An Assessment of Negative Samples and Model Structures in Landslide Susceptibility Characterization Based on Bayesian Network Models
Abstract
1. Introduction
2. Study Area
3. Methodology
3.1. Methodological Framework
3.2. Landslide Mapping and Initiation Points
3.3. PISA-m Classification
3.4. Geomorphic Variables
3.5. Bayesian Network Models
3.5.1. Naïve Bayes
3.5.2. Tree Augmented Naïve Bayes
3.6. Internal and External Validation
4. Results and Analysis
4.1. Multicollinearity Analysis
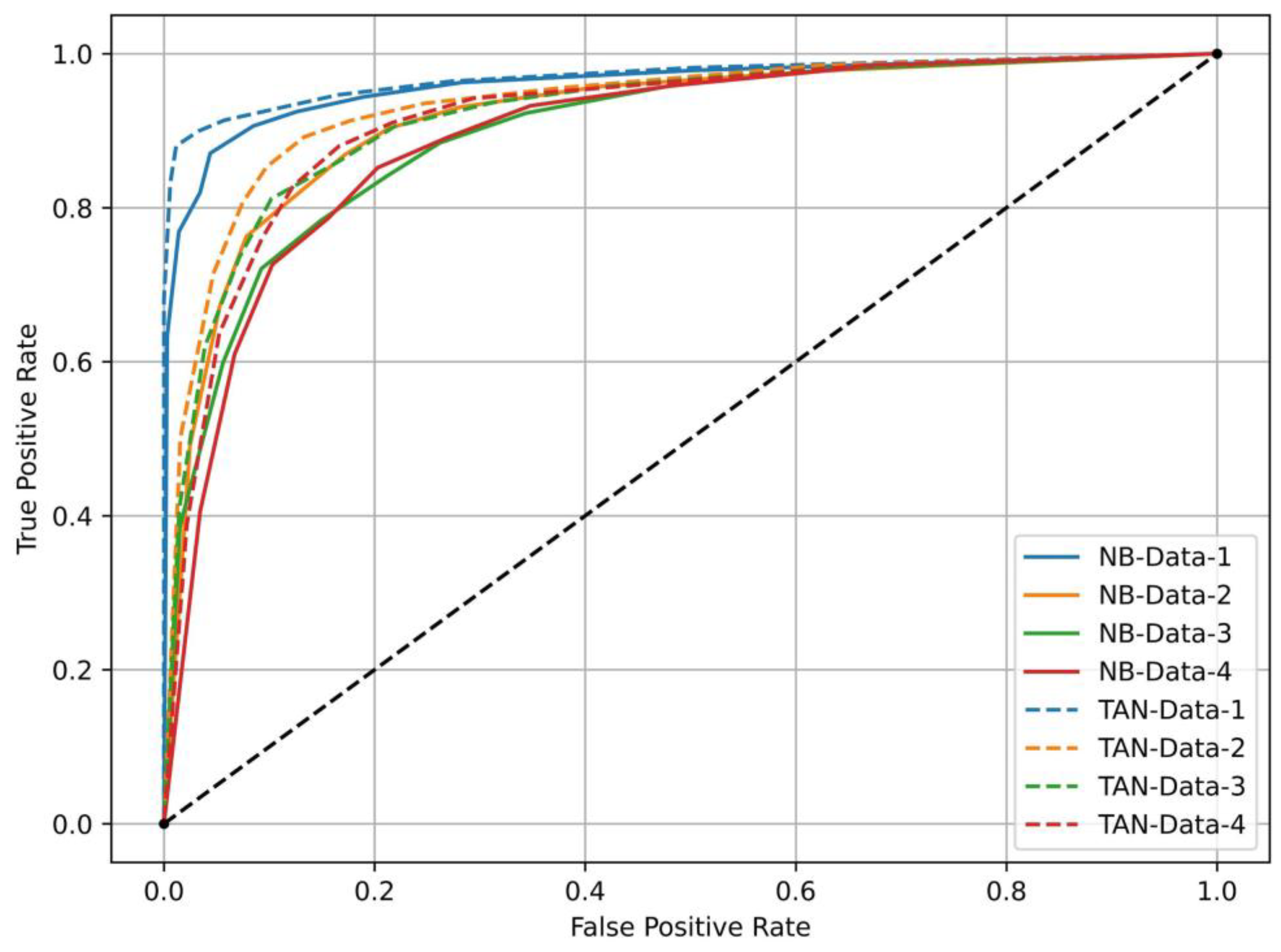
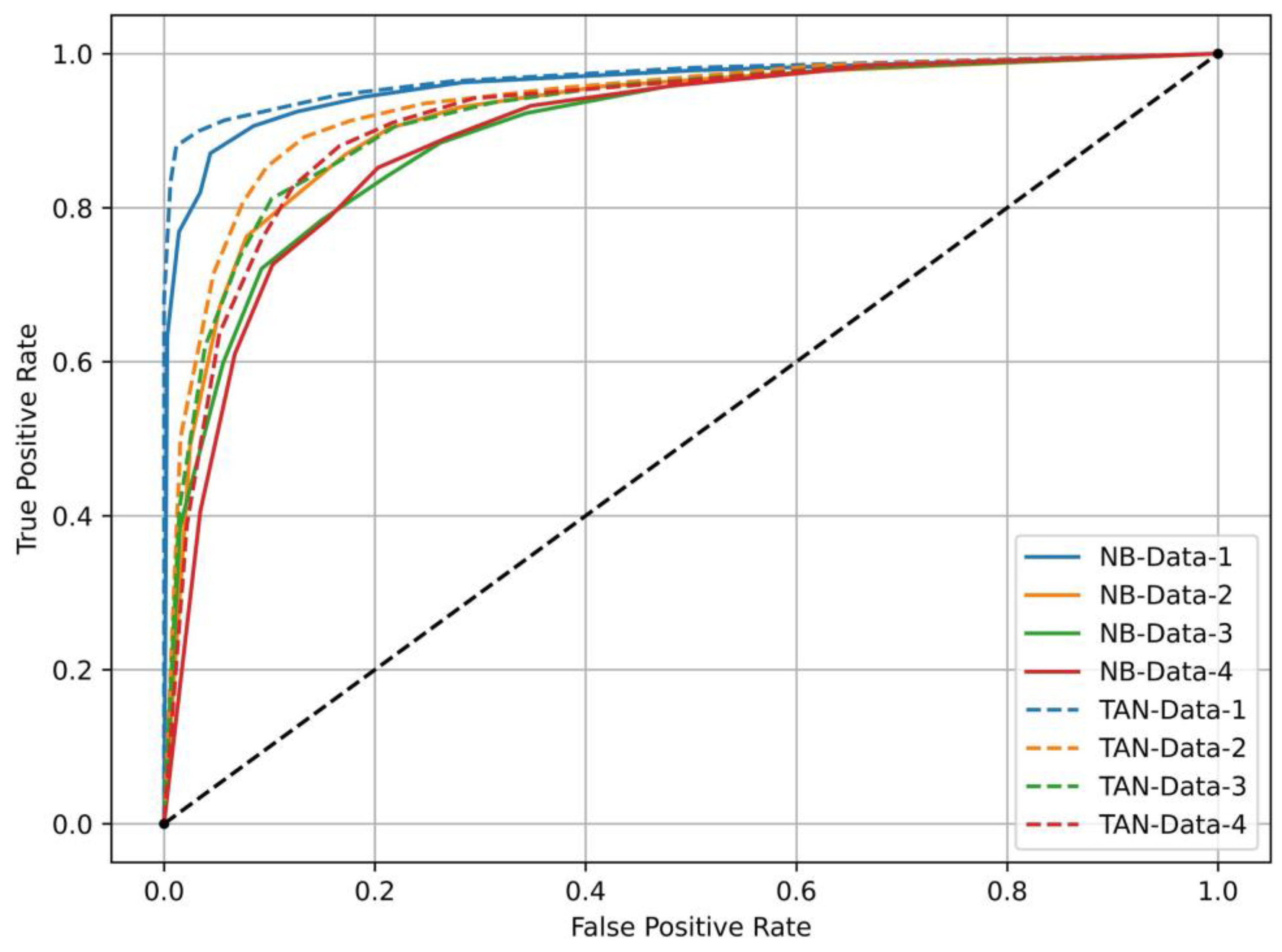
4.2. Model Performance and Validation
4.3. Landslide Susceptibility Maps
4.4. External Validation
5. Discussion
6. Conclusions
Author Contributions
Funding
Data Availability Statement
Acknowledgments
Conflicts of Interest
References
- Farrokhnia, A.; Pirasteh, S.; Pradhan, B.; Pourkermani, M.; Arian, M. A Recent Scenario of Mass Wasting and Its Impact on the Transportation in Alborz Mountains, Iran Using Geo-Information Technology. Arab. J. Geosci. 2011, 4, 1337–1349. [Google Scholar] [CrossRef]
- Froude, M.J.; Petley, D.N. Global Fatal Landslide Occurrence from 2004 to 2016. Nat. Hazards Earth Syst. Sci. 2018, 18, 2161–2181. [Google Scholar] [CrossRef]
- Crawford, M.M. Kentucky Geological Survey Landslide Inventory: From Design to Application. In Kentucky Geological Survey Information Circular; University of Kentucky: Lexington, KY, USA, 2014; Volume 21. [Google Scholar] [CrossRef]
- Crawford, M.M.; Bryson, L.S. Assessment of Active Landslides Using Field Electrical Measurements. Eng. Geol. 2017, 233, 146–159. [Google Scholar] [CrossRef]
- Guzzetti, F.; Reichenbach, P.; Cardinali, M.; Galli, M.; Ardizzone, F. Probabilistic Landslide Hazard Assessment at the Basin Scale. Geomorphology 2005, 72, 272–299. [Google Scholar] [CrossRef]
- Crawford, M.M.; Dortch, J.M.; Koch, H.J.; Killen, A.A.; Zhu, J.; Zhu, Y.; Bryson, L.S.; Haneberg, W.C. Using Landslide-Inventory Mapping for a Combined Bagged-Trees and Logistic-Regression Approach to Determining Landslide Susceptibility in Eastern Kentucky, USA. Q. J. Eng. Geol. Hydrogeol. 2021, 54, qjegh2020-177. [Google Scholar] [CrossRef]
- Bui, D.T.; Tuan, T.A.; Klempe, H.; Pradhan, B.; Revhaug, I. Spatial Prediction Models for Shallow Landslide Hazards: A Comparative Assessment of the Efficacy of Support Vector Machines, Artificial Neural Networks, Kernel Logistic Regression, and Logistic Model Tree. Landslides 2016, 13, 361–378. [Google Scholar]
