Generating Salt-Affected Irrigated Cropland Map in an Arid and Semi-Arid Region Using Multi-Sensor Remote Sensing Data
Abstract
1. Introduction
- Create a cropland base map using global land cover data from ESA WorldCover while masking off roads and irrigation ditches collected from the electronic map of HID;
- Evaluate the validity of samples, comprising both saline and non-saline cropland, using the quantile and quantile plots testing method;
- Create a multi-variable dataset for salt-affected cropland identification using VV + VH dual polarization, reflectance bands, and vegetation indices;
- Determine the best solution for mapping salt-affected cropland in dry and wet seasons using the overall accuracies and indicators from the confusion matrix of various datasets.
2. Materials and Methods
2.1. The Study Area
2.2. Data
2.2.1. Filed Sampling
2.2.2. Remote Sensing Data Collection
- PlanetScope
- Sentinel
2.2.3. Ancillary Data
2.3. Generating the Cropland Base Map
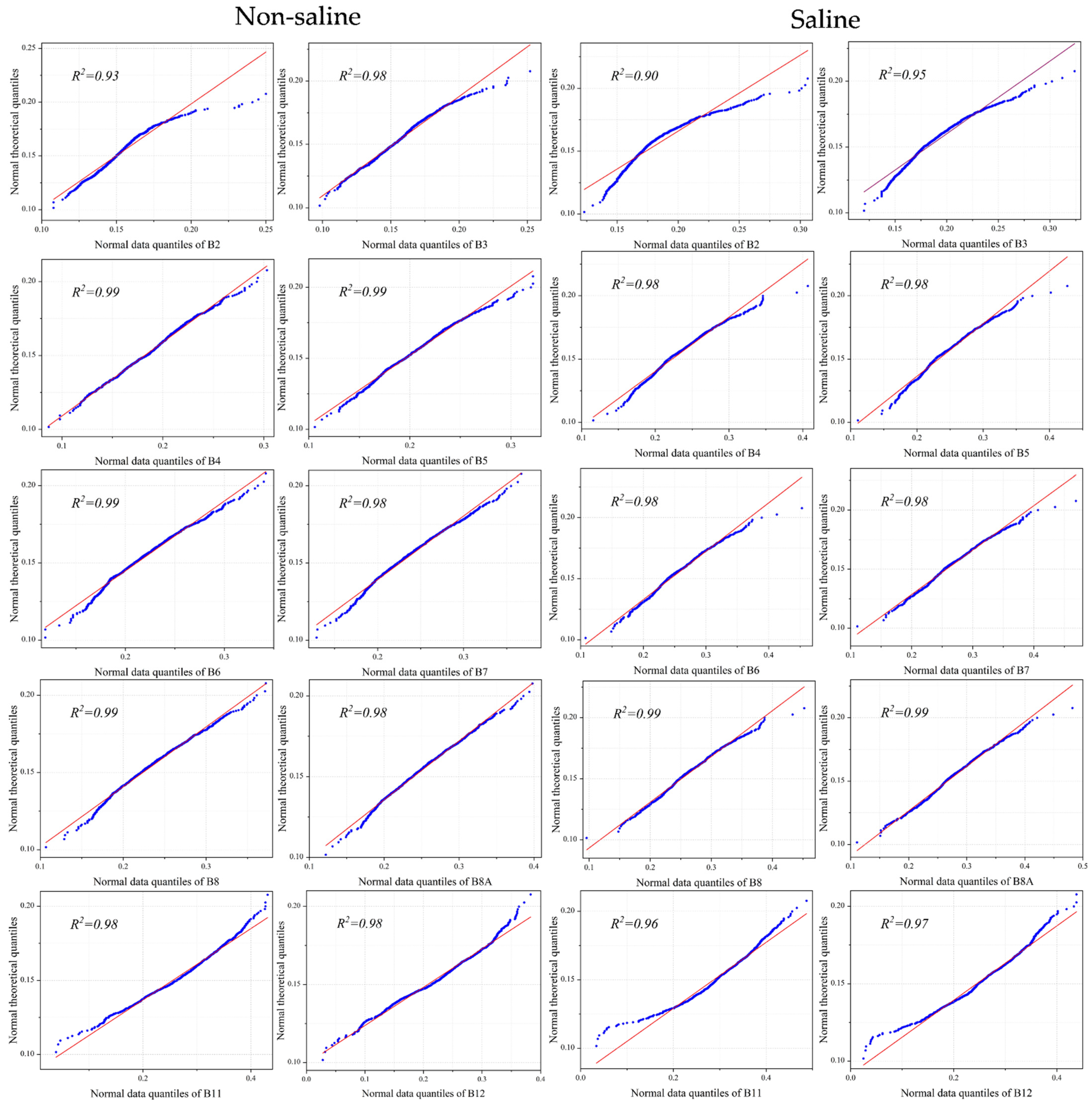
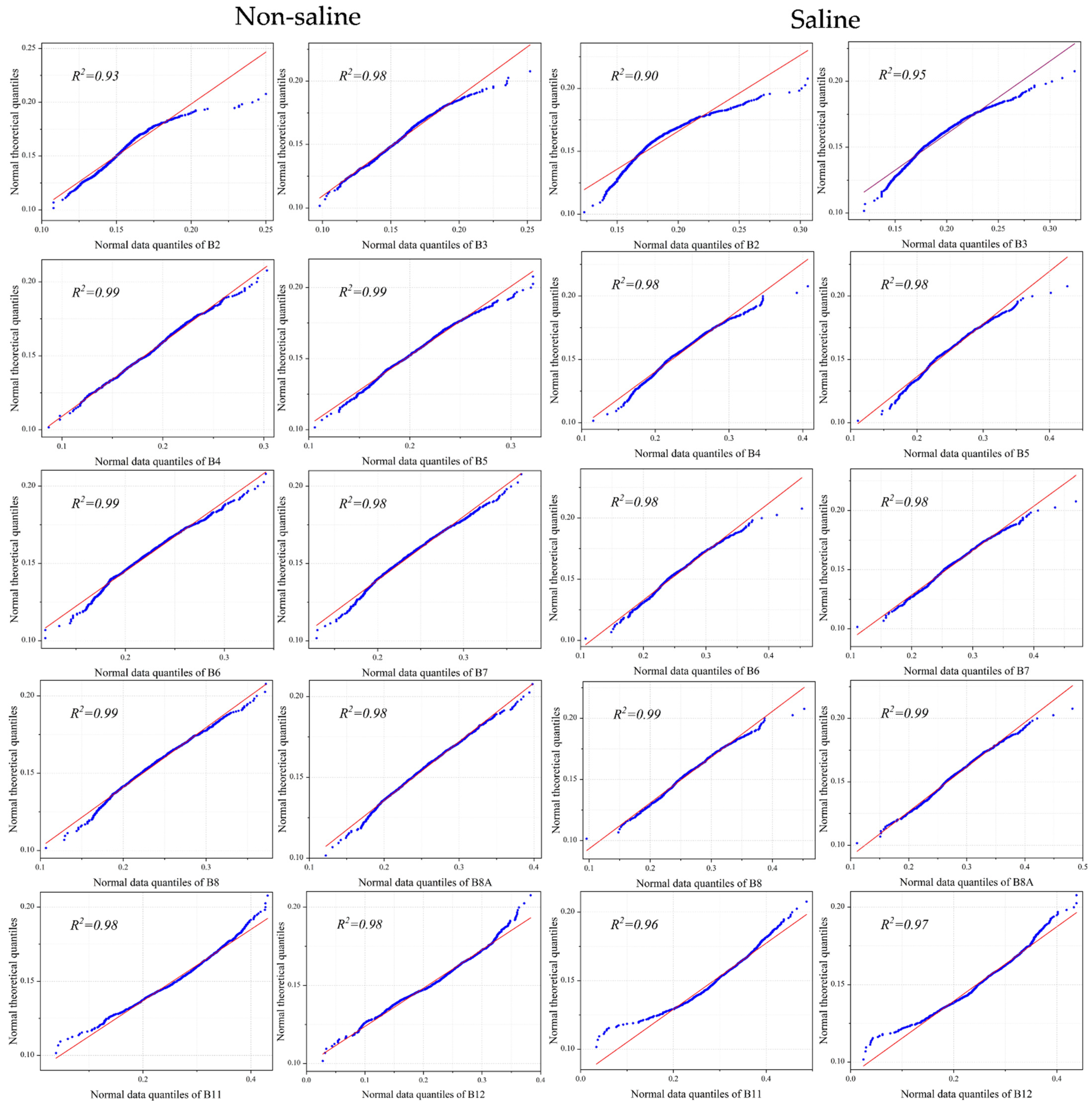
2.4. Quantile and Quantile Plots Testing
2.5. Modeling Strategy
2.5.1. Spectral Salinity Indices
2.5.2. Gray Level Co-Occurrence Matrix
2.5.3. Classifier and Accuracy Assessment
3. Results
3.1. Cropland Base Map
3.2. Sample Validity Test
3.3. Accuracy Assessment of Saline Cropland Mapping
3.4. The Map of Saline Cropland
4. Discussion
4.1. Indices in Salt-Affected Cropland Mapping
4.2. Multi-Sensor Data Application in Saline Cropland Mapping
4.3. Strongly Saline Cropland Abandonment in HID
5. Conclusions
Supplementary Materials
Author Contributions
Funding
Data Availability Statement
Conflicts of Interest
Appendix A
| Acronym | Bands | Spatial Resolution/m | Central Wavelength/nm |
|---|---|---|---|
| B2 | Blue | 10 | 496.6 (S2A)/492.1 (S2B) |
| B3 | Green | 10 | 560 (S2A)/559 (S2B) |
| B4 | Red | 10 | 664.5 (S2A)/665 (S2B) |
| B5 | Red Edge 1 | 20 | 703.9 (S2A)/703.8 (S2B) |
| B6 | Red Edge 2 | 20 | 740.2 (S2A)/739.1 (S2B) |
| B7 | Red Edge 3 | 20 | 782.5 (S2A)/779.7 (S2B) |
| B8 | NIR | 10 | 835.1 (S2A)/833 (S2B) |
| B8A | Narrow NIR | 20 | 864.8 (S2A)/864 (S2B) |
| B11 | SWIR 1 | 20 | 1613.7 (S2A)/1610.4 (S2B) |
| B12 | SWIR 2 | 20 | 2202.4 (S2A)/2185.7 (S2B) |
