Exploring the Potential of Lidar and Sentinel-2 Data to Model the Post-Fire Structural Characteristics of Gorse Shrublands in NW Spain
Abstract
1. Introduction
2. Materials and Methods
2.1. Study Area
2.2. Layout of Experimental Plots and Characterization of Vegetation
2.3. Explanatory Variables
2.4. Statistical Analysis
3. Results
4. Discussion
5. Conclusions
Author Contributions
Funding
Data Availability Statement
Conflicts of Interest
References
- Zheng, G.; Chen, J.M.; Tian, Q.J.; Ju, W.M.; Xia, X.Q. Combining remote sensing imagery and forest age inventory for biomass mapping. J. Environ. Manag. 2007, 85, 616–623. [Google Scholar] [CrossRef] [PubMed]
- IPCC. IPCC Guidelines for National Greenhouse Gas Inventories; Eggelston, S., Buendia, L., Miwa, K., Ngara, T., Tanabe, K., Eds.; IGES: Hayama, Japan, 2006. [Google Scholar]
- Meng, R.; Wu, J.; Schwager, K.L.; Zhao, F.; Dennison, P.E.; Cook, B.D.; Brewster, K.; Green, T.M.; Serbin, S.P. Using high spatial resolution satellite imagery to map forest burn severity across spatial scales in a Pine Barrens ecosystem. Remote Sens. Environ. 2017, 191, 95–109. [Google Scholar] [CrossRef]
- Meng, R.; Wu, J.; Zhao, F.; Cook, B.D.; Hanavan, R.P.; Serbin, S.P. Measuring short-term post-fire forest recovery across a burn severity gradient in a mixed pine-oak forest using multi-sensor remote sensing techniques. Remote Sens. Environ. 2018, 210, 282–296. [Google Scholar] [CrossRef]
- García, M.; Saatchi, S.; Casas, A.; Koltunov, A.; Ustin, S.L.; Ramirez, C.; Balzter, H. Extrapolating Forest Canopy Fuel Properties in the California Rim Fire by Combining Airborne LiDAR and Landsat OLI Data. Remote Sens. 2017, 9, 394. [Google Scholar] [CrossRef]
- Engelstad, P.S.; Falkowski, M.; Wolter, P.; Poznanovic, A.; Johnson, P. Estimating Canopy Fuel Attributes from Low-Density LiDAR. Fire 2019, 2, 38. [Google Scholar] [CrossRef]
- Kumar, L.; Mutanga, O. Remote Sensing of Above-Ground Biomass. Remote Sens. 2017, 9, 935. [Google Scholar] [CrossRef]
- Gouveia, C.; DaCamara, C.C.; Trigo, R.M. Post-fire vegetation recovery in Portugal based on spot/vegetation data. Nat. Hazards Earth Syst. Sci. 2010, 10, 673–684. [Google Scholar] [CrossRef]
- Gitas, I.; Mitri, G.; Veraverbeke, S.; Polychronaki, A. Advances in remote sensing of post-fire vegetation recovery monitoring—A review. In Remote Sensing Biomass Principles Applications; Fatoyinbo, L., Ed.; IntechOpen: London, UK, 2012; pp. 143–176. [Google Scholar]
- De Groot, W.J.; Flanagan, D.C.; Stocks, B.J. Climate change and wildfires. In Proceedings of the Fourth International Symposium on Fire Economics, Planning, and Policy: Climate Change and Wildfires, Albany, CA, USA, 5–11 November 2012; pp. 1–10. [Google Scholar]
- Camia, A.; Libertà, G.; San Miguel, J. Modeling the Impacts of Climate Change on Forest Fire Danger in Europe; Publications Office of the European Union: Luxembourg, 2017. [Google Scholar]
