Comparative Study of the 60 GHz and 118 GHz Oxygen Absorption Bands for Sounding Sea Surface Barometric Pressure
Abstract
1. Introduction
2. Data Description and Classification
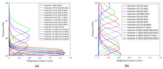
2.1. Instruments Characteristics and Satellite Data Description
2.2. Climatological Data Description
2.3. Data Collocation
2.4. Data Classification According to the Clear, Cloudy, and Rainy Sky Conditions
3. Theory Analysis of the Satellite-Based Passive Microwave Remote Sensing of SSP
4. Retrieval Algorithm and Experimental Design
4.1. The Deep-Neural-Network-Based Retrieval Algorithm for SSP
4.2. Design of Retrieval Experiment
5. Experimental Results
5.1. The Comparison of the Retrieval Results of SSP Using the 60 GHz and 118 GHz Observations
5.2. The SSP Retrieval Results from the 60 GHz Extended Channel Combination
5.3. Comparison of the Retrieval Results of SSP from MWTS-II and MWHTS
6. Conclusions
Author Contributions
Funding
Data Availability Statement
Acknowledgments
Conflicts of Interest
References
- Min, Q.; Gong, W.; Lin, B.; Hu, Y. Application of surface pressure measurements from O2-band differential absorption radar system in three-dimensional data assimilation on hurricane: Part I. An observing system simulation experiments study. J. Quant. Spectrosc. Radiat. Transf. 2011, 150, 148–165. [Google Scholar] [CrossRef]
- Lin, B.; Min, Q. Optimal frequency selection of multi-channel O2-band different absorption barometric radar for air pressure measurements. J. Quant. Spectrosc. Radiat. Transf. 2017, 188, 188–191. [Google Scholar] [CrossRef][Green Version]
- Lorenc, A.C. Analysis methods for numerical weather prediction. Q. J. R. Meteorol. Soc. 2010, 112, 1177–1194. [Google Scholar] [CrossRef]
- Simmons, A.J.; Hollingsworth, A. Some aspects of the improvement in skill of numerical weather prediction. Q. J. R. Meteorol. Soc. 2002, 128, 647–677. [Google Scholar] [CrossRef]
- Flasar, F.M.; Baines, K.H.; Bird, M.K.; Tokano, T.; West, R.A. Atmospheric Dynamics and Meteorology; Springer: Dordrecht, The Netherlands, 2009. [Google Scholar] [CrossRef]
- Lin, B.; Hu, Y. Numerical simulations of radar surface air pressure measurements at O2 bands. IEEE Geosci. Remote Sens. Lett. 2005, 2, 324–328. [Google Scholar] [CrossRef]
- Millán, L.; Lebsock, M.; Livesey, N.; Tanelli, S.; Stephens, G. Differential absorption radar techniques: Surface pressure. Atmos. Meas. Tech. 2014, 7, 3959–3970. [Google Scholar] [CrossRef][Green Version]
- Zhang, Z. Study on the Retrieval Theory and Method of Sea Surface Pressure Basing on Passive Microwave Observations. Ph.D. Thesis, Chinese Academy of Science, Beijing, China, 2019. [Google Scholar]
- Zhang, Z.; Dong, X.; Liu, L.; He, J. Retrieval of barometric pressure from satellite passive microwave observations over the oceans. J. Geophys. Res. 2018, 123, 4360–4372. [Google Scholar] [CrossRef]
- O’Brien, D.M.; Mitchell, R.M.; English, S.A.; da Costa, G.A. Airborne measurements of air mass from O2 A-band absorption spectral. J. Atmos. Ocean Technol. 1998, 15, 1272–1286. [Google Scholar] [CrossRef]
- Healy, S.B. Surface pressure information retrieved from GPS radio occultation measurements. Q. J. R. Meteorol. Soc. 2013, 139, 2108–2118. [Google Scholar] [CrossRef]
