Bibliometric Analysis of the Permafrost Research: Developments, Impacts, and Trends
Abstract
1. Introduction
2. Literature Collection and Methods
2.1. Data Collection and Search Strategy
2.2. Bibliometric Analysis
3. Results
3.1. Overall Bibliometric Descriptive Analysis
3.2. Characteristics of Research Categories
3.3. Impacts
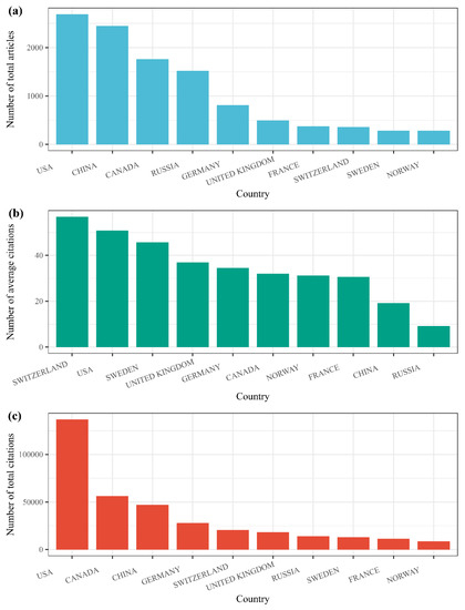
3.3.1. The Impacts of Countries
3.3.2. The Impacts of Institutions
3.3.3. The Impacts of Authors
3.3.4. The Impacts of Journals
3.3.5. The Impacts of Papers
3.4. Trends
4. Discussion
5. Conclusions
Author Contributions
Funding
Data Availability Statement
Acknowledgments
Conflicts of Interest
References
- Mackay, J.R. Downward Water Movement into Frozen Ground, Western Arctic Coast, Canada. Can. J. Earth Sci. 1983, 20, 120–134. [Google Scholar] [CrossRef]
- Zhou, Y.; Guo, D.; Qiu, G.; Cheng, G.; Li, S. Geocryology in China; Science Press: Beijing, China, 2000; ISBN 7-03-008285-0. [Google Scholar]
- Qin, D.; Yao, T.; Ding, Y.; Ren, J. Introduction to Cryospheric Science; Qin, D., Yao, T., Ding, Y., Ren, J., Eds.; Springer Geography; Springer: Singapore, 2021; ISBN 978-981-16-6424-3. [Google Scholar]
- Qin, D.; Yao, T.; Ding, Y.; Ren, J. Glossary of Cryospheric Science; Revised edition; China Meteorological Press: Beijing, China, 2016; ISBN 978-7-5029-6473-3. [Google Scholar]
- Osterkamp, T.E.; Burn, C.R. PERMAFROST. In Encyclopedia of Atmospheric Sciences; Academic Press: Cambridge, MA, USA, 2003; pp. 1717–1729. [Google Scholar] [CrossRef]
- Permafrost|National Geographic Society. Available online: https://education.nationalgeographic.org/resource/permafrost/ (accessed on 15 October 2022).
- Schaefer, K.; Lantuit, H.; Romanovsky, V.E.; Schuur, E.A.G.; Witt, R. The Impact of the Permafrost Carbon Feedback on Global Climate. Environ. Res. Lett. 2014, 9, 085003. [Google Scholar] [CrossRef]
- Dobinski, W. Permafrost. Earth Sci. Rev. 2011, 108, 158–169. [Google Scholar] [CrossRef]
- Arenson, L.U.; Springman, S.M.; Sego, D.C. The Rheology of Frozen Soils. Appl. Rheol. 2007, 17, 1–14. [Google Scholar] [CrossRef]
- Elias, S.A. Alaskan North Slope Coastal Tundra. In Imperiled: The Encyclopedia of Conservation; Elsevier: Amsterdam, The Netherlands, 2022; pp. 151–168. [Google Scholar] [CrossRef]
- Li, J.; Wu, C.; Wu, M.; Zhang, Y.; Ran, Y. Modeling the Start of Frozen Dates with Leaf Senescence over Tibetan Plateau. Remote Sens. Environ. 2022, 281, 113258. [Google Scholar] [CrossRef]
- Finney, D.L. Lightning Threatens Permafrost. Nat. Clim. Chang. 2021, 11, 379–380. [Google Scholar] [CrossRef]
- Biller-Celander, N.; Shakun, J.D.; McGee, D.; Wong, C.I.; Reyes, A.V.; Hardt, B.; Tal, I.; Ford, D.C.; Lauriol, B. Increasing Pleistocene Permafrost Persistence and Carbon Cycle Conundrums Inferred from Canadian Speleothems. Sci. Adv. 2021, 7, eabe5799. [Google Scholar] [CrossRef] [PubMed]
- Schuur, E.A.G.; McGuire, A.D.; Schädel, C.; Grosse, G.; Harden, J.W.; Hayes, D.J.; Hugelius, G.; Koven, C.D.; Kuhry, P.; Lawrence, D.M.; et al. Climate Change and the Permafrost Carbon Feedback. Nature 2015, 520, 171–179. [Google Scholar] [CrossRef]
- Ran, Y.-H.; Li, X.; Che, T.; Wang, B.-Q.; Cheng, G.-D. Current State and Past Changes in Frozen Ground at the Third Pole: A Research Synthesis. Adv. Clim. Chang. Res. 2022, 13, 632–641. [Google Scholar] [CrossRef]
- Zhang, T. Progress in Global Permafrost and Climate Change Studies. Quat. Sci. 2012, 32, 27–38. [Google Scholar] [CrossRef]
- Ran, Y.; Li, X. Progress, Challenges and Opportunities of Permafrost Mapping in China. Adv. Earth Sci. 2019, 34, 1015–1027. [Google Scholar] [CrossRef]
- Revich, B.A.; Eliseev, D.O.; Shaposhnikov, D.A. Risks for Public Health and Social Infrastructure in Russian Arctic under Climate Change and Permafrost Degradation. Atmosphere 2022, 13, 532. [Google Scholar] [CrossRef]
- Serrano Cañadas, E. Periglaciarismo y Permafrost. Polígonos Rev. Geogr. 2016, 28, 28. [Google Scholar] [CrossRef]
- Bordignon, F. A Scientometric Review of Permafrost Research Based on Textual Analysis (1948–2020). Scientometrics 2021, 126, 417–436. [Google Scholar] [CrossRef]
- French, H. Recent Contributions to the Study of Past Permafrost. Permafr. Periglac. Process. 2008, 19, 179–194. [Google Scholar] [CrossRef]
- Abramov, A.; Vishnivetskaya, T.; Rivkina, E. Are Permafrost Microorganisms as Old as Permafrost? FEMS Microbiol. Ecol. 2021, 97, fiaa260. [Google Scholar] [CrossRef] [PubMed]
- Jansson, J.K.; Taş, N. The Microbial Ecology of Permafrost. Nat. Rev. Microbiol. 2014, 12, 414–425. [Google Scholar] [CrossRef] [PubMed]
- Chang, J.; Ye, R.; Wang, G. Review: Progress in Permafrost Hydrogeology in China. Hydrogeol. J. 2018, 26, 1387–1399. [Google Scholar] [CrossRef]
- Walvoord, M.A.; Kurylyk, B.L. Hydrologic Impacts of Thawing Permafrost—A Review. Vadose Zone J. 2016, 15, 1–20. [Google Scholar] [CrossRef]
- Bibi, S.; Wang, L.; Li, X.; Zhou, J.; Chen, D.; Yao, T. Climatic and Associated Cryospheric, Biospheric, and Hydrological Changes on the Tibetan Plateau: A Review. Int. J. Climatol. 2018, 38, e1–e17. [Google Scholar] [CrossRef]
