Airborne Radiometric Surveys and Machine Learning Algorithms for Revealing Soil Texture
Abstract
:1. Introduction
2. Materials and Methods
2.1. Hydrographic Evolution of the Study Area
2.2. Soil Texture Data
2.3. Radiometric Data
2.4. Regression Analysis
3. Results
4. Conclusions
- The results of the SLR analysis highlighted moderate negative correlations between sand and K abundances (r = −0.62) and between sand and Th abundances (r = −0.56). The intercepts of both regression lines are compatible at the 2σ level with a soil sand content of 100%, corresponding to null K and Th abundances. These results corroborate the presence of sandy soils with low radioactivity and high silica content in the Mezzano Lowland.
- The high cation exchange capacity of clay minerals is confirmed by a positive correlation between clay and K (Th) abundances with r = 0.64 (r = 0.53). This trend, also supported by the MLR model, permitted the production of a map of the clay content derived from radiometric data to be compared with the RER soil texture map.
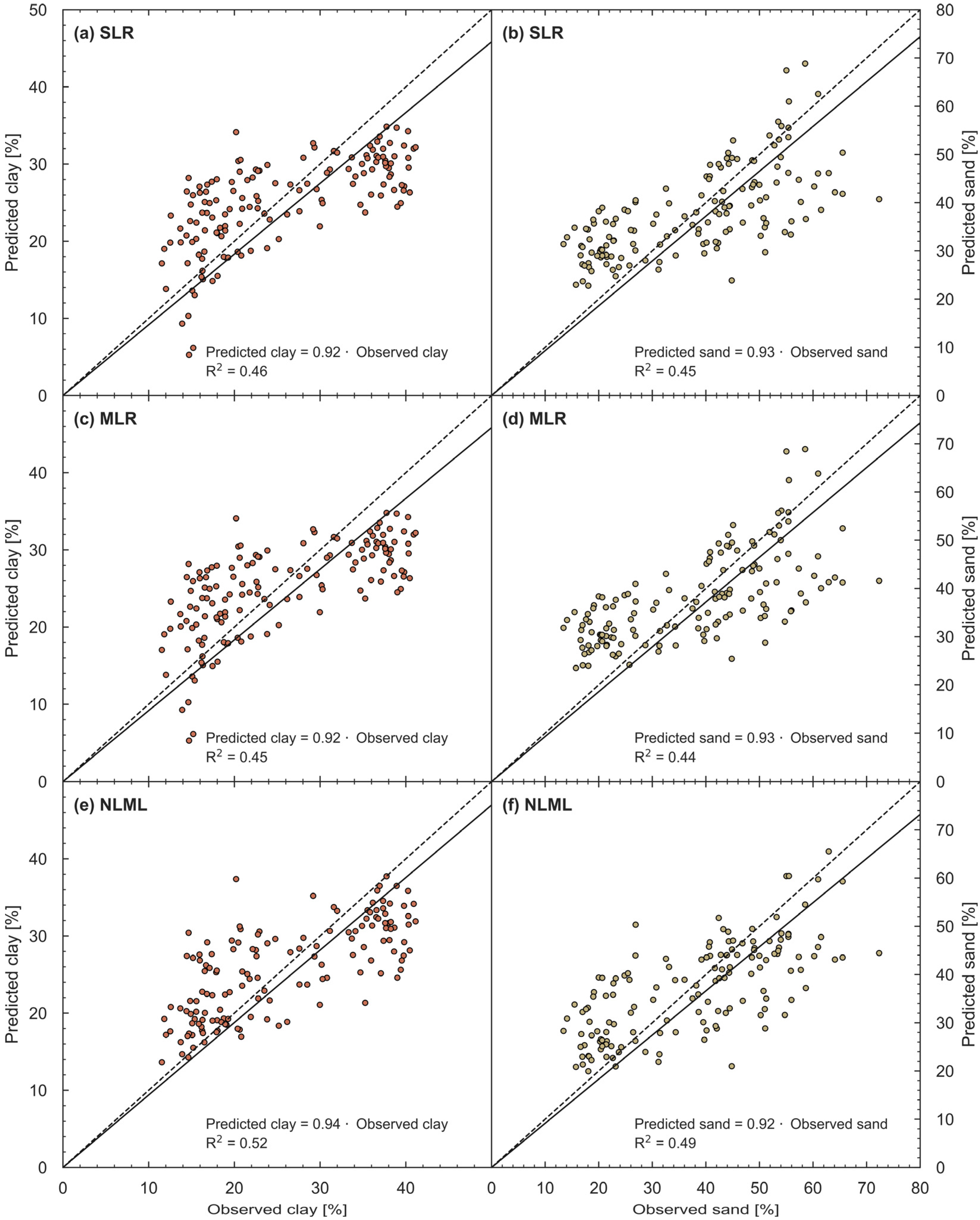
- The models based on the NLML algorithm show the best performances, in terms of R2, in the prediction of clay and sand soil content from K and Th abundances.