| Vegetation Index | Acronym | Formula |
|---|---|---|
| Normalized Difference Vegetation Index | NDVI | |
| Difference Vegetation Index | DVI | |
| Soil-Adjusted Vegetation Index | SAVI | |
| Optimized Soil Adjusted Vegetation Index | OSAVI | |
| Modified Soil-Adjusted Vegetation Index | MSAVI | |
| Normalized Difference Salinity Index | NDSI | |
| Salinity Index | SI |
| Datasets | Dry Season | Wet Season | ||
|---|---|---|---|---|
| Mar | Mar to Apr | Aug | Aug to Sep | |
| Sentinel-1 PolSAR | 0.6216 | 0.6815 | 0.5444 | 0.5946 |
| Textures of Sentinel-2 Blue band | 0.7722 | 0.7722 | 0.6583 | 0.6622 |
| Spectral bands of Sentinel-2 | 0.8012 | 0.8764 | 0.6680 | 0.7104 |
| Indices built based on Sentinel-2 | 0.8243 | 0.8687 | 0.6680 | 0.7104 |
| Combined dataset of Sentinel-1 and Sentinel-2 | 0.8610 | 0.8938 | 0.7220 | 0.7181 |
| Bands | Overall Accuracy | User Accuracy | Producers Accuracy | F1 Score | |||
|---|---|---|---|---|---|---|---|
| Non-Saline | Saline | Non-Saline | Saline | Non-Saline | Saline | ||
| VV | 0.5849 | 0.6571 | 0.4729 | 0.6592 | 0.4706 | 0.6582 | 0.4717 |
| VH | 0.6718 | 0.7400 | 0.5780 | 0.7070 | 0.6176 | 0.7231 | 0.5972 |
| savg | 0.6313 | 0.6916 | 0.5330 | 0.7070 | 0.5147 | 0.6992 | 0.5237 |
| idm | 0.5328 | 0.6295 | 0.4208 | 0.5573 | 0.4951 | 0.5912 | 0.4550 |
| ent | 0.5772 | 0.6537 | 0.4641 | 0.6433 | 0.4755 | 0.6485 | 0.4697 |
| dent | 0.5830 | 0.6551 | 0.4703 | 0.6592 | 0.4657 | 0.6571 | 0.4680 |
| shade | 0.5541 | 0.6361 | 0.4366 | 0.6178 | 0.4559 | 0.6268 | 0.4460 |
| asm | 0.6313 | 0.6977 | 0.5314 | 0.6911 | 0.5392 | 0.6944 | 0.5353 |
| corr | 0.5000 | 0.5979 | 0.3840 | 0.5350 | 0.4461 | 0.5647 | 0.4127 |
| dvar | 0.5290 | 0.6207 | 0.4123 | 0.5732 | 0.4608 | 0.5960 | 0.4352 |
| diss | 0.5869 | 0.6748 | 0.4784 | 0.6146 | 0.5441 | 0.6433 | 0.5092 |
| imcorr1 | 0.5502 | 0.6311 | 0.4306 | 0.6210 | 0.4412 | 0.6260 | 0.4358 |
| imcorr2 | 0.5425 | 0.6305 | 0.4260 | 0.5924 | 0.4657 | 0.6108 | 0.4450 |
| svar | 0.5290 | 0.6326 | 0.4213 | 0.5318 | 0.5245 | 0.5779 | 0.4672 |
| contrast | 0.5792 | 0.6548 | 0.4663 | 0.6465 | 0.4755 | 0.6506 | 0.4709 |
| prom | 0.5347 | 0.6308 | 0.4226 | 0.5605 | 0.4951 | 0.5936 | 0.4560 |
| var | 0.5521 | 0.6414 | 0.4386 | 0.5924 | 0.4902 | 0.6159 | 0.4630 |
