The Accuracy of Precipitation Forecasts at Timescales of 1–15 Days in the Volta River Basin
Abstract
:1. Introduction
2. Materials and Methods
2.1. Study Region
2.2. Datasets
2.3. Evaluation Methodology
3. Results and Discussion
3.1. Annual Spatial Variability and Seasonal Characteristics
3.2. Dependence of Forecast Performance on Precipitation Rate
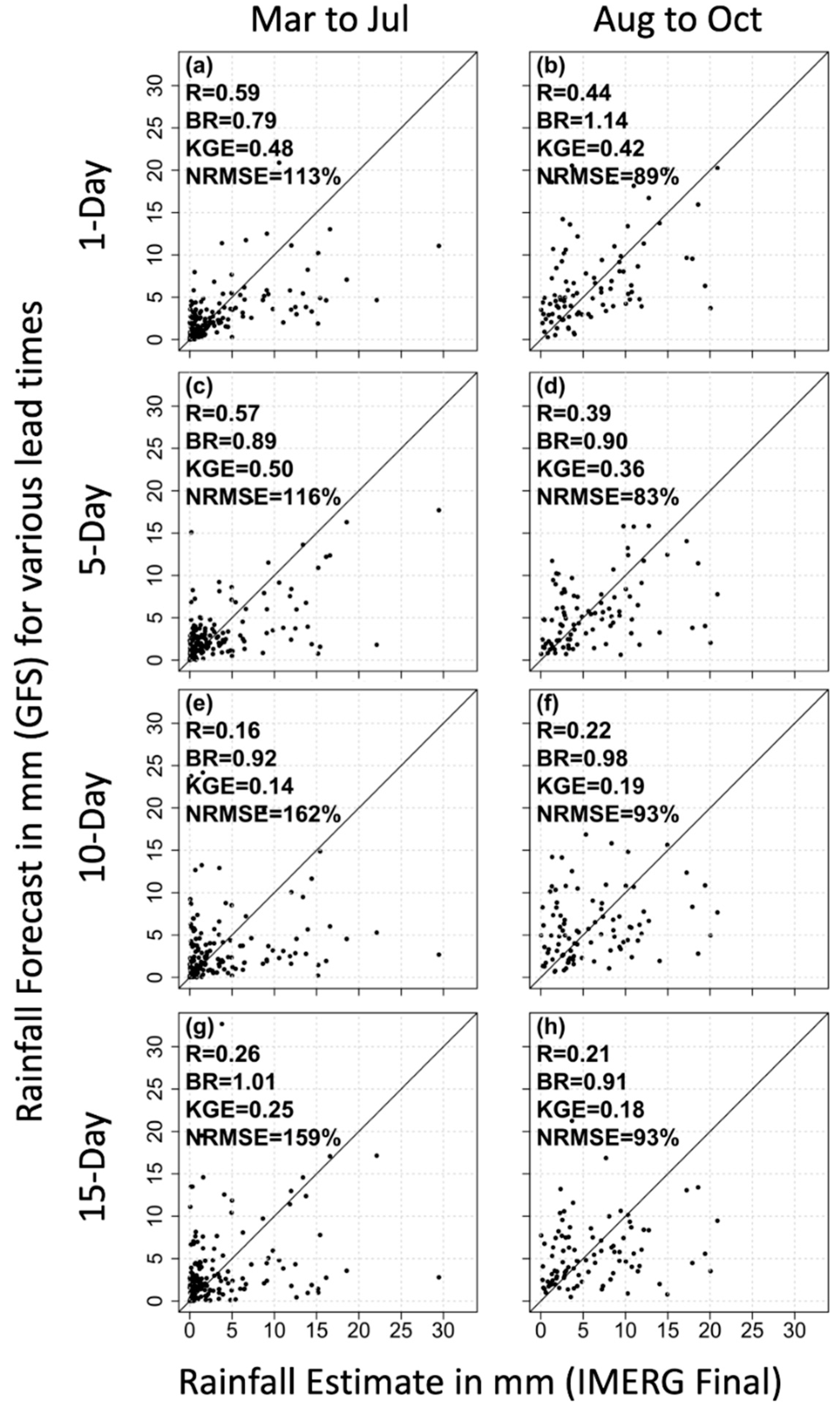
3.3. What Is the Effect of Lead Time on the GFS Forecast Performance?
3.4. What Is the Effect of Accumulation Timescale on Forecast Performance?
3.5. Comparison of the Performance of IMERG Early and GFS
3.6. How Is the Performance of GFS Affected If the Reference Product Is Changed from IMERG Final to CHIRPS?
4. Summary and Conclusions
Author Contributions
Funding
Institutional Review Board Statement
Informed Consent Statement
Data Availability Statement
Conflicts of Interest
References
- Patt, A.G.; Ogallo, L.; Hellmuth, M. Learning from 10 Years of Climate Outlook Forums in Africa. Science 2007, 318, 49–50. [Google Scholar] [CrossRef]
- Brueuer, N.E.; Fraisse, C.W.; Cabrera, V.E. The cooperative extension service as a boundary organization for diffusion of climate forecasts: A 5-year study. J. Ext. 2010, 48, 1–5. [Google Scholar]
- Mase, A.S.; Prokopy, L.S. Unrealized Potential: A Review of Perceptions and Use of Weather and Climate Information in Agricultural Decision Making. Weather Clim. Soc. 2014, 6, 47–61. [Google Scholar] [CrossRef]
- Pandya, R.; Hodgson, A.; Hayden, M.H.; Akweongo, P.; Hopson, T.; Forgor, A.A.; Yoksas, T.; Dalaba, M.A.; Dukic, V.; Mera, R.; et al. Using Weather Forecasts to Help Manage Meningitis in the West African Sahel. Bull. Am. Meteorol. Soc. 2015, 96, 103–115. [Google Scholar] [CrossRef]
