The Calibration Method of Multi-Channel Spatially Varying Amplitude-Phase Inconsistency Errors in Airborne Array TomoSAR
Abstract
1. Introduction
2. Theory
2.1. The Airborne Array TomoSAR Imaging Model
2.2. Airborne Array TomoSAR Multi-Channel Amplitude-Phase Errors Analysis
3. Method
- Registering multi-channel SLC images of the airborne array TomoSAR system;
- Screening the prominent points with obvious amplitude characteristics and scattering stability from the multi-channel SLC images, and recording the position and complex value information of these points in each channel;
- Extracting the multi-channel amplitude-phase inconsistency information at all prominent points by using subspace decomposition and the maximum interference spectrum method;
- Drawing the amplitude-phase inconsistency of each channel with the range and deleting the outliers;
- Fitting the curve of multi-channel amplitude-phase inconsistency varying with range via the polynomial fitting method;
- Calibrate the multi-channel amplitude-phase inconsistency errors in SLC data via the fitting curve.
3.1. Prominent Points Selection
| Algorithm 1: Prominent Points Selection. |
Input: N channels SLC images Initialization: Preliminary registration of multi-channel images. Perform the following steps at each channel, respectively: Step 1: Select the first k strongest points at each range bin; Step 2: Judge whether the point in the range is the strongest point, or otherwise delete it; Perform the following steps on the points selected above: Step 3: Screen out the points which can be selected in all channels; Step 4: Select the prominent points with stable scattering properties according to Formula (9), and the threshold is set to 0.25; Step 5: Record the position information of all the prominent points at each channel, and read the complex values of these points via interpolation. Output: Output the position and complex value information of the selected prominent points at each channel. |
3.2. Amplitude-Phase Inconsistency Errors Extraction
| Algorithm 2: Amplitude-phase inconsistency errors extraction method based on subspace decomposition and maximum interference spectrum. |
Input: The complex vector of a prominent point at different channels , the multi-channel data after registration of the square area , selected by taking the prominent point as the center with the size of X and Y, channel m is the reference channel. Initialization: Normalized interference phase diagram , . Calculate amplitude inconsistency: Step 1: Calculate covariance matrix ; Step 2: Calculate the eigenvector corresponding to the maximum eigenvalue via the eigenvalue decomposition of .; Step 3: Calculate multi-channel amplitude inconsistency according to Formula (12)∼(15); Calculate phase inconsistency: Step 4: Make a Fourier transform of the interferograms of each channel and the reference channel ; Step 5: Search for the point with the largest amplitude in s and record its complex value and position ; Step 6: Calculate the multi-channel phase inconsistency , where is calculated by: . Output: Output the amplitude-phase inconsistency , . |
4. Experiments and Results
4.1. Experimental System and Data Acquisition
4.2. Experimental Results
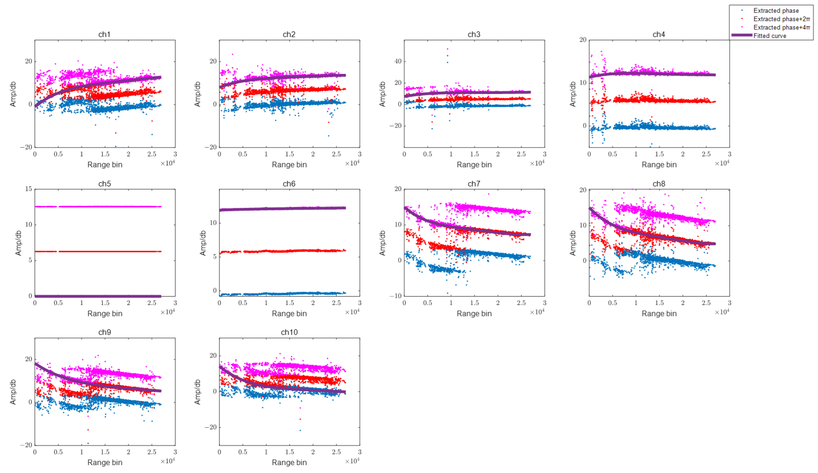
4.2.1. Points Selection and Amplitude-Phase Inconsistency Information Extraction
4.2.2. Three-Dimensional Imaging Results
5. Discussion
6. Conclusions
Author Contributions
Funding
Data Availability Statement
Acknowledgments
Conflicts of Interest
Abbreviations
| SAR | Synthetic aperture radar |