| inertia | 0.5792 | 0.6548 | 0.4663 | 0.6465 | 0.4755 | 0.6506 | 0.4709 |
| sent | 0.5483 | 0.6325 | 0.4306 | 0.6083 | 0.4559 | 0.6201 | 0.4429 |
| B2 | 0.8012 | 0.8576 | 0.7265 | 0.8057 | 0.7941 | 0.8309 | 0.7588 |
| B3 | 0.7876 | 0.8312 | 0.7238 | 0.8153 | 0.7451 | 0.8232 | 0.7343 |
| B4 | 0.7761 | 0.8214 | 0.7095 | 0.8057 | 0.7304 | 0.8135 | 0.7198 |
| B5 | 0.7317 | 0.8028 | 0.6419 | 0.7389 | 0.7206 | 0.7695 | 0.6790 |
| B6 | 0.6950 | 0.7727 | 0.5991 | 0.7038 | 0.6814 | 0.7367 | 0.6376 |
| B7 | 0.6757 | 0.7704 | 0.5726 | 0.6624 | 0.6961 | 0.7123 | 0.6283 |
| B8 | 0.6834 | 0.7737 | 0.5820 | 0.6752 | 0.6961 | 0.7211 | 0.6339 |
| B8A | 0.6467 | 0.7365 | 0.5436 | 0.6497 | 0.6422 | 0.6904 | 0.5888 |
| B11 | 0.5753 | 0.6516 | 0.4615 | 0.6433 | 0.4706 | 0.6474 | 0.4660 |
| B12 | 0.6525 | 0.7147 | 0.5583 | 0.7102 | 0.5637 | 0.7125 | 0.5610 |
| NDVI | 0.7046 | 0.7766 | 0.6123 | 0.7197 | 0.6814 | 0.7471 | 0.6450 |
| SAVI | 0.7046 | 0.7766 | 0.6123 | 0.7197 | 0.6814 | 0.7471 | 0.6450 |
| OSAVI | 0.6988 | 0.7883 | 0.5984 | 0.6879 | 0.7157 | 0.7347 | 0.6518 |
| MSAVI | 0.7162 | 0.7831 | 0.6278 | 0.7357 | 0.6863 | 0.7586 | 0.6557 |
| SI | 0.7915 | 0.8344 | 0.7286 | 0.8185 | 0.7500 | 0.8264 | 0.7391 |
| NDSI | 0.7085 | 0.7860 | 0.6137 | 0.7134 | 0.7010 | 0.7479 | 0.6545 |
| DVI | 0.7085 | 0.7672 | 0.6244 | 0.7452 | 0.6520 | 0.7561 | 0.6379 |
| Sentinel-1 | 0.6815 | 0.7525 | 0.5874 | 0.7070 | 0.6422 | 0.7291 | 0.6136 |
| Sentinel-2 | 0.8919 | 0.9272 | 0.8426 | 0.8917 | 0.8922 | 0.9091 | 0.8667 |
| S1_S2 combined | 0.8938 | 0.9274 | 0.8465 | 0.8949 | 0.8922 | 0.9109 | 0.8687 |


References
- Butcher, K.; Wick, A.F.; DeSutter, T.; Chatterjee, A.; Harmon, J. Soil Salinity: A Threat to Global Food Security. Agronomy 2016, 108, 2189–2200. [Google Scholar] [CrossRef]
- Mohanavelu, A.; Naganna, S.R.; Al-Ansari, N. Irrigation Induced Salinity and Sodicity Hazards on Soil and Groundwater: An Overview of Its Causes, Impacts and Mitigation Strategies. Agriculture 2021, 11, 983. [Google Scholar] [CrossRef]
- FAO. World Map of Salt-Affected Soils Launched at Virtual Conference. 2021. Available online: https://www.fao.org/newsroom/detail/salt-affected-soils-map-symposium/en (accessed on 20 October 2021).