- Koppa, A.; Gebremichael, M.; Zambon, R.C.; Yeh, W.W.-G.; Hopson, T.M. Seasonal Hydropower Planning for Data-Scarce Regions Using Multimodel Ensemble Forecasts, Remote Sensing Data, and Stochastic Programming. Water Resour. Res. 2019, 55, 8583–8607. [Google Scholar] [CrossRef]
- Alexander, S.; Yang, G.; Addisu, G.; Block, P. Forecast-Informed Reservoir Operations to Guide Hydropower and Agriculture Allocations in the Blue Nile Basin, Ethiopia. Int. J. Water Resour. Dev. 2021, 37, 208–233. [Google Scholar] [CrossRef]
- National Centers for Environmental Prediction; National Weather Service; NOAA; U.S. Department of Commerce. NCEP GFS 0.25 Degree Global Forecast Grids Historical Archive; 109.074 TB; Research Data Archive at the National Center for Atmospheric Research, Computational and Information Systems Laboratory: Boulder, CO, USA, 2015. [CrossRef]
- Saha, S.; Moorthi, S.; Wu, X.; Wang, J.; Nadiga, S.; Tripp, P.; Behringer, D.; Hou, Y.-T.; Chuang, H.; Iredell, M.; et al. The NCEP Climate Forecast System Version 2. J. Clim. 2014, 27, 2185–2208. [Google Scholar] [CrossRef]
- Palmer, T.N.; Buizza, R.; Leutbecher, M.; Hagedorn, R.; Jung, T.; Rodwell, M.; Vitart, F.; Berner, J.; Hagel, E.; Lawrence, A.R.; et al. The Ensemble Prediction System—Recent and Ongoing Developments; ECMWF Technical Memoranda: Reading, UK, 2007. [Google Scholar] [CrossRef]
- JMA. Outline of the Operational Numerical Weather Prediction at the Japan Meteorological Agency (Appendix to WMO Numerical Weather Prediction Progress Report); Japan Meteorological Agency: Tokyo, Japan, 2019; Available online: https://www.jma.go.jp/jma/jma-eng/jma-center/nwp/outline2019-nwp/index.htm (accessed on 1 July 2021).