- Van Zadelhoff, G.J.; Stoffelen, A.; Vachon, P.W.; Wolfe, J.; Horstmann, J.; Belmonte Rivas, M. Retrieving hurricane wind speeds using C-band measurements. Atmos. Meas. Tech. 2014, 7, 437–449. [Google Scholar] [CrossRef]
- He, Q.; Wang, Z.; Li, J. Application of the deep neural network in retrieving the atmospheric temperature and humidity profiles from the Microwave Humidity and Temperature Sounder onboard the Feng-Yun-3 satellite. Sensors 2021, 21, 4673. [Google Scholar] [CrossRef] [PubMed]
- Guo, Y.; Lu, N.; Qi, C.; Gu, S.; Xu, J. Calibration and validation of microwave humidity and temperature sounder onboard FY-3C satellite. Chin. J. Geophys. Chin. 2015, 58, 20–31. [Google Scholar] [CrossRef]
- Lawrence, H.; Bormann, N.; Lu, Q.F.; Geer, A.; English, S. An Evaluation of FY-3C MWHTS-2 at ECMWF; EUMETSAT/ECMWF Fellowship Programme Research Report No. 37; ECMWF: Reading, UK, 2015. [Google Scholar]
- Croom, D.L. The 2.53 mm molecular rotation line of atmospheric O2. Planet. Space Sci. 1971, 19, 777–789. [Google Scholar] [CrossRef]
- Gasiewski, A.J.; Barrett, J.W.; Bonanni, P.G.; Staelin, D.H. Aircraft-based radiometric imaging of tropospheric temperature and precipitation using the 118.75-GHz oxygen resonance. J. Appl. Meteorol. Climatol. 1990, 29, 620–632. [Google Scholar] [CrossRef]
- Gasiewski, A.J.; Johnson, J.T. Statistical temperature profile retrievals in clear-air using passive 118-GHz O2 observations. IEEE Trans. Geosci. Remote Sens. 1993, 31, 106–115. [Google Scholar] [CrossRef]
- Sahoo, S.; Bosch-Lluis, X.; Reising, S.C.; Vivekanandan, J. Radiometric information content for water vapor and temperature profiling in clear skies between 10 and 200 GHz. IEEE J. Sel. 2014, 8, 859–871. [Google Scholar] [CrossRef]
- He, Q.; Wang, Z.; He, J.; Zhang, L. A comparison of the retrieval of atmospheric temperature profiles using observations of the 60 GHz and 118.75 GHz absorption lines. J. Trop. Meteorol. 2018, 24, 151–163. [Google Scholar] [CrossRef]
- He, Q. Study on Retrieving the Atmospheric Temperature and Humidity Profiles from Measurements of Microwave Humidity and Temperature Sounder on FY-3C Satellite. Ph.D. Thesis, Chinese Academy of Science, Beijing, China, 2017. [Google Scholar]
- Blackwell, W.J.; Chen, F.W. Neural Networks in Atmospheric Remote Sensing; Artech House: Norwood, MA, USA, 2009. [Google Scholar]
- Niu, Z.; Zhang, L.; Dong, P.; Weng, F.; Huang, W. Impact of assimilating FY-3D MWTS-2 upper air sounding data on forecasting typhoon lekima (2019). Remote Sens. 2021, 13, 1841. [Google Scholar] [CrossRef]
- Wang, Z.; Li, J.; He, J.; Zhang, S.; Gu, S.; Li, Y.; Guo, Y.; He, B. Performance analysis of microwave humidity and temperature sounder onboard the FY-3D satellite from prelaunch multiangle calibration data in thermal/vacuum test. IEEE Trans. Geosci. Remote Sens. 2018, 57, 1664–1683. [Google Scholar] [CrossRef]
- Guo, Y.; Lu, N.; Gu, S. Simulation of the radiometric characteristics of 118 GHz and 183 GHz channels for FY-3C new microwave radiometer sounder. J. Infrared Millim. Waves 2014, 33, 481. [Google Scholar] [CrossRef]
- Andronache, C. Remote Sensing of Clouds and Precipitation; Springer: Cham, Switzerland, 2018. [Google Scholar]
- Liebe, H.J.; Hufford, G.A.; Cotton, M.G. Propagation Modeling of Moist Air and Suspended Water/Ice Particles at Frequencies Below 1000 GHz. AGARD. 1993. Available online: https://www.its.bldrdoc.gov/publications/details.aspx?pub=2670 (accessed on 19 August 2021).
