Z.; Wang, Z.; Chen, X.; Yu, S. Remote sensing survey and image feature analysis of geo-logical hazards in Maoxian-Wenchuan section along G213. Earth Environ. 2012, 40, 261–265. [Google Scholar]
- Cui, P.; Zhuang, J.; Chen, X.; Zhang, J.; Zhou, X. Characteristics of debris flow after the earthquake in Wenchuan earthquake area and its prevention and control measures. J. Sichuan Univ. 2010, 42, 10–19. [Google Scholar]
- Wang, Y.; Qu, J.; Han, Y.; Du, L.; Wang, M.; Yang, Y.; Cao, G.; Tao, S.; Kong, Y. Impacts of linear transport infrastructure on terrestrial vertebrate species and conservation in China. Glob. Ecol. Conserv. 2022, 38, e02207. [Google Scholar] [CrossRef]
- Liu, J.; Ge, Y.; Zhang, J.; Chen, R. Characteristics and causes of “7·10”super-huge debris flows in Jian River section of Beichuan. J. Soil Water Conserv. 2014, 12, 44–50. [Google Scholar]
- Li, C.; Hu, X.; Li, G.; Ma, X. Formation Mechanism of the ‘8·13′ Catastrophic Debris Flow in Sichuan and the Principles of Controlling. Res. Soil Water Conserv. 2012, 19, 257–263. [Google Scholar]
- Han, M.; Hu, T.; Hong, M. Dynamics Character and River-Blocking Analysis of Narrow-Steep Channels Debris Flow in Wenchuan Earthquake Region—Illustrated with Case of MOZI Gully along DuWen Freeway. J. Eng. Geol. 2016, 24, 559–568. [Google Scholar]
- Basile, P.; Riccardi, G.; Zimmermann, E.; Stenta, H. Simulation of erosion-deposition processes at basin scale by a physically-based mathematical model. Int. J. Sediment Res. 2010, 25, 91–109. [Google Scholar] [CrossRef]
- Dagar, J. Ravines: Formation, Extent, Classification, Evolution and Measures of Prevention and Control; Springer: Singapore, 2018; pp. 19–67. [Google Scholar]
- Wilkinson, S.; Olley, J.; Furuichi, T.; Burton, J.; Kinsey-Henderson, A. Sediment source tracing with stratified sampling and weightings based on spatial gradients in soil erosion. J. Soils Sediments 2015, 15, 2038–2051. [Google Scholar] [CrossRef]
- Azim, F.; Shakir, A.; Habib, R.; Kanwal, A. Impact of climate change on sediment yield for Naran watershed, Pakistan. Int. J. Sediment Res. 2016, 31, 212–219. [Google Scholar] [CrossRef]
- López-Vicente, M.; Navas, A. Relating soil erosion and sediment yield to geomorphic features and erosion processes at the catchment scale in the Spanish Pre-Pyrenees. Environ. Earth Sci. 2010, 61, 143–158. [Google Scholar] [CrossRef]
- Wang, X.; Liu, S.; Ding, Y.; Guo, W.; Jiang, Z.; Lin, J.; Han, Y. An approach for estimating the breach probabilities of moraine-dammed lakes in the Chinese Himalayas using remote-sensing data. Nat. Hazards Earth Syst. 2012, 12, 3109–3122. [Google Scholar] [CrossRef]
- Da Silva, R.; Santos, C.; Dos Santos, J. Evaluation and modeling of runoff and sediment yield for different land covers under simulated rain in a semiarid region of Brazil. Int. J. Sediment Res. 2018, 33, 117–125. [Google Scholar] [CrossRef]
- Ngo, T.; Nguyen, D.; Rajendra, P. Effect of Land Use Change on Runoff and Sediment Yield in Da River Basin of Hoa Binh province, Northwest Vietnam. J. Mt. Sci. 2015, 12, 1051–1064. [Google Scholar] [CrossRef]
- Marden, M.; Rowan, D. The effect of land use on slope failure and sediment generation in the Coromandel region of New Zealand following a major storm in 1995. N. Z. J. For. Sci. 2015, 45, 10. [Google Scholar] [CrossRef]
- Ni, S.; Feng, S.; Wang, J.; Cai, C. Relationship between rill erosion morphology and hydraulic characteristics and sediment yield on artificial soils slope with different textures. Trans. Chin. Soc. Agric. Eng. 2018, 34, 149–156. [Google Scholar]
- Zhang, L.; Li, Z.; Wang, S. Impact of runoff regimes on sediment yield and sediment flow behavior at slope scale. Trans. Chin. Soc. Agric. Eng. 2015, 31, 124–131. [Google Scholar]