- Anagnostopoulos, G.G.; Fatichi, S.; Burlando, P. An Advanced Process-Based Distributed Model for the Investigation of Rainfall-Induced Landslides: The Effect of Process Representation and Boundary Conditions. Water Resour. Res. 2015, 51, 7501–7523. [Google Scholar] [CrossRef]
- Alvioli, M.; Baum, R.L. Parallelization of the TRIGRS Model for Rainfall-Induced Landslides Using the Message Passing Interface. Environ. Model. Softw. 2016, 81, 122–135. [Google Scholar] [CrossRef]
- Van Westen, C.; Terlien, M.J.T. An Approach towards Deterministic Landslide Hazard Analysis in GIS. A Case Study from Manizales (Colombia). Earth Surf. Process. Landf. 1996, 21, 853–868. [Google Scholar] [CrossRef]
- Reichenbach, P.; Rossi, M.; Malamud, B.D.; Mihir, M.; Guzzetti, F. A Review of Statistically-Based Landslide Susceptibility Models. Earth Sci. Rev. 2018, 180, 60–91. [Google Scholar] [CrossRef]
- Merghadi, A.; Yunus, A.P.; Dou, J.; Whiteley, J.; ThaiPham, B.; Bui, D.T.; Avtar, R.; Abderrahmane, B. Machine Learning Methods for Landslide Susceptibility Studies: A Comparative Overview of Algorithm Performance. Earth Sci. Rev. 2020, 207, 103225. [Google Scholar] [CrossRef]
- Zhou, X.; Wen, H.; Li, Z.; Zhang, H.; Zhang, W. An Interpretable Model for the Susceptibility of Rainfall-Induced Shallow Landslides Based on SHAP and XGBoost. Geocarto Int. 2022, 37, 13419–23450. [Google Scholar] [CrossRef]
- Sahana, M.; Pham, B.T.; Shukla, M.; Costache, R.; Thu, D.X.; Chakrabortty, R.; Satyam, N.; Nguyen, H.D.; Van Phong, T.; Van Le, H.; et al. Rainfall Induced Landslide Susceptibility Mapping Using Novel Hybrid Soft Computing Methods Based on Multi-Layer Perceptron Neural Network Classifier. Geocarto Int. 2022, 37, 2747–2771. [Google Scholar] [CrossRef]
- Guzzetti, F.; Reichenbach, P.; Ardizzone, F.; Cardinali, M.; Galli, M. Estimating the Quality of Landslide Susceptibility Models. Geomorphology 2006, 81, 166–184. [Google Scholar] [CrossRef]
- Petschko, H.; Brenning, A.; Bell, R.; Goetz, J.; Glade, T. Assessing the Quality of Landslide Susceptibility Maps—Case Study Lower Austria. Nat. Hazards Earth Syst. Sci. 2014, 14, 95–118. [Google Scholar] [CrossRef]
