Impact of Quasi-Biweekly Oscillation on Southeast Asian Cold Surge Rainfall Monitored by TRMM Satellite Observation
Abstract
1. Introduction
2. Data and Methods
3. Results
3.1. Impacts of Cold Surges and the QBWO on Southeast Asian Rainfall
3.2. Impact of QBWO on CSR over Southeast Asia
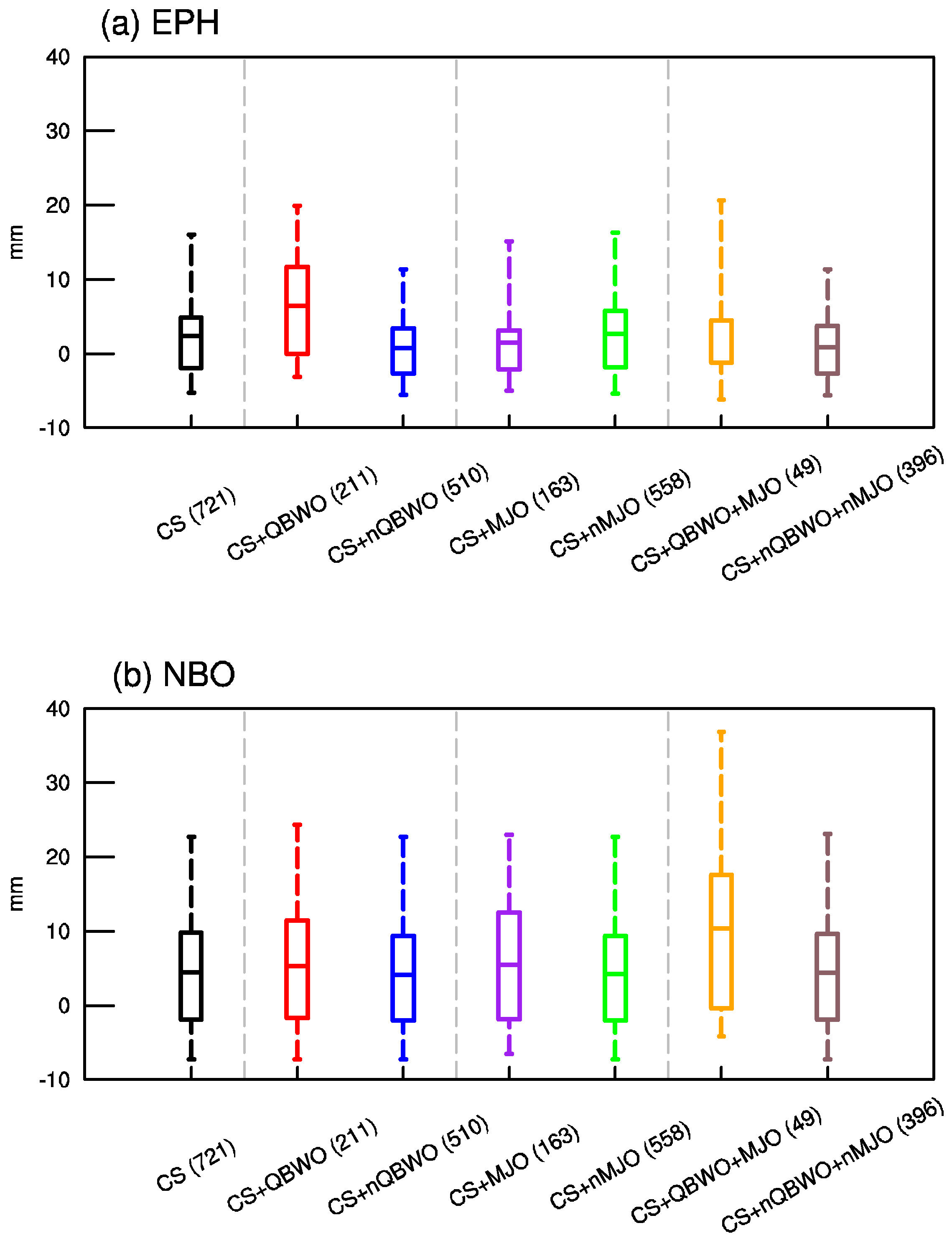
3.3. Comparison between the QBWO and MJO
4. Discussion
5. Conclusions
Author Contributions
Funding
Data Availability Statement
Acknowledgments
Conflicts of Interest
References
- Chang, C.-P.; Wang, Z.; McBride, J.; Liu, C.-H. Annual Cycle of Southeast Asia—Maritime Continent Rainfall and the Asymmetric Monsoon Transition. J. Clim. 2005, 18, 287–301. [Google Scholar] [CrossRef]
- Akasaka, I.; Morishima, W.; Mikami, T. Seasonal march and its spatial difference of rainfall in the Philippines. Int. J. Climatol. 2007, 27, 715–725. [Google Scholar] [CrossRef]
- Wang, L.; Chen, W. How well do existing indices measure the strength of the East Asian winter monsoon? Adv. Atmos. Sci. 2010, 27, 855–870. [Google Scholar] [CrossRef]
- Sengupta, A.; Nigam, S. The Northeast Winter Monsoon over the Indian Subcontinent and Southeast Asia: Evolution, Interannual Variability, and Model Simulations. J. Clim. 2019, 32, 231–249. [Google Scholar] [CrossRef]
- Chang, C.-P.; Harr, P.A.; Chen, H.-J. Synoptic Disturbances over the Equatorial South China Sea and Western Maritime Continent during Boreal Winter. Mon. Weather Rev. 2005, 133, 489–503. [Google Scholar] [CrossRef]
- Chen, T.-C.; Tsay, J.-D.; Matsumoto, J.; Alpert, J. Development and Formation Mechanism of the Southeast Asian Winter Heavy Rainfall Events around the South China Sea. Part I: Formation and Propagation of Cold Surge Vortex. J. Clim. 2015, 28, 1417–1443. [Google Scholar] [CrossRef]
- Fauzi, R.R.; Hidayat, R. Role of cold surge and MJO on rainfall enhancement over indonesia during east asian winter monsoon. IOP Conf. Ser. Earth Environ. Sci. 2018, 149, 012045. [Google Scholar] [CrossRef]
- Wu, M.C.; Chan, J.C.L. Surface Features of Winter Monsoon Surges over South China. Mon. Weather Rev. 1995, 123, 662–680. [Google Scholar] [CrossRef]
- Hattori, M.; Mori, S.; Matsumoto, J. The Cross-Equatorial Northerly Surge over the Maritime Continent and Its Relationship to Precipitation Patterns. J. Meteorol. Soc. Japan. Ser. II 2011, 89, 27–47. [Google Scholar] [CrossRef]
- Pang, B.; Lu, R. Two Distinct Types of Extratropical Circulation Anomalies Associated with Cold Surges over the South China Sea. J. Clim. 2019, 32, 5069–5084. [Google Scholar] [CrossRef]
- Chang, C.-P.; Erickson, J.E.; Lau, K.M. Northeasterly Cold Surges and Near-Equatorial Disturbances over the Winter MONEX Area during December 1974. Part I: Synoptic Aspects. Mon. Weather Rev. 1979, 107, 812–829. [Google Scholar] [CrossRef]
