Simulation and Analysis of Electromagnetic Scattering from Anisotropic Plasma-Coated Electrically Large and Complex Targets
Abstract
:1. Introduction
2. The Scattered Fields for An Infinite Plasma-Coated PEC Slab
2.1. The Plane Wave Spectrum Representation of the Field in the Plasmas
2.2. The Total Scattered Fields in the Spectral Domain
2.3. Propagation Analysis of Each Secondary Scattered Field
- is the primary reflection field of the EM wave incident on the surface of the plasma, is the corresponding reflection matrix;
- is the initial transmission field of the EM wave incident into the plasma layer, is the corresponding transmission matrix;
- is the reflected field after the initial transmission field is incident on the bottom PEC boundary, is the reflection matrix formed by and ;
- is the transmission field transmitted into the air after one reflection in the layer, is the transmission matrix formed by and ;
- is the reflection field that is reflected back to the medium on the upper surface after one reflection in the layer, is the reflection matrix formed by and ;
- The first reflection on the outer surface
- 2.
- The reflection of the substrate in the plasma layer
- 3.
- Transmission from the plasma layer to the upper half-space
3. Physical Optical Solution of Electrically Large Plasma-Coated Targets
3.1. Surface EM Field of an Infinite Plasma-Coated PEC Slab
3.2. PO Solution of Plasma-Coated Targets
4. Numerical Simulations and Discussion
4.1. Validation and Analysis
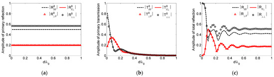
4.2. The Scattering Characteristics and Analysis of a Plasma-Coated Infinite PEC Plate
4.3. Scattering Characteristics and Analysis of Plasma-Coated Complex Targets
5. Conclusions
Author Contributions
Funding
Acknowledgments
Conflicts of Interest
References
- Hartunian, R.A.; Stewart, G.E.; Fergason, S.D.; Curtiss, T.J.; Seibold, R.W. Causes and Mitigation of Radio Frequency (RF) Blackout During Reentry of Reusable Launch Vehicles; Aerospace Corporation: El Segundo, CA, USA, 2007. [Google Scholar]
- Kushwaha, M.; Halevi, P. Magnetoplasma modes in thin films in the Faraday configuration. Phys. Rev. B Condens. Matter 1987, 35, 3879–3889. [Google Scholar] [CrossRef] [PubMed]
- Kushwaha, M.; Halevi, P. Magnetoplasmons in thin films in the Voigt configuration. Phys. Rev. B Condens. Matter 1987, 36, 5960–5967. [Google Scholar] [CrossRef]
- Kushwaha, M.; Halevi, P. Magnetoplasmons in thin films in the perpendicular configuration. Phys. Rev. B Condens. Matter 1989, 38, 12428–12435. [Google Scholar] [CrossRef] [PubMed]
- Shi, J.; Gao, Y.; Wang, J.; Yuan, Z.; Ling, Y. Electromagnetic Reflection of Conductive Plane Covered with Magnetized Inhomogeneous Plasma. Int. J. Infrared Millim. Waves 2001, 22, 1167–1175. [Google Scholar] [CrossRef]
- Zhang, J.; Liu, Z. Electromagnetic Reflection from Conductive Plate Coated with Nonuniform Plasma. Int. J. Infrared Millim. Waves 2007, 28, 71–78. [Google Scholar] [CrossRef]
- Schneider, J.; Hudson, S. A finite-difference time-domain method applied to anisotropic material. IEEE Trans. Antennas Propag. 1993, 41, 994–999. [Google Scholar] [CrossRef]
- Heald, M.A.; Wharton, C.B.; Furth, H.P. Plasma diagnostics with microwaves. Phys. Today 1965, 18, 72–74. [Google Scholar] [CrossRef]
- Vidmar, R.J. On the use of atmospheric pressure plasmas as electromagnetic reflectors and absorbers. IEEE Trans. Plasma Sci. 1990, 18, 733–741. [Google Scholar] [CrossRef]