- Jin, H.; Huang, Y.; Bense, V.F.; Ma, Q.; Marchenko, S.S.; Shepelev, V.V.; Hu, Y.; Liang, S.; Spektor, V.V.; Jin, X.; et al. Permafrost Degradation and Its Hydrogeological Impacts. Water 2022, 14, 372. [Google Scholar] [CrossRef]
- Frey, K.E.; McClelland, J.W. Impacts of Permafrost Degradation on Arctic River Biogeochemistry. Hydrol. Process. 2009, 23, 169–182. [Google Scholar] [CrossRef]
- Yang, M.; Nelson, F.E.; Shiklomanov, N.I.; Guo, D.; Wan, G. Permafrost Degradation and Its Environmental Effects on the Tibetan Plateau: A Review of Recent Research. Earth Sci. Rev. 2010, 103, 31–44. [Google Scholar] [CrossRef]
- Jones, B.M.; Grosse, G.; Farquharson, L.M.; Roy-Léveillée, P.; Veremeeva, A.; Kanevskiy, M.Z.; Gaglioti, B.V.; Breen, A.L.; Parsekian, A.D.; Ulrich, M.; et al. Lake and Drained Lake Basin Systems in Lowland Permafrost Regions. Nat. Rev. Earth Environ. 2022, 3, 85–98. [Google Scholar] [CrossRef]
- Jin, H.; Ma, Q. Impacts of Permafrost Degradation on Carbon Stocks and Emissions under a Warming Climate: A Review. Atmosphere 2021, 12, 1425. [Google Scholar] [CrossRef]
- Mackelprang, R.; Saleska, S.R.; Jacobsen, C.S.; Jansson, J.K.; Taş, N. Permafrost Meta-Omics and Climate Change. Annu. Rev. Earth Planet. Sci. 2016, 44, 439–462. [Google Scholar] [CrossRef]
- Nelson, F.E.; Anisimov, O.A.; Shiklomanov, N.I. Climate Change and Hazard Zonation in the Circum-Arctic Permafrost Regions. Nat. Hazards 2002, 26, 203–225. [Google Scholar] [CrossRef]
- Riseborough, D.; Shiklomanov, N.; Etzelmüller, B.; Gruber, S.; Marchenko, S. Recent Advances in Permafrost Modelling. Permafr. Periglac. Process. 2008, 19, 137–156. [Google Scholar] [CrossRef]
- Harris, C.; Arenson, L.U.; Christiansen, H.H.; Etzelmüller, B.; Frauenfelder, R.; Gruber, S.; Haeberli, W.; Hauck, C.; Hölzle, M.; Humlum, O.; et al. Permafrost and Climate in Europe: Monitoring and Modelling Thermal, Geomorphological and Geotechnical Responses. Earth Sci. Rev. 2009, 92, 117–171. [Google Scholar] [CrossRef]
- Gao, H.; Wang, J.; Yang, Y.; Pan, X.; Ding, Y.; Duan, Z. Permafrost Hydrology of the Qinghai-Tibet Plateau: A Review of Processes and Modeling. Front. Earth Sci. 2021, 8, 576838. [Google Scholar] [CrossRef]
- Korte, S.; Gieschen, R.; Stolle, J.; Goseberg, N. Physical Modelling of Arctic Coastlines-Progress and Limitations. Water 2020, 12, 2254. [Google Scholar] [CrossRef]
- Kizyakov, A.I.; Leibman, M.O. Cryogenic Relief-Formation Processes: A Review of 2010 2015 Publications. Earth’s Cryosphere 2016, 20, 45–58. [Google Scholar] [CrossRef]
- Secinaro, S.; Brescia, V.; Calandra, D.; Biancone, P. Employing Bibliometric Analysis to Identify Suitable Business Models for Electric Cars. J. Clean. Prod. 2020, 264, 121503. [Google Scholar] [CrossRef]
- Xu, Y.; Yang, Y.; Chen, X.; Liu, Y. Bibliometric Analysis of Global NDVI Research Trends from 1985 to 2021. Remote Sens. 2022, 14, 3967. [Google Scholar] [CrossRef]
- Ellegaard, O.; Wallin, J.A. The Bibliometric Analysis of Scholarly Production: How Great Is the Impact? Scientometrics 2015, 105, 1809–1831. [Google Scholar] [CrossRef] [PubMed]
- Duan, P.; Wang, Y.; Yin, P. Remote Sensing Applications in Monitoring of Protected Areas: A Bibliometric Analysis. Remote Sens. 2020, 12, 772. [Google Scholar] [CrossRef]
- Zhang, Y.Y.; Thenkabail, P.S.; Wang, P. A Bibliometric Profile of the Remote Sens. Open Access Journal Published by MDPI between 2009 and 2018. Remote Sens. 2019, 11, 91. [Google Scholar] [CrossRef]
- Zhuang, Y.; Liu, X.; Nguyen, T.; He, Q.; Hong, S. Global Remote Sens. Research Trends during 1991–2010: A Bibliometric Analysis. Scientometrics 2013, 96, 203–219. [Google Scholar] [CrossRef]
- Zhang, H.; Huang, M.; Qing, X.; Li, G.; Tian, C. Bibliometric Analysis of Global Remote Sens. Research during 2010–2015. ISPRS Int. J. Geo-Inf. 2017, 6, 332. [Google Scholar] [CrossRef]
- Li, T.; Cui, L.; Xu, Z.; Hu, R.; Joshi, P.K.; Song, X.; Tang, L.; Xia, A.; Wang, Y.; Guo, D.; et al. Quantitative Analysis of the Research Trends and Areas in Grassland Remote Sensing: A Scientometrics Analysis of Web of Science from 1980 to 2020. Remote Sens. 2021, 13, 1279. [Google Scholar] [CrossRef]
- Tamiminia, H.; Salehi, B.; Mahdianpari, M.; Quackenbush, L.; Adeli, S.; Brisco, B. Google Earth Engine for Geo-Big Data Applications: A Meta-Analysis and Systematic Review. ISPRS J. Photogramm. Remote Sens. 2020, 164, 152–170. [Google Scholar] [CrossRef]
- Zhao, Q.; Yu, L.; Du, Z.; Peng, D.; Hao, P.; Zhang, Y.; Gong, P. An Overview of the Applications of Earth Observation Satellite Data: Impacts and Future Trends. Remote Sens. 2022, 14, 1863. [Google Scholar] [CrossRef]
- Zhang, Y.; Chen, Y. Research Trends and Areas of Focus on the Chinese Loess Plateau: A Bibliometric Analysis during 1991–2018. Catena 2020, 194, 104798. [Google Scholar] [CrossRef]
- Li, X.; Li, Y.; Li, G. A Scientometric Review of the Research on the Impacts of Climate Change on Water Quality during 1998–2018. Environ. Sci. Pollut. Res. Int. 2020, 27, 14322–14341. [Google Scholar] [CrossRef] [PubMed]
- He, C.; Tian, J.; Gao, B.; Zhao, Y. Differentiating Climate- and Human-Induced Drivers of Grassland Degradation in the Liao River Basin, China. Environ. Monit. Assess. 2015, 187, 4199. [Google Scholar] [CrossRef]