- Tsangaratos, P.; Ilia, I. Comparison of a Logistic Regression and Naïve Bayes Classifier in Landslide Susceptibility Assessments: The Influence of Models Complexity and Training Dataset Size. Catena 2016, 145, 164–179. [Google Scholar] [CrossRef]
- Peng, L.; Niu, R.; Huang, B.; Wu, X.; Zhao, Y.; Ye, R. Landslide Susceptibility Mapping Based on Rough Set Theory and Support Vector Machines: A Case of the Three Gorges Area, China. Geomorphology 2014, 204, 287–301. [Google Scholar] [CrossRef]
- Kavzoglu, T.; Sahin, E.K.; Colkesen, I. Landslide Susceptibility Mapping Using GIS-Based Multi-Criteria Decision Analysis, Support Vector Machines, and Logistic Regression. Landslides 2014, 11, 425–439. [Google Scholar] [CrossRef]
- Hu, Q.; Zhou, Y.; Wang, S.; Wang, F. Machine Learning and Fractal Theory Models for Landslide Susceptibility Mapping: Case Study from the Jinsha River Basin. Geomorphology 2020, 351, 106975. [Google Scholar] [CrossRef]
- Huang, F.; Cao, Z.; Jiang, S.-H.; Zhou, C.; Huang, J.; Guo, Z. Landslide Susceptibility Prediction Based on a Semi-Supervised Multiple-Layer Perceptron Model. Landslides 2020, 17, 2919–2930. [Google Scholar] [CrossRef]
- Dou, J.; Yunus, A.P.; Bui, D.T.; Merghadi, A.; Sahana, M.; Zhu, Z.; Chen, C.-W.; Khosravi, K.; Yang, Y.; Pham, B.T. Assessment of Advanced Random Forest and Decision Tree Algorithms for Modeling Rainfall-Induced Landslide Susceptibility in the Izu-Oshima Volcanic Island, Japan. Sci. Total Environ. 2019, 662, 332–346. [Google Scholar] [CrossRef] [PubMed]
- McDowell, R.C. The Geology of Kentucky: A Text to Accompany the Geologic Map of Kentucky; Professional Paper 1151-H; US Geological Survey: Reston, VA, USA, 1986. [Google Scholar]
- Chapella, H.; Haneberg, W.; Crawford, M.; Shakoor, A. Landslide Inventory and Susceptibility Models, Prestonsburg 7.5-Min Quadrangle, Kentucky, USA. In Proceedings of the IAEG/AEG Annual Meeting Proceedings, San Francisco, CA, USA, 17–21 September 2018; Springer: Cham, Switzerland, 2019; Volume 1, pp. 217–226. [Google Scholar]
- Crawford, M.M.; Dortch, J.M.; Koch, H.J.; Zhu, Y.; Haneberg, W.C.; Wang, Z.; Bryson, L.S. Landslide Risk Assessment in Eastern Kentucky, USA: Developing a Regional Scale, Limited Resource Approach. Remote Sens. 2022, 14, 6246. [Google Scholar] [CrossRef]
