Natural Afforestation on Abandoned Agricultural Lands during Post-Soviet Period: A Comparative Landsat Data Analysis of Bordering Regions in Russia and Belarus
Abstract
:1. Introduction
2. Materials and Methods
2.1. Study Area
2.2. Materials
2.2.1. Mask of Initial Agricultural Lands
2.2.2. Field Data
2.2.3. Landsat Data
2.2.4. Auxiliary Data
2.3. Methods
2.3.1. Multi-Temporal Mosaics Generation
2.3.2. Mosaics Normalization
2.3.3. Spectral Indices
2.3.4. FCI Threshold Identification
2.3.5. NDVISI Threshold Identification
2.3.6. Threshold Verification
2.3.7. Water and Urban Objects Masks Generation
2.3.8. Forest Cover Products Generation
2.3.9. Assessment of Forest Cover Area Dynamics
3. Results
3.1. Landsat Mosaics Generation and Normalization
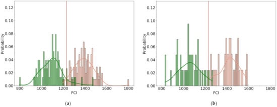
3.2. FCI Threshold Identification and Its Validation
3.3. NDVISI Threshold Identification and Its Validation
3.4. Forest Cover Dynamic Map and Its Analysis
4. Discussion
4.1. Landsat Mosaics
4.2. Forest Cover Index
4.3. Bare Soil Index (NDVISI)
4.4. Accuracy of Forest Cover Assessment
4.5. Natural Afforestation Drivers
5. Conclusions
Supplementary Materials
Author Contributions
Funding
Institutional Review Board Statement
Informed Consent Statement
Data Availability Statement
Acknowledgments
Conflicts of Interest
References
- Ioffe, G.; Nefedova, T.; Kirsten, D.B. Land Abandonment in Russia. Eurasian Geogr. Econ. 2012, 53, 527–549. [Google Scholar] [CrossRef]
- Li, S.; Li, X. Global understanding of farmland abandonment: A review and prospects. J. Geogr. Sci. 2017, 27, 1123–1150. [Google Scholar] [CrossRef]
- Ustaoglu, E.; Collier, M.J. Farmland abandonment in Europe: An overview of drivers, consequences, and assessment of the sustainability implications. Environ. Rev. 2018, 26, 396–416. [Google Scholar] [CrossRef]
- Prishchepov, A.V. Agricultural Land Abandonment; Oxford Bibliographies. Environmental Science; Oxford University Press: Oxford, UK, 2020. [Google Scholar] [CrossRef]
- Prishchepov, A.V.; Muller, D.; Dubinin, M.; Baumann, M.; Radeloff, V.C. Determinants of agricultural land abandonment in post-Soviet European Russia. Land Use Policy 2013, 30, 873–884. [Google Scholar] [CrossRef] [Green Version]
- Schierhorn, F.; Muller, D.; Beringer, T.; Prishchepov, A.V.; Kuemmerle, T.; Balmann, A. Post-Soviet cropland abandonment and carbon sequestration in European Russia, Ukraine, and Belarus. Glob. Biogeochem. Cycles 2013, 27, 1175–1185. [Google Scholar] [CrossRef]
- Goga, T.; Feranec, J.; Bucha, T.; Rusnák, M.; Sačkov, I.; Barka, I.; Kopecká, M.; Papco, J.; Ot’ahel’, J.; Szatmári, D.; et al. A Review of the Application of Remote Sensing Data for Abandoned Agricultural Land Identification with Focus on Central and Eastern Europe. Remote Sens. 2019, 11, 2759. [Google Scholar] [CrossRef] [Green Version]
- Potapov, P.V.; Turubanova, S.A.; Tyukavina, A.; Krylov, A.M.; McCarty, J.L.; Radeloff, V.C.; Hansen, M.C. Eastern Europe’s forest cover dynamics from 1985 to 2012 quantified from the full Landsat archive. Remote Sens. Environ. 2015, 159, 28–43. [Google Scholar] [CrossRef]
- Estel, S.; Kuemmerle, T.; Alcantara, C.; Levers, C.; Prishchepov, A.; Hostert, P. Mapping farmland abandonment and recultivation across Europe using MODIS NDVI time series. Remote Sens. Environ. 2015, 163, 312–325. [Google Scholar] [CrossRef]
- Lesiv, M.; Schepaschenko, D.; Moltchanova, E.; Bun, R.; Dürauer, M.; Prishchepov, A.V.; Schierhorn, F.; Estel, S.; Kuemmerle, T.; Alcántara, C.; et al. Spatial distribution of arable and abandoned land across former Soviet Union countries. Sci. Data 2018, 5, 180056. [Google Scholar] [CrossRef]
- Global Mapping Hub by Greenpeace. Abandoned Agricultural Lands. 2019. Available online: https://maps.greenpeace.org/project/abandoned-agricultural-lands/ (accessed on 25 August 2021).