- Vega, J.; Fernández, C.; Arellano-Pérez, S.; Fonturbel, T.; Ruíz, A. Os incendios forestais do cambio global xa estan aquí. Un desafío e unha ocasión para lograr unha resposta social consensuada. In Unha Nova Xeración de Lumes? Díaz-Fierros, F., Ed.; Consello da Cultura Galega: Santiago de Compostela, Spain, 2021; pp. 51–119. [Google Scholar]
- San-Miguel-Ayanz, J.; Moreno, J.M.; Camia, A. Analysis of large fires in European Mediterranean landscapes: Lessons learned and perspectives. For. Ecol. Manag. 2013, 294, 11–22. [Google Scholar] [CrossRef]
- Flannigan, M.; Cantin, A.S.; de Groot, W.J.; Wotton, M.; Newbery, A.; Gowman, L.M. Global wildland fire season severity in the 21st century. For. Ecol. Manag. 2013, 294, 54–61. [Google Scholar] [CrossRef]
- San-Miguel-Ayanz, J.; Tracy, D.; Boca, R.; Libertà, G.; Branco, A.; de Rigo, D.; Ferrari, D.; Maianti, P.; Artés Vivancos, T.; Costa, H.; et al. Forest Fires in Europe, Middle East and North Africa 2017; Joint Research Center, European Union: Ispra, Italy, 2018. [Google Scholar]
- Aranha, J.; Enes, T.; Calvão, A.; Viana, H. Shrub Biomass Estimates in Former Burnt Areas Using Sentinel 2 Images Processing and Classification. Forests 2020, 11, 555. [Google Scholar] [CrossRef]
- Ministerio de Medio Ambiente y Medio Rural yMarino. Cuarto Inventario Forestal Nacional; Ministerio de Medio Ambiente y Medio Rural yMarino: Galicia, Spain, 2011. [Google Scholar]
- Calvo, L.; Baeza, J.; Marcos, E.; Santana, V.M.; Papanastasis, V.P. Post-fire management of shrublands. In Post-Fire Management and Restoration of Southern European Forests; Moreira, F., Arianoutsou, M., Corona, P., De las Heras, J., Eds.; Managing Forest Ecosystems; Springer: Berlin/Heidelberg, Germany, 2012; Volume 24, pp. 293–319. [Google Scholar]
- CMR. Plan de Prevención y Defensa Contra los Incendios Forestales de Galicia; Xunta de Galicia: Santiago, Spain, 2022; p. 259.
- Botequim, B.; Zubizarreta-Gerendiain, A.; Garcia-Gonzalo, J.; Silva, A.; Marques, S.; Fernandes, P.; Pereira, J.; Tomé, M. A model of shrub biomass accumulation as a tool to support management of Portuguese forests. Iforest Biogeosci. For. 2015, 8, 114–125. [Google Scholar] [CrossRef]
- Vega, J.A.; Arellano-Pérez, S.; Álvarez-González, J.G.; Fernández, C.; Jiménez, E.; Fernández-Alonso, J.M.; Vega-Nieva, D.J.; Briones-Herrera, C.; Alonso-Rego, C.; Fontúrbel, T.; et al. Modelling aboveground biomass and fuel load components at stand level in shrub communities in NW Spain. For. Ecol. Manag. 2022, 505, 119926. [Google Scholar] [CrossRef]
- Fernández, C.; Vega, J.A. Shrub recovery after fuel reduction treatments in a gorse shrubland in northern Spain. J. Environ. Manag. 2016, 166, 211–216. [Google Scholar] [CrossRef] [PubMed]
- Keane, R.E. Wildland Fuel Fundamentals and Applications; Springer: Berlin/Heidelberg, Germany, 2015; p. 191. [Google Scholar]
- Finney, M.A. FARSITE: Fire Area Simulator-Model Development and Evaluation; U.S. Department of Agriculture, Forest Service; Volume Research Paper RMRS-RP-4; Rocky Mountain Research Stationort: Collins, CO, USA, 1998.