- Burns, W.J.; Madin, I.P. Protocol for Inventory Mapping of Landslide Deposits from Light Detection and Ranging (Lidar) Imagery; DOGAMI Special Paper; Oregon Department of Geology and Mineral Industries: Lake County, OR, USA, 2009; Volume 42. [Google Scholar]
- Haneberg, W.C. A Rational Probabilistic Method for Spatially Distributed Landslide Hazard Assessment. Environ. Eng. Geosci. 2004, 10, 27–43. [Google Scholar] [CrossRef]
- Haneberg, W.C. Deterministic and Probabilistic Approaches to Geologic Hazard Assessment. Environ. Eng. Geosci. 2000, 6, 209–226. [Google Scholar] [CrossRef]
- Hammond, C. Level I Stability Analysis (LISA) Documentation for Version 2.0; US Department of Agriculture, Forest Service, Intermountain Research Station: Ogden, UT, USA, 1992; Volume 285. [Google Scholar]
- Van Westen, C.J.; Castellanos, E.; Kuriakose, S.L. Spatial Data for Landslide Susceptibility, Hazard, and Vulnerability Assessment: An Overview. Eng. Geol. 2008, 102, 112–131. [Google Scholar] [CrossRef]
- Tien Bui, D.; Pradhan, B.; Lofman, O.; Revhaug, I. Landslide Susceptibility Assessment in Vietnam Using Support Vector Machines, Decision Tree, and Naive Bayes Models. Math. Probl. Eng. 2012, 2012, 974638. [Google Scholar] [CrossRef]
- Pham, B.T.; Pradhan, B.; Bui, D.T.; Prakash, I.; Dholakia, M.B. A Comparative Study of Different Machine Learning Methods for Landslide Susceptibility Assessment: A Case Study of Uttarakhand Area (India). Environ. Model. Softw. 2016, 84, 240–250. [Google Scholar] [CrossRef]
- Pham, B.T.; Tien Bui, D.; Indra, P.; Dholakia, M. Landslide Susceptibility Assessment at a Part of Uttarakhand Himalaya, India Using GIS–Based Statistical Approach of Frequency Ratio Method. Int. J. Eng. Res. Technol. 2015, 4, 338–344. [Google Scholar]
- Koller, D.; Friedman, N. Probabilistic Graphical Models: Principles and Techniques; MIT Press: Cambridge, MA, USA, 2009. [Google Scholar]
- Cooper, G.F.; Herskovits, E. A Bayesian Method for the Induction of Probabilistic Networks from Data. Mach. Learn. 1992, 9, 309–347. [Google Scholar] [CrossRef]
- Nhu, V.H.; Shirzadi, A.; Shahabi, H.; Singh, S.K.; Al-Ansari, N.; Clague, J.J.; Jaafari, A.; Chen, W.; Miraki, S.; Dou, J.; et al. Shallow Landslide Susceptibility Mapping: A Comparison between Logistic Model Tree, Logistic Regression, Naïve Bayes Tree, Artificial Neural Network, and Support Vector Machine Algorithms. Int. J. Environ. Res. Public Health 2020, 17, 2749. [Google Scholar] [CrossRef]