- Abad-Segura, E.; González-Zamar, M.D.; Vázquez-Cano, E.; López-Meneses, E. Remote Sens. Applied in Forest Management to Optimize Ecosystem Services: Advances in Research. Forests 2020, 11, 969. [Google Scholar] [CrossRef]
- Zhang, H.; Liu, X.; Yi, J.; Yang, X.; Wu, T.; He, Y.; Duan, H.; Liu, M.; Tian, P. Bibliometric Analysis of Research on Soil Water from 1934 to 2019. Water 2020, 12, 1631. [Google Scholar] [CrossRef]
- Reinermann, S.; Asam, S.; Kuenzer, C. Remote Sens. of Grassland Production and Management—A Review. Remote Sens. 2020, 12, 1949. [Google Scholar] [CrossRef]
- Viana, J.; Santos, J.V.; Neiva, R.M.; Souza, J.; Duarte, L.; Teodoro, A.C.; Freitas, A. Remote Sens. in Human Health: A 10-Year Bibliometric Analysis. Remote Sens. 2017, 9, 1225. [Google Scholar] [CrossRef]
- Hu, K.; Qi, K.; Guan, Q.; Wu, C.; Yu, J.; Qing, Y.; Zheng, J.; Wu, H.; Li, X. A Scientometric Visualization Analysis for Night-Time Light Remote Sens. Research from 1991 to 2016. Remote Sens. 2017, 9, 802. [Google Scholar] [CrossRef]
- Liu, J.; Huffman, T.; Qian, B.; Shang, J.; Li, Q.; Dong, T.; Davidson, A.; Jing, Q. Crop Yield Estimation in the Canadian Prairies Using Terra/MODIS-Derived Crop Metrics. IEEE J. Sel. Top. Appl. Earth Obs. Remote. Sens. 2020, 13, 2685–2697. [Google Scholar] [CrossRef]
- Chiu, W.T.; Ho, Y.S. Bibliometric Analysis of Tsunami Research. Scientometrics 2007, 73, 3–17. [Google Scholar] [CrossRef]
- Liu, X.; Zhan, F.B.; Hong, S.; Niu, B.; Liu, Y. A Bibliometric Study of Earthquake Research: 1900–2010. Scientometrics 2012, 92, 747–765. [Google Scholar] [CrossRef]
- Pritchard, A. Statistical Bibliography or Bibliometrics? J. Doc. 1969, 25, 348–349. [Google Scholar]
- Chen, C. Hindsight, Insight, and Foresight: A Multi-Level Structural Variation Approach to the Study of a Scientific Field. Technol. Anal. Strat. Manag. 2013, 25, 619–640. [Google Scholar] [CrossRef]
- Chen, C. Science Mapping: A Systematic Review of the Literature. J. Data Inf. Sci. 2017, 2, 1–40. [Google Scholar] [CrossRef]
- Sánchez-Meca, J.; Marín-Martínez, F. Meta Analysis. In International Encyclopedia of Education; Elsevier: Amsterdam, The Netherlands, 2010; pp. 274–282. [Google Scholar] [CrossRef]
- Zupic, I.; Čater, T. Bibliometric Methods in Management and Organization. Organ. Res. Methods 2014, 18, 429–472. [Google Scholar] [CrossRef]
- Jeffery, S.; Verheijen, F.G.A.; Kammann, C.; Abalos, D. Biochar Effects on Methane Emissions from Soils: A Meta-Analysis. Soil Biol. Biochem. 2016, 101, 251–258. [Google Scholar] [CrossRef]
- Vonk, J.E.; Tank, S.E.; Mann, P.J.; Spencer, R.G.M.; Treat, C.C.; Striegl, R.G.; Abbott, B.W.; Wickland, K.P. Biodegradability of Dissolved Organic Carbon in Permafrost Soils and Aquatic Systems: A Meta-Analysis. Biogeosciences 2015, 12, 6915–6930. [Google Scholar] [CrossRef]
- Masyagina, O.V.; Menyailo, O.V. The Impact of Permafrost on Carbon Dioxide and Methane Fluxes in Siberia: A Meta-Analysis. Environ. Res. 2020, 182, 109096. [Google Scholar] [CrossRef]
- Palmtag, J.; Kuhry, P. Grain Size Controls on Cryoturbation and Soil Organic Carbon Density in Permafrost-Affected Soils. Permafr. Periglac. Process. 2018, 29, 112–120. [Google Scholar] [CrossRef]
- Ren, S.; Ding, J.; Yan, Z.; Cao, Y.; Li, J.; Wang, Y.; Liu, D.; Zeng, H.; Wang, T. Higher Temperature Sensitivity of Soil C Release to Atmosphere From Northern Permafrost Soils as Indicated by a Meta-Analysis. Glob. Biogeochem. Cycles 2020, 34, e2020GB006688. [Google Scholar] [CrossRef]
- Sjöberg, Y.; Siewert, M.B.; Rudy, A.C.A.; Paquette, M.; Bouchard, F.; Malenfant-Lepage, J.; Fritz, M. Hot Trends and Impact in Permafrost Science. Permafr. Periglac. Process. 2020, 31, 461–471. [Google Scholar] [CrossRef]
- Qin, F.; Zhu, Y.; Ao, T.; Chen, T. The Development Trend and Research Frontiers of Distributed Hydrological Models—Visual Bibliometric Analysis Based on Citespace. Water 2021, 13, 174. [Google Scholar] [CrossRef]
- Li, N.; Jia, X.; Mao, W.; Ma, J. Global Development Tendency of the Frozen Soil (Permafrost) Study Based on Bibliometrical Analysis from 2012 to 2016. J. Glaciol. Geocryol. 2019, 41, 740–748. [Google Scholar] [CrossRef]
- Jiang, Y.; Wu, S.; Yang, L.; Zhou, T.; Du, J.; Liu, Y. Research Trend of Permafrost Microorganisms Based on Bibliometrics. Microbiol. China 2022, 49, 2388–2402. [Google Scholar] [CrossRef]
- Gu, Y.; Lu, Z.; Yao, J. Atlas Analysis of 30 Years of Arctic Environmental Research Trends Using Citespace. Chin. J. Polar Res. 2021, 33, 432–450. [Google Scholar] [CrossRef]
- Rafols, I.; Porter, A.L.; Leydesdorff, L. Science Overlay Maps: A New Tool for Research Policy and Library Management. J. Am. Soc. Inf. Sci. Technol. 2010, 61, 1871–1887. [Google Scholar] [CrossRef]
- Leydesdorff, L.; Carley, S.; Rafols, I. Global Maps of Science Based on the New Web-of-Science Categories. Scientometrics 2013, 94, 589–593. [Google Scholar] [CrossRef]
- Web of Science Core Collection. Available online: http://webofscience.help.clarivate.com/en-us/Content/wos-core-collection/wos-core-collection.htm (accessed on 17 October 2022).
- Lee-Smith, W. LibGuides: Citation Analysis: Web of Science (Formerly ISI Citation Indexes). Available online: https://libguides.utoledo.edu/citation/wos (accessed on 17 October 2022).