- Sieber, A.; Kuemmerle, T.; Prishchepov, A.V.; Wendland, K.J.; Baumann, M.; Radeloff, V.C.; Baskin, L.M.; Hostert, P. Landsat-based mapping of post-Soviet land-use change to assess the effectiveness of the Oksky and Mordovsky protected areas in European Russia. Remote Sens. Environ. 2013, 133, 38–51. [Google Scholar] [CrossRef]
- Koroleva, N.V.; Tikhonova, E.V.; Ershov, D.V.; Saltykov, A.N.; Gavrilyuk, E.A.; Pugachevski, A.V. Twenty-Five Years of Reforestation on Nonforest Lands in Smolenskoe Poozerye National Park According to Landsat Assessment. Contemp. Probl. Ecol. 2018, 11, 719–728. [Google Scholar] [CrossRef]
- Adoption of the Paris Agreement. 2015. Available online: http://unfccc.int/resource/docs/2015/cop21/eng/l09r01.pdf (accessed on 25 August 2021).
- Order of the Government of the Russian Federation. #670-r of 14 April 2015. Available online: http://publication.pravo.gov.ru/Document/View/0001201604200001 (accessed on 25 August 2021).
- Draft Concept on the Russian System of Circulation of Carbon Units. Ministry of Economic Development of the Russian Federation. 2020. Available online: https://www.economy.gov.ru/material/file/c9bc041a79280702939e7c28c4862f15/proekt_koncepcii.pdf (accessed on 25 August 2021).
- Queiroz, C.; Beilin, R.; Folke, C.; Lindborg, R. Farmland abandonment: Threat or opportunity for biodiversity conservation? A global review. Front. Ecol. Environ. 2014, 12, 288–296. [Google Scholar] [CrossRef]
- Kurganova, I.; Lopes de Gerenyu, V.; Kuzyakov, Y. Large-scale carbon sequestration in post-agrogenic ecosystems in Russia and Kazakhstan. Catena 2015, 133, 461–466. [Google Scholar] [CrossRef]
- Lukina, N.V.; Geraskina, A.P.; Gornov, A.V.; Shevchenko, N.E.; Kuprin, A.V.; Chernov, T.I.; Chumachenko, S.I.; Shanin, V.N.; Kuznetsova, A.I.; Tebenkova, D.N.; et al. Biodiversity and Climate-regulating Functions of Forests: Current Issues and Research Prospects. For. Sci. Issues 2021, 4, 1–90. [Google Scholar] [CrossRef]
- Food and Agriculture Organization of the Unites Nations. Global Forest Resources Assessment. 2020. Available online: https://www.fao.org/3/I8661EN/i8661en.pdf (accessed on 26 November 2021).