- Cheng, G.; Liu, L. Direct finite-difference analysis of the electromagnetic-wave propagation in inhomogeneous plasma. IEEE Trans. Plasma Sci. 2010, 38, 3109–3115. [Google Scholar] [CrossRef]
- Geng, Y.; Qiu, C. Extended Mie Theory for a Gyrotropic-Coated Conducting Sphere: An Analytical Approach. IEEE Trans. Antennas Propag. 2011, 59, 4364–4368. [Google Scholar] [CrossRef]
- Song, Y.; Tse, C.; Qiu, C. Electromagnetic Scattering by a Gyrotropic-Coated Conducting Sphere Illuminated From Arbitrary Spatial Angles. IEEE Trans. Antennas Propag. 2013, 61, 3381–3386. [Google Scholar] [CrossRef]
- Ghaffar, A.; Yaqoob, M.Z.; Alkanhal, M.; Sharif, M.; Naqvi, Q. Electromagnetic scattering from anisotropic plasma-coated perfect electromagnetic conductor cylinders. AEU-Int. J. Electron. Commun. 2014, 68, 767–772. [Google Scholar] [CrossRef]
- Soudais, P.; Steve, H.; Dubois, F. Scattering from several test-objects computed by 3-D hybrid IE/PDE methods. IEEE Trans. Antennas Propag. 1999, 47, 646–653. [Google Scholar] [CrossRef]
- Graglia, R.; Uslenghi, P.; Zich, R. Moment Method with Isoporametric Element for Three-Dimensional A nisotropic Scatterers. Proc. IEEE 1989, 77, 750–760. [Google Scholar] [CrossRef]
- Yuan, J.; Niu, Z.; Gu, C. Electromagnetic Scattering by Arbitrarily Shaped PEC Targets Coated with Anisotropic Media Using Equivalent Dipole-Moment Method. J. Infrared Millim. Terahertz Waves 2010, 31, 744–752. [Google Scholar] [CrossRef]
- Chung, S.S.M. FDTD simulations on radar cross sections of metal cone and plasma covered metal cone. Vacuum 2012, 86, 970–984. [Google Scholar] [CrossRef]
- Liu, S.; Zhong, S. Analysis of backscattering RCS of targets coated with parabolic distribution and time-varying plasma media. Optik-Int. J. Light Electron. Opt. 2013, 124, 6850–6852. [Google Scholar] [CrossRef]
- Xu, L.; Yuan, N. FDTD Formulations for Scattering From 3-D Anisotropic Magnetized Plasma Objects. IEEE Antennas Wirel. Propag. Lett. 2006, 5, 335–338. [Google Scholar] [CrossRef]
- Sheng, X.; Peng, Z. Analysis of scattering by large objects with off-diagonally anisotropic material using finite element-boundary integral-multilevel fast multipole algorithm. IET Microw. Antennas Propag. 2010, 4, 492–500. [Google Scholar] [CrossRef]
- Wanjun, S.; Hou, Z. RCS Prediction of Objects Coated by Magnetized Plasma Via Scale Model With FDTD. IEEE Trans. Microw. Theory Tech. 2017, 65, 1939–1945. [Google Scholar] [CrossRef]
- Dan, L.; Tong, C.; Jiao, W. RCS simulation of plasma-coated targets modeled by NURBS surfaces. In Proceedings of the 2009 Asia Pacific Microwave Conference, Singapore, 7–10 December 2009. [Google Scholar]
- Liu, S.; Guo, L. Analyzing the Electromagnetic Scattering Characteristics for 3-D Inhomogeneous Plasma Sheath Based on PO Method. IEEE Trans. Plasma Sci. 2016, 44, 2838–2843. [Google Scholar] [CrossRef]
- Yu, Q.; Cong, Z.; He, Z.; Ding, D.; Chen, R. Study on Electromagnetic Scattering Characteristic of Hypervelocity Model with SBR Method. In Proceedings of the 2018 IEEE International Conference on Computational Electromagnetics (ICCEM), Chengdu, China, 26–28 March 2018. [Google Scholar]
- Bian, Z.; Li, J.; Guo, L.; Luo, X. Analyzing the Electromagnetic Scattering Characteristics of a Hypersonic Vehicle Based on the Inhomogeneity Zonal Medium Model. IEEE Trans. Antennas Propag. 2021, 69, 971–982. [Google Scholar] [CrossRef]
- Li, J.; Bao, H.; Ding, D. Analysis for Scattering of Non-homogeneous Medium by Time Domain Volume Shooting and Bouncing Rays. Appl. Comput. Electromagn. Soc. J. 2021, 36, 245–251. [Google Scholar] [CrossRef]