- R 4.2.1 for Windows. Available online: https://cran.r-project.org/bin/windows/base/README.R-4.2.1 (accessed on 17 October 2022).
- Cuccurullo, C.; Aria, M.; Sarto, F. Foundations and Trends in Performance Management. A Twenty-Five Years Bibliometric Analysis in Business and Public Administration Domains. Scientometrics 2016, 108, 595–611. [Google Scholar] [CrossRef]
- Firdaus, A.; Razak, M.F.A.; Feizollah, A.; Hashem, I.A.T.; Hazim, M.; Anuar, N.B. The Rise of “Blockchain”: Bibliometric Analysis of Blockchain Study. Scientometrics 2019, 120, 1289–1331. [Google Scholar] [CrossRef]
- Aria, M.; Cuccurullo, C. Bibliometrix: An R-Tool for Comprehensive Science Mapping Analysis. J. Inf. 2017, 11, 959–975. [Google Scholar] [CrossRef]
- VOSviewer–Visualizing Scientific Landscapes. Available online: https://www.vosviewer.com/ (accessed on 17 October 2022).
- Perianes-Rodriguez, A.; Waltman, L.; van Eck, N.J. Constructing Bibliometric Networks: A Comparison between Full and Fractional Counting. J. Inf. 2016, 10, 1178–1195. [Google Scholar] [CrossRef]
- van Eck, N.J.; Waltman, L. Software Survey: VOSviewer, a Computer Program for Bibliometric Mapping. Scientometrics 2010, 84, 523–538. [Google Scholar] [CrossRef] [PubMed]
- Demangeot, J. The Discovery of a Permafrost in Relation to a Reticulated Soil in Oisans. Comptes Rendus Hebd. Seances L Acad. Sci. 1942, 215, 493–495. [Google Scholar]
- Elango, B.; Rajendran, P. Authorship Trends and Collaboration Pattern in the Marine Sciences Literature: A Scientometric Study. Int. J. Inf. Dissem. Technol. 2012, 2, 166–169. [Google Scholar]
- Hirsch, J.E. An Index to Quantify an Individual’s Scientific Research Output. Proc. Natl. Acad. Sci. USA 2005, 102, 16569–16572. [Google Scholar] [CrossRef]
- Rousseau, R.; Leuven, K.U. Reflections on Recent Developments of the H-Index and h-Type Indices. Collnet J. Scientometr. Inf. Manag. 2008, 2, 1–8. [Google Scholar] [CrossRef]
- Egghe, L. Theory and Practise of the G-Index. Scientometrics 2013, 69, 131–152. [Google Scholar] [CrossRef]
- Garg, K.; Ranjan, M.; Krishna, V.; Singh, M.; Rezai, A. A Scientometric Analysis of the 100 Most Cited Articles on Magnetic Resonance Guided Focused Ultrasound. Front. Hum. Neurosci. 2022, 16, 622. [Google Scholar] [CrossRef]
- Bornmann, L.; Mutz, R.; Daniel, H.D. Are There Better Indices for Evaluation Purposes than the h Index? A Comparison of Nine Different Variants of the h Index Using Data from Biomedicine. J. Am. Soc. Inf. Sci. Technol. 2008, 59, 830–837. [Google Scholar] [CrossRef]
- Egghe, L.; Rousseau, R. An Informetric Model for the Hirsch-Index. Scientometrics 2013, 69, 121–129. [Google Scholar] [CrossRef]
- Wan, H.; Tan, Z.; Lu, J.; Zhu, X. Summary of the Evolution of Citation Analysis Research: 2001–2014. Libr. Inf. Serv. 2015, 59, 120–136. [Google Scholar] [CrossRef]
- Cooley, S.W.; Smith, L.C.; Stepan, L.; Mascaro, J. Tracking Dynamic Northern Surface Water Changes with High-Frequency Planet CubeSat Imagery. Remote Sens. 2017, 9, 1306. [Google Scholar] [CrossRef]
- Nitze, I.; Grosse, G.; Jones, B.M.; Arp, C.D.; Ulrich, M.; Fedorov, A.; Veremeeva, A. Landsat-Based Trend Analysis of Lake Dynamics across Northern Permafrost Regions. Remote Sens. 2017, 9, 640. [Google Scholar] [CrossRef]
- Muster, S.; Heim, B.; Abnizova, A.; Boike, J. Water Body Distributions Across Scales: A Remote Sens. Based Comparison of Three Arctic Tundra Wetlands. Remote Sens. 2013, 5, 1498–1523. [Google Scholar] [CrossRef]
- Chu, T.; Guo, X. Remote Sensing Techniques in Monitoring Post-Fire Effects and Patterns of Forest Recovery in Boreal Forest Regions: A Review. Remote Sens. 2013, 6, 470–520. [Google Scholar] [CrossRef]
- Kääb, A.; Winsvold, S.H.; Altena, B.; Nuth, C.; Nagler, T.; Wuite, J. Glacier Remote Sensing Using Sentinel-2. Part I: Radiometric and Geometric Performance, and Application to Ice Velocity. Remote Sens. 2016, 8, 598. [Google Scholar] [CrossRef]
- Reschke, J.; Bartsch, A.; Schlaffer, S.; Schepaschenko, D. Capability of C-Band SAR for Operational Wetland Monitoring at High Latitudes. Remote Sens. 2012, 4, 2923–2943. [Google Scholar] [CrossRef]
- Barnhart, T.B.; Crosby, B.T. Comparing Two Methods of Surface Change Detection on an Evolving Thermokarst Using High-Temporal-Frequency Terrestrial Laser Scanning, Selawik River, Alaska. Remote Sens. 2013, 5, 2813–2837. [Google Scholar] [CrossRef]
- van der Sluijs, J.; Kokelj, S.V.; Fraser, R.H.; Tunnicliffe, J.; Lacelle, D. Permafrost Terrain Dynamics and Infrastructure Impacts Revealed by UAV Photogrammetry and Thermal Imaging. Remote Sens. 2018, 10, 1734. [Google Scholar] [CrossRef]
- Zhang, W.; Witharana, C.; Liljedahl, A.K.; Kanevskiy, M. Deep Convolutional Neural Networks for Automated Characterization of Arctic Ice-Wedge Polygons in Very High Spatial Resolution Aerial Imagery. Remote Sens. 2018, 10, 1487. [Google Scholar] [CrossRef]
- Bartsch, A.; Hofler, A.; Kroisleitner, C.; Trofaier, A.M. Land Cover Mapping in Northern High Latitude Permafrost Regions with Satellite Data: Achievements and Remaining Challenges. Remote Sens. 2016, 8, 979. [Google Scholar] [CrossRef]
- Venable, G.T.; Shepherd, B.A.; Loftis, C.M.; McClatchy, S.G.; Roberts, M.L.; Fillinger, M.E.; Tansey, J.B.; Klimo, P. Bradford’s Law: Identification of the Core Journals for Neurosurgery and Its Subspecialties. J. Neurosurg. 2016, 124, 569–579. [Google Scholar] [CrossRef] [PubMed]
- Aria, M.; Misuraca, M.; Spano, M. Mapping the Evolution of Social Research and Data Science on 30 Years of Social Indicators Research. Soc. Indic. Res. 2020, 149, 803–831. [Google Scholar] [CrossRef]
