Performance Assessment of Multi-GNSS Real-Time Products from Various Analysis Centers
Abstract
1. Introduction
2. Methods
2.1. Matching the Issue of Data (IOD)
2.2. Real-Time Orbit and Clock Recovery
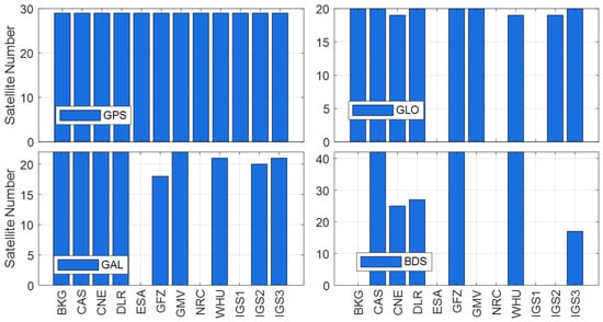
3. Latency and Availability of SSR Products
4. Accuracy Evaluation of SSR Products
4.1. GPS Orbit and Clock Corrections
4.2. GLONASS Orbit and Clock Corrections
4.3. Galileo Orbit and Clock Corrections
4.4. BDS Orbit and Clock Corrections
5. PPP Validation
5.1. Date Set
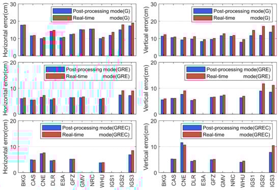
5.2. Static Precise Point Positioning
5.3. Simulated Kinematic Precise Point Positioning
6. Conclusions
Author Contributions
Funding
Acknowledgments
Conflicts of Interest
References
- Zumberge, J.F.; Heflin, M.B.; Jefferson, D.C.; Watkins, M.M.; Webb, F.H. Precise point positioning for the efficient and robust analysis of GPS data from large networks. J. Geophys. Res. Solid Earth 1997, 102, 5005–5017. [Google Scholar] [CrossRef]
- Kouba, J.; Héroux, P. Precise point positioning using IGS orbit and clock products. GPS Solut. 2001, 5, 12–28. [Google Scholar] [CrossRef]
- Ge, M.; Gendt, G.; Rothacher, M.; Shi, C.; Liu, J. Resolution of GPS carrier-phase ambiguities in Precise Point Positioning (PPP) with daily observations. J. Geod. 2008, 82, 389–399. [Google Scholar] [CrossRef]
- Griffiths, J. Combined orbits and clocks from IGS second reprocessing. J. Geod. 2019, 93, 177–195. [Google Scholar] [CrossRef] [PubMed]
- Geng, J.; Yang, S.; Guo, J. Assessing IGS GPS/Galileo/BDS-2/BDS-3 phase bias products with PRIDE PPP-AR. Satell. Navig. 2021, 2, 17. [Google Scholar] [CrossRef]
- Agrotis, L.; Caissy, M.; Ruelke, A.; Fisher, S. Real-Time Service Technical Report 2014. In IGS Technical Report 2014; IGS Central Bureau: Pasadena, CA, USA, 2014; pp. 171–178. [Google Scholar]
- Hadas, T.; Bosy, J. IGS RTS precise orbits and clocks verification and quality degradation over time. GPS Solut. 2015, 19, 93–105. [Google Scholar] [CrossRef]
- Elsobeiey, M.; Al-Harbi, S. Performance of real-time Precise Point Positioning using IGS real-time service. GPS Solut. 2016, 20, 565–571. [Google Scholar] [CrossRef]
- Chen, J.; Li, H.; Wu, B.; Zhang, Y.; Wang, J.; Hu, C. Performance of real-time precise point positioning. Mar. Geod. 2013, 36, 98–108. [Google Scholar] [CrossRef]
- RTCM 10403.3; Differential GNSS (Global Navigation Satellite Systems) Services. RTCM: Arlington, TX, USA, 2016; Version 3, No. 104.