- Ma, L.; Li, M.; Ma, X.; Cheng, L.; Du, P.; Liu, Y. A review of supervised object-based land-cover image classification. ISPRS J. Photogramm. Remote Sens. 2017, 130, 277–293. [Google Scholar] [CrossRef]
- Potapov, P.; Hansen, M.C.; Kommareddy, I.; Kommareddy, A.; Turubanova, S.; Pickens, A.; Adusei, B.; Tyukavina, A.; Ying, Q. Landsat Analysis Ready Data for Global Land Cover and Land Cover Change Mapping. Remote Sens. 2020, 12, 426. [Google Scholar] [CrossRef] [Green Version]
- Liu, Y.; Liu, R. A Simple Approach for Mapping Forest Cover from Time Series of Satellite Data. Remote Sens. 2020, 12, 2918. [Google Scholar] [CrossRef]
- Bartalev, S.A.; Egorov, V.A.; Loupian, E.A.; Plotnikov, D.E.; Uvarov, I.A. Recognition of Arable Lands Using Multi-Annual Satellite Data from Spectroradiometer Modis and Locally Adaptive Supervised Classification. Comput. Opt. 2011, 35, 103–116. [Google Scholar]
- Kibret, K.S.; Marohn, C.; Cadisch, G. Use of MODIS EVI to map crop phenology, identify cropping systems, detect land use change and drought risk in Ethiopia–an application of Google Earth Engine. Eur. J. Remote Sens. 2020, 53, 176–191. [Google Scholar] [CrossRef]
- Plotnikov, D.E.; Kolbudaev, P.A.; Bartalev, S.A.; Loupian, E.A. Automated annual cropland mapping from reconstructed time series of Landsat data. Curr. Probl. Remote Sens. Earth Space 2017, 12, 112–127. [Google Scholar] [CrossRef]
- Yu, X.; Her, Y.; Zhu, X.; Lu, C.; Li, X. Multi-Temporal Arable Land Monitoring in Arid Region of Northwest China Using a New Extraction Index. Sustainability 2021, 13, 5274. [Google Scholar] [CrossRef]
- Tucker, C.J. Red and photographic infrared linear combinations for monitoring vegetation. Remote Sens. Environ. 1979, 8, 127–150. [Google Scholar] [CrossRef] [Green Version]
- Lehmann, E.A.; Wallace, J.F.; Caccetta, P.A.; Furby, S.L.; Zdunic, K. Forest Cover Trends from Time Series Landsat Data for the Australian Continent. Int. J. Appl. Earth Obs. Geoinf. 2013, 21, 453–462. [Google Scholar] [CrossRef]
- Ye, W.; Li, X.; Chen, X.; Zhang, G. A spectral index for highlighting forest cover from remotely sensed imagery. In Proceedings of the SPIE Asia-Pacific Remote Sensing, Land Surface Remote Sensing II, Beijing, China, 8 November 2014; p. 92601. [Google Scholar] [CrossRef]
- Acharya, T.D.; Subedi, A.; Lee, D.H. Evaluation of Water Indices for Surface Water Extraction in a Landsat 8 Scene of Nepal. Sensors 2018, 18, 2580. [Google Scholar] [CrossRef] [Green Version]
- Xu, H. Modification of normalized difference water index (NDWI) to enhance open water features in remotely sensed imagery. Int. J. Remote Sens. 2006, 27, 3025–3033. [Google Scholar] [CrossRef]
- Becker, S.J.; Daughtry, C.S.T.; Russ, A.L. Robust forest cover indices for multispectral images. Photogramm. Eng. Remote Sens. 2018, 84, 505–512. [Google Scholar] [CrossRef]
- Gribova, S.A.; Isachenko, T.I.; Lavrenko, E.M. (Eds.) Vegetation of the European Part of the USSR; Nauka: Moscow, Russia, 1980; 236p. (In Russian) [Google Scholar]
- Shkalikov, V.A. (Ed.) Nature of the Smolensk Region; Universum: Smolensk, Russia, 2001; 424p. (In Russian) [Google Scholar]
- Weather Archive in Liozno (Vitebsk Region). Available online: https://global-weather.ru/archive/liozno (accessed on 25 August 2021).
- Weather Archive in Rudna (Smolensk Region). Available online: https://global-weather.ru/archive/rudnya_rudnyanskij_rajon_smolenskaya_oblast (accessed on 25 August 2021).
- Municipal Formation of Rudnyansky District of the Smolensk Region. About Rudnyansky District. Available online: https://рудня.рф/leftmenu/events/ (accessed on 25 August 2021).
- Forestry Regulations of the Rudnyansky Forestry Department of the OGKU “SMOLUPRLES” Branch. Available online: https://les.admin-smolensk.ru/files/198/lhr-rudnyanskoe.pdf (accessed on 25 August 2021).
- State Forestry Institution “Lioznensky Forestry”. Available online: https://mlh.by/our-additional-activities/forestry-association/lioznenskiy-leskhoz/ (accessed on 25 August 2021).