- Keane, R.E. Describing wildland surface fuel loading for fire management: A review of approaches, methods and systems. Int. J. Wildland Fire 2013, 22, 51–62. [Google Scholar] [CrossRef]
- Baeza, M.J.; Raventós, J.; Escarré, A.; Vallejo, V.R. Fire Risk and Vegetation Structural Dynamics in Mediterranean Shrubland. Plant Ecol. 2006, 187, 189–201. [Google Scholar] [CrossRef]
- Marino, E.J.M.; Guijarro, M.C.H.; Díez, C.; Fernández, C. Flammability descriptors of fine dead fuels resulting from two mechanical treatments in shrubland: A comparative laboratory study. Int. J. Wildland Fire 2010, 19, 314–324. [Google Scholar] [CrossRef]
- Fernández, C. Medium-term effects of straw helimulching on post-fire vegetation recovery in shrublands in north-west Spain. Int. J. Wildland Fire 2021, 30, 301–305. [Google Scholar] [CrossRef]
- Madrigal, J.; Marino, E.; Guijarro, M.; Hernando, C.; Díez, C. Evaluation of the flammability of gorse (Ulex europaeus L.) managed by prescribed burning. Ann. For. Sci. 2012, 69, 387–397. [Google Scholar] [CrossRef]
- Kumar, L.; Sinha, P.; Taylor, S.; Alqurashi, A. Review of the use of remote sensing for biomass estimation to support renewable energy generation. J. Appl. Remote Sens. 2015, 9, 097696. [Google Scholar] [CrossRef]
- Lu, D.; Chen, Q.; Wang, G.; Liu, L.; Li, G.; Moran, E. A survey of remote sensing-based aboveground biomass estimation methods in forest ecosystems. Int. J. Digit. Earth 2016, 9, 63–105. [Google Scholar] [CrossRef]
- Viana, H.; Aranha, J.; Lopes, D.; Cohen, W.B. Estimation of crown biomass of Pinus pinaster stands and shrubland above-ground biomass using forest inventory data, remotely sensed imagery and spatial prediction models. Ecol. Model. 2012, 226, 22–35. [Google Scholar] [CrossRef]
- Mutanga, O.; Shoko, C.; Adelabu, S.; Bangira, T. Remote sensing of aboveground forest biomass: A review. Trop. Ecol. 2016, 57, 125–132. [Google Scholar]
- Durante, P.; Martín-Alcón, S.; Gil-Tena, A.; Algeet, N.; Tomé, J.L.; Recuero, L.; Palacios-Orueta, A.; Oyonarte, C. Improving Aboveground Forest Biomass Maps: From High-Resolution to National Scale. Remote Sens. 2019, 11, 795. [Google Scholar] [CrossRef]
- Wulder, M.A.; White, J.C.; Alvarez, F.; Han, T.; Rogan, J.; Hawkes, B. Characterizing boreal forest wildfire with multi-temporal Landsat and LIDAR data. Remote Sens. Environ. 2009, 113, 1540–1555. [Google Scholar] [CrossRef]
- Vaglio, G.; Pirotti, F.; Callegari, M.; Chen, Q.; Cuozzo, G.; Lingua, E.; Notarnicola, C.; Papale, D. Potential of ALOS2 and NDVI to Estimate Forest Above-Ground Biomass, and Comparison with Lidar-Derived Estimates. Remote Sens. 2017, 9, 18. [Google Scholar] [CrossRef]
- Sun, G.; Ranson, K.J. Forest biomass retrieval from lidar and radar. In Proceedings of the 2009 IEEE International Geoscience and Remote Sensing Symposium, Cape Town, South Africa, 12–17 July 2009; pp. V-300–V-303. [Google Scholar]
- Kellner, J.R.; Armston, J.; Birrer, M.; Cushman, K.C.; Duncanson, L.; Eck, C.; Falleger, C.; Imbach, B.; Král, K.; Krůček, M.; et al. New Opportunities for Forest Remote Sensing Through Ultra-High-Density Drone Lidar. Surv. Geophys. 2019, 40, 959–977. [Google Scholar] [CrossRef]
- Tang, H.; Armston, J.; Hancock, S.; Marselis, S.; Goetz, S.; Dubayah, R. Characterizing global forest canopy cover distribution using spaceborne lidar. Remote Sens. Environ. 2019, 231, 111262. [Google Scholar] [CrossRef]
- Bataineh, A.L.; Oswald, B.P.; Bataineh, M.; Unger, D.; Hung, I.K.; Scognamillo, D. Spatial autocorrelation and pseudoreplication in fire ecology. Fire Ecol. 2006, 2, 107–118. [Google Scholar] [CrossRef]
- Canfield, R.H. Application of the Line Interception Method in Sampling Range Vegetation. J. For. 1941, 39, 388–394. [Google Scholar] [CrossRef]
- XdG. Plan Básico Autonómico. Available online: http://mapas.xunta.gal (accessed on 3 December 2021).