- Zhang, Y.; Sperber, K.R.; Boyle, J.S. Climatology and Interannual Variation of the East Asian Winter Monsoon: Results from the 1979–95 NCEP/NCAR Reanalysis. Mon. Weather Rev. 1997, 125, 2605–2619. [Google Scholar] [CrossRef]
- Lim, S.Y.; Marzin, C.; Xavier, P.; Chang, C.-P.; Timbal, B. Impacts of Boreal Winter Monsoon Cold Surges and the Interaction with MJO on Southeast Asia Rainfall. J. Clim. 2017, 30, 4267–4281. [Google Scholar] [CrossRef]
- Tangang, F.T.; Juneng, L.; Salimun, E.; Vinayachandran, P.N.; Seng, Y.K.; Reason, C.J.C.; Behera, S.K.; Yasunari, T. On the roles of the northeast cold surge, the Borneo vortex, the Madden-Julian Oscillation, and the Indian Ocean Dipole during the extreme 2006/2007 flood in southern Peninsular Malaysia. Geophys. Res. Lett. 2008, 35, L14S07. [Google Scholar] [CrossRef]
- Saragih, R.M.; Fajarianti, R.; Winarso, P.A. Atmospheric study of the impact of Borneo vortex and Madden-Julian oscillation over Western Indonesian maritime area. J. Phys. Conf. Ser. 2018, 997, 012004. [Google Scholar] [CrossRef]
- Isnoor, K.F.N.; Firdianto, P.U.; Rejeki, H.A. The activity of Borneo Vortex as a trigger for extreme rain in West Borneo (case study: 24th–25th January 2017). IOP Conf. Ser. Earth Environ. Sci. 2019, 303, 012061. [Google Scholar] [CrossRef]
- Pullen, J.; Gordon, A.L.; Flatau, M.; Doyle, J.D.; Villanoy, C.; Cabrera, O. Multiscale influences on extreme winter rainfall in the Philippines. J. Geophys. Res. Atmos. 2015, 120, 3292–3309. [Google Scholar] [CrossRef]
- Xavier, P.; Lim, S.Y.; Ammar Bin Abdullah, M.F.; Bala, M.; Chenoli, S.N.; Handayani, A.S.; Marzin, C.; Permana, D.; Tangang, F.; Williams, K.D.; et al. Seasonal Dependence of Cold Surges and their Interaction with the Madden–Julian Oscillation over Southeast Asia. J. Clim. 2020, 33, 2467–2482. [Google Scholar] [CrossRef]
- Simpson, J.; Kummerow, C.; Tao, W.K.; Adler, R.F. On the Tropical Rainfall Measuring Mission (TRMM). Meteorol. Atmos. Phys. 1996, 60, 19–36. [Google Scholar] [CrossRef]
- Kummerow, C.; Barnes, W.; Kozu, T.; Shiue, J.; Simpson, J. The Tropical Rainfall Measuring Mission (TRMM) Sensor Package. J. Atmos. Ocean. Technol. 1998, 15, 809–817. [Google Scholar] [CrossRef]
- Sorooshian, S.; Gao, X.; Hsu, K.; Maddox, R.A.; Hong, Y.; Gupta, H.V.; Imam, B. Diurnal Variability of Tropical Rainfall Retrieved from Combined GOES and TRMM Satellite Information. J. Clim. 2002, 15, 983–1001. [Google Scholar] [CrossRef]
- Mao, J.; Wu, G. Diurnal variations of summer precipitation over the Asian monsoon region as revealed by TRMM satellite data. Sci. China Earth Sci. 2012, 55, 554–566. [Google Scholar] [CrossRef]
- Madden, R.A.; Julian, P.R. Detection of a 40–50 Day Oscillation in the Zonal Wind in the Tropical Pacific. J. Atmos. Sci. 1971, 28, 702–708. [Google Scholar] [CrossRef]