- Weber, G.; Mervart, L.; Lukes, Z.; Rocken, C.; Dousa, J. Real-time clock and orbit corrections for improved point positioning via NTRIP. In Proceedings of the ION GNSS 20th International Technical Meeting of the Satellite Division, Fort Worth, TX, USA, 25–28 September 2007. [Google Scholar]
- Wang, Z.; Li, Z.; Wang, L.; Wang, X.; Yuan, H. Assessment of Multiple GNSS Real-Time SSR Products from Different Analysis Centers. ISPRS Int. J. Geo-Inf. 2018, 7, 85. [Google Scholar] [CrossRef]
- Wang, L.; Li, Z.; Ge, M.; Neitzel, F.; Wang, Z.; Yuan, H. Validation and Assessment of Multi-GNSS Real-Time Precise Point Positioning in Simulated Kinematic Mode Using IGS Real-Time Service. Remote Sens. 2018, 10, 337. [Google Scholar] [CrossRef]
- Montenbruck, O.; Steigenberger, P.; Prange, L.; Deng, Z.; Zhao, Q.; Perosanz, F.; Romero, I.; Noll, C.; Stürze, A.; Weber, G.; et al. The Multi-GNSS Experiment (MGEX) of the International GNSS Service (IGS)—Achievements, prospects and challenges. Adv. Space Res. 2017, 59, 1671–1697. [Google Scholar] [CrossRef]
- Li, X.; Ge, M.; Zhang, H.; Nischan, T.; Wickert, J. The GFZ Real-Time GNSS Precise Positioning Service System and Its Adaption for COMPASS. Adv. Space Res. 2013, 51, 1008–1018. [Google Scholar] [CrossRef]
- Rülke, A.; Agrotis, L. IGS Realtime Service Technical Report 2016. In IGS Technical Report 2016; IGS Central Bureau: Pasadena, CA, USA, 2016; p. 179. [Google Scholar]
- Hauschild, A.; Montenbruck, O. Kalman-filter-based GPS clock estimation for near real-time positioning. GPS Solut. 2009, 13, 173–182. [Google Scholar] [CrossRef]
- Abdi, N.; Ardalan, A.A.; Karimi, R.; Rezvani, M.-H. Performance Assessment of Multi-GNSS Real-Time PPP over Iran. Adv. Space Res. 2017, 59, 2870–2879. [Google Scholar] [CrossRef]
- Chen, L.; Zhao, Q.; Hu, Z.; Jiang, X.; Geng, C.; Ge, M.; Shi, C. GNSS Global Real-Time Augmentation Positioning: Real-Time Precise Satellite Clock Estimation, Prototype System Construction and Performance Analysis. Adv. Space Res. 2018, 61, 367–384. [Google Scholar] [CrossRef]
- Zhang, L.; Yang, H.; Gao, Y.; Yao, Y.; Xu, C. Evaluation and Analysis of Real-Time Precise Orbits and Clocks Products from Different IGS Analysis Centers. Adv. Space Res. 2018, 61, 2942–2954. [Google Scholar] [CrossRef]
- Wang, A.; Zhang, Y.; Chen, J.; Wang, H. Improving the (re-)convergence of multi-GNSS real-time precise point positioning through regional between-satellite single-differenced ionospheric augmentation. GPS Solut. 2022, 26, 39. [Google Scholar] [CrossRef]
- Yan, C.; Wang, Q.; Zhang, Y.; Ke, F.; Gao, W.; Yang, Y. Analysis of GNSS Clock Prediction Performance with Different Interrupt Intervals and Application to Real-Time Kinematic Precise Point Positioning. Adv. Space Res. 2020, 65, 978–996. [Google Scholar] [CrossRef]
- Xiao, X.; Shen, F.; Lu, X.; Shen, P.; Ge, Y. Performance of BDS-2/3, GPS, and Galileo Time Transfer with Real-Time Single-Frequency Precise Point Positioning. Remote Sens. 2021, 13, 4192. [Google Scholar] [CrossRef]
- Lu, C.; Chen, X.; Liu, G.; Dick, G.; Wickert, J.; Jiang, X.; Zheng, K.; Schuh, H. Real-Time Tropospheric Delays Retrieved from Multi-GNSS Observations and IGS Real-Time Product Streams. Remote Sens. 2017, 9, 1317. [Google Scholar] [CrossRef]
- Kazmierski, K.; Sośnica, K.; Hadas, T. Quality Assessment of Multi-GNSS Orbits and Clocks for Real-Time Precise Point Positioning. GPS Solut. 2018, 22, 11. [Google Scholar] [CrossRef]
- Liu, T.; Jiang, W.; Laurichesse, D.; Chen, H.; Liu, X.; Wang, J. Assessing GPS/Galileo Real-Time Precise Point Positioning with Ambiguity Resolution Based on Phase Biases from CNES. Adv. Space Res. 2020, 66, 810–825. [Google Scholar] [CrossRef]
- Li, B.; Ge, H.; Bu, Y.; Zheng, Y.; Yuan, L. Comprehensive Assessment of Real-Time Precise Products from IGS Analysis Centers. Satell. Navig. 2022, 3, 12. [Google Scholar] [CrossRef]
- IGS RTWG. IGS State Space Representation (SSR) Format Version 1.00. 2020. Available online: https://files.igs.org/pub/data/format/igs_ssr_v1.pdf (accessed on 10 October 2022).