- Lioznensky District Executive Committee. Agricultural Organizations. Available online: http://liozno.vitebsk-region.gov.by/ru/sel-org/ (accessed on 25 August 2021).
- Forest Management Regulations of “Smolenskoe Poozerie” National Park; Filial FGUP “Roslesinforg” “Zaplesproekt”: Moscow, Russia, 2015; 190p. (In Russian)
- Estimation of the Resident Population of the Smolensk Region as of 1 January 2021. Available online: https://sml.gks.ru/storage/mediabank/3lwbyaOX/MO21.pdf (accessed on 26 November 2021).
- The Population of the Liozno District by Sex and Individual Ages as of 1 January 2021. Available online: https://vitebsk.belstat.gov.by/upload/iblock/c4a/c4ae2e1abb06c616a1aa0c3822b3b9f1.pdf (accessed on 26 November 2021).
- Chronicle of Nature. 2014. Available online: http://www.poozerie.ru/files/442/%D0%9B%D0%B5%D1%82%D0%BE%D0%BF%D0%B8%D1%81%D1%8C%20%D0%BF%D1%80%D0%B8%D1%80%D0%BE%D0%B4%D1%8B%202014.pdf (accessed on 25 August 2021).
- Masek, J.G.; Vermote, E.F.; Saleous, N.E.; Wolfe, R.; Hall, F.G.; Huemmrich, K.F.; Gao, F.; Kutler, J.; Lim, T.K. A Landsat surface reflectance dataset for North America, 1990–2000. IEEE Geosci. Remote Sens. Lett. 2006, 3, 68–72. [Google Scholar] [CrossRef]
- Wulder, M.A.; Loveland, T.R.; Roy, D.P.; Crawford, C.J.; Masek, J.G.; Woodcock, C.E.; Allen, R.G.; Anderson, M.C.; Belward, A.S.; Cohen, W.B.; et al. Current status of Landsat program, science, and applications. Remote Sens. Environ. 2019, 225, 127–147. [Google Scholar] [CrossRef]
- The Worldwide Reference System|Landsat Science. Available online: https://landsat.gsfc.nasa.gov/about/worldwide-reference-system (accessed on 28 September 2021).
- Landsat 7. Available online: https://www.usgs.gov/core-science-systems/nli/landsat/landsat-7?qt-science_support_page_related_con=0#qt-science_support_page_related_con (accessed on 28 September 2021).
- Gorelick, N.; Hancher, M.; Dixon, M.; Ilyushchenko, S.; Thau, D.; Moore, R. Google Earth Engine: Planetary-scale geospatial analysis for everyone. Remote Sens. Environ. 2017, 202, 18–27. [Google Scholar] [CrossRef]
- OpenStreetMap. Available online: https://www.openstreetmap.org (accessed on 28 September 2021).
- Geofabrik Download Server. Available online: http://download.geofabrik.de/europe.html (accessed on 28 September 2021).
- Stuhler, S.C.; Leiterer, R.; Joerg, P.C.; Wulf, H.; Schaepman, M.E. Generating a Cloud-Free, Homogeneous Landsat-8 Mosaic of Switzerland Using Google Earth Engine. 2016. Available online: https://doi.org/10.13140/rg.2.1.2432.0880 (accessed on 28 September 2021). [CrossRef]
- Schott, J.R.; Salvaggio, C.; Volchok, W.J. Radiometric scene normalization using pseudoinvariant features. Remote Sens. Environ. 1988, 26, 1–14. [Google Scholar] [CrossRef]
- R Core Team. R: A Language and Environment for Statistical Computing. R Version 4.0.5. 2021. Available online: https://www.R-project.org// (accessed on 28 September 2021).
- Hijmans, R.J. Raster: Geographic Data Analysis and Modeling. R Package Version 3.4-13. 2021. Available online: https://CRAN.R-project.org/package=raster (accessed on 28 September 2021).
- Leutner, B.; Horning, N.; Schwalb-Willmann, J. RStoolbox: Tools for Remote Sensing Data Analysis. R Package Version 0.2.6. 2019. Available online: https://CRAN.R-project.org/package=RStoolbox (accessed on 28 September 2021).