- McGaughey, R.J. FUSION/LDV: Software for LiDAR Data Analysis and Visualization; US Department of Agriculture, Forest Service, Pacific Northwest Research Station: Seattle, WA, USA, 2009.
- Core Team Development, R. R: A Language and Environment for Statistical Computing; R Foundation for Statistical Computing: Vienna, Austria, 2022. [Google Scholar]
- Kaufman, Y.J.; Sendra, C. Algorithm for automatic atmospheric corrections to visible and near-IR satellite imagery. Int. J. Remote Sens. 1988, 9, 1357–1381. [Google Scholar] [CrossRef]
- Copernicus, H. Copernicus Open Access Hub. Available online: https://scihub.copernicus.eu/dhus/#/home (accessed on 24 February 2022).
- Key, C.H.; Benson, N.C. Landscape Assessment: Ground Measure of Severity, the Composite Burn Index; and Remote Sensing of Severity, the Normalized Burn Ratio; RMRS-GTR-164-CD: LA 1-51; USDA Forest Service, Rocky Mountain Research Station: Odgen, UT, USA, 2006.
- Rouse, J.W.; Haas, R.H.; Schell, J.A.; Deering, D.W. Monitoring vegetation systems in the Great Plains with ERTS. In Proceedings of the Third Earth Resources Technology Satellite–1 Symposium, Washington, DC, USA, 10–14 December 1973; pp. 309–317. [Google Scholar]
- Jordan, C.F. Derivation of Leaf-Area Index from Quality of Light on the Forest Floor. Ecology 1969, 50, 663–666. [Google Scholar] [CrossRef]
- Huete, A.R. A soil-adjusted vegetation index (SAVI). Remote Sens. Environ. 1988, 25, 295–309. [Google Scholar] [CrossRef]
- Liu, H.Q.; Huete, A. A feedback based modification of the NDVI to minimize canopy background and atmospheric noise. IEEE Trans. Geosci. Remote Sens. 1995, 33, 457–465. [Google Scholar] [CrossRef]
- Xu, B.; Gong, P.; Pu, R. Crown closure estimation of oak savannah in a dry season with Landsat TM imagery: Comparison of various indices through correlation analysis. Int. J. Remote Sens. 2003, 24, 1811–1822. [Google Scholar] [CrossRef]
- Chen, W.; Zhao, J.; Cao, C.; Tian, H. Shrub biomass estimation in semi-arid sandland ecosystem based on remote sensing technology. Glob. Ecol. Conserv. 2018, 16, e00479. [Google Scholar] [CrossRef]