- Dravitzki, S.; McGregor, J. Predictability of Heavy Precipitation in the Waikato River Basin of New Zealand. Mon. Weather Rev. 2011, 139, 2184–2197. [Google Scholar] [CrossRef]
- Sridevi, C.; Kumar, A.; Singh, K.K.; Durai, V.R.; Suneetha, P. Rainfall Forecast Skill of Global Forecasting System (GFS) Model over India during Summer Monsoon 2015. Geofizika 2018, 35, 39–52. [Google Scholar] [CrossRef]
- Jiang, M.; Feng, J.; Li, Z.; Sun, R.; Hou, Y.-T.; Zhu, Y.; Wan, B.; Guo, J.; Cribb, M. Potential Influences of Neglecting Aerosol Effects on the NCEP GFS Precipitation Forecast. Atmos. Chem. Phys. 2017, 17, 13967–13982. [Google Scholar] [CrossRef] [Green Version]
- Wang, J.-W.A.; Sardeshmukh, P.D.; Compo, G.P.; Whitaker, J.S.; Slivinski, L.C.; McColl, C.M.; Pegion, P.J. Sensitivities of the NCEP Global Forecast System. Mon. Weather Rev. 2019, 147, 1237–1256. [Google Scholar] [CrossRef]
- Lien, G.-Y.; Kalnay, E.; Miyoshi, T.; Huffman, G.J. Statistical Properties of Global Precipitation in the NCEP GFS Model and TMPA Observations for Data Assimilation. Mon. Weather Rev. 2016, 144, 663–679. [Google Scholar] [CrossRef] [PubMed] [Green Version]
- Huffman, G.J.; Bolvin, D.T.; Nelkin, E.J.; Wolff, D.B.; Adler, R.F.; Gu, G.; Hong, Y.; Bowman, K.P.; Stocker, E.F. The TRMM Multisatellite Precipitation Analysis (TMPA): Quasi-Global, Multiyear, Combined-Sensor Precipitation Estimates at Fine Scales. J. Hydrometeorol. 2007, 8, 38–55. [Google Scholar] [CrossRef]
- Yang, F.; Cerrai, D.; Anagnostou, E. The Effect of Lead-Time Weather Forecast Uncertainty on Outage Prediction Modeling. Forecasting 2021, 3, 501–516. [Google Scholar] [CrossRef]
- Dezfuli, A.K.; Ichoku, C.M.; Huffman, G.J.; Mohr, K.I.; Selker, J.S.; van de Giesen, N.; Hochreutener, R.; Annor, F.O. Validation of IMERG Precipitation in Africa. J. Hydrometeorol. 2017, 18, 2817–2825. [Google Scholar] [CrossRef]
- Huffman, G.J.; Stocker, E.F.; Bolvin, D.T.; Nelkin, E.J.; Jackson, J. GPM IMERG Final Precipitation L3 1 Day 0.1 Degree × 0.1 Degree V06; Savtchenko, A., Ed.; Goddard Earth Sciences Data and Information Services Center (GES DISC): Greenbelt, MD, USA, 2019. [Google Scholar] [CrossRef]
- Huffman, G.J.; Stocker, E.F.; Bolvin, D.T.; Nelkin, E.J.; Jackson, J. GPM IMERG Early Precipitation L3 1 Day 0.1 Degree × 0.1 Degree V06; Savtchenko, A., Ed.; Goddard Earth Sciences Data and Information Services Center (GES DISC): Greenbelt, MD, USA, 2019. [Google Scholar] [CrossRef]
- van de Giesen, N.; Hut, R.; Selker, J. The Trans-African Hydro-Meteorological Observatory (TAHMO). WIREs Water 2014, 1, 341–348. [Google Scholar] [CrossRef] [Green Version]
- Dezfuli, A.K.; Ichoku, C.M.; Mohr, K.I.; Huffman, G.J. Precipitation Characteristics in West and East Africa from Satellite and in Situ Observations. J. Hydrometeorol. 2017, 18, 1799–1805. [Google Scholar] [CrossRef]
- Satgé, F.; Defrance, D.; Sultan, B.; Bonnet, M.-P.; Seyler, F.; Rouché, N.; Pierron, F.; Paturel, J.-E. Evaluation of 23 Gridded Precipitation Datasets across West Africa. J. Hydrol. 2020, 581, 124412. [Google Scholar] [CrossRef] [Green Version]
- Maranan, M.; Fink, A.H.; Knippertz, P.; Amekudzi, L.K.; Atiah, W.A.; Stengel, M. A Process-Based Validation of GPM IMERG and Its Sources Using a Mesoscale Rain Gauge Network in the West African Forest Zone. J. Hydrometeorol. 2020, 21, 729–749. [Google Scholar] [CrossRef]