- Carminati, F.; Migliorini, S. All-sky data assimilation of MWTS-2 and MWHS-2 in the Met Office global NWP system. Adv. Atmos. Sci. 2021, 38, 1682–1694. [Google Scholar] [CrossRef]
- Hoffmann, L.; Günther, G.; Li, D.; Stein, O.; Wu, X.; Griessbach, S.; Heng, Y.; Konopka, P.; Müller, R.; Vogel, B.; et al. From ERA-Interim to ERA5: The considerable impact of ECMWF’s next-generation reanalysis on Lagrangian transport simulations. Atmos. Chem. Phys. 2019, 19, 3097–3124. [Google Scholar] [CrossRef]
- Berrisford, P.; Dee, D.; Poli, P.; Brugge, R.; Fielding, K.; Fuentes, M.; Kallberg, P.; Kobayashi, S. The ERA-Interim Archive Version 2.0; ERA Report Series 1; ECMWF: Reading, UK, 2011. [Google Scholar]
- Dee, D.P.; Uppala, S.M.; Simmons, A.J.; Berrisford, P.; Poli, P.; Kobayashi, S.; Andrae, U.; Balmaseda, M.A.; Balsamo, G.; Bauer, P.; et al. The ERA-Interim reanalysis: Configuration and performance of the data assimilation system. Q. J. R. Meteorol. Soc. 2011, 137, 553–597. [Google Scholar] [CrossRef]
- Saunders, R.; Hocking, J.; Rundle, D.; Rayer, P.; Matricardi, M.; Geer, A.; Lupu, C.; Brunel, P.; Vidot, J. RTTOV-11 Science and Validation Report; NWP-SAF Report; Met Office: Exeter, UK, 2013; pp. 1–62. [Google Scholar]
- Rodgers, C.D. Retrieval of atmospheric temperature and composition from remote measurements of thermal radiation. Rev. Geophys. 1976, 14, 609–624. [Google Scholar] [CrossRef]
- Ulaby, F.T.; Moore, R.K.; Fung, A.K. Microwave Remote Sensing: Active and Passive; Addison-Wesley: Reading, MA, USA, 1981. [Google Scholar]
- Saunders, R.; Hocking, J.; Turner, E.; Rayer, P.; Rundle, D.; Brunel, P.; Vidot, J.; Roquet, P.; Matricardi, M.; Geer, A.; et al. An update on the RTTOV fast radiative transfer model (currently at version 12). Geosci. Model Dev. 2018, 11, 2717–2737. [Google Scholar] [CrossRef]
- Dee, D.P. Bias and data assimilation. Q. J. R. Meteorol. Soc. 2005, 131, 3323–3343. [Google Scholar] [CrossRef]
- Aires, F.; Marquisseau, F.; Prigent, C.; Seze, G. A land and ocean microwave cloud classification algorithm derived from AMSU-A and-B, trained using MSG-SEVIRI infrared and visible observations. Mon. Weather Rev. 2011, 139, 2347–2366. [Google Scholar] [CrossRef]
- Derrien, M.; Le Gléau, H. MSG/SEVIRI cloud mask and type from SAFNWC. Int. J. Remote Sens. 2005, 26, 4707–4732. [Google Scholar] [CrossRef]
- Derrien, M.; Le Gléau, H. Improvement of cloud detection near sunrise and sunset by temporal-differencing and region-growing techniques with real-time SEVIRI. Int. J. Remote Sens. 2010, 31, 1765–1780. [Google Scholar] [CrossRef]
- Hong, G.; Heygster, G.; Miao, J.; Kunzi, K. Detection of tropical deep convective clouds from AMSU-B water vapor channels measurements. J. Geophys. Res. Atmos. 2005, 110, D05205. [Google Scholar] [CrossRef]
- Alishouse, J.C.; Snyder, S.A.; Vongsathorn, J.; Ferraro, R.R. Determination of oceanic total precipitable water from the SSM/I. IEEE Trans. Geosci. Remote Sens. 1990, 28, 811–816. [Google Scholar] [CrossRef]
- Ferraro, R.R.; Weng, F.; Grody, N.C.; Basist, A. An eight-year (1987–1994) time series of rainfall, clouds, water vapor, snow cover, and sea ice derived from SSM/I measurements. Bull. Am. Meteorol. Soc. 1996, 77, 891–906. [Google Scholar] [CrossRef]
- Weng, F.; Zhao, L.; Ferraro, R.R.; Poe, G.; Li, X.; Grody, N.C. Advanced microwave sounding unit cloud and precipitation algorithms. Radio Sci. 2003, 38, 33. [Google Scholar] [CrossRef]
- Wentz, F.J.; Spencer, R.W. SSM/I rain retrievals within a unified all-weather ocean algorithm. J. Atmos. Sci. 1998, 55, 1613–1627. [Google Scholar] [CrossRef]
- Boukabara, S.A.; Garrett, K.; Chen, W.; Iturbide-Sanchez, F.; Grassotti, C.; Kongoli, C.; Chen, R.; Liu, Q.; Yan, B.; Weng, F.; et al. MiRS: An all-weather 1DVAR satellite data assimilation and retrieval system. IEEE Trans. Geosci. Remote Sens. 2011, 49, 3249–3272. [Google Scholar] [CrossRef]