- Madden, R.A.; Julian, P.R. Description of Global-Scale Circulation Cells in the Tropics with a 40–50 Day Period. J. Atmos. Sci. 1972, 29, 1109–1123. [Google Scholar] [CrossRef]
- Gill, A.E. Some simple solutions for heat-induced tropical circulation. Q. J. R. Meteorol. Soc. 1980, 106, 447–462. [Google Scholar] [CrossRef]
- Zhang, C. Madden-Julian Oscillation. Rev. Geophys. 2005, 43, RG2003. [Google Scholar] [CrossRef]
- Xavier, P.; Rahmat, R.; Cheong, W.K.; Wallace, E. Influence of Madden-Julian Oscillation on Southeast Asia rainfall extremes: Observations and predictability. Geophys. Res. Lett. 2014, 41, 4406–4412. [Google Scholar] [CrossRef]
- Kikuchi, K.; Wang, B. Global Perspective of the Quasi-Biweekly Oscillation. J. Clim. 2009, 22, 1340–1359. [Google Scholar] [CrossRef]
- Wen, M.; Yang, S.; Higgins, W.; Zhang, R. Characteristics of the Dominant Modes of Atmospheric Quasi-Biweekly Oscillation over Tropical–Subtropical Americas. J. Clim. 2011, 24, 3956–3970. [Google Scholar] [CrossRef]
- Jia, X.; Yang, S. Impact of the quasi-biweekly oscillation over the western North Pacific on East Asian subtropical monsoon during early summer. J. Geophys. Res. Atmos. 2013, 118, 4421–4434. [Google Scholar] [CrossRef]
- Dong, Z.; Wang, L. Quasi-Biweekly Oscillation over the Western North Pacific in Boreal Winter and Its Influence on the Central North American Air Temperature. J. Clim. 2022, 35, 1901–1913. [Google Scholar] [CrossRef]
- Kummerow, C.; Simpson, J.; Thiele, O.; Barnes, W.; Chang, A.T.C.; Stocker, E.; Adler, R.F.; Hou, A.; Kakar, R.; Wentz, F.; et al. The Status of the Tropical Rainfall Measuring Mission (TRMM) after Two Years in Orbit. J. Appl. Meteorol. 2000, 39, 1965–1982. [Google Scholar] [CrossRef]
- Hersbach, H.; Bell, B.; Berrisford, P.; Hirahara, S.; Horányi, A.; Muñoz-Sabater, J.; Nicolas, J.; Peubey, C.; Radu, R.; Schepers, D.; et al. The ERA5 global reanalysis. Q. J. R. Meteorol. Soc. 2020, 146, 1999–2049. [Google Scholar] [CrossRef]
- Wheeler, M.C.; Hendon, H.H. An All-Season Real-Time Multivariate MJO Index: Development of an Index for Monitoring and Prediction. Mon. Weather Rev. 2004, 132, 1917–1932. [Google Scholar] [CrossRef]
- Bretherton, C.S.; Widmann, M.; Dymnikov, V.P.; Wallace, J.M.; Bladé, I. The Effective Number of Spatial Degrees of Freedom of a Time-Varying Field. J. Clim. 1999, 12, 1990–2009. [Google Scholar] [CrossRef]
- Moten, S.; Yunus, F.; Ariffin, M.; Burham, N.; Jeong Yik, D.; Mat Adam, M.K.; Weng Sang, Y. Satistics of Northeast Monsoon Onset, Withdrawal and Cold Surges in Malaysia. Malays. Meteorol. Dept. Tech. Rep. 2014, 27. Available online: http://www.met.gov.my/in/web/metmalaysia/publications/technicalpaper/fullpapers/document/44759/rp00_2014.pdf (accessed on 1 January 2021).