| InSAR | Interferometric synthetic aperture radar |
| TomoSAR | Tomographic synthetic aperture radar |
| DEM | Digital Elevation Model |
| 3D | Three-dimensional |
| SLC | Single-Look-Complex |
| MIMO | Multi-Input Multi-Output |
| 2D | Two-dimensional |
| PGA | Phase gradient autofocus |
| DOA | Direction of Arrival |
| Ch | Channel |
| AIRCAS | Aerospace Information Research Institute, Chinese Academy of Sciences |
| POS | Position and Orientation System |
| IMU | Inertial Measurement Unit |
| OMP | Orthogonal Matching Pursuit |
References
- Wiley, C.A. Synthetic aperture radars. IEEE Trans. Aerosp. Electron. Syst. 1985, 3, 440–443. [Google Scholar] [CrossRef]
- Zebker, H.A.; Goldstein, R.M. Topographic mapping from interferometric synthetic aperture radar observations. J. Geophys. Res. Solid Earth 1986, 91, 4993–4999. [Google Scholar] [CrossRef]
- Wimmer, C.; Siegmund, R.; Schwabisch, M.; Moreira, J. Generation of high precision DEMs of the Wadden Sea with airborne interferometric SAR. IEEE Trans. Geosci. Remote Sens. 2000, 38, 2234–2245. [Google Scholar] [CrossRef]
- Eldhuset, K.; Andersen, P.H.; Hauge, S.; Isaksson, E.; Weydahl, D.J. ERS tandem InSAR processing for DEM generation, glacier motion estimation and coherence analysis on Svalbard. Int. J. Remote Sens. 2003, 24, 1415–1437. [Google Scholar] [CrossRef]
- Hadj-Sahraoui, O.; Fizazi, H.; Berrichi, F.; Chamakhi, D.; Kebir, L.W. High-resolution DEM building with SAR interferometry and high-resolution optical image. IET Image Process. 2019, 13, 713–721. [Google Scholar] [CrossRef]
- Knaell, K.; Cardillo, G. Radar tomography for the generation of three-dimensional images. IEE Proc.-Radar Sonar Navig. 1995, 142, 54–60. [Google Scholar] [CrossRef]
- Klare, J.; Weiß, M.; Peters, O.; Brenner, A.; Ender, J. ARTINO: A new high resolution 3D imaging radar system on an autonomous airborne platform. In Proceedings of the 2006 IEEE International Symposium on Geoscience and Remote Sensing, Denver, CO, USA, 31 July–4 August 2006; pp. 3842–3845. [Google Scholar]
- Li, X.; Zhang, F.; Li, Y.; Guo, Q.; Wan, Y.; Bu, X.; Liu, Y.; Liang, X. An elevation ambiguity resolution method based on segmentation and reorganization of TomoSAR point cloud in 3D mountain reconstruction. Remote Sens. 2021, 13, 5118. [Google Scholar] [CrossRef]
- Rambour, C.; Budillon, A.; Johnsy, A.C.; Denis, L.; Tupin, F.; Schirinzi, G. From interferometric to tomographic SAR: A review of synthetic aperture radar tomography-processing techniques for scatterer unmixing in urban areas. IEEE Geosci. Remote Sens. Mag. 2020, 8, 6–29. [Google Scholar] [CrossRef]
- Omati, M.; Sahebi, M.R.; Aghababaei, H. Evaluation of nonparametric SAR tomography methods for urban building reconstruction. IEEE Geosci. Remote Sens. Lett. 2021, 19, 1–5. [Google Scholar] [CrossRef]
- Peng, X.; Li, X.; Wang, C.; Zhu, J.; Liang, L.; Fu, H.; Du, Y.; Yang, Z.; Xie, Q. SPICE-based SAR tomography over forest areas using a small number of P-band airborne F-SAR images characterized by non-uniformly distributed baselines. Remote Sens. 2019, 11, 975. [Google Scholar] [CrossRef]
- Aghababaei, H.; Ferraioli, G.; Ferro-Famil, L.; Huang, Y.; d’Alessandro, M.M.; Pascazio, V.; Schirinzi, G.; Tebaldini, S. Forest SAR tomography: Principles and applications. IEEE Geosci. Remote Sens. Mag. 2020, 8, 30–45. [Google Scholar] [CrossRef]
- Zhu, X.X.; Montazeri, S.; Gisinger, C.; Hanssen, R.F.; Bamler, R. Geodetic SAR tomography. IEEE Trans. Geosci. Remote Sens. 2015, 54, 18–35. [Google Scholar] [CrossRef]