- Hussain, S.; Shaukat, M.; Ashraf, M.; Zhu, C.; Jin, Q.; Zhang, J. Climate Change and Agriculture, 1st ed.; IntechOpen: London, UK, 2019; pp. 1–26. ISBN 978-1-78985-667-5. [Google Scholar]
- Rhoades, J.D.; Chanduvi, F.; Lesch, S.M. Soil Salinity Assessment: Methods and Interpretation of Electrical Conductivity Measurements, 1st ed.; Food and Agriculture Organization of the United Nations: Rome, Italy, 1999; pp. 10–25. ISBN 92-5-104281-0. [Google Scholar]
- Bot, A.; Benites, J. The Importance of Soil Organic Matter: Key to Drought-Resistant Soil and Sustained Food Production, 1st ed.; Food and Agriculture Organization of the United Nations: Rome, Italy, 2005; pp. 10–25. ISBN 92-5-105366-9. [Google Scholar]
- Metternicht, G.; Zinck, J.A. (Eds.) Remote Sensing of Soil Salinization: Impact on Land Management, 1st ed.; CRC Press: Boca Raton, FL, USA, 2008; p. 377. ISBN 978-0-42919-177-0. [Google Scholar]
- Food and Agriculture Organization of the United Nations. Advances in the Assessment and Monitoring of Salinization and Status of Biosaline Agriculture: Report of an Expert Consultation Held in Dubai, 1st ed.; Food and Agriculture Organization of the United Nations: Abu Dhabi, United Arab Emirates, 2009; pp. 26–29. ISBN 92-5-105366-9. [Google Scholar]
- Re Soil Foundation Home Page. Available online: https://resoilfoundation.org/en/agricultural-industry/fao-salt-world-crops/ (accessed on 25 October 2021).
- Nachshon, U. Cropland Soil Salinization and Associated Hydrology: Trends, Processes and Examples. Water 2018, 10, 1030. [Google Scholar] [CrossRef]
- Wu, J.; Vincent, B.; Yang, J.; Bouarfa, S.; Vidal, A. Remote Sensing Monitoring of Changes in Soil Salinity: A Case Study in Inner Mongolia, China. Sensors 2008, 8, 7035–7049. [Google Scholar] [CrossRef]
- Miao, Q.; Zhou, L.; Gonçalves, J.M.; Duarte, I.M.; Li, R.; Shi, H. Effects of Sand Addition to Heavy Saline-Alkali Soil on the Infiltration and Salt Leaching in Hetao Irrigation District, China. Biol. Life Sci. Forum 2021, 3, 33. [Google Scholar] [CrossRef]
- Chang, X.M.; Wang, S.L.; Chen, H.R.; Fu, X.J.; Xu, N.N.; Yang, X.P. Spatiotemporal changes and influencing factors of soil salinity in Hetao Irrigation District. J. Irrig. Drain E-asce. 2018, 36, 1000–1005. (In Chinses) [Google Scholar] [CrossRef]
- Hamidov, A.; Helming, K.; Balla, D. Impact of agricultural land use in Central Asia: A review. Agron. Sustain. Dev. 2016, 6, 36. [Google Scholar] [CrossRef]
- Thiam, S.; Villamor, G.B.; Faye, L.C.; Jean, H.B.S.; Badabate, D.; Nicholas, K. Monitoring land use and soil salinity changes in coastal landscape: A case study from Senegal. Environ. Monit. Assess. 2021, 193, 259. [Google Scholar] [CrossRef] [PubMed]
- Shrivastava, P.; Kumar, R. Soil salinity: A serious environmental issue and plant growth promoting bacteria as one of the tools for its alleviation. Saudi J. Biol. Sci. 2015, 22, 123–131. [Google Scholar] [CrossRef] [PubMed]
- Naifer, A.; Al-Rawahy, S.A.; Zekri, S. Economic Impact of Salinity: The Case of Al-Batinah in Oman. IJARR 2011, 6, 134–142. [Google Scholar] [CrossRef][Green Version]
- Measho, S.; Li, F.; Pellikka, P.; Tian, C.; Hirwa, H.; Xu, N.; Qiao, Y.; Khasanov, S.; Kulmatov, R.; Chen, G. Soil Salinity Variations and Associated Implications for Agriculture and Land Resources Development Using Remote Sensing Datasets in Central Asia. Remote Sens. 2022, 14, 2501. [Google Scholar] [CrossRef]
- Sheng, Y.; Liu, W.; Xu, H.; Gao, X. The Spatial Distribution Characteristics of the Cultivated Land Quality in the Diluvial Fan Terrain of the Arid Region: A Case Study of Jimsar County, Xinjiang, China. Land 2021, 10, 896. [Google Scholar] [CrossRef]
- Kamran, M.; Parveen, A.; Ahmar, S.; Malik, Z.; Hussain, S.; Chattha, M.S.; Saleem, M.H.; Adil, M.; Heidari, P.; Chen, J.T. An Overview of Hazardous Impacts of Soil Salinity in Crops, Tolerance Mechanisms, and Amelioration through Selenium Supplementation. Int. J. Mol. Sci. 2020, 21, 148. [Google Scholar] [CrossRef] [PubMed]
- Singh, A. Soil salinization management for sustainable development: A review. J. Environ. Manag. 2020, 277, 111–383. [Google Scholar] [CrossRef]