- Meng, R.; Dennison, P.E.; Huang, C.; Moritz, M.A.; D’Antonio, C. Effects of fire severity and post-fire climate on short-term vegetation recovery of mixed-conifer and red fir forests in the Sierra Nevada Mountains of California. Remote Sens. Environ. 2015, 171, 311–325. [Google Scholar] [CrossRef]
- Yang, J.; Pan, S.; Dangal, S.; Zhang, B.; Wang, S.; Tian, H. Continental-scale quantification of post-fire vegetation greenness recovery in temperate and boreal North America. Remote Sens. Environ. 2017, 199, 277–290. [Google Scholar] [CrossRef]
- Li, A.; Dhakal, S.; Glenn, N.F.; Spaete, L.P.; Shinneman, D.J.; Pilliod, D.S.; Arkle, R.S.; McIlroy, S.K. Lidar Aboveground Vegetation Biomass Estimates in Shrublands: Prediction, Uncertainties and Application to Coarser Scales. Remote Sens. 2017, 9, 903. [Google Scholar] [CrossRef]
- Veraverbeke, S.; Gitas, I.; Katagis, T.; Polychronaki, A.; Somers, B.; Goossens, R. Assessing post-fire vegetation recovery using red–near infrared vegetation indices: Accounting for background and vegetation variability. ISPRS J. Photogramm. Remote Sens. 2012, 68, 28–39. [Google Scholar] [CrossRef]
- Huete, A.; Didan, K.; Miura, T.; Rodriguez, E.P.; Gao, X.; Ferreira, L.G. Overview of the radiometric and biophysical performance of the MODIS vegetation indices. Remote Sens. Environ. 2002, 83, 195–213. [Google Scholar] [CrossRef]
- Escuin, S.; Navarro, R.; Fernández, P. Fire severity assessment by using NBR (Normalized Burn Ratio) and NDVI (Normalized Difference Vegetation Index) derived from LANDSAT TM/ETM images. Int. J. Remote Sens. 2008, 29, 1053–1073. [Google Scholar] [CrossRef]
- Li, A.; Huang, C.; Sun, G.; Shi, H.; Toney, C.; Zhu, Z.; Rollins, M.G.; Goward, S.N.; Masek, J.G. Modeling the height of young forests regenerating from recent disturbances in Mississippi using Landsat and ICESat data. Remote Sens. Environ. 2011, 115, 1837–1849. [Google Scholar] [CrossRef]
- Pascual, C.; García-Abril, A.; Cohen, W.B.; Martín-Fernández, S. Relationship between LiDAR-derived forest canopy height and Landsat images. Int. J. Remote Sens. 2010, 31, 1261–1280. [Google Scholar] [CrossRef]
- Vargas-Larreta, B.; López-Sánchez, C.A.; Corral-Rivas, J.J.; López-Martínez, J.O.; Aguirre-Calderón, C.G.; Álvarez-González, J.G. Allometric Equations for Estimating Biomass and Carbon Stocks in the Temperate Forests of North-Western Mexico. Forests 2017, 8, 269. [Google Scholar] [CrossRef]