- Stürze, A.; Mervart, L.; Weber, G.; Rülke, A.; Wiesensarter, E.; Neumaier, P. The New Version 2.12 of BKG Ntrip Client (BNC). In Proceedings of the EGU General Assembly 2016, Vienna, Austria, 17–22 April 2016; Volume 18, p. 12012. [Google Scholar]
- Li, X.; Pan, L. Precise Point Positioning with Almost Fully Deployed BDS-3, BDS-2, GPS, GLONASS, Galileo and QZSS Using Precise Products from Different Analysis Centers. Remote Sens. 2021, 13, 3905. [Google Scholar] [CrossRef]
- Wang, A.; Chen, J.; Zhang, Y.; Meng, L.; Wang, B.; Wang, J. Evaluating the impact of CNES real-time ionospheric products on multi-GNSS single-frequency positioning using the IGS real-time service. Adv. Space Res. 2020, 66, 2516–2527. [Google Scholar] [CrossRef]
- Zhang, Y.; Chen, J.; Gong, X.; Chen, Q. The Update of BDS-2 TGD and Its Impact on Positioning. Adv. Space Res. 2020, 65, 2645–2661. [Google Scholar] [CrossRef]
- Böhm, J.; Möller, G.; Schindelegger, M.; Pain, G.; Weber, R. Development of an Improved Empirical Model for Slant Delays in the Troposphere (GPT2w). GPS Solut. 2015, 19, 433–441. [Google Scholar] [CrossRef]
- Zhou, F.; Dong, D.; Li, P.; Li, X.; Schuh, H. Influence of Stochastic Modeling for Inter-System Biases on Multi-GNSS Undifferenced and Uncombined Precise Point Positioning. GPS Solut. 2019, 23, 59. [Google Scholar] [CrossRef]
- Allende-Alba, G.; Montenbruck, O.; Hackel, S.; Tossaint, M. Relative Positioning of Formation-Flying Spacecraft Using Single-Receiver GPS Carrier Phase Ambiguity Fixing. GPS Solut. 2018, 22, 68. [Google Scholar] [CrossRef]











| Products | Systems | Update Interval (Orbit/Clock) | Average of Latency/s | STD of Latency/s |
|---|---|---|---|---|
| BKG | G + R + E | 60 s/5 s | 16.06 | 1.65 |
| CAS | G + R + E + C | 5 s/5 s | 6.18 | 1.17 |
| CNE | G + R + E + C + J | 5 s/5 s | 18.89 | 1.07 |
| DLR | G + R + E + C + J | 30 s/5 s | 14.03 | 0.95 |
| ESA | G | 5 s/5 s | 12.31 | 0.81 |
| GFZ | G + R + E + C | 5 s/5 s | 13.40 | 1.57 |
| GMV | G + R + E | 10 s/10 s | 13.90 | 3.14 |
| NRC | G | 5 s/5 s | 9.19 | 1.40 |
| WHU | G + R + E + C | 5 s/5 s | 16.25 | 1.05 |
| IGS01 | G | 5 s/5 s | 30.70 | 3.38 |
| IGS02 | G + R + E | 60 s/10 s | 37.50 | 1.09 |
| IGS03 | G + R + E + C | 60 s/10 s | 37.81 | 1.00 |
| Parameter | Strategies |
|---|---|
| Solution | Static/kinematic |
| Sampling rate | 30 s |
| Cut-off elevation | 10° |
| Frequency selection | GPS: L1/L2; GLONASS: G1/G2; GALILEO: E1/E5a; BDS: B1I/B3I |
| Estimator | Kalman filter |
| Cycle slip | Detected by MW and GF |
| Ionospheric delay | Eliminated by ionosphere-free combination |
| Orbit and clock product | Real-time broadcast ephemeris + SSR corrections |
| Receiver clock | Estimated as white noise process |
| Weighing strategy | Elevation-dependent weighing model, 3 mm and 0.3 m for phase and code, respectively |
| Phase ambiguities | Float |
| antenna phase center | igs14.atx |
| Tropospheric delay | Corrected (GPT2w + SAAS + VMF [33]) + estimated as a random-walk noise process |
| Receiver ISB | Estimated system bias as random-walk noise process [34] |
| Station reference coordinates | IGS weekly SINEX solutions |
| System combined | G/GRE/GREC |
Disclaimer/Publisher’s Note: The statements, opinions and data contained in all publications are solely those of the individual author(s) and contributor(s) and not of MDPI and/or the editor(s). MDPI and/or the editor(s) disclaim responsibility for any injury to people or property resulting from any ideas, methods, instructions or products referred to in the content. |
© 2022 by the authors. Licensee MDPI, Basel, Switzerland. This article is an open access article distributed under the terms and conditions of the Creative Commons Attribution (CC BY) license (https://creativecommons.org/licenses/by/4.0/).
Share and Cite
Yu, C.; Zhang, Y.; Chen, J.; Chen, Q.; Xu, K.; Wang, B. Performance Assessment of Multi-GNSS Real-Time Products from Various Analysis Centers. Remote Sens. 2023, 15, 140. https://doi.org/10.3390/rs15010140
Yu C, Zhang Y, Chen J, Chen Q, Xu K, Wang B. Performance Assessment of Multi-GNSS Real-Time Products from Various Analysis Centers. Remote Sensing. 2023; 15(1):140. https://doi.org/10.3390/rs15010140
Chicago/Turabian StyleYu, Chao, Yize Zhang, Junping Chen, Qian Chen, Kexin Xu, and Bin Wang. 2023. "Performance Assessment of Multi-GNSS Real-Time Products from Various Analysis Centers" Remote Sensing 15, no. 1: 140. https://doi.org/10.3390/rs15010140
APA StyleYu, C., Zhang, Y., Chen, J., Chen, Q., Xu, K., & Wang, B. (2023). Performance Assessment of Multi-GNSS Real-Time Products from Various Analysis Centers. Remote Sensing, 15(1), 140. https://doi.org/10.3390/rs15010140