- Rhoades, J.D. Salinity: Electrical Conductivity and Total Dissolved Solids. In Methods of Soil Analysis, 1st ed.; Sparks, D.L., Page, A.L., Helmke, P.A., Loeppert, R.H., Soltanpour, P.N., Tabatabai, M.A., Johnston, C.T., Sumner, M.E., Eds.; Wiley: Washington, DC, USA, 1996; Volume 3, pp. 417–435. [Google Scholar] [CrossRef]
- Nawar, S.; Buddenbaum, H.; Hill, J.; Kozak, J. Modeling and Mapping of Soil Salinity with Reflectance Spectroscopy and Landsat Data Using Two Quantitative Methods (PLSR and MARS). Remote Sens. 2014, 6, 10813–10834. [Google Scholar] [CrossRef]
- Abdelgadir, A.; Rubab, A. Mapping soil salinity in arid and semi-arid regions using Landsat 8 OLI satellite data. RSASE 2019, 13, 415–425. [Google Scholar] [CrossRef]
- Wang, J.; Ding, J.; Yu, D.L.; Ma, X.K.; Zhang, Z.P.; Ge, X.Y.; Teng, D.X.; Li, X.H.; Liang, J.; Lizaga, I.; et al. Capability of Sentinel-2 MSI data for monitoring and mapping of soil salinity in dry and wet seasons in the Ebinur Lake region, Xinjiang, China. Geoderma 2019, 353, 172–187. [Google Scholar] [CrossRef]
- Amal, A.; Lalit, K.; Aldakheel, Y.Y. Assessing soil salinity using soil salinity and vegetation indices derived from IKONOS high-spatial resolution imageries: Applications in a date palm dominated region. Geoderma 2014, 230–231, 1–8. [Google Scholar] [CrossRef]
- Ayetiguli, S.; Zhao, S.H.; Wen, Y.M. Estimating soil salinity in Pingluo County of China using QuickBird data and soil reflectance spectra. Int. J. Appl. Earth Obs. 2014, 26, 156–175. [Google Scholar] [CrossRef]
- Hu, J.; Peng, J.; Zhou, Y.; Xu, D.; Zhao, R.; Jiang, Q.; Fu, T.; Wang, F.; Shi, Z. Quantitative Estimation of Soil Salinity Using UAV-Borne Hyperspectral and Satellite Multispectral Images. Remote Sens. 2019, 11, 736. [Google Scholar] [CrossRef]
- Kargas, G.; Chatzigiakoumis, I.; Kollias, A.; Spiliotis, D.; Massas, I.; Kerkides, P. Soil Salinity Assessment Using Saturated Paste and Mass Soil: Water 1:1 and 1:5 Ratios Extracts. Water 2018, 10, 1589. [Google Scholar] [CrossRef]
- Dutkiewicz, A.; Lewis, M.; Ostendorf, B. Evaluation and comparison of hyperspectral imagery for mapping surface symptoms of dryland salinity. Int. J. Remote Sens. 2009, 30, 693–719. [Google Scholar] [CrossRef]
- Ivushkin, K.; Bartholomeus, H.; Bregt, A.K.; Pulatov, A. Satellite Thermography for Soil Salinity Assessment of Cropped Areas in Uzbekistan. Land Degrad. Dev. 2017, 28, 870–877. [Google Scholar] [CrossRef]
- Mohammad, M.T.; Mahdi, H.; Kamran, E. Soil salinity mapping using dual-polarized SAR Sentinel-1 imagery. Int. J. Remote Sens. 2019, 40, 237–252. [Google Scholar] [CrossRef]
- Hateffard, F.; Balog, K.; Tóth, T.; Mészáros, J.; Árvai, M.; Kovács, Z.A.; Szűcs-Vásárhelyi, N.; Koós, S.; László, P.; Novák, T.J.; et al. High-Resolution Mapping and Assessment of Salt-Affectedness on Arable Lands by the Combination of Ensemble Learning and Multivariate Geostatistics. Agronomy 2022, 12, 1858. [Google Scholar] [CrossRef]
- Bouaziz, M.; Matschullat, J.; Gloaguen, R. Remote sensing indicators to identify low and moderately salt-affected soils based on MODIS Terra and geochemical data. Remote Sensing for Agriculture, Ecosystems, and Hydrology XII. Int. Soc. Opt. Photonics 2010, 7824, 78241I. [Google Scholar]
- Gislason, P.O.; Benediktsson, J.A.; Sveinsson, J.R. Random forests for land cover classification. Pattern Recognit. Lett. 2006, 27, 294–300. [Google Scholar] [CrossRef]
- Fathizad, H.; Ardakani, M.A.H.; Sodaiezadech, H.; Kerry, R.; Taghizadeh-Mehrjardi, R. Investigation of the spatial and temporal variation of soil salinity using random forests in the central desert of Iran. Geoderma. 2020, 365, 114233. [Google Scholar] [CrossRef]
- Wuyun, D.; Sun, L.; Chen, Z.X.; Hou, A.H.; Yu, L.F.; Crusiol, L.G.T.; Chen, R.Q.; Sun, Z. The Spatiotemporal Change of Cropland and Its Impact on Vegetation Dynamics in The Farming-Pastoral Ecotone of Northern China. Sci. Total Environ. 2021, 805, 150286. [Google Scholar] [CrossRef]