- Chai, H.; Lv, X.; Yao, J.; Xue, F. Off-grid differential tomographic SAR and its application to railway monitoring. IEEE J. Sel. Top. Appl. Earth Obs. Remote Sens. 2019, 12, 3999–4013. [Google Scholar] [CrossRef]
- Li, X.; Zhang, F.; Liang, X.; Li, Y.; Guo, Q.; Wan, Y.; Bu, X.; Liu, Y. Fourfold Bounce Scattering-Based Reconstruction of Building Backs Using Airborne Array TomoSAR Point Clouds. Remote Sens. 2022, 14, 1937. [Google Scholar] [CrossRef]
- Zhu, X.X.; Bamler, R. Tomographic SAR inversion by L1 -norm regularization—The compressive sensing approach. IEEE Trans. Geosci. Remote Sens. 2010, 48, 3839–3846. [Google Scholar] [CrossRef]
- Wei, S.; Zhang, X. Linear array SAR 3-D imaging based on compressed sensing. J. Astronaut. 2011, 32, 2403–2409. [Google Scholar]
- Zhang, B.; Xu, G.; Yu, H.; Wang, H.; Pei, H.; Hong, W. Array 3-D SAR Tomography Using Robust Gridless Compressed Sensing. IEEE Trans. Geosci. Remote Sens. 2023, 61, 1–13. [Google Scholar] [CrossRef]
- Bu, Y.; Liang, X.; Wang, Y.; Zhang, F.; Li, Y. A unified algorithm for channel imbalance and antenna phase center position calibration of a single-pass multi-baseline TomoSAR system. Remote Sens. 2018, 10, 456. [Google Scholar] [CrossRef]
- Hu, F.; Wang, F.; Ren, Y.; Xu, F.; Qiu, X.; Ding, C.; Jin, Y. Error analysis and 3D reconstruction using airborne array InSAR images. ISPRS J. Photogramm. Remote Sens. 2022, 190, 113–128. [Google Scholar] [CrossRef]
- Tebaldini, S.; Guarnieri, A.M. On the role of phase stability in SAR multibaseline applications. IEEE Trans. Geosci. Remote Sens. 2010, 48, 2953–2966. [Google Scholar] [CrossRef]
- Werner, M.; Haeusler, M. X-SAR/SRTM instrument phase error calibration. In Proceedings of the IGARSS 2001, Scanning the Present and Resolving the Future, IEEE 2001 International Geoscience and Remote Sensing Symposium (Cat. No. 01CH37217), Sydney, NSW, Australia, 9–13 July 2001; pp. 742–744. [Google Scholar]
- Schwerdt, M.; Brautigam, B.; Bachmann, M.; Doring, B.; Schrank, D.; Gonzalez, J.H. Final TerraSAR-X calibration results based on novel efficient methods. IEEE Trans. Geosci. Remote Sens. 2009, 48, 677–689. [Google Scholar] [CrossRef]
- Tebaldini, S.; Rocca, F.; d’Alessandro, M.M.; Ferro-Famil, L. Phase calibration of airborne tomographic SAR data via phase center double localization. IEEE Trans. Geosci. Remote Sens. 2015, 54, 1775–1792. [Google Scholar] [CrossRef]
- Aghababaee, H.; Fornaro, G.; Schirinzi, G. Phase calibration based on phase derivative constrained optimization in multibaseline SAR tomography. IEEE Trans. Geosci. Remote Sens. 2018, 56, 6779–6791. [Google Scholar] [CrossRef]
- Jiao, Z.; Ding, C.; Qiu, X.; Zhou, L.; Guo, J.; Han, D. Channel Imbalance Calibration Method for Airborne TomoSAR System. In Proceedings of the IGARSS 2020—2020 IEEE International Geoscience and Remote Sensing Symposium, Waikoloa, HI, USA, 26 September–2 October 2020; pp. 84–87. [Google Scholar]
- Feng, D.; An, D.; Huang, X.; Li, Y. A phase calibration method based on phase gradient autofocus for airborne holographic SAR imaging. IEEE Geosci. Remote Sens. Lett. 2019, 16, 1864–1868. [Google Scholar] [CrossRef]
- Lu, H.; Zhang, H.; Fan, H.; Liu, D.; Wang, J.; Wan, X.; Zhao, L.; Deng, Y.; Zhao, F.; Wang, R. Forest height retrieval using P-band airborne multi-baseline SAR data: A novel phase compensation method. ISPRS J. Photogramm. Remote Sens. 2021, 175, 99–118. [Google Scholar] [CrossRef]
- Lu, H.; Sun, J.; Wang, J.; Wang, C. A Novel Phase Compensation Method for Urban 3D Reconstruction Using SAR Tomography. Remote Sens. 2022, 14, 4071. [Google Scholar] [CrossRef]