- Tamocai, C.; Canadell, J.G.; Schuur, E.A.G.; Kuhry, P.; Mazhitova, G.; Zimov, S. Soil Organic Carbon Pools in the Northern Circumpolar Permafrost Region. Glob. Biogeochem. Cycles 2009, 23, GB2023. [Google Scholar] [CrossRef]
- Schuur, E.A.G.; Bockheim, J.; Canadell, J.G.; Euskirchen, E.; Field, C.B.; Goryachkin, S.V.; Hagemann, S.; Kuhry, P.; Lafleur, P.M.; Lee, H.; et al. Vulnerability of Permafrost Carbon to Climate Change: Implications for the Global Carbon Cycle. Bioscience 2008, 58, 701–714. [Google Scholar] [CrossRef]
- Hugelius, G.; Strauss, J.; Zubrzycki, S.; Harden, J.W.; Schuur, E.A.G.; Ping, C.L.; Schirrmeister, L.; Grosse, G.; Michaelson, G.J.; Koven, C.D.; et al. Estimated Stocks of Circumpolar Permafrost Carbon with Quantified Uncertainty Ranges and Identified Data Gaps. Biogeosciences 2014, 11, 6573–6593. [Google Scholar] [CrossRef]
- Schuur, E.A.G.; Vogel, J.G.; Crummer, K.G.; Lee, H.; Sickman, J.O.; Osterkamp, T.E. The Effect of Permafrost Thaw on Old Carbon Release and Net Carbon Exchange from Tundra. Nature 2009, 459, 556–559. [Google Scholar] [CrossRef]
- Zimov, S.A.; Schuur, E.A.G.; Stuart Chapin, F. Permafrost and the Global Carbon Budget. Science 2006, 312, 1612–1613. [Google Scholar] [CrossRef]
- Jorgenson, M.T.; Shur, Y.L.; Pullman, E.R. Abrupt Increase in Permafrost Degradation in Arctic Alaska. Geophys. Res. Lett. 2006, 33, 2503. [Google Scholar] [CrossRef]
- Serreze, M.C.; Walsh, J.E.; Chapin, F.S.; Osterkamp, T.; Dyurgerov, M.; Romanovsky, V.; Oechel, W.C.; Morison, J.; Zhang, T.; Barry, R.G. Observational Evidence of Recent Change in the Northern High-Latitude Environment. Climatic. Chang. 2000, 46, 159–207. [Google Scholar] [CrossRef]
- Hinzman, L.D.; Bettez, N.D.; Bolton, W.R.; Chapin, F.S.; Dyurgerov, M.B.; Fastie, C.L.; Griffith, B.; Hollister, R.D.; Hope, A.; Huntington, H.P.; et al. Evidence and Implications of Recent Climate Change in Northern Alaska and Other Arctic Regions. Climatic. Chang. 2005, 72, 251–298. [Google Scholar] [CrossRef]
- Jorgenson, M.T.; Racine, C.H.; Walters, J.C.; Osterkamp, T.E. Permafrost Degradation and Ecological Changes Associated with a WarmingClimate in Central Alaska. Climatic. Chang. 2001, 48, 551–579. [Google Scholar] [CrossRef]
- Davidson, E.A.; Janssens, I.A. Temperature Sensitivity of Soil Carbon Decomposition and Feedbacks to Climate Change. Nature 2006, 440, 165–173. [Google Scholar] [CrossRef]
- Schmidt, M.W.I.; Torn, M.S.; Abiven, S.; Dittmar, T.; Guggenberger, G.; Janssens, I.A.; Kleber, M.; Kögel-Knabner, I.; Lehmann, J.; Manning, D.A.C.; et al. Persistence of Soil Organic Matter as an Ecosystem Property. Nature 2011, 478, 49–56. [Google Scholar] [CrossRef]
- Gorham, E. Northern Peatlands: Role in the Carbon Cycle and Probable Responses to Climatic Warming. Ecol. Appl. 1991, 1, 182–195. [Google Scholar] [CrossRef]
- Tranvik, L.J.; Downing, J.A.; Cotner, J.B.; Loiselle, S.A.; Striegl, R.G.; Ballatore, T.J.; Dillon, P.; Finlay, K.; Fortino, K.; Knoll, L.B.; et al. Lakes and Reservoirs as Regulators of Carbon Cycling and Climate. Limnol. Oceanogr. 2009, 54, 2298–2314. [Google Scholar] [CrossRef]
- Dcosta, V.M.; King, C.E.; Kalan, L.; Morar, M.; Sung, W.W.L.; Schwarz, C.; Froese, D.; Zazula, G.; Calmels, F.; Debruyne, R.; et al. Antibiotic Resistance Is Ancient. Nature 2011, 477, 457–461. [Google Scholar] [CrossRef]
- MacLean, R.; Oswood, M.W.; Irons, J.G.; McDowell, W.H. The effect of permafrost on stream biogeochemistry: A case study of two streams in the Alaskan (U.S.A.) taiga. Biogeochemistry 1999, 47. [Google Scholar] [CrossRef]
- Li, R.; Zhang, M.; Pei, W.; Melnikov, A.; Zhang, Z.; Li, G. Risk Evaluation of Thaw Settlement Using Machine Learning Models for the Wudaoliang-Tuotuohe Region, Qinghai-Tibet Plateau. Catena 2023, 220, 106700. [Google Scholar] [CrossRef]
- Campbell, S.W.; Briggs, M.; Roy, S.G.; Douglas, T.A.; Saari, S. Ground-Penetrating Radar, Electromagnetic Induction, Terrain, and Vegetation Observations Coupled with Machine Learning to Map Permafrost Distribution at Twelvemile Lake, Alaska. Permafr. Periglac. Process. 2021, 32, 407–426. [Google Scholar] [CrossRef]
- Baral, P.; Haq, M.A. Spatial Prediction of Permafrost Occurrence in Sikkim Himalayas Using Logistic Regression, Random Forests, Support Vector Machines and Neural Networks. Geomorphology 2020, 371, 107331. [Google Scholar] [CrossRef]
- Deluigi, N.; Lambiel, C.; Kanevski, M. Data-Driven Mapping of the Potential Mountain Permafrost Distribution. Sci. Total Environ. 2017, 590–591, 370–380. [Google Scholar] [CrossRef]
- Yin, G.; Luo, J.; Niu, F.; Lin, Z.; Liu, M. Machine Learning-Based Thermokarst Landslide Susceptibility Modeling across the Permafrost Region on the Qinghai-Tibet Plateau. Landslides 2021, 18, 2639–2649. [Google Scholar] [CrossRef]
- Ni, J.; Wu, T.; Zhu, X.; Hu, G.; Zou, D.; Wu, X.; Li, R.; Xie, C.; Qiao, Y.; Pang, Q.; et al. Simulation of the Present and Future Projection of Permafrost on the Qinghai-Tibet Plateau with Statistical and Machine Learning Models. J. Geophys. Res. Atmos. 2021, 126, e2020JD033402. [Google Scholar] [CrossRef]
- Du, Q.; Li, G.; Chen, D.; Zhou, Y.; Qi, S.; Wu, G.; Chai, M.; Tang, L.; Jia, H.; Peng, W. SBAS-InSAR-Based Analysis of Surface Deformation in the Eastern Tianshan Mountains, China. Front. Earth Sci. 2021, 9, 962. [Google Scholar] [CrossRef]