- Sajadi, P.; Sang, Y.F.; Gholamnia, M.; Bonafoni, S.; Mukherjee, S. Evaluation of the Landslide Susceptibility and Its Spatial Difference in the Whole Qinghai-Tibetan Plateau Region by Five Learning Algorithms. Geosci. Lett. 2022, 9, 9. [Google Scholar] [CrossRef]
- Dey, L.; Chakraborty, S.; Biswas, A.; Bose, B.; Tiwari, S. Sentiment Analysis of Review Datasets Using Naive Bayes and K-NN Classifier. Int. J. Inf. Eng. Electron. Bus. 2016, 8, 54–62. [Google Scholar] [CrossRef]
- Heckerman, D. A Tutorial on Learning with Bayesian Networks; Springer: Dordrecht, The Netherlands, 1998; Volume 89. [Google Scholar]
- Friedman, N.; Geiger, D.; Goldszmidt, M. Bayesian Network Classifiers. Mach. Learn. 1997, 29, 131–163. [Google Scholar] [CrossRef]
- Picard, R.R.; Cook, R.D. Cross-Validation of Regression Models. J. Am. Stat. Assoc. 1984, 79, 575–583. [Google Scholar] [CrossRef]
- Wu, Y.; Ke, Y.; Chen, Z.; Liang, S.; Zhao, H.; Hong, H. Application of Alternating Decision Tree with AdaBoost and Bagging Ensembles for Landslide Susceptibility Mapping. Catena 2020, 187, 104396. [Google Scholar] [CrossRef]
- Lee, S.; Lee, M.-J.; Jung, H.-S.; Lee, S. Landslide Susceptibility Mapping Using Naïve Bayes and Bayesian Network Models in Umyeonsan, Korea. Geocarto Int. 2020, 35, 1665–1679. [Google Scholar] [CrossRef]
- He, Q.; Shahabi, H.; Shirzadi, A.; Li, S.; Chen, W.; Wang, N.; Chai, H.; Bian, H.; Ma, J.; Chen, Y.; et al. Landslide Spatial Modelling Using Novel Bivariate Statistical Based Naïve Bayes, RBF Classifier, and RBF Network Machine Learning Algorithms. Sci. Total Environ. 2019, 663, 1–15. [Google Scholar] [CrossRef]
- Orme, J. Social Work: Gender, Care and Justice. Br. J. Soc. Work. 2002, 32, 799–814. [Google Scholar] [CrossRef]


















| Model-Dataset | Accuracy | AUC | MSE | Precision | Recall | |||||
|---|---|---|---|---|---|---|---|---|---|---|
| Range | Median | Range | Median | Range | Median | Range | Median | Range | Median | |
| TAN-Data-1 | (0.91–0.94) | 0.93 | (0.96–0.98) | 0.969 | (0.06–0.08) | 0.069 | (0.91–0.97) | 0.940 | (0.89–0.94) | 0.916 |
| TAN-Data-2 | (0.86–0.90) | 0.878 | (0.92–0.96) | 0.935 | (0.10–0.14) | 0.120 | (0.84–0.89) | 0.871 | (0.85–0.92) | 0.904 |
| TAN-Data-3 | (0.83–0.87) | 0.846 | (0.90–0.93) | 0.920 | (0.13–0.17) | 0.152 | (0.82–0.87) | 0.835 | (0.82–0.88) | 0.860 |