- Wang, J.; Liang, X.; Ding, C.; Chen, L.; Wang, Z.; Li, K. A novel scheme for ambiguous energy suppression in MIMO-SAR systems. IEEE Geosci. Remote Sens. Lett. 2014, 12, 344–348. [Google Scholar] [CrossRef]
- Wei, S.J.; Zhang, X.L.; Shi, J. Compressed sensing Linear array SAR 3-D imaging via sparse locations prediction. In Proceedings of the 2014 IEEE Geoscience and Remote Sensing Symposium, Quebec City, QC, Canada, 13–18 July 2014; pp. 1887–1890. [Google Scholar]
- Norton, K.A.; Omberg, A.C. The maximum range of a radar set. Proc. IRE 1947, 35, 4–24. [Google Scholar] [CrossRef]
- Ferretti, A.; Prati, C.; Rocca, F. Permanent scatterers in SAR interferometry. IEEE Trans. Geosci. Remote Sens. 2001, 39, 8–20. [Google Scholar] [CrossRef]
- Yang, D.S.; Chen, F.; Mo, S.Q. A novel real-valued DOA algorithm based on eigenvalue. Sensors 2019, 20, 40. [Google Scholar] [CrossRef]
- Zhang, F.; Liang, X.; Wu, Y.; Lv, X. 3D surface reconstruction of layover areas in continuous terrain for multi-baseline SAR interferometry using a curve model. Int. J. Remote Sens. 2015, 36, 2093–2112. [Google Scholar] [CrossRef]
- Zhu, X.X.; Wang, Y.; Montazeri, S.; Ge, N. A review of ten-year advances of multi-baseline SAR interferometry using TerraSAR-X data. Remote Sens. 2018, 10, 1374. [Google Scholar] [CrossRef]

















| Parameter | Symbol | Value |
|---|---|---|
| Baseline Length | B | 2 m |
| Number of transmitting antennas | N1 | 2 |
| Number of receiving antennas | N2 | 5 |
| Flight Height | H | 5 km |
| Flight Velocity | v | 100 m/s |
| Polarization | \ | HH |
| Wave Band | \ | 12~18 GHz (Ku) |
| Band Width | 600 MHz |
| Channel | 1 | 2 | 3 | 4 | 5 | 6 | 7 | 8 | 9 | 10 |
|---|---|---|---|---|---|---|---|---|---|---|
| Initial Points | 5258 | 5475 | 5285 | 5581 | 5528 | 5552 | 5586 | 5312 | 5406 | 5328 |
| Final Points | 1714 | 1714 | 1714 | 1714 | 1714 | 1714 | 1714 | 1714 | 1714 | 1714 |
Disclaimer/Publisher’s Note: The statements, opinions and data contained in all publications are solely those of the individual author(s) and contributor(s) and not of MDPI and/or the editor(s). MDPI and/or the editor(s) disclaim responsibility for any injury to people or property resulting from any ideas, methods, instructions or products referred to in the content. |
© 2023 by the authors. Licensee MDPI, Basel, Switzerland. This article is an open access article distributed under the terms and conditions of the Creative Commons Attribution (CC BY) license (https://creativecommons.org/licenses/by/4.0/).
Share and Cite
Wang, D.; Zhang, F.; Chen, L.; Li, Z.; Yang, L. The Calibration Method of Multi-Channel Spatially Varying Amplitude-Phase Inconsistency Errors in Airborne Array TomoSAR. Remote Sens. 2023, 15, 3032. https://doi.org/10.3390/rs15123032
Wang D, Zhang F, Chen L, Li Z, Yang L. The Calibration Method of Multi-Channel Spatially Varying Amplitude-Phase Inconsistency Errors in Airborne Array TomoSAR. Remote Sensing. 2023; 15(12):3032. https://doi.org/10.3390/rs15123032
Chicago/Turabian StyleWang, Dawei, Fubo Zhang, Longyong Chen, Zhenhua Li, and Ling Yang. 2023. "The Calibration Method of Multi-Channel Spatially Varying Amplitude-Phase Inconsistency Errors in Airborne Array TomoSAR" Remote Sensing 15, no. 12: 3032. https://doi.org/10.3390/rs15123032
APA StyleWang, D., Zhang, F., Chen, L., Li, Z., & Yang, L. (2023). The Calibration Method of Multi-Channel Spatially Varying Amplitude-Phase Inconsistency Errors in Airborne Array TomoSAR. Remote Sensing, 15(12), 3032. https://doi.org/10.3390/rs15123032