- Noori, H.; Karami, H.; Farzin, S.; Siadatmousavi, S.; Mojaradi, B.; Kisi, O. Investigation of RS and GIS techniques on MPSIAC model to estimate soil erosion. Nat. Hazards (Dordr.) 2018, 91, 221–238. [Google Scholar] [CrossRef]
- Chen, Z.; Zhang, B.; Han, Y.; Zuo, Z.; Zhang, X. Modeling Accumulated Volume of Landslides Using Remote Sensing and DTM Data. Remote Sens. 2014, 6, 1514–1537. [Google Scholar] [CrossRef]
- Long, S.; Tong, A.; Yuan, Y.; Li, Z.; Wu, W.; Zhu, C. New Approaches to Processing Ground-Based SAR (GBSAR) Data for Deformation Monitoring. Remote Sens. 2018, 10, 1936. [Google Scholar] [CrossRef]
- Saito, H.; Uchiyama, S.; Hayakawa, Y.; Obanawa, H. Landslides triggered by an earthquake and heavy rainfalls at Aso volcano, Japan, detected by UAS and SFM-MVS photogrammetry. Prog. Earth Planet. Sci. 2018, 5, 15–25. [Google Scholar] [CrossRef]
- Obanawa, H.; Hayakawa, Y. Variations in volumetric erosion rates of bedrock cliffs on a small inaccessible coastal island determined using measurements by an unmanned aerial vehicle with structure-from-motion and terrestrial laser scanning. Prog. Earth Planet. Sci. 2018, 5, 33–43. [Google Scholar] [CrossRef]
- Yang, Z.; Zhao, X.; Chen, M.; Zhang, J.; Yang, Y.; Chen, W.; Bai, X.; Wang, M.; Wu, Q. Characteristics, Dynamic Analyses and Hazard Assessment of Debris Flows in Niumiangou Valley of Wenchuan County. Appl. Sci. 2023, 15, 1161. [Google Scholar] [CrossRef]
- Xue, H.; Wang, G.; Li, T. Review of gravitational erosion researches in the middle reach of Yellow River. Shuikexue Jinzhan 2009, 20, 599–606. [Google Scholar]
- Zhang, G. Several Ideas Related to Soil Erosion Research. Shuikexue Jinzhan 2020, 34, 21–30. [Google Scholar]
- Guo, X.; Cui, P.; Ma, L.; Kong, Y. Triggering Rainfall Characteristics for Debris Flows along Dujiangyan—Wenchuan Highway of Sichuan. Mt. Res. Dev. 2014, 32, 739–764. [Google Scholar]
- Zhou, X.; Pei, L.; Xiang, L. Features of Distribution and Activity of Debris Flow Disasters Along Dujiangyan—Wenchuan Highway after Earthquake. Technol. Highw. Transp. 2013, 4, 5–10. [Google Scholar]
- Han, Y.; Dong, S.; Chen, Z. Assessment of Secondary Mountain Hazards along a Section of the Dujiangyan-Wenchuan Highway. J. Mt. Sci. 2014, 11, 51–65. [Google Scholar] [CrossRef]
- Han, Y.; Liu, H.; Cui, P.; Su, F.; Du, D. Hazard assessment on secondary mountain hazards triggered by the Wenchuan earthquake. J. Appl. Remote Sens. 2009, 3, 30–45. [Google Scholar]
- Han, Y.; Peng, S.; Chen, Z.; Liu, X.; Huang, P.; Dong, S. Disaster Insurance against Secondary Mountain Hazards in 32 Counties Severely Affected by the 2008 Wenchuan Earthquake. IDRiM Journal. 2013, 3, 196–218. [Google Scholar] [CrossRef]
- Li, D.; Xu, X.; Huao, H. Formation conditions and the movement characteristics of “8. 14” giant debris flow in Yingxiu Town, Wenchuan County, Sichuan province. Chin. J. Geol. Hazard Control. 2012, 23, 32–38. [Google Scholar]
- Pearce, A.; Watson, J. Effects of earthquake-induced landslides on sediment budget and transport over a 50-yr period. Geol. 1986, 14, 52–55. [Google Scholar] [CrossRef]
- Yang, Z.; Lan, H.; Zhang, Y.; Guo, C. Research Review on Long-term Activity of Post-earthquake Geohazard in Strong Seismic-disturbed Regions. J. Geomech. 2017, 23, 743–753. [Google Scholar]
- Xiong, K.; Zhan, Y.; Parcharidis, I.; Du, J.; Di, B. Detecting Surface Deformation and Calculating Colluvial Materials: The Case of the 2017 Jiuzhaigou Earthquake. Resour. Environ. Yangtze Basin 2019, 28, 163–169. [Google Scholar]