- Nguyen, T.H.; Jones, S.; Soto-Berelov, M.; Haywood, A.; Hislop, S. A Comparison of Imputation Approaches for Estimating Forest Biomass Using Landsat Time-Series and Inventory Data. Remote Sens. 2018, 10, 1825. [Google Scholar] [CrossRef]
- Alonso-Rego, C.; Arellano-Pérez, S.; Cabo, C.; Ordoñez, C.; Álvarez-González, J.G.; Díaz-Varela, R.A.; Ruiz-González, A.D. Estimating Fuel Loads and Structural Characteristics of Shrub Communities by Using Terrestrial Laser Scanning. Remote Sens. 2020, 12, 3704. [Google Scholar] [CrossRef]
- Zolkos, S.G.; Goetz, S.J.; Dubayah, R. A meta-analysis of terrestrial aboveground biomass estimation using lidar remote sensing. Remote Sens. Environ. 2013, 128, 289–298. [Google Scholar] [CrossRef]




| Experimental Site | Mean Annual Precipitation (mm) | Mean Annual Temperature °C | Aspect | Elevation (m a.s.l) | Fire Occurrence Date | Burned Area (ha) | Number of Plots |
|---|---|---|---|---|---|---|---|
| Piñor | 1241 | 11.7 | W | 850 | September 2009 | 350 | 2 |
| Acevedo | 1572 | 14.5 | E | 275 | August 2013 | 1824 | 6 |
| O Pindo | 946 | 14.4 | W | 225 | September 2013 | 2166 | 5 |
| Negreira | 1450 | 12.4 | W-SW | 240 | September 2013 | 646 | 5 |
| Porto do Son | 1300 | 14.6 | NE | 215 | August 2016 | 870 | 4 |
| Sentinel-2 Bands | Central Wavelength (μm) | Resolution (m) |
|---|---|---|
| B2–Blue | 0.490 | 10 |
| B3–Green | 0.560 | 10 |
| B4–Red | 0.665 | 10 |
| B5 - Vegetation Red Edge | 0.705 | 20 |
| B6 - Vegetation Red Edge | 0.740 | 20 |
| B7 - Vegetation Red Edge | 0.783 | 20 |
| B8–NIR | 0.842 | 10 |
| B8A - Vegetation Red Edge | 0.865 | 20 |
| B10 - SWIR–Cirrus | 1.375 | 60 |
| B11–SWIR | 1.610 | 20 |
| B12–SWIR | 2.190 | 20 |
| Index | Description | Algorithm | Reference |
|---|---|---|---|
| NBR | Normalized Burn Ratio | [47] | |
| NDVI | Normalized Difference Vegetation Index | [48] | |
| RVI | Ratio Vegetation Index | [49] | |
| SAVI | Soil-Adjusted Vegetation Index | ) L = 0.5 | [50] |
| EVI | Enhanced Vegetation Index | [51] |
| Vegetation Variable | Mean | Range |
|---|---|---|
| Total cover, % | 220.0 | 102.0–321.8 |