- Juneng, L.; Tangang, F.T.; Reason, C.J.C. Numerical case study of an extreme rainfall event during 9–11 December 2004 over the east coast of Peninsular Malaysia. Meteorol. Atmos. Phys. 2007, 98, 81–98. [Google Scholar] [CrossRef]
- Hai, O.S.; Samah, A.A.; Chenoli, S.N.; Subramaniam, K.; Ahmad Mazuki, M.Y. Extreme Rainstorms that Caused Devastating Flooding across the East Coast of Peninsular Malaysia during November and December 2014. Weather Forecast. 2017, 32, 849–872. [Google Scholar] [CrossRef]
- Karmakar, N.; Misra, V. The Relation of Intraseasonal Variations With Local Onset and Demise of the Indian Summer Monsoon. J. Geophys. Res. Atmos. 2019, 124, 2483–2506. [Google Scholar] [CrossRef]
- Kiladis, G.N.; Matthew, C.; Wheeler, M.C.; Haertel, P.T.; Straub, K.H.; Roundy, P.E. Convectively coupled equatorial waves. Rev. Geophys. 2009, 47, RG2003. [Google Scholar] [CrossRef]
- Ferrett, S.; Yang, G.-Y.; Woolnough, S.J.; Methven, J.; Hodges, K.; Holloway, C.E. Linking extreme precipitation in Southeast Asia to equatorial waves. Q. J. R. Meteorol. Soc. 2020, 146, 665–684. [Google Scholar] [CrossRef]
- Pang, B.; Lu, R.; Ling, J. Impact of cold surges on the Madden-Julian oscillation propagation over the Maritime Continent. Atmos. Sci. Lett. 2018, 19, e854. [Google Scholar] [CrossRef]
- Wang, L.; Chen, W. An Intensity Index for the East Asian Winter Monsoon. J. Clim. 2014, 27, 2361–2374. [Google Scholar] [CrossRef]













| Group | EPH | NBO | Group | EPH | NBO |
|---|---|---|---|---|---|
| CS | 2.42 | 4.47 | CS + nMJO | 2.69 | 4.17 |
| CS + QBWO | 6.44 | 5.26 | CS + QBWO+MJO | 4.46 | 10.39 |
| CS + nQBWO | 0.76 | 4.14 | CS + nQBWO+nMJO | 0.90 | 4.36 |
| CS + MJO | 1.51 | 5.48 |
Publisher’s Note: MDPI stays neutral with regard to jurisdictional claims in published maps and institutional affiliations. |
© 2022 by the authors. Licensee MDPI, Basel, Switzerland. This article is an open access article distributed under the terms and conditions of the Creative Commons Attribution (CC BY) license (https://creativecommons.org/licenses/by/4.0/).
Share and Cite
Dong, Z.; Wang, L.; Yang, R.; Cao, J.; Hu, P. Impact of Quasi-Biweekly Oscillation on Southeast Asian Cold Surge Rainfall Monitored by TRMM Satellite Observation. Remote Sens. 2022, 14, 5200. https://doi.org/10.3390/rs14205200
Dong Z, Wang L, Yang R, Cao J, Hu P. Impact of Quasi-Biweekly Oscillation on Southeast Asian Cold Surge Rainfall Monitored by TRMM Satellite Observation. Remote Sensing. 2022; 14(20):5200. https://doi.org/10.3390/rs14205200
Chicago/Turabian StyleDong, Zizhen, Lin Wang, Ruowen Yang, Jie Cao, and Peng Hu. 2022. "Impact of Quasi-Biweekly Oscillation on Southeast Asian Cold Surge Rainfall Monitored by TRMM Satellite Observation" Remote Sensing 14, no. 20: 5200. https://doi.org/10.3390/rs14205200
APA StyleDong, Z., Wang, L., Yang, R., Cao, J., & Hu, P. (2022). Impact of Quasi-Biweekly Oscillation on Southeast Asian Cold Surge Rainfall Monitored by TRMM Satellite Observation. Remote Sensing, 14(20), 5200. https://doi.org/10.3390/rs14205200