- Wuyun, D.; Sun, L.; Sun, Z.; Chen, Z.; Hou, A.; Crusiol, L.G.T.; Reymondin, L.; Chen, R.; Zhao, H. Mapping Fallow Fields Using Sentinel-1 And Sentinel-2 Archives Over Farming-Pastoral Ecotone of Northern China with Google Earth Engine. GiSci. Remote Sens. 2022, 59, 333–353. [Google Scholar] [CrossRef]
- Wu, W.; Zucca, C.; Muhaimeed, A.S.; Ayad, M.; Fadhil, A.Q.; Vinay, N.; Zhu, M.; Liu, G. Soil salinity prediction and mapping by machine learning regression in Central Mesopotamia, Iraq. Land Degrad. Dev. 2018, 29, 4005–4014. [Google Scholar] [CrossRef]
- AbdelRahman, M.A.E.; Afifi, A.A.; D’Antonio, P.; Gabr, S.S.; Scopa, A. Detecting and Mapping Salt-Affected Soil with Arid Integrated Indices in Feature Space Using Multi-Temporal Landsat Imagery. Remote Sens. 2022, 14, 2599. [Google Scholar] [CrossRef]
- Hien, L.T.T.; Gobin, A.; Lim, D.T.; Quan, D.T.; Hue, N.T.; Thang, N.N.; Binh, N.T.; Dung, V.T.K.; Linh, P.H. Soil Moisture Influence on the FTIR Spectrum of Salt-Affected Soils. Remote Sens. 2022, 14, 2380. [Google Scholar] [CrossRef]
- Peng, J.; Ji, W.J.; Ma, Z.Q.; Li, S.; Chen, S.C.; Zhou, L.Q.; Shi, Z. Predicting total dissolved salts and soluble ion concentrations in agricultural soils using portable visible near-infrared and mid-infrared spectrometers. Biosyst. Eng. 2016, 152, 94–103. [Google Scholar] [CrossRef]
- Fan, X.; Liu, Y.; Tao, J.; Weng, Y. Soil Salinity Retrieval from Advanced Multi-Spectral Sensor with Partial Least Square Regression. Remote Sens. 2015, 7, 488–511. [Google Scholar] [CrossRef]
- Prudnikova, E.; Savin, I.; Vindeker, G.; Grubina, P.; Shishkonakova, E.; Sharychev, D. Influence of Soil Background on Spectral Reflectance of Winter Wheat Crop Canopy. Remote Sens. 2019, 11, 1932. [Google Scholar] [CrossRef]
- Fan, X.; Weng, Y.; Tao, J. Towards decadal soil salinity mapping using Landsat time series data. Int. J. Appl. Earth Obs. 2016, 52, 32–41. [Google Scholar] [CrossRef]
- Miguel, A.C.S.; Martin, R.; Bernardus, H.J.D.J. Estimation of Tropical Forest Structure from SPOT5 Satellite Images. Int. J. Remote Sens. 2010, 31, 2767–2782. [Google Scholar] [CrossRef]
- Hasituya; Chen, Z.X.; Wang, L.M.; Wu, W.B.; Jiang, Z.W.; Li, H. Monitoring Plastic-Mulched Farmland by Landsat-8 OLI Imagery Using Spectral and Textural Features. Remote Sens. 2016, 8, 353. [Google Scholar] [CrossRef]
- Kayitakire, F.; Hamel, C.; Defourny, P. Retrieving Forest Structure Variables Based on Image Texture Analysis And IKONOS-2 Imagery. Remote Sens. Environ. 2006, 102, 390–401. [Google Scholar] [CrossRef]
- Pathak, V.; Onkar, D. A New Approach for Finding an Appropriate Combination of Texture Parameters for Classification. Geocarto Int. 2010, 25, 295–313. [Google Scholar] [CrossRef]
- Robert, M.H.; Shanmugam, K.; Dinstein, Its’Hak. Textural Features for Image Classification. T-SMC 1973, SMC-3, 610–621. [Google Scholar] [CrossRef]
- Conners, R.W.; Trivedi, M.M.; Harlow, C.A. Segmentation of a High-Resolution Urban Scene Using Texture Operators. CVGIP 1984, 25, 273–310. [Google Scholar] [CrossRef]
- Immitzer, M.; Vuolo, F.; Atzberger, C. First Experience with Sentinel-2 Data for Crop and Tree Species Classifications in Central Europe. Remote Sens. 2016, 8, 166. [Google Scholar] [CrossRef]
- Wang, J.Z.; Wu, J.L.; Jia, H.J. Analysis of Spatial Variation of Soil Salinization Using a Hydrochemical and Stable Isotopic Method in a Semiarid Irrigated Basin, Hetao Plain, Inner Mongolia, North China. Environ. Process. 2016, 3, 723–733. [Google Scholar] [CrossRef]
- Foody, G.M. Explaining the Unsuitability of The Kappa Coefficient in The Assessment and Comparison of The Accuracy of Thematic Maps Obtained by Image Classification. Remote Sens. Environ. 2020, 239, 111630. [Google Scholar] [CrossRef]
- Cui, Z.; Kerekes, J.P. Potential of Red Edge Spectral Bands in Future Landsat Satellites on Agroecosystem Canopy Green Leaf Area Index Retrieval. Remote Sens. 2018, 10, 1458. [Google Scholar] [CrossRef]
- Guo, B.; Han, B.; Yang, F.; Fan, Y.; Jiang, L.; Chen, S.; Yang, W.; Gong, R.; Liang, T. Salinization information extraction model based on VI–SI feature space combinations in the Yellow River Delta based on Landsat 8 OLI image. Geomat. Nat. Hazards Risk 2019, 10, 1863–1878. [Google Scholar] [CrossRef]