- Zhou, Y.; Grasstotti, C. Development of a machine learning-based radiometric bias correction for NOAA’s Microwave integrated retrieval system (MIRS). Remote Sens. 2020, 12, 3160. [Google Scholar] [CrossRef]
- Yan, X.; Liang, C.; Jiang, Y.; Luo, N.; Zang, Z.; Li, Z. A deep learning approach to improve the retrieval of temperature and humidity profiles from a ground-based microwave radiometer. IEEE Trans. Geosci. Remote Sens. 2020, 58, 8427–8437. [Google Scholar] [CrossRef]
- Dueben, P.; Modigliani, U.; Geer, A.; Siemen, S.; Pappenberger, F.; Bauer, P.; Brown, A.; Palkovič, M.; Raoult, B.; Wedi, N.; et al. Machine learning at ECMWF: A roadmap for the next 10 years. European Centre for Medium-Range Weather Forecasts. Tech. Rep. 2021, 878. [Google Scholar] [CrossRef]
- Aires, F.; Weston, P.; Rosnay, P.; Fairbairn, D. Statistical approaches to assimilate ASCAT soil moisture information: Part I Methodologies and first assessment. Q. J. R. Meteorol. Soc. 2021, 147, 1823–1825. [Google Scholar] [CrossRef]
- Srivastava, N.; Hinton, G.; Krizhevsky, A.; Sutskever, I.; Salakhutdinov, R. Dropout: A simple way to prevent neural networks from overfitting. J. Mach. Learn. Res. 2014, 15, 1929–1958. [Google Scholar]













| Peak WF Pressure Level (hPa) | 25 | 50 | 100 | 250 | 350 | Surface | Surface | Surface |
|---|---|---|---|---|---|---|---|---|
| MWHTS Channel | 2 | 3 | 4 | 5 | 6 | 7 | 8 | 9 |
| MWTS-II Channel | 10 | 9 | 8 | 6 | 5 | 3 | 2 | 1 |
| Weather Condition | The 60 GHz Channel Combination | The 118 GHz Channel Combination | ||||
|---|---|---|---|---|---|---|
| Correlation Coefficient | Bias | RMSE | Correlation Coefficient | Bias | RMSE | |
| The clear sky | 0.877 | 0.032 | 2.552 | 0.786 | −0.033 | 3.275 |
| The cloudy sky | 0.874 | 0.733 | 3.640 | 0.773 | −0.692 | 4.712 |
| The rainy sky | 0.801 | 0.235 | 4.066 | 0.692 | −0.207 | 4.902 |
| Weather Condition | The 60 GHz Extended Channel Combination | ||
|---|---|---|---|
| Correlation Coefficient | Bias | RMSE | |
| The clear sky | 0.937 | −0.358 | 1.893 |
| The cloudy sky | 0.917 | −0.252 | 2.936 |
| The rainy sky | 0.884 | 0.159 | 3.169 |
| Weather Condition | MWTS-II | MWHTS | ||||
|---|---|---|---|---|---|---|
| Correlation Coefficient | Bias | RMSE | Correlation Coefficient | Bias | RMSE | |
| The clear sky | 0.946 | 0.144 | 1.719 | 0.931 | 0.094 | 1.936 |
| The cloudy sky | 0.928 | −0.065 | 2.734 | 0.850 | −0.314 | 3.878 |
| The rainy sky | 0.910 | 0.213 | 2.827 | 0.783 | −0.288 | 4.231 |
Publisher’s Note: MDPI stays neutral with regard to jurisdictional claims in published maps and institutional affiliations. |
© 2022 by the authors. Licensee MDPI, Basel, Switzerland. This article is an open access article distributed under the terms and conditions of the Creative Commons Attribution (CC BY) license (https://creativecommons.org/licenses/by/4.0/).
Share and Cite
He, Q.; Li, J.; Wang, Z.; Zhang, L. Comparative Study of the 60 GHz and 118 GHz Oxygen Absorption Bands for Sounding Sea Surface Barometric Pressure. Remote Sens. 2022, 14, 2260. https://doi.org/10.3390/rs14092260
He Q, Li J, Wang Z, Zhang L. Comparative Study of the 60 GHz and 118 GHz Oxygen Absorption Bands for Sounding Sea Surface Barometric Pressure. Remote Sensing. 2022; 14(9):2260. https://doi.org/10.3390/rs14092260
Chicago/Turabian StyleHe, Qiurui, Jiaoyang Li, Zhenzhan Wang, and Lanjie Zhang. 2022. "Comparative Study of the 60 GHz and 118 GHz Oxygen Absorption Bands for Sounding Sea Surface Barometric Pressure" Remote Sensing 14, no. 9: 2260. https://doi.org/10.3390/rs14092260
APA StyleHe, Q., Li, J., Wang, Z., & Zhang, L. (2022). Comparative Study of the 60 GHz and 118 GHz Oxygen Absorption Bands for Sounding Sea Surface Barometric Pressure. Remote Sensing, 14(9), 2260. https://doi.org/10.3390/rs14092260