- Casagli, N.; Cigna, F.; Bianchini, S.; Hölbling, D.; Füreder, P.; Righini, G.; Del, C.; Friedl, B.; Schneiderbauer, S.; Iasio, C.; et al. Landslide mapping and monitoring by using radar and optical remote sensing: Examples from the EC-FP7 project SAFER. Remote Sens. Appl. Soc. Environ. 2016, 4, 92–108. [Google Scholar] [CrossRef]
- Fan, Y.; Yang, S.; Xu, L.; Li, S.; Feng, C.; Liang, B. Real-time monitoring instrument designed for the deformation and sliding period of colluvial landslides. Bull. Eng. Geol. Environ. 2016, 76, 829–838. [Google Scholar] [CrossRef]
- Fraštia, M.; Marčiš, M.; Kopecký, M.; Liščák, P.; Žilka, A. Complex Geodetic and Photogrammetric Monitoring of the Kral’ovany Rock Slide. J. Sustain. 2014, 13, 12–16. [Google Scholar] [CrossRef]
- Peternel, T.; Kumelj, Š.; Oštir, K.; Komac, M. Monitoring the Potoška planina landslide (NW Slovenia) using UAV photogrammetry and tachymetric measurements. Landslides 2017, 14, 395–406. [Google Scholar] [CrossRef]
- Huang, R.; Li, W. Post-earthquake landsliding and long-term impacts in the Wenchuan earthquake area, China. Eng. Geol. 2014, 182, 111–120. [Google Scholar] [CrossRef]
- Fan, X.; Scaringi, G.; Domènech, G.; Yang, F.; Guo, X.; Dai, L.; He, C.; Xu, Q.; Huang, R. Two multi-temporal datasets that track the enhanced landsliding after the 2008 Wenchuan earthquake. Earth Syst. Sci. Data 2019, 11, 35–55. [Google Scholar] [CrossRef]
- Lan, J.; Chen, X. Evolution characteristics of landslides triggered by 2008 Ms8.0 Wenchuan earthquake in Yingxiu area. Seismol. Geol. 2020, 421, 125–146. [Google Scholar]
- Li, N.; Tang, C.; Gong, L.; Yang, C.; Chen, M.; Gan, W. An experimental study of starting characteristics of steep-channel debris flow.a case study of the Futang gully in the Wenchuan County. Acta Geol. Sin. 2020, 94, 634–647. [Google Scholar]
- Chen, X.; Du, F.; Du, Y.; Jiang, L. Research on the Major Gravity Geological Disasters Distribution at Upper Minjiang River Valley. J. Railw. Eng. Soc. 2015, 32, 20–24. [Google Scholar]
- Kadkhodapour, J.; Pourkamali, A.; Taherkhani, B. Mechanism of Foreign Object Damage and Investigating Effect of Particle Parameters on Erosion Rate of a Rough Surface Using Experimental and Numerical Methods. J. Fail. Anal. Prev. 2015, 15, 272–281. [Google Scholar] [CrossRef]
- De, F.; Bezerra, U.; Da, S. Runoff-erosion modeling at micro-watershed scale: A comparison of self-organizing maps structures. Geoenviron. Disasters 2015, 2, 14. [Google Scholar]
- Sassa, K.; Dang, K.; Yanagisawa, H.; He, B. A new landslide-induced tsunami simulation model and its application to the 1792 Unzen-Mayuyama landslide-and-tsunami disaster. Landslides 2016, 13, 1405–1419. [Google Scholar] [CrossRef]
- Cui, S.; Wang, G.; Pei, X.; Huang, R.; Kamai, T. On the initiation and movement mechanisms of a catastrophic landslide triggered by the 2008 Wenchuan (Ms 8.0) earthquake in the epicenter area. Landslides 2017, 14, 805–819. [Google Scholar] [CrossRef]
- Ren, L.; Huang, J.; Huang, Q.; Lei, G.; Cui, W.; Yuan, Y.; Liang, Y. A fractal and entropy-based model for selecting the optimum spatial scale of soil erosion. Arab. J. Geosci. 2018, 11, 161–167. [Google Scholar] [CrossRef]
Disclaimer/Publisher’s Note: The statements, opinions and data contained in all publications are solely those of the individual author(s) and contributor(s) and not of MDPI and/or the editor(s). MDPI and/or the editor(s) disclaim responsibility for any injury to people or property resulting from any ideas, methods, instructions or products referred to in the content. |
© 2023 by the authors. Licensee MDPI, Basel, Switzerland. This article is an open access article distributed under the terms and conditions of the Creative Commons Attribution (CC BY) license (https://creativecommons.org/licenses/by/4.0/).