- El-Hamid, H.T.A.; Hong, G. Hyperspectral remote sensing for extraction of soil salinization in the northern region of Ningxia. Model. Earth Syst. Environ. 2020, 6, 2487–2493. [Google Scholar] [CrossRef]
- Douaoui, A.E.K.; Nicolas, H.; Walter, C. Detecting salinity hazards within a semiarid context by means of combining soil and remote-sensing data. Geoderma 2006, 134, 217–230. [Google Scholar] [CrossRef]
- Yengoh, G.T.; Dent, D.; Olsson, L.; Tengberg, A.E.; Tucker, C.J. Limits to the Use of NDVI in Land Degradation Assessment. In Use of the Normalized Difference Vegetation Index (NDVI) to Assess Land Degradation at Multiple Scales; Springer Briefs in Environmental Science; Springer: Cham, Switzerland, 2020. [Google Scholar] [CrossRef]
- Tiago, R.; Nadia, C.; Ana, R.O.; Ana, P.; Hanaa, D.; Lucian, S.; Mohammad, F.; Maria, G. Soil salinity assessment using vegetation indices derived from Sentinel-2 multispectral data. application to Lezíria Grande, Portugal. Agric. Water Manag. 2020, 241, 106387. [Google Scholar] [CrossRef]
- Zhu, K.; Sun, Z.; Zhao, F.; Yang, T.; Tian, Z.; Lai, J.; Zhu, W.; Long, B. Relating Hyperspectral Vegetation Indices with Soil Salinity at Different Depths for the Diagnosis of Winter Wheat Salt Stress. Remote Sens. 2021, 13, 250. [Google Scholar] [CrossRef]
- Khan, N.M.; Rastoskuev, V.V.; Sato, Y.; Shiozawa, S. Assessment of hydrosaline land degradation by using a simple approach of remote sensing indicators. Agric. Water Manag. 2005, 77, 96–109. [Google Scholar] [CrossRef]
- Zhang, J.; Li, P.F.; Wang, J.F. Urban Built-Up Area Extraction from Landsat TM/ETM+ Images Using Spectral Information and Multivariate Texture. Remote Sens. 2014, 6, 7339–7359. [Google Scholar] [CrossRef]
- Dehni, A.; Lounis, M. Remote sensing techniques for salt affected soil mapping: Application to the Oran region of Algeria. Procedia Eng. 2012, 33, 188–198. [Google Scholar] [CrossRef]
- Akhtar, A.; Shahbaz, K.; Hussain, N.; Hanjra, M.A.; Akbar, S. Characterizing soil salinity in irrigated agriculture using a remote sensing approach. Phys. Chem. Earth 2013, 55, 43–52. [Google Scholar] [CrossRef]
- Zewdu, S.; Suryabhagavan, V.K.; Balakrishnan, M. Geo-spatial approach for soil salinity mapping in Sego Irrigation Farm, South Ethiopia. J. Saudi Soc. Agric. Sci. 2017, 16, 16–24. [Google Scholar] [CrossRef]
- Wang, J.R.; Schmiege, T.J. An empirical model for the complex dielectric permittivity of soils as a function of water content. T-GE 1980, GE-18, 288–295. [Google Scholar] [CrossRef]
- Ulaby, F.T.; Moore, R.K.; Fung, A.K. Microwave Remote Sensing: Active and Passive. Volume 3-From Theory to Applications; Addison Wesley Publishing Company: New York, NY, USA, 1986; p. 433. ISBN 0-201-09355-3. [Google Scholar]
- Ulaby, F.T.; Long, D.G.; Blackwell, W.J.; Elachi, W.C.; Zebker, H. Microwave Radar and Radiometric Remote Sensing; University of Michigan Press: Ann Arbor, MI, USA, 2015; ISBN 978-0-472-11935-6. [Google Scholar]
- An, R.; Zhang, L.; Wang, Z.; Quaye-Ballard, J.A.; You, J.J.; Shen, X.J.; Gao, W.; Huang, L.J.; Zhao, Y.H.; Ke, Z.Y. Validation of the ESA CCI soil moisture product in China. Int. J. Appl. Earth Obs. 2016, 48, 28–36. [Google Scholar] [CrossRef]
- Cui, C.Y.; Xu, J.; Zeng, J.Y.; Chen, K.S.; Bai, X.J.; Lu, H.; Chen, Q.; Zhao, T.J. Soil moisture mapping from satellites: An intercomparison of SMAP, SMOS, FY3B, AMSR2, and ESA CCI over two dense network regions at different spatial scales. Remote Sens. 2018, 10, 33. [Google Scholar] [CrossRef]
- Wu, Y.R.; Wang, W.Z.; Zhao, S.J.; Liu, S.H. Dielectric properties of saline soils and an improved dielectric model in C-band. T-GE 2014, 53, 440–452. [Google Scholar] [CrossRef]
- Chi, T.; Li, B.; Mu, L.; Cao, G. Application study of the microwave emissivity spectra in the estimation of salt content of saline soil. Procedia Comput. Sci. 2017, 107, 727–732. [Google Scholar] [CrossRef]
- Romanov, A.N.; Khvostov, I.V. Emissivity peculiarities of the inland salt marshes in the south of Western Siberia. Int. J. Remote Sens. 2018, 39, 418–431. [Google Scholar] [CrossRef]