- Du, Q.; Li, G.; Zhou, Y.; Chai, M.; Chen, D.; Qi, S.; Wu, G. Deformation Monitoring in an Alpine Mining Area in the Tianshan Mountains Based on SBAS-InSAR Technology. Adv. Mater. Sci. Eng. 2021, 2021, 9988017. [Google Scholar] [CrossRef]
- Singhroy, V.; Alasset, P.J.; Couture, R.; Poneos, V. InSAR Monitoring of Landslides on Permafrost Terrain in Canada. In Proceedings of the 2007 IEEE International Geoscience and Remote Sensing Symposium, Barcelona, Spain, 23–28 July 2007; pp. 2451–2454. [Google Scholar] [CrossRef]
- Eppler, J.; Kubanski, M.; Sharma, J.; Busler, J. HIGH TEMPORAL RESOLUTION PERMAFROST MONITORING USING A MULTIPLE STACK INSAR TECHNIQUE. Int. Arch. Photogramm. Remote Sens. Spat. Inf. Sci. 2015, XL-7-W3, 1171–1176. [Google Scholar] [CrossRef][Green Version]
- Rouyet, L.; Lauknes, T.R.; Christiansen, H.H.; Strand, S.M.; Larsen, Y. Seasonal Dynamics of a Permafrost Landscape, Adventdalen, Svalbard, Investigated by InSAR. Remote Sens. Environ. 2019, 231, 111236. [Google Scholar] [CrossRef]
- Shestakova, A.A.; Fedorov, A.N.; Torgovkin, Y.I.; Konstantinov, P.Y.; Vasyliev, N.F.; Kalinicheva, S.V.; Samsonova, V.V.; Hiyama, T.; Iijima, Y.; Park, H.; et al. Mapping the Main Characteristics of Permafrost on the Basis of a Permafrost-Landscape Map of Yakutia Using GIS. Land 2021, 10, 462. [Google Scholar] [CrossRef]
- Streletskiy, D.; Shiklomanov, N.; Nelson, F. Permafrost, Infrastructure, and Climate Change: A GIS-Based Landscape Approach to Geotechnical Modeling. Arct. Antarct. Alp. Res. 2012, 44, 368–380. [Google Scholar] [CrossRef]
- Li, X.; Cheng, G. A GIS-Aided Response Model of High-Altitude Permafrost to Global Change. Sci. China Ser. D Earth Sci. 1999, 42, 72–79. [Google Scholar] [CrossRef]
- Campbell, S.; Affleck, R.T.; Sinclair, S. Ground-Penetrating Radar Studies of Permafrost, Periglacial, and near-Surface Geology at McMurdo Station, Antarctica. Cold Reg. Sci. Technol. 2018, 148, 38–49. [Google Scholar] [CrossRef]
- Du, E.; Zhao, L.; Zou, D.; Li, R.; Wang, Z.; Wu, X.; Hu, G.; Zhao, Y.; Liu, G.; Sun, Z. Soil Moisture Calibration Equations for Active Layer GPR Detection—A Case Study Specially for the Qinghai—Tibet Plateau Permafrost Regions. Remote Sens. 2020, 12, 605. [Google Scholar] [CrossRef]
- Qi, S.; Li, G.; Chen, D.; Chai, M.; Zhou, Y.; Du, Q.; Cao, Y.; Tang, L.; Jia, H. Damage Properties of the Block-Stone Embankment in the Qinghai–Tibet Highway Using Ground-Penetrating Radar Imagery. Remote Sens. 2022, 14, 2950. [Google Scholar] [CrossRef]
- Zhao, X.; Wang, C.; Zhang, H.; Tang, Y.; Zhang, B.; Li, L. Inversion of Seismic Source Parameters from Satellite InSAR Data Based on Deep Learning. Tectonophysics 2021, 821, 229140. [Google Scholar] [CrossRef]
- Aguiar, P.; Cunha, A.; Bakon, M.; Ruiz-Armenteros, A.M.; Sousa, J.J. Multivariate Outlier Detection in Postprocessing of Multi-Temporal PS-InSAR Results Using Deep Learning. Procedia Comput. Sci. 2021, 181, 1146–1153. [Google Scholar] [CrossRef]
- Li, L.; Zhang, H.; Tang, Y.; Wang, C.; Gu, F. InSAR Phase Unwrapping by Deep Learning Based on Gradient Information Fusion. IEEE Geosci. Remote Sens. Lett. 2022, 19, 4502305. [Google Scholar] [CrossRef]
- Ding, Z.; Niu, F.; Li, G.; Mu, Y.; Chai, M.; He, P. The Outburst of a Lake and Its Impacts on Redistribution of Surface Water Bodies in High-Altitude Permafrost Region. Remote Sens. 2022, 14, 2918. [Google Scholar] [CrossRef]
- Andrews, J.E. An Author Co-Citation Analysis of Medical Informatics. J. Med. Libr. Assoc. 2003, 91, 47–56. [Google Scholar]
- Pegoraro, E.F.; Mauritz, M.E.; Ogle, K.; Ebert, C.H.; Schuur, E.A.G. Lower Soil Moisture and Deep Soil Temperatures in Thermokarst Features Increase Old Soil Carbon Loss after 10 Years of Experimental Permafrost Warming. Glob. Chang. Biol. 2021, 27, 1293–1308. [Google Scholar] [CrossRef]
- Milner, A.M.; Oswood, M.W.; Munkittrick, K.R. Rivers of Arctic North America; Academic Press: Burlington, NJ, USA, 2005; ISBN 978-0-12-088253-3. pp. 902–937. [Google Scholar] [CrossRef]
- Tedrow, J.C.F. Polar Soils. Encycl. Soils Environ. 2004, 4, 239–249. [Google Scholar] [CrossRef]
- Ping, C.L. Cold-Region Soils. Encycl. Soils Environ. 2004, 4, 268–276. [Google Scholar] [CrossRef]
- Liu, L.; Schaefer, K.; Zhang, T.; Wahr, J. Estimating 1992–2000 Average Active Layer Thickness on the Alaskan North Slope from Remotely Sensed Surface Subsidence. J. Geophys. Res. Earth Surf. 2012, 117. [Google Scholar] [CrossRef]
- Taber, S. Perennially Frozen Ground in Alaska: Its Origin and History. GSA Bull. 1943, 54, 1433–1548. [Google Scholar] [CrossRef]
- Zhang, L.; Zhang, K.; Zhao, Y.; Zhang, Z. Impact of Article Similarity on Citation Counts during Researchers’ Career Development. J. Libr. Sci. China 2017, 43, 93–113. [Google Scholar] [CrossRef]
- Cao, T.; Han, D.; Song, X. Past, Present, and Future of Global Seawater Intrusion Research: A Bibliometric Analysis. J. Hydrol. 2021, 603, 126844. [Google Scholar] [CrossRef]
- Anwar, M.A.; Zhang, Q.; Asmi, F.; Hussain, N.; Plantinga, A.; Zafar, M.W.; Sinha, A. Global Perspectives on Environmental Kuznets Curve: A Bibliometric Review. Gondwana Res. 2022, 103, 135–145. [Google Scholar] [CrossRef]
- Azima, M.; Seyis, S. Science Mapping the Knowledge Domain of Energy Performance Research in the AEC Industry: A Scientometric Analysis. Energy 2022, 264, 125938. [Google Scholar] [CrossRef]












| References | Methodology | Field |
|---|---|---|
| Jeffery et al., 2016. [65] | Meta-analysis | Methane emissions |
| Vonk et al., 2015. [66] | Meta-analysis | Organic carbon |
| Masyagina and Menyailo, 2020. [67] | Meta-analysis | Carbon dioxide and methane fluxes |