- Stellingwerf, S.; Riddle, E.; Hopson, T.M.; Knievel, J.C.; Brown, B.; Gebremichael, M. Optimizing Precipitation Forecasts for Hydrological Catchments in Ethiopia Using Statistical Bias Correction and Multi-Modeling. Earth Space Sci. 2021, 8, e2019EA000933. [Google Scholar] [CrossRef]
- Huffman, G.J.; Bolvin, D.T.; Braithwaite, D.; Hsu, K.; Joyce, R.; Xie, P.; Yoo, S.H. NASA global precipitation measurement (GPM) integrated multi-satellite retrievals for GPM (IMERG). Algorithm Theor. Basis Doc. (ATBD) Vers. 2015, 4, 26. [Google Scholar]
- Mul, M.; Obuobie, E.; Appoh, R.; Kankam-Yeboah, K.; Bekoe-Obeng, E.; Amisigo, B.; Logah, F.Y.; Ghansah, B.; McCartney, M. Water Resources Assessment of the Volta River Basin; International Water Management Institute (IWMI): Colombo, Sri Lanka, 2015; Volume 166, pp. 1–3. [Google Scholar]
- Williams, T.O.; Marloes, M.; Biney, C.A.; Smakhtin, V. (Eds.) The Volta River Basin: Water for Food, Economic Growth and Environment; Routledge: London, UK, 2016. [Google Scholar] [CrossRef]
- Baah-Kumi, B.; Ward, F.A. Poverty Mitigation through Optimized Water Development and Use: Insights from the Volta Basin. J. Hydrol. 2020, 582, 124548. [Google Scholar] [CrossRef]
- Barry, B.; Obuobie, E.; Andreini, M.; Andah, W.; Pluquet, M. The Volta River Basin. Available online: http://www.iwmi.cgiar.org/assessment/files_new/research_projects/river_basin_development_and_management/VoltaRiverBasin_Boubacar.pdf (accessed on 7 November 2021).
- National Centers for Environmental Prediction. National Centers for Environmental Prediction: The Global Forecast System (GFS) -Global Spectral Model (GSM). 2021. Available online: https://www.emc.ncep.noaa.gov/emc/pages/numerical_forecast_systems/gfs/documentation.php (accessed on 1 July 2021).
- National Centers for Environmental Prediction. National Centers for Environmental Prediction: FV3: The GFDL Finite-Volume Cubed-Sphere Dynamical Core. 2021. Available online: https://www.gfdl.noaa.gov/fv3/ (accessed on 1 July 2021).
- Putman, W.M.; Lin, S.-J. Finite-Volume Transport on Various Cubed-Sphere Grids. J. Comput. Phys. 2007, 227, 55–78. [Google Scholar] [CrossRef]
- Mlawer, E.J.; Taubman, S.J.; Brown, P.D.; Iacono, M.J.; Clough, S.A. Radiative Transfer for Inhomogeneous Atmospheres: RRTM, a Validated Correlated-k Model for the Longwave. J. Geophys. Res. 1997, 102, 16663–16682. [Google Scholar] [CrossRef] [Green Version]
- Iacono, M.J.; Mlawer, E.J.; Clough, S.A.; Morcrette, J.-J. Impact of an Improved Longwave Radiation Model, RRTM, on the Energy Budget and Thermodynamic Properties of the NCAR Community Climate Model, CCM3. J. Geophys. Res. 2000, 105, 14873–14890. [Google Scholar] [CrossRef]
- Clough, S.A.; Shephard, M.W.; Mlawer, E.J.; Delamere, J.S.; Iacono, M.J.; Cady-Pereira, K.; Boukabara, S.; Brown, P.D. Atmospheric Radiative Transfer Modeling: A Summary of the AER Codes. J. Quant. Spectrosc. Radiat. Transf. 2005, 91, 233–244. [Google Scholar] [CrossRef]
- Chen, F.; Janjić, Z.; Mitchell, K. Impact of Atmospheric Surface-Layer Parameterizations in the New Land-Surface Scheme of the NCEP Mesoscale Eta Model. Bound.-Layer Meteorol. 1997, 85, 391–421. [Google Scholar] [CrossRef]