- Wood, S.N. Generalized Additive Models: An Introduction with R, 2nd ed.; Chapman and Hall/CRC: Boca Raton, FL, USA, 2017; 496p. [Google Scholar] [CrossRef]
- Blasch, G. Multitemporal Soil Pattern Analysis for Organic Matter Estimation at Croplands Using Multispectral Satellite Data. Ph.D. Thesis, Technical University of Berlin, Berlin, Germany, 2017. Available online: https://www.researchgate.net/publication/320618072_Multitemporal_soil_pattern_analysis_for_organic_matter_estimation_at_croplands_using_multispectral_satellite_data (accessed on 26 November 2021).
- Cohen, J. A coefficient of agreement for nominal scales. Educ. Psychol. Meas. 1960, 20, 37–46. [Google Scholar] [CrossRef]
- Google Earth Web. 2021. Available online: https://earth.google.com/web/ (accessed on 30 August 2021).
- Russian Federation. 2020 National Inventory Report (NIR)|UNFCCC. Available online: https://unfccc.int/documents/226417 (accessed on 28 September 2021). (In Russian).
- Feliciano-Cruz, L.I.; Becker, S.J.; Lasko, K.D.; Daughtry, C.S.; Russ, A.L. Forest Cover Index for Tree Cover Detection Using Landsat-7 Multispectral Imagery. 2019. Available online: https://scholar.googleusercontent.com/scholar?q=cache:tWhmR8OBTGoJ:scholar.google.com/&hl=ru&as_sdt=2005&sciodt=0,5 (accessed on 28 September 2021).
- Huang, C.; Song, K.; Kim, S.; Townshend, J.R.G.; Davis, P.; Masek, J.G.; Goward, S.N. Use of a dark object concept and support vector machines to automate forest cover change analysis. Remote Sens. Environ. 2008, 112, 970–985. [Google Scholar] [CrossRef]
- A Database for Remote Sensing Indices. Available online: https://www.indexdatabase.de/db/bs.php?sensor_id=0 (accessed on 28 September 2021).
- Eastern Europe Forest Cover Dynamics 1985 to 2012|GLAD. Available online: https://glad.umd.edu/dataset/eastern-europe-forset-cover-dynamics-1985-2012 (accessed on 24 December 2021).
- Prishchepov, A.V.; Radeloff, V.C.; Baumann, M.; Kuemmerle, T.; Müller, D. Effects of Institutional Changes on Land Use: Agricultural Land Abandonment during the Transition from State-Command to Market-Driven Economies in Post-Soviet Eastern Europe. Environ. Res. Lett. 2012, 7, 024021. [Google Scholar] [CrossRef]
- Maslov, A.; Gulbe, A.; Gulbe, Y.; Medvedeva, M.; Sirin, A. Assessment of the situation with the overgrowth of agricultural lands with forest vegetation on the example of the Uglich district of the Yaroslavl region. Sustain. For. Manag. 2016, 4, 6–14. [Google Scholar]
- Lezhnin, S.A. The use of satellite data in the assessment of reforestation on the abandoned agricultural lands in Yaransk district of the Kirov region. For. Ecosyst. Clim. Chang. Biol. Product. Remote Monit. 2020, 6, 160–171. [Google Scholar] [CrossRef]
- Lyuri, D.I.; Goryachkin, S.V.; Karavaeva, N.A.; Denisenko, E.A.; Nefedova, T.G. Dynamics of Agricultural Lands of Russia in XX Century and Postagrogenic Restoration of Vegetation and Soils; Geos: Moscow, Russia, 2010; 415p. (In Russian) [Google Scholar]
- Kolosov, V.; Medvedev, A.; Zotova, M. Comparing the development of border regions with the use of GIS (the case of Russia). Geogr. Pol. 2017, 90, 47–61. [Google Scholar] [CrossRef] [Green Version]