| Height, cm | 105.8 | 45.0–190.0 |
| Total standing biomass, kg/m2 | 3.1 | 1.1–5.9 |
| Total live biomass, kg/m2 | 2.4 | 0.9–4.4 |
| Total dead biomass, kg/m2 | 0.7 | 0.2–1.6 |
| Live fine (diameter < 6 mm) biomass, kg/m2 | 1.4 | 0.9–2.8 |
| Dead fine (diameter < 6 mm) biomass, kg/m2 | 0.6 | 0.1–1.6 |
| Sentinel-2 Spectral Index | Mean | Range |
|---|---|---|
| Normalized burn ratio (NBR) | 0.5 | 0.3–0.6 |
| Normalized Difference Vegetation Index (NDVI) | 0.7 | 0.6–0.8 |
| Ratio Vegetation Index (RVI) | 6.7 | 3.8–11.0 |
| Soil-Adjusted Vegetation Index (SAVI) | 0.4 | 0.3–0.4 |
| Enhanced Vegetation Index (EVI) | 0.4 | 0.3–0.4 |
| LiDAR Metrics (cm) | Mean | Range |
|---|---|---|
| Mean height (Emean) | 40.9 | 40.3–60.4 |
| Maximum height (Emax) | 190.2 | 170.3–200.3 |
| Minimum height (Emin) | 0.0 | 0.0–1 |
| 1st height percentile (E1) | 0.0 | 0.0–1 |
| 5th height percentile (E5) | 1 | 0.0–1 |
| 10th height percentile (E10) | 1 | 0.0–1 |
| 20th height percentile (E20) | 1 | 0.0–1 |
| 30th height percentile (E30) | 2 | 1–4 |
| 40th height percentile (E40) | 6 | 1–24 |
| 50th height percentile (E50) | 16 | 40–56 |
| 60th height percentile (E60) | 50 | 37–83 |
| 70th height percentile (E70) | 79 | 62–100 |
| 75th height percentile (E75) | 93 | 79–113 |
| 90th height percentile (E90) | 138 | 124–153 |
| Vegetation Variable | Regression Model | Adj. R2 | RMSE | |
|---|---|---|---|---|
| Cover (%) | 0.61 | 41.3 | 19.4 | |
| Height (cm) | 0.43 | 34.0 | 31.4 | |
| Total standing biomass (kg/m2) | 0.62 | 0.8 | 25.3 | |
| Total live biomass (kg/m2) | 0.61 | 0.5 | 23.0 | |
| Total dead biomass (kg/m2) | 0.73 | 0.2 | 34.3 | |
| Live fine biomass (kg/m2) | 0.62 | 0.1 | 8.1 | |
| Dead fine biomass (kg/m2) | 0.64 | 0.2 | 49.0 |
| Vegetation Variable | Regression Model | Adj. R2 | RMSE | |
|---|---|---|---|---|
| Cover (%) | 0.81 | 44.3 | 20.8 | |
| Height (cm) | 0.62 | 26.5 | 24.5 | |
| Total standing biomass (kg/m2) | 0.34 | 1.3 | 44.9 | |
| Total live biomass (kg/m2) | 0.64 | 0.5 | 23.0 | |
| Total dead biomass (kg/m2) | 0.73 | 0.3 | 41.1 | |
| Live fine biomass (kg/m2) | 0.42 | 0.5 | 36.2 | |
| Dead fine biomass (kg/m2) | 0.82 | 0.2 | 36.9 |
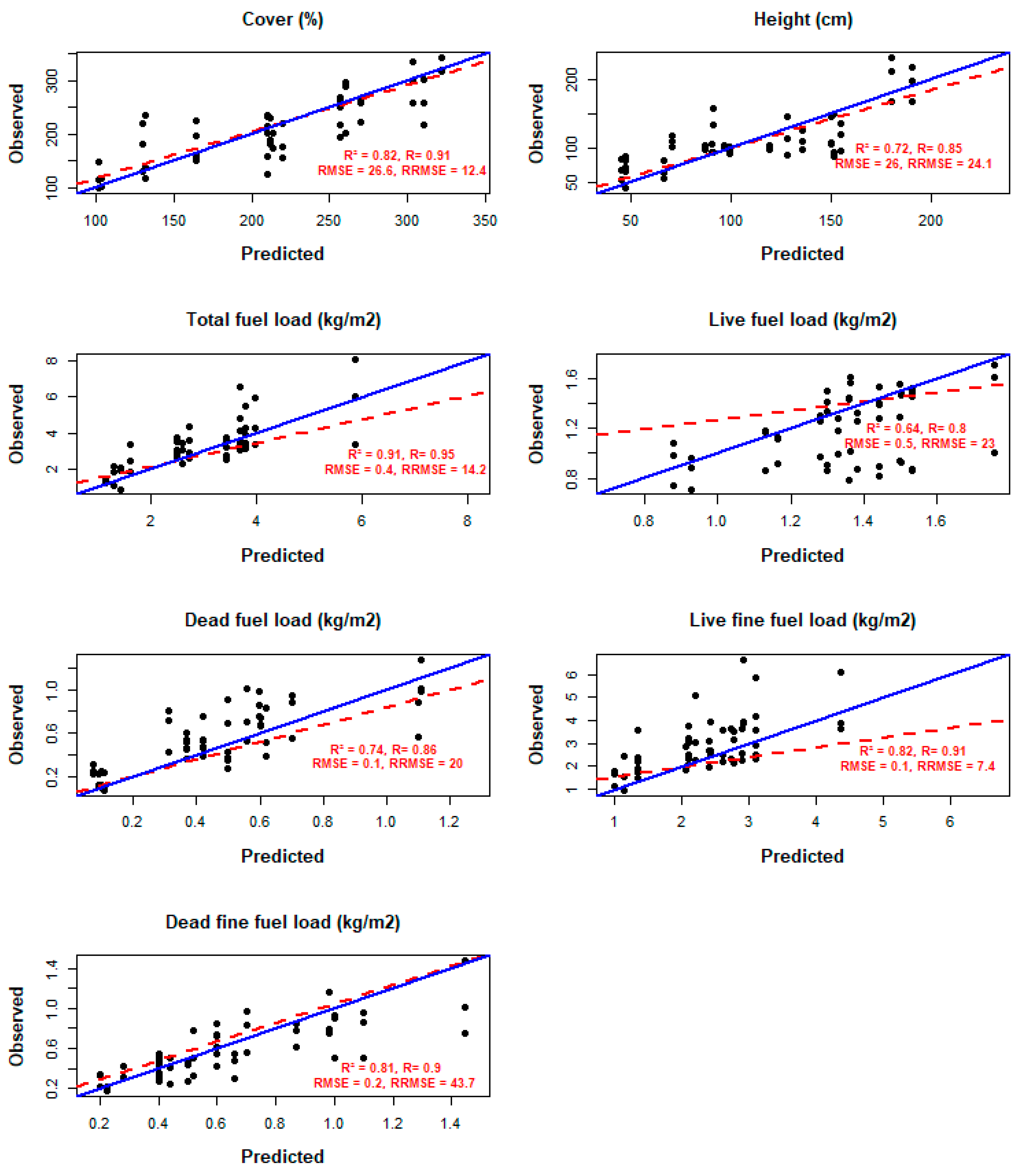