| TAN-Data-4 | (0.83–0.88) | 0.855 | (0.90–0.93) | 0.915 | (0.12–0.16) | 0.143 | (0.82–0.87) | 0.843 | (0.86–0.90) | 0.880 |
| NB-Data-1 | (0.88–0.93) | 0.911 | (0.95–0.97) | 0.960 | (0.07–0.12) | 0.088 | (0.89–0.94) | 0.912 | (0.87–0.93) | 0.911 |
| NB-Data-2 | (0.82–0.88) | 0.844 | (0.89–0.94) | 0.916 | (0.12–0.18) | 0.155 | (0.80–0.88) | 0.833 | (0.85–0.88) | 0.873 |
| NB-Data-3 | (0.79–0.85) | 0.808 | (0.88–0.91) | 0.897 | (0.15–0.20) | 0.191 | (0.78–0.83) | 0.790 | (0.82–0.87) | 0.835 |
| NB-Data-4 | (0.81–0.84) | 0.820 | (0.88–0.92) | 0.893 | (0.16–0.19) | 0.179 | (0.79–0.84) | 0.801 | (0.83–0.88) | 0.848 |
Disclaimer/Publisher’s Note: The statements, opinions and data contained in all publications are solely those of the individual author(s) and contributor(s) and not of MDPI and/or the editor(s). MDPI and/or the editor(s) disclaim responsibility for any injury to people or property resulting from any ideas, methods, instructions or products referred to in the content. |
© 2023 by the authors. Licensee MDPI, Basel, Switzerland. This article is an open access article distributed under the terms and conditions of the Creative Commons Attribution (CC BY) license (https://creativecommons.org/licenses/by/4.0/).
Share and Cite
Khabiri, S.; Crawford, M.M.; Koch, H.J.; Haneberg, W.C.; Zhu, Y. An Assessment of Negative Samples and Model Structures in Landslide Susceptibility Characterization Based on Bayesian Network Models. Remote Sens. 2023, 15, 3200. https://doi.org/10.3390/rs15123200
Khabiri S, Crawford MM, Koch HJ, Haneberg WC, Zhu Y. An Assessment of Negative Samples and Model Structures in Landslide Susceptibility Characterization Based on Bayesian Network Models. Remote Sensing. 2023; 15(12):3200. https://doi.org/10.3390/rs15123200
Chicago/Turabian StyleKhabiri, Sahand, Matthew M. Crawford, Hudson J. Koch, William C. Haneberg, and Yichuan Zhu. 2023. "An Assessment of Negative Samples and Model Structures in Landslide Susceptibility Characterization Based on Bayesian Network Models" Remote Sensing 15, no. 12: 3200. https://doi.org/10.3390/rs15123200
APA StyleKhabiri, S., Crawford, M. M., Koch, H. J., Haneberg, W. C., & Zhu, Y. (2023). An Assessment of Negative Samples and Model Structures in Landslide Susceptibility Characterization Based on Bayesian Network Models. Remote Sensing, 15(12), 3200. https://doi.org/10.3390/rs15123200