- Prishchepov, A.V.; Müller, D.; Baumann, M.; Kuemmerle, T.; Alcantara, C.; Radeloff, V.C. Underlying Drivers and Spatial Determinants of post-Soviet Agricultural Land Abandonment in Temperate Eastern Europe. In Land-Cover and Land-Use Changes in Eastern Europe after the Collapse of the Soviet Union in 1991; Gutman, G., Radeloff, V., Eds.; Springer International Publishing: Cham, Switzerland, 2017; pp. 91–117. [Google Scholar] [CrossRef]
- Rendenieks, Z.; Nita, M.D.; Nikodemus, O.; Radeloff, V.C. Half a century of forest cover change along the Latvian-Russian border captured by object-based image analysis of Corona and Landsat TM/OLI data. Remote Sens. Environ. 2020, 249, 112010. [Google Scholar] [CrossRef]
- Navarro, L.M.; Pereira, H.M. Rewilding abandoned landscapes in Europe. Ecosystems 2012, 15, 900–912. [Google Scholar] [CrossRef] [Green Version]
- Benayas, J.M.R.; Bullock, J.M. Restoration of biodiversity and ecosystem services on agricultural land. Ecosystems 2012, 15, 883–889. [Google Scholar] [CrossRef]
- Kurganova, I.; Lopes de Gerenyu, V.; Six, J.; Kuzyakov, Y. Сarbon cost of collective farming collapse in Russia. Glob. Chang. Biol. 2014, 20, 938–947. [Google Scholar] [CrossRef]
- Resolution of the Government of the Russian Federation of 18 September 2020 #1482. Available online: http://government.ru/docs/all/129924/ (accessed on 21 October 2021).











| Region | Population | Area, sq. km | Agricultural Lands, % | Forest Cover, % | Coniferous Forests, %1 | Deciduous Forests, % 1 |
|---|---|---|---|---|---|---|
| Rudnya district (RU) | 21,490 | 2111 | 55.5 | 24.5 | 22.5 | 77.5 |
| Liozno district (BY) | 15,777 | 1418 | 43.7 | 44.0 | 27.2 | 72.8 |
| NP “Smolenskoe Poozerie” (RU) | n/a | 1462 | 13.1 | 74.0 | 26.0 | 74.0 |
| Band Name | Sensor (Satellite) and Its Temporal Coverage 1 | |||||
|---|---|---|---|---|---|---|
| TM (Landsat 4, 5), 1984–2011 | ETM+ (Landsat 7), 1999–2003 | OLI (Landsat 8), 2013–2020 | ||||
| Band Number | Wavelength (µm) | Band Number | Wavelength (µm) | Band Number | Wavelength (µm) | |
| Blue | 1 | 0.45–0.52 | 1 | 0.44–0.51 | 2 | 0.45–0.51 |
| Green | 2 | 0.52–0.60 | 2 | 0.52–0.60 | 3 | 0.53–0.59 |
| Red | 3 | 0.63–0.69 | 3 | 0.63–0.69 | 4 | 0.64–0.67 |
| NIR | 4 | 0.76–0.90 | 4 | 0.77–0.90 | 5 | 0.85–0.88 |
| SWIR1 | 5 | 1.55–1.75 | 5 | 1.55–1.75 | 6 | 1.57–1.65 |
| SWIR2 | 7 | 2.08–2.35 | 7 | 2.07–2.35 | 7 | 2.11–2.29 |
| Metric | Statistic Type | Landsat Bands | |||||
|---|---|---|---|---|---|---|---|
| Blue | Green | Red | NIR | SWIR1 | SWIR2 | ||
| R2 | Max | 0.970 | 0.988 | 0.989 | 0.987 | 0.996 | 0.994 |
| Median | 0.858 | 0.943 | 0.950 | 0.958 | 0.981 | 0.973 | |
| Min | 0.536 | 0.861 | 0.891 | 0.912 | 0.964 | 0.955 | |
| RMSE 1 | Max | 0.003 | 0.003 | 0.003 | 0.015 | 0.006 | 0.003 |
| Median | 0.001 | 0.002 | 0.001 | 0.010 | 0.004 | 0.002 | |
| Min | 0.001 | 0.001 | 0.001 | 0.006 | 0.002 | 0.001 | |
| Class Type | Sample Points | |||
|---|---|---|---|---|
| Forest Cover | Grassland | Total Points | ||
| Classification by FCI threshold | Forest Cover | 71 | 2 | 73 |
| Grassland | 5 | 102 | 107 | |
| Total points | 76 | 104 | 173 | |
| Po | Observed probability | 0.961 | ||