| Vegetation Variable | Regression Model | Adj. R2 | RMSE | |
|---|---|---|---|---|
| Cover (%) | 0.82 | 26.6 | 12.4 | |
| Height (cm) | 0.72 | 26.0 | 24.1 | |
| Total standing biomass (kg/m2) | 0.91 | 0.4 | 14.2 | |
| Total live biomass (kg/m2) | 0.64 | 0.5 | 23.0 | |
| Total dead biomass (kg/m2) | 0.74 | 0.1 | 20.0 | |
| Live fine biomass (kg/m2) | 0.82 | 0.1 | 7.4 | |
| Dead fine biomass (kg/m2) | 0.81 | 0.2 | 43.7 |
Publisher’s Note: MDPI stays neutral with regard to jurisdictional claims in published maps and institutional affiliations. |
© 2022 by the authors. Licensee MDPI, Basel, Switzerland. This article is an open access article distributed under the terms and conditions of the Creative Commons Attribution (CC BY) license (https://creativecommons.org/licenses/by/4.0/).
Share and Cite
Fernández-Alonso, J.M.; Llorens, R.; Sobrino, J.A.; Ruiz-González, A.D.; Alvarez-González, J.G.; Vega, J.A.; Fernández, C. Exploring the Potential of Lidar and Sentinel-2 Data to Model the Post-Fire Structural Characteristics of Gorse Shrublands in NW Spain. Remote Sens. 2022, 14, 6063. https://doi.org/10.3390/rs14236063
Fernández-Alonso JM, Llorens R, Sobrino JA, Ruiz-González AD, Alvarez-González JG, Vega JA, Fernández C. Exploring the Potential of Lidar and Sentinel-2 Data to Model the Post-Fire Structural Characteristics of Gorse Shrublands in NW Spain. Remote Sensing. 2022; 14(23):6063. https://doi.org/10.3390/rs14236063
Chicago/Turabian StyleFernández-Alonso, José María, Rafael Llorens, José Antonio Sobrino, Ana Daría Ruiz-González, Juan Gabriel Alvarez-González, José Antonio Vega, and Cristina Fernández. 2022. "Exploring the Potential of Lidar and Sentinel-2 Data to Model the Post-Fire Structural Characteristics of Gorse Shrublands in NW Spain" Remote Sensing 14, no. 23: 6063. https://doi.org/10.3390/rs14236063
APA StyleFernández-Alonso, J. M., Llorens, R., Sobrino, J. A., Ruiz-González, A. D., Alvarez-González, J. G., Vega, J. A., & Fernández, C. (2022). Exploring the Potential of Lidar and Sentinel-2 Data to Model the Post-Fire Structural Characteristics of Gorse Shrublands in NW Spain. Remote Sensing, 14(23), 6063. https://doi.org/10.3390/rs14236063