- Yang, B.; Chen, R.; He, Z.; Yin, H. A Tetrahedral Meshed SBR method for RCS of plasma-coated cavity. In Proceedings of the 2019 International Applied Computational Electromagnetics Society Symposium-China (ACES), Nanjing, China, 8–11 August 2019; pp. 1–3. [Google Scholar] [CrossRef]
- Platzman, P.M.; Ozaki, H.T. Scattering of Electromagnetic Waves from an Infinitely Long Magnetized Cylindrical Plasma. J. Appl. Phys. 1960, 31, 1597–1601. [Google Scholar] [CrossRef]
- Yeh, K.C.; Liu, C.H. Theory of ionospheric waves. IEEE Trans. Plasma Sci. 1972, 1, 42. [Google Scholar] [CrossRef]
- Yao, J.; He, S.; Li, C.; Yin, H.; Wang, C.; Zhu, G. An asymptotic solution of the scattering from a biaxial electric anisotropic slab with a PEC substrate. J. Electromagn. Waves Appl. 2013, 27, 1534–1549. [Google Scholar] [CrossRef]
- Yao, J.J.; He, S.Y.; Zhang, Y.H.; Yin, H.C.; Wang, C.; Zhu, G.Q. Evaluation of Scattering from Electrically Large and Complex PEC Target Coated with Uniaxial Electric Anisotropic Medium Layer Based on Asymptotic Solution in Spectral Domain. IEEE Trans. Antennas Propag. 2014, 62, 2175–2186. [Google Scholar] [CrossRef]
- Wait, J.R. Some boundary value problems involving plasma media. J. Res. Natl. Bur. Stand. 1961, 65, 137–150. [Google Scholar] [CrossRef]
- Elking, D.M.; Roedder, J.M.; Car, D.D.; Alspach, S.D. A review of high-frequency radar cross section analysis capabilities at McDonnell Douglas Aerospace. IEEE Antennas Propag. Mag. 1995, 37, 33–42. [Google Scholar] [CrossRef]
- Gordon, W. Far-field approximations to the Kirchoff-Helmholtz representations of scattered fields. IEEE Trans. Antennas Propag. 1975, 23, 590–592. [Google Scholar] [CrossRef]
- Titchener, J.B.; Willis, J.R. The reflection of electromagnetic waves from stratified anisotropic media. IEEE Trans. Antennas Propag. 1991, 39, 35–39. [Google Scholar] [CrossRef]
























| Method | The Proposed Method | HFSS |
|---|---|---|
| CPU time | 6.17 s | 308 s |
| Required memory | 30.79 MB | 6.26 GB |
Publisher’s Note: MDPI stays neutral with regard to jurisdictional claims in published maps and institutional affiliations. |
© 2022 by the authors. Licensee MDPI, Basel, Switzerland. This article is an open access article distributed under the terms and conditions of the Creative Commons Attribution (CC BY) license (https://creativecommons.org/licenses/by/4.0/).
Share and Cite
Rao, Z.; Zhu, G.; He, S.; Li, C.; Yang, Z.; Liu, J. Simulation and Analysis of Electromagnetic Scattering from Anisotropic Plasma-Coated Electrically Large and Complex Targets. Remote Sens. 2022, 14, 764. https://doi.org/10.3390/rs14030764
Rao Z, Zhu G, He S, Li C, Yang Z, Liu J. Simulation and Analysis of Electromagnetic Scattering from Anisotropic Plasma-Coated Electrically Large and Complex Targets. Remote Sensing. 2022; 14(3):764. https://doi.org/10.3390/rs14030764
Chicago/Turabian StyleRao, Zhenmin, Guoqiang Zhu, Siyuan He, Chao Li, Zewang Yang, and Jian Liu. 2022. "Simulation and Analysis of Electromagnetic Scattering from Anisotropic Plasma-Coated Electrically Large and Complex Targets" Remote Sensing 14, no. 3: 764. https://doi.org/10.3390/rs14030764
APA StyleRao, Z., Zhu, G., He, S., Li, C., Yang, Z., & Liu, J. (2022). Simulation and Analysis of Electromagnetic Scattering from Anisotropic Plasma-Coated Electrically Large and Complex Targets. Remote Sensing, 14(3), 764. https://doi.org/10.3390/rs14030764