| Pe | Expected probability | 0.515 | ||
| k | Cohen’s kappa | 0.920 | ||
| Class Type | Control Points | |||
|---|---|---|---|---|
| Forest Cover | Grassland | Total Points | ||
| Classification by FCI threshold | Forest Cover | 40 | 0 | 40 |
| Grassland | 2 | 41 | 43 | |
| Total points | 42 | 41 | 81 | |
| Po | Observed probability | 0.976 | ||
| Pe | Expected probability | 0.500 | ||
| k | Cohen’s kappa | 0.952 | ||
| Class Type | Sample Points | |||
|---|---|---|---|---|
| Bare Soil | Grassland | Total points | ||
| Classification by NDVISI threshold | Bare Soil | 83 | 0 | 83 |
| Grassland | 0 | 104 | 104 | |
| Total points | 83 | 104 | 187 | |
| Po | Observed probability | 1.0 | ||
| Pe | Expected probability | 0.506 | ||
| k | Cohen’s kappa | 1.0 | ||
| Class Type | Control Points | |||
|---|---|---|---|---|
| Bare Soil | Grassland | Total points | ||
| Classification by NDVISI threshold | Bare Soil | 54 | 0 | 54 |
| Grassland | 0 | 41 | 41 | |
| Total points | 54 | 41 | 95 | |
| Po | Observed probability | 1.0 | ||
| Pe | Expected probability | 0.509 | ||
| k | Cohen’s kappa | 1.0 | ||
| District | 1985 | 2000 | 2010 1 | |||
|---|---|---|---|---|---|---|
| FCI | GLAD | FCI | GLAD | FCI | GLAD | |
| Rudnya (RU) | 31.1 | 34.0 | 36.3 | 38.6 | 44.7 | 43.8 |
| Liozno (BY) | 48.3 | 46.3 | 46.3 | 47.3 | 48.2 | 47.9 |
Publisher’s Note: MDPI stays neutral with regard to jurisdictional claims in published maps and institutional affiliations. |
© 2022 by the authors. Licensee MDPI, Basel, Switzerland. This article is an open access article distributed under the terms and conditions of the Creative Commons Attribution (CC BY) license (https://creativecommons.org/licenses/by/4.0/).
Share and Cite
Ershov, D.V.; Gavrilyuk, E.A.; Koroleva, N.V.; Belova, E.I.; Tikhonova, E.V.; Shopina, O.V.; Titovets, A.V.; Tikhonov, G.N. Natural Afforestation on Abandoned Agricultural Lands during Post-Soviet Period: A Comparative Landsat Data Analysis of Bordering Regions in Russia and Belarus. Remote Sens. 2022, 14, 322. https://doi.org/10.3390/rs14020322
Ershov DV, Gavrilyuk EA, Koroleva NV, Belova EI, Tikhonova EV, Shopina OV, Titovets AV, Tikhonov GN. Natural Afforestation on Abandoned Agricultural Lands during Post-Soviet Period: A Comparative Landsat Data Analysis of Bordering Regions in Russia and Belarus. Remote Sensing. 2022; 14(2):322. https://doi.org/10.3390/rs14020322
Chicago/Turabian StyleErshov, Dmitry V., Egor A. Gavrilyuk, Natalia V. Koroleva, Elena I. Belova, Elena V. Tikhonova, Olga V. Shopina, Anastasia V. Titovets, and Gleb N. Tikhonov. 2022. "Natural Afforestation on Abandoned Agricultural Lands during Post-Soviet Period: A Comparative Landsat Data Analysis of Bordering Regions in Russia and Belarus" Remote Sensing 14, no. 2: 322. https://doi.org/10.3390/rs14020322
APA StyleErshov, D. V., Gavrilyuk, E. A., Koroleva, N. V., Belova, E. I., Tikhonova, E. V., Shopina, O. V., Titovets, A. V., & Tikhonov, G. N. (2022). Natural Afforestation on Abandoned Agricultural Lands during Post-Soviet Period: A Comparative Landsat Data Analysis of Bordering Regions in Russia and Belarus. Remote Sensing, 14(2), 322. https://doi.org/10.3390/rs14020322