- Because of the high density of airborne data, the investigation of the spatial distributions of the clay values differences between models’ predictions and RER observations permitted uncovering detailed geo-morphological features, which are not reported in the RER soil texture map. The clay maps derived from both SLR and NLML models highlight areas with high clay content attributable to the paleo-channels known as Idice, Valreno and Eridano, which crossed the Mezzano Lowland for approximately a thousand years in the Etruscan and Roman periods.
Author Contributions
Funding
Data Availability Statement
Acknowledgments
Conflicts of Interest
References
- FAO. Status of the World’s Soil Resources: Main Report; FAO: Rome, Italy, 2015; p. 650. [Google Scholar]
- United Nations. Transforming Our World: The 2030 Agenda for Sustainable Development; United Nations: New York, NY, USA, 2015. [Google Scholar]
- Barbosa, L.; de Souza, Z.M.; Franco, H.C.J.; Otto, R.; Neto, J.R.; Garside, A.L.; Carvalho, J.L.N. Soil texture affects root penetration in Oxisols under sugarcane in Brazil. Geoderma Reg. 2018, 13, 15–25. [Google Scholar] [CrossRef]
- Butcher, K.; Abbey, F.W.; DeSutter, T.; Chatterjee, A.; Harmon, J. Corn and Soybean Yield Response to Salinity Influenced by Soil Texture. Agron. J. 2018, 110, 1243–1253. [Google Scholar] [CrossRef]
- Jourgholami, M.; Labelle, E.R. Effects of plot length and soil texture on runoff and sediment yield occurring on machine-trafficked soils in a mixed deciduous forest. Ann. For. Sci. 2020, 77, 19. [Google Scholar] [CrossRef]
- Warrington, D.N.; Mamedov, A.I.; Bhardwaj, A.K.; Levy, G.J. Primary particle size distribution of eroded material affected by degree of aggregate slaking and seal development. Eur. J. Soil Sci. 2009, 60, 84–93. [Google Scholar] [CrossRef]
- Hamoud, Y.A.; Wang, Z.; Guo, X.; Shaghaleh, H.; Sheteiwy, M.; Chen, S.; Qiu, R.; Elbashier, M.M.A. Effect of Irrigation Regimes and Soil Texture on the Potassium Utilization Efficiency of Rice. Agronomy 2019, 9, 100. [Google Scholar] [CrossRef] [Green Version]
- Alotaibi, K.D.; Cambouris, A.N.; Luce, M.S.; Ziadi, N.; Tremblay, N. Economic Optimum Nitrogen Fertilizer Rate and Residual Soil Nitrate as Influenced by Soil Texture in Corn Production. Agron. J. 2018, 110, 2233–2242. [Google Scholar] [CrossRef]
- Bouwer, H. Artificial recharge of groundwater: Hydrogeology and engineering. Hydrogeol. J. 2002, 10, 121–142. [Google Scholar] [CrossRef] [Green Version]
- Gray, A.B.; Pasternack, G.B.; Watson, E.B.; Goñi, M.A. Abandoned channel fill sequences in the tidal estuary of a small mountainous, dry-summer river. Sedimentology 2015, 63, 176–206. [Google Scholar] [CrossRef] [Green Version]
- Toonen, W.H.J.; Kleinhans, M.G.; Cohen, K.M. Sedimentary architecture of abandoned channel fills. Earth Surf. Processes Landf. 2012, 37, 459–472. [Google Scholar] [CrossRef]
- Kettler, T.A.; Doran, J.W.; Gilbert, T.L. Simplified method for soil particle-size determination to accompany soil-quality analyses. Soil Sci. Soc. Am. J. 2001, 65, 849–852. [Google Scholar] [CrossRef] [Green Version]
- Taubner, H.; Roth, B.; Tippkötter, R. Determination of soil texture: Comparison of the sedimentation method and the laser-diffraction analysis. J. Plant Nutr. Soil Sci. 2009, 172, 161–171. [Google Scholar] [CrossRef]