- Li, W.H.; Zhang, H.Z.; Zeng, Y.L.; Xiang, L.J.; Lei, Z.H.; Huang, Q.X.; Li, T.Y.; Shen, F.; Cheng, Q. A Salt Tolerance Evaluation Method for Sunflower (Helianthus annuus L.) at the Seed Germination Stage. Sci. Rep. 2020, 10, 10626. [Google Scholar] [CrossRef] [PubMed]
- Harper, R.J.; Dell, B.; Ruprecht, J.K.; Sochacki, S.J.; Smettem, K.R.J. Soils and Landscape Restoration; Academic Press: New York, NY, USA, 2021; pp. 193–208. ISBN 978-0-12813-194-7. [Google Scholar]
- Zekri, S.; Al-Rawahy, S.A.; Naifer, A. Socio-Economic Considerations of Salinity: Descriptive Statistics of the Batinah Sampled Farms. In Monograph on Management of Salt-Affected Soils and Water for Sustainable Agriculture; Mushtaque, A., Al-Rawahi, S.A., Hussain, N., Eds.; Sultan Qaboos University: Muscat, Oman, 2010; pp. 99–113. ISBN 201-1-31880-88. [Google Scholar]
- Gopalakrishnan, T.; Kumar, L. Linking Long-Term Changes in Soil Salinity to Paddy Land Abandonment in Jaffna Peninsula, Sri Lanka. Agriculture 2021, 11, 211. [Google Scholar] [CrossRef]
- Shi, X.Y.; Wang, H.J.; Song, J.H.; Lv, X.; Li, W.D.; Li, B.G.; Shi, J.C. Impact of saline soil improvement measures on salt content in the abandonment-reclamation process. Soil Tillage Res. 2021, 208, 104867. [Google Scholar] [CrossRef]
- Wu, S.; Zhou, K.; Liu, Z.; Zhang, L.; Qiao, M.; Yue, J.; Zhang, X. Study on thetemporal and spatial dynamic changes of land use and driving forces analyses of Xinjiang in recent 10 years. Arid. Land Geogr. 2005, 1, 52–58. (In Chinese) [Google Scholar]







| Counties | Modified Cropland Area (ha) | Cropland Area of the Third National Land Survey (ha) |
|---|---|---|
| Dengkou | 110,074.32 | 96,931.29 |
| Hanggin Rear Banner | 135,266.37 | 111,651.51 |
| Linhe | 184,904.18 | 157,529.33 |
| Wuyuan | 199,808.2 | 171,927.30 |
| Urad Frond Banner | 257,885.32 | 231,604.35 |
| Total | 887,938.39 | 769,643.78 |
| Class | Non-Saline Cropland Samples | Saline Cropland Samples | ||||||||||||||||||
|---|---|---|---|---|---|---|---|---|---|---|---|---|---|---|---|---|---|---|---|---|
| Band | B2 | B3 | B4 | B5 | B6 | B7 | B8 | B8A | B11 | B12 | B2 | B3 | B4 | B5 | B6 | B7 | B8 | B8A | B11 | B12 |
| R2 | 0.93 | 0.98 | 0.99 | 0.99 | 0.99 | 0.98 | 0.99 | 0.98 | 0.98 | 0.98 | 0.90 | 0.95 | 0.98 | 0.98 | 0.98 | 0.98 | 0.99 | 0.99 | 0.96 | 0.97 |
Publisher’s Note: MDPI stays neutral with regard to jurisdictional claims in published maps and institutional affiliations. |
© 2022 by the authors. Licensee MDPI, Basel, Switzerland. This article is an open access article distributed under the terms and conditions of the Creative Commons Attribution (CC BY) license (https://creativecommons.org/licenses/by/4.0/).
Share and Cite
Wuyun, D.; Bao, J.; Crusiol, L.G.T.; Wulan, T.; Sun, L.; Wu, S.; Xin, Q.; Sun, Z.; Chen, R.; Peng, J.; et al. Generating Salt-Affected Irrigated Cropland Map in an Arid and Semi-Arid Region Using Multi-Sensor Remote Sensing Data. Remote Sens. 2022, 14, 6010. https://doi.org/10.3390/rs14236010
Wuyun D, Bao J, Crusiol LGT, Wulan T, Sun L, Wu S, Xin Q, Sun Z, Chen R, Peng J, et al. Generating Salt-Affected Irrigated Cropland Map in an Arid and Semi-Arid Region Using Multi-Sensor Remote Sensing Data. Remote Sensing. 2022; 14(23):6010. https://doi.org/10.3390/rs14236010
Chicago/Turabian StyleWuyun, Deji, Junwei Bao, Luís Guilherme Teixeira Crusiol, Tuya Wulan, Liang Sun, Shangrong Wu, Qingqiang Xin, Zheng Sun, Ruiqing Chen, Jingyu Peng, and et al. 2022. "Generating Salt-Affected Irrigated Cropland Map in an Arid and Semi-Arid Region Using Multi-Sensor Remote Sensing Data" Remote Sensing 14, no. 23: 6010. https://doi.org/10.3390/rs14236010
APA StyleWuyun, D., Bao, J., Crusiol, L. G. T., Wulan, T., Sun, L., Wu, S., Xin, Q., Sun, Z., Chen, R., Peng, J., Xu, H., Wu, N., Hou, A., Wu, L., & Ren, T. (2022). Generating Salt-Affected Irrigated Cropland Map in an Arid and Semi-Arid Region Using Multi-Sensor Remote Sensing Data. Remote Sensing, 14(23), 6010. https://doi.org/10.3390/rs14236010