| Palmtag and Kuhry. [68] | Meta-analysis | Soil organic carbon |
| Ren et al., 2020. [69] | Meta-analysis | Soil C release |
| Bordignon, 2020. [20] | Lexicometric analysis | Permafrost |
| Sjöberg et al., 2020. [70] | Bibliometric | Permafrost |
| Qin et al., 2021. [71] | Bibliometric | Distributed hydrological models—visual |
| Li et al., 2019. [72] | Bibliometric | Frozen soil (permafrost) |
| Jiang et al., 2022. [73] | Bibliometric | Permafrost micro-organisms |
| Gu et al., 2021. [74] | Bibliometric | Arctic environment |
| This paper | Bibliometric and scientometrics | Permafrost |
| Elements | Description | Results |
|---|---|---|
| Timespan | A period with the min and max published year of the literatures | 1942 to 2021 |
| Documents | The total number of the literature collected | 13,697 |
| Sources | Statistical frequency distribution of literature sources (e.g., journals, books) | 1910 |
| References | The total number of references cited from the literature collection | 294,686 |
| Author’s Keywords (DE) | The total number of the keywords obtained from the literature | 19,139 |
| Keywords Plus (ID) | Total number of phrases frequently appearing in document titles | 13,636 |
| Authors | The total number of authors in the analyzed literature data set | 27,785 |
| Authors Appearances | The frequency distribution of authors | 69,678 |
| Authors of single-authored documents | The number of authors for single-authored articles | 920 |
| Authors of multi-authored documents | The number of authors for multi-authored articles | 26,865 |
| Single-authored documents | The total number of documents with a single author | 1325 |
| Co-Authors per Documents | Average number of co-authors in each document | 5.09 |
| Average citations per article | Average number of citations in each article | 30.06 |
| Collaboration Index | The mean number of authors per joint paper | 2.17 |
| Institution | Country | TC | TA |
|---|---|---|---|
| University of Alaska Fairbanks | USA | 15,632 | 1143 |
| Cold and Arid Regions Environmental and Engineering Research Institute, CAS | China | 11,930 | 543 |
| University of Zurich | Switzerland | 10,164 | 218 |
| University of Alaska | USA | 9014 | 439 |
| University of Colorado | USA | 6804 | 363 |
| Stockholm University | Sweden | 5106 | 531 |
| Woods Hole Research Center | USA | 5106 | 100 |
| University of Alberta | Canada | 4985 | 301 |
| Alfred Wegener Institute, Helmholtz Centre for Polar and Marine Research | Germany | 4653 | 198 |
| University of Florida | USA | 4404 | 138 |
| University of Copenhagen | Denmark | 4160 | 293 |
| University of Oslo | Norway | 4133 | 237 |
| University of California, Berkeley | USA | 3797 | 140 |
| McMaster University | Canada | 3763 | 128 |
| University of Minnesota | USA | 3239 | 72 |
| Université Laval | Canada | 3088 | 576 |
| Vrije Universiteit Amsterdam | Netherlands | 3051 | 145 |
| McGill University | Canada | 3016 | 226 |
| Northwest Institute of Eco-Environment and Resources, CAS | China | 2921 | 536 |
| University of Wisconsin | USA | 2752 | 169 |
| Author | H-Index | G-Index | M-Index | TC | NP | FY_P | Country |
|---|---|---|---|---|---|---|---|
| Romanovsky V.E. | 60 | 114 | 2.069 | 14,080 | 114 | 1994 | USA |
| Schuur E.A.G. | 56 | 108 | 3.294 | 15,276 | 108 | 2006 | USA |
| Grosse G. | 48 | 98 | 2.526 | 9933 | 138 | 2004 | Germany |
| Mcguire A.D. | 48 | 81 | 2.182 | 10,434 | 81 | 2001 | USA |
| Schirrmeister L. | 43 | 69 | 2.048 | 5082 | 110 | 2002 | Germany |
| Boike J. | 42 | 66 | 1.615 | 4632 | 96 | 1997 | Germany |
| Kuhry P. | 41 | 75 | 1.64 | 8997 | 75 | 1998 | Sweden |
| Kaab A. | 39 | 61 | 1.5 | 4715 | 61 | 1997 | Norway |
| Wu Q.B. | 39 | 68 | 1.444 | 5518 | 155 | 1996 | China |
| Hugelius G. | 38 | 74 | 2.714 | 6909 | 74 | 2009 | Sweden |
| Haeberli W. | 38 | 66 | 0.864 | 4937 | 66 | 1979 | Switzerland |
| Zhang T.J. | 37 | 72 | 1.542 | 5501 | 110 | 1999 | China |
| Etzelmuller B. | 37 | 60 | 1.37 | 3757 | 72 | 1996 | Norway |
| Cheng G.D. | 37 | 66 | 0.925 | 4478 | 70 | 1983 | China |
| Turetsky M.R. | 36 | 59 | 1.565 | 6424 | 59 | 2000 | Canada/USA |
| Zhao L. | 36 | 58 | 1.565 | 4101 | 131 | 2000 | China |
| Christensen T.R. | 36 | 62 | 1.286 | 5052 | 62 | 1995 | Denmark |
| Jin H.J. | 35 | 62 | 1.458 | 4279 | 112 | 1999 | China |
| Harden J.W. | 34 | 45 | 1.417 | 5792 | 45 | 1999 | USA |
| Nelson F.E. | 34 | 58 | 0.944 | 6174 | 58 | 1987 | USA |
| Author | M-Index | H-Index | G-Index | TC | NP | FY_P | Country |
|---|---|---|---|---|---|---|---|
| Schuur E.A.G. | 3.294 | 56 | 108 | 15,276 | 108 | 2006 | USA |
| Hugelius G. | 2.714 | 38 | 74 | 6909 | 74 | 2009 | Sweden |
| Grosse G. | 2.526 | 48 | 98 | 9933 | 138 | 2004 | Germany |
| Hu G.J. | 2.375 | 19 | 33 | 1259 | 56 | 2015 | China |
| Westermann S. | 2.357 | 33 | 51 | 2809 | 73 | 2009 | Norway |
| Luo D.L. | 2.333 | 21 | 38 | 1486 | 40 | 2014 | China |
| Mcguire A.D. | 2.182 | 48 | 81 | 10,434 | 81 | 2001 | USA |
| Wu X.D. | 2.182 | 24 | 39 | 1837 | 83 | 2012 | China |
| Zhu X.F. | 2.143 | 15 | 22 | 546 | 34 | 2016 | China |
| Sonnentag O. | 2.125 | 17 | 26 | 876 | 26 | 2015 | Canada |
| Natali S.M. | 2.083 | 25 | 51 | 4401 | 51 | 2011 | USA |
| Langer M. | 2.071 | 29 | 44 | 1971 | 52 | 2009 | Germany |
| Vonk J.E. | 2.071 | 29 | 47 | 4325 | 47 | 2009 | Netherlands |
| Romanovsky V.E. | 2.069 | 60 | 114 | 14,080 | 114 | 1994 | USA |
| Schirrmeister L. | 2.048 | 43 | 69 | 5082 | 110 | 2002 | Germany |
| Source | N.LC | ND | IF | H Index |