- Bousbih, S.; Zribi, M.; Pelletier, C.; Gorrab, A.; Lili-Chabaane, Z.; Baghdadi, N.; Ben Aissa, N.; Mougenot, B. Soil Texture Estimation Using Radar and Optical Data from Sentinel-1 and Sentinel-2. Remote Sens. 2019, 11, 1520. [Google Scholar] [CrossRef] [Green Version]
- Casa, R.; Castaldi, F.; Pascucci, S.; Palombo, A.; Pignatti, S. A comparison of sensor resolution and calibration strategies for soil texture estimation from hyperspectral remote sensing. Geoderma 2013, 197–198, 17–26. [Google Scholar] [CrossRef]
- Gholizadeh, A.; Žižala, D.; Saberioon, M.; Borůvka, L. Soil organic carbon and texture retrieving and mapping using proximal, airborne and Sentinel-2 spectral imaging. Remote Sens. Environ. 2018, 218, 89–103. [Google Scholar] [CrossRef]
- Castrignanò, A.; Wong, M.; Stelluti, M.; De Benedetto, D.; Sollitto, D. Use of EMI, gamma-ray emission and GPS height as multi-sensor data for soil characterisation. Geoderma 2012, 175–176, 78–89. [Google Scholar] [CrossRef]
- Petersen, H.; Wunderlich, T.; al Hagrey, S.A.; Rabbel, W. Characterization of some Middle European soil textures by gamma-spectrometry. J. Plant Nutr. Soil Sci. 2012, 175, 651–660. [Google Scholar] [CrossRef]
- Spadoni, M.; Voltaggio, M. Contribution of gamma ground spectrometry to the textural characterization and mapping of floodplain sediments. J. Geochem. Explor. 2013, 125, 20–33. [Google Scholar] [CrossRef]
- Wilford, J.; Minty, B. Chapter 16 The Use of Airborne Gamma-ray Imagery for Mapping Soils and Understanding Landscape Processes. Dev. Soil Sci. 2006, 31, 207–218, 609–610. [Google Scholar] [CrossRef]
- Johnston, C.T.; Tombacz, E. Surface chemistry of soil minerals. Soil Mineral. Environ. Appl. 2002, 7, 37–67. [Google Scholar]
- Yu, S.; Ma, J.; Shi, Y.; Du, Z.; Zhao, Y.; Tuo, X.; Leng, Y. Uranium (VI) adsorption on montmorillonite colloid. J. Radioanal. Nucl. Chem. 2020, 324, 541–549. [Google Scholar] [CrossRef]
- Iurian, A.-R.; Phaneuf, M.O.; Mabit, L. Mobility and Bioavailability of Radionuclides in Soils. In Radionuclides in the Environment; Springer: Cham, Switzerland, 2015; pp. 37–59. [Google Scholar]
- Heggemann, T.; Welp, G.; Amelung, W.; Angst, G.; Franz, S.O.; Koszinski, S.; Schmidt, K.; Pätzold, S. Proximal gamma-ray spectrometry for site-independent in situ prediction of soil texture on ten heterogeneous fields in Germany using support vector machines. Soil Tillage Res. 2017, 168, 99–109. [Google Scholar] [CrossRef]
- Priori, S.; Bianconi, N.; Fantappiè, M.; Pellegrini, S.; Ferrigno, G.; Guaitoli, F.; Costantini, E.A.C. The potential of γ-ray spectroscopy for soil proximal survey in clayey soils. EQA-Int. J. Environ. Qual. 2014, 11, 29–38. [Google Scholar] [CrossRef]
- Read, C.; Duncan, D.; Ho, C.Y.C.; White, M.; Vesk, P.A. Useful surrogates of soil texture for plant ecologists from airborne gamma-ray detection. Ecol. Evol. 2018, 8, 1974–1983. [Google Scholar] [CrossRef] [PubMed] [Green Version]
- Babaeian, E.; Paheding, S.; Siddique, N.; Devabhaktuni, V.K.; Tuller, M. Estimation of root zone soil moisture from ground and remotely sensed soil information with multisensor data fusion and automated machine learning. Remote Sens. Environ. 2021, 260, 112434. [Google Scholar] [CrossRef]
- Bachri, I.; Hakdaoui, M.; Raji, M.; Teodoro, A.C.; Benbouziane, A. Machine learning algorithms for automatic lithological mapping using remote sensing data: A case study from Souk Arbaa Sahel, Sidi Ifni Inlier, Western Anti-Atlas, Morocco. Int. J. Geo-Inf. 2019, 8, 248. [Google Scholar] [CrossRef] [Green Version]