- Arakawa, A.; Schubert, W.H. Interaction of a Cumulus Cloud Ensemble with the Large-Scale Environment, Part I. J. Atmos. Sci. 1974, 31, 674–701. [Google Scholar] [CrossRef] [Green Version]
- Grell, G.A. Prognostic Evaluation of Assumptions Used by Cumulus Parameterizations. Mon. Weather Rev. 1993, 121, 764–787. [Google Scholar] [CrossRef] [Green Version]
- Funk, C.; Peterson, P.; Landsfeld, M.; Pedreros, D.; Verdin, J.; Shukla, S.; Husak, G.; Rowland, J.; Harrison, L.; Hoell, A.; et al. The Climate Hazards Infrared Precipitation with Stations—A New Environmental Record for Monitoring Extremes. Sci. Data 2015, 2, 150066. [Google Scholar] [CrossRef] [Green Version]
- Gupta, H.V.; Kling, H.; Yilmaz, K.K.; Martinez, G.F. Decomposition of the Mean Squared Error and NSE Performance Criteria: Implications for Improving Hydrological Modelling. J. Hydrol. 2009, 377, 80–91. [Google Scholar] [CrossRef] [Green Version]
- Kling, H.; Fuchs, M.; Paulin, M. Runoff Conditions in the Upper Danube Basin under an Ensemble of Climate Change Scenarios. J. Hydrol. 2012, 424, 264–277. [Google Scholar] [CrossRef]
- Towner, J.; Cloke, H.L.; Zsoter, E.; Flamig, Z.; Hoch, J.M.; Bazo, J.; Coughlan de Perez, E.; Stephens, E.M. Assessing the Performance of Global Hydrological Models for Capturing Peak River Flows in the Amazon Basin. Hydrol. Earth Syst. Sci. 2019, 23, 3057–3080. [Google Scholar] [CrossRef] [Green Version]






| Lead Time of GFS Forecast | Correlation | Bias Ratio | KGE | NRMSE (%) |
|---|---|---|---|---|
| Time Period: March through July | ||||
| 1 day | 0.59 (0.57) | 0.79 (0.65) | 0.48 (0.44) | 113 (87) |
| 5 day | 0.57 (0.50) | 0.89 (0.73) | 0.50 (0.42) | 116 (91) |
| 10 day | 0.16 (0.17) | 0.92 (0.76) | 0.14 (0.11) | 162 (121) |
| 15 day | 0.26 (0.30) | 1.01 (0.83) | 0.25 (0.22) | 159 (118) |
| Time Period: August through October | ||||
| 1 day | 0.44 (0.50) | 1.14 (1.00) | 0.42 (0.49) | 89 (71) |
| 5 day | 0.39 (0.39) | 0.90 (0.79) | 0.36 (0.36) | 83 (72) |
| 10 day | 0.22 (0.18) | 0.98 (0.86) | 0.19 (0.17) | 93 (81) |
| 15 day | 0.21 (0.21) | 0.91 (0.80) | 0.18 (0.19) | 93 (80) |
Publisher’s Note: MDPI stays neutral with regard to jurisdictional claims in published maps and institutional affiliations. |
© 2022 by the authors. Licensee MDPI, Basel, Switzerland. This article is an open access article distributed under the terms and conditions of the Creative Commons Attribution (CC BY) license (https://creativecommons.org/licenses/by/4.0/).
Share and Cite
Gebremichael, M.; Yue, H.; Nourani, V. The Accuracy of Precipitation Forecasts at Timescales of 1–15 Days in the Volta River Basin. Remote Sens. 2022, 14, 937. https://doi.org/10.3390/rs14040937
Gebremichael M, Yue H, Nourani V. The Accuracy of Precipitation Forecasts at Timescales of 1–15 Days in the Volta River Basin. Remote Sensing. 2022; 14(4):937. https://doi.org/10.3390/rs14040937
Chicago/Turabian StyleGebremichael, Mekonnen, Haowen Yue, and Vahid Nourani. 2022. "The Accuracy of Precipitation Forecasts at Timescales of 1–15 Days in the Volta River Basin" Remote Sensing 14, no. 4: 937. https://doi.org/10.3390/rs14040937
APA StyleGebremichael, M., Yue, H., & Nourani, V. (2022). The Accuracy of Precipitation Forecasts at Timescales of 1–15 Days in the Volta River Basin. Remote Sensing, 14(4), 937. https://doi.org/10.3390/rs14040937