|---|---|---|---|---|
| Permafrost and Periglacial Processes * | 20,734 | 730 | - | 79 |
| Geophysical Research Letters * | 14,854 | 218 | 5.576 | 63 |
| Nature | 13,874 | 50 | 69.504 | 33 |
| Science | 11,285 | 28 | 63.714 | 17 |
| Global Change Biology * | 10,873 | 148 | 13.211 | 62 |
| Journal of Geophysical Research: Atmospheres * | 8756 | 109 | 5.217 | 46 |
| Cold Regions Science and Technology * | 8378 | 435 | 4.427 | 49 |
| Journal of Geophysical Research: Biogeosciences * | 8148 | 257 | 4.432 | 57 |
| Quaternary Science Reviews * | 7538 | 156 | 4.456 | 47 |
| Global Biogeochemical Cycles | 6678 | 81 | 6.500 | 41 |
| Document | DOI | P_Year | LCS | GCS |
|---|---|---|---|---|
| Schuur E.A.G, 2015, Nature [14] | 10.1038/nature14338 | 2015 | 975 | 1625 |
| Tarnocai C., 2009, Global Biogeochem Cy [107] | 10.1029/2008GB003327 | 2009 | 846 | 1553 |
| Schuur E.A.G., 2008, Bioscience [108] | 10.1641/B580807 | 2008 | 714 | 1008 |
| Hugelius G., 2014, Biogeosciences [109] | 10.5194/bg-11-6573-2014 | 2014 | 613 | 830 |
| Schuur E.A.G., 2009, Nature [110] | 10.1038/nature08031 | 2009 | 499 | 752 |
| Zimov S.A., 2006, Science [111] | 10.1126/science.1128908 | 2006 | 449 | 672 |
| Jorgenson M.T., 2006, Geophys Res Lett [112] | 10.1029/2005GL024960 | 2006 | 412 | 519 |
| Serreze M.C., 2000, Climatic Change [113] | 10.1023/A:1005504031923 | 2000 | 409 | 1472 |
| Hinzman L.D., 2005, Climatic Change [114] | 10.1007/s10584-005-5352-2 | 2005 | 408 | 1032 |
| Jorgenson M.T., 2001, Climatic Change [115] | 10.1023/A:1005667424292 | 2001 | 395 | 509 |
| Document | DOI | P_Year | LCS | GCS |
|---|---|---|---|---|
| Davidson E.A., 2006, Nature [116] | 10.1038/nature04514 | 2006 | 327 | 3987 |
| Schmidt M.W.I., 2011, Nature [117] | 10.1038/nature10386 | 2011 | 106 | 3175 |
| Gorham E., 1991, Ecol Appl [118] | 10.2307/1941811 | 1991 | 269 | 2612 |
| Schuur E.A.G., 2015, Nature [14] | 10.1038/nature14338 | 2015 | 975 | 1625 |
| Tarnocai C., 2009, Global Biogeochem Cy [107] | 10.1029/2008GB003327 | 2009 | 846 | 1553 |
| Tranvik L.J., 2009, Limnol Oceanogr [119] | 10.4319/lo.2009.54.6_part_2.2298 | 2009 | 79 | 1538 |
| Serreze M.C., 2000, Climatic Change [113] | 10.1023/A:1005504031923 | 2000 | 409 | 1472 |
| D’costa V.M., 2011, Nature [120] | 10.1038/nature10388 | 2011 | 31 | 1328 |
| Hinzman L.D., 2005, Climatic Change [114] | 10.1007/s10584-005-5352-2 | 2005 | 408 | 1032 |
| Schuur E.A.G., 2008, Bioscience [108] | 10.1641/B580807 | 2008 | 714 | 1008 |
| Research Topic | Searching Keywords and Expressions |
|---|---|
| Frozen ground/ frozen soil | *permafrost* OR “frozen soil*” OR “frozen ground*” OR “frozen rock*” OR geocryology* OR “icy soil*” OR cryopeg* OR “frozen earth” OR Gelisol* |
| Frozen ground engineering | engineer* OR embankment* OR roadbed* OR subgrade* OR foundation OR stability OR cold region* |
| Mechanics of frozen ground | mechanic* OR “frost heav*” OR dynamic* OR elastoplastic* OR strain OR stress OR “water migrat*” OR “moisture migrat*” OR “moisture transfer*” OR creep OR deform* OR strength criterion OR Compressive strength |
| Frozen soil Environment | environment* OR “ground ice” OR hazard* OR damage OR seasonal OR “active layer” OR “thermal state” OR “thermal regime” OR temperature* OR thermokarst OR talik* OR cryoturbation* OR “thermal stability” OR carbon* OR Tibet* Plateau OR freez* depth OR thaw* depth OR frost damage OR Alpine grassland OR Qinghai-Tibet* |
| Frozen soil physics | multigelation OR “cryogenic fabric” OR cryogen* OR cryostructure OR physics OR thermodynamics OR “water migrat*” OR “moisture migrat*” OR “moisture transfer*” OR “heat transfer*” OR “frost heav*” OR “unfrozen water” OR freezing OR “temperature gradient” OR “pore pressure” OR “segregated ice” OR Freez*-thaw* OR thermal conductivity OR Freezing point |
Disclaimer/Publisher’s Note: The statements, opinions and data contained in all publications are solely those of the individual author(s) and contributor(s) and not of MDPI and/or the editor(s). MDPI and/or the editor(s) disclaim responsibility for any injury to people or property resulting from any ideas, methods, instructions or products referred to in the content. |
© 2022 by the authors. Licensee MDPI, Basel, Switzerland. This article is an open access article distributed under the terms and conditions of the Creative Commons Attribution (CC BY) license (https://creativecommons.org/licenses/by/4.0/).
Share and Cite
Du, Q.; Li, G.; Chen, D.; Zhou, Y.; Qi, S.; Wang, F.; Mao, Y.; Zhang, J.; Cao, Y.; Gao, K.; et al. Bibliometric Analysis of the Permafrost Research: Developments, Impacts, and Trends. Remote Sens. 2023, 15, 234. https://doi.org/10.3390/rs15010234
Du Q, Li G, Chen D, Zhou Y, Qi S, Wang F, Mao Y, Zhang J, Cao Y, Gao K, et al. Bibliometric Analysis of the Permafrost Research: Developments, Impacts, and Trends. Remote Sensing. 2023; 15(1):234. https://doi.org/10.3390/rs15010234
Chicago/Turabian StyleDu, Qingsong, Guoyu Li, Dun Chen, Yu Zhou, Shunshun Qi, Fei Wang, Yuncheng Mao, Jun Zhang, Yapeng Cao, Kai Gao, and et al. 2023. "Bibliometric Analysis of the Permafrost Research: Developments, Impacts, and Trends" Remote Sensing 15, no. 1: 234. https://doi.org/10.3390/rs15010234
APA StyleDu, Q., Li, G., Chen, D., Zhou, Y., Qi, S., Wang, F., Mao, Y., Zhang, J., Cao, Y., Gao, K., Wu, G., Li, C., & Wang, Y. (2023). Bibliometric Analysis of the Permafrost Research: Developments, Impacts, and Trends. Remote Sensing, 15(1), 234. https://doi.org/10.3390/rs15010234