- Eskandari, R.; Mahdianpari, M.; Mohammadimanesh, F.; Salehi, B.; Brisco, B.; Homayouni, S. Meta-analysis of unmanned aerial vehicle (UAV) imagery for agro-environmental monitoring using machine learning and statistical models. Remote Sens. 2020, 12, 3511. [Google Scholar] [CrossRef]
- Bondesan, M. L’area deltizia padana: Caratteri geografici e geomorfologici. Il parco del delta del Po. Studi e immagini. Spaz. Libr. Ed. 1990, 1, 9–48. [Google Scholar]
- Tarocco, P.; Staffilani, F.; Ungaro, F. Note illustrative della Carta della tessitura dei suoli della pianura Emiliano-Romagnola, strato 0–30 cm, scala 1:50,000. 2015. [Google Scholar]
- Bierwirth, P.; Brodie, R. Gamma-ray remote sensing of aeolian salt sources in the Murray–Darling Basin, Australia. Remote Sens. Environ. 2008, 112, 550–559. [Google Scholar] [CrossRef]
- Martin, P.; Tims, S.; McGill, A.; Ryan, B.; Pfitzner, K. Use of airborne γ-ray spectrometry for environmental assessment of the rehabilitated Nabarlek uranium mine, Australia. Environ. Monit. Assess. 2006, 115, 531–554. [Google Scholar] [CrossRef]
- Mattila, U.; Tokola, T. Terrain mobility estimation using TWI and airborne gamma-ray data. J. Environ. Manag. 2019, 232, 531–536. [Google Scholar] [CrossRef] [PubMed]
- Minty, B.; Franklin, R.; Milligan, P.; Richardson, M.; Wilford, J. The radiometric map of Australia. Explor. Geophys. 2009, 40, 325–333. [Google Scholar] [CrossRef]
- Youssef, M.A.; Elkhodary, S.T. Utilization of airborne gamma ray spectrometric data for geological mapping, radioactive mineral exploration and environmental monitoring of southeastern Aswan city, South Eastern Desert, Egypt. Geophys. J. Int. 2013, 195, 1689–1700. [Google Scholar] [CrossRef] [Green Version]
- Baldoncini, M.; Alberi, M.; Bottardi, C.; Minty, B.; Raptis, K.G.C.; Strati, V.; Mantovani, F. Airborne Gamma-Ray Spectroscopy for Modeling Cosmic Radiation and Effective Dose in the Lower Atmosphere. IEEE Trans. Geosci. Remote Sens. 2018, 56, 823–834. [Google Scholar] [CrossRef]
- Baldoncini, M.; Albéri, M.; Bottardi, C.; Minty, B.; Raptis, K.G.C.; Strati, V.; Mantovani, F. Exploring atmospheric radon with airborne gamma-ray spectroscopy. Atmos. Environ. 2017, 170, 259–268. [Google Scholar] [CrossRef] [Green Version]
- Alberi, M.; Baldoncini, M.; Bottardi, C.; Chiarelli, E.; Fiorentini, G.; Raptis, K.G.C.; Realini, E.; Reguzzoni, M.; Rossi, L.; Sampietro, D.; et al. Accuracy of Flight Altitude Measured with Low-Cost GNSS, Radar and Barometer Sensors: Implications for Airborne Radiometric Surveys. Sensors 2017, 17, 1889. [Google Scholar] [CrossRef] [Green Version]
- Caciolli, A.; Baldoncini, M.; Bezzon, G.P.; Broggini, C.; Buso, G.P.; Callegari, I.; Colonna, T.; Fiorentini, G.; Guastaldi, E.; Mantovani, F.; et al. A new FSA approach for in situ gamma ray spectroscopy. Sci. Total Environ. 2012, 414, 639–645. [Google Scholar] [CrossRef] [Green Version]
- Agostinelli, S.; Allison, J.; Amako, K.; Apostolakis, J.; Araujo, H.; Arce, P.; Asai, M.; Axen, D.; Banerjee, S.; Barrand, G.; et al. Geant4—a simulation toolkit. Nucl. Instrum. Methods Phys. Res. 2003, 506, 250–303. [Google Scholar] [CrossRef] [Green Version]
- Kingma, D.P.; Ba, J.L. Adam: A Method for Stochastic Optimization. arXiv 2014, arXiv:1412.6980v9. [Google Scholar]
- Chollet, F. Keras; GitHub: San Francisco, CA, USA, 2015; Available online: Github.com/fchollet/keras (accessed on 7 October 2021).
- Nair, V.; Hinton, G.E. Rectified Linear Units Improve Restricted Boltzmann Machines. In Proceedings of the 27th International Conference on Machine Learning, Madison, WI, USA, 21–24 June 2010. [Google Scholar]
- Sequi, P. Chimica Del Suolo; Patron Editore: Bologna, Italy, 1989. [Google Scholar]
- Van Der Klooster, E.; Van Egmond, F.M.; Sonneveld, M.P.W. Mapping soil clay contents in Dutch marine districts using gamma-ray spectrometry. Eur. J. Soil Sci. 2011, 62, 743–753. [Google Scholar] [CrossRef]
- Mahmood, H.S.; Hoogmoed, W.B.; van Henten, E.J. Proximal gamma-ray spectroscopy to predict soil properties using windows and full-spectrum analysis methods. Sensors 2013, 13, 16263–16280. [Google Scholar] [CrossRef] [PubMed] [Green Version]
- Elbaalawy, A.M.; Benbi, D.K.; Benipal, D.S. Potassium forms in relation to clay mineralogy and other soil properties in different agro-ecological sub-regions of northern India. Agric. Res. J. 2016, 53, 200. [Google Scholar] [CrossRef]
- Grasty, R.L. Radon emanation and soil moisture effects on airborne gamma-ray measurements. Geophysics 1997, 62, 1379–1385. [Google Scholar] [CrossRef]
- Minty, B. Multichannel models for the estimation of radon background in airborne gamma-ray spectrometry. Geophysics 1998, 63, 1986–1996. [Google Scholar] [CrossRef]
- Grasty, R.L.; Minty, B.R.S. A Guide to the Techncial Specifications for Airborne Gamma-Ray Surveys; Citeseer: Princeton, NJ, USA, 1990. [Google Scholar]
- Minty, B. Airborne gamma-ray spectrometric background estimation using full spectrum analysis. Geophysics 1992, 57, 279–287. [Google Scholar] [CrossRef]
- Baldoncini, M.; Albéri, M.; Bottardi, C.; Chiarelli, E.; Raptis, K.G.C.; Strati, V.; Mantovani, F. Biomass water content effect on soil moisture assessment via proximal gamma-ray spectroscopy. Geoderma 2019, 335, 69–77. [Google Scholar] [CrossRef] [Green Version]









| a(K) [10−2 g g−1] | a(Th) [μg g−1] | Clay [%] | Silt [%] | ||
|---|---|---|---|---|---|
| a(Th) [μ g g−1] | m ± δm | 5.0 ± 0.1 [10−4 g g−1] | |||
| q ± δq | 2.3 ± 0.1 [μg g−1] | ||||
| r | 0.82 | ||||
| Clay [%] | m ± δm | 39.9 ± 2.0 [g g−1] | 5.4 ± 0.4 [104 g g−1] | ||
| q ± δq | −11.5 ± 1.9 [%] | −11.6 ± 2.5 [%] | |||
| r | 0.64 | 0.53 | |||
| Silt [%] | m ± δm | 22.2 ± 1.7 [g g−1] | 3.7 ± 0.3 [104 g g−1] | 0.5 ± 0.0 [g g−1] | |
| q ± δq | 16.5 ± 1.6 [%] | 11.7 ± 2.0 [%] | 24.8 ± 0.7 [%] | ||
| r | 0.47 | 0.48 | 0.64 | ||
| Sand [%] | m ± δm | −62.1 ± 3.2 [g g−1] | −9.1 ± 0.6 [104 g g−1] | −1.5 ± 0.0 [g g−1] | −1.8 ± 0.0 [g g−1] |
| q ± δq | 95.0 ± 3.0 [%] | 99.9 ± 3.9 [%] | 75.2 ± 0.7 [%] | 106.0 ± 1.6 [%] | |
| r | −0.62 | −0.56 | −0.93 | −0.88 |
| r | |||||||
|---|---|---|---|---|---|---|---|
| N° of Data | Clay [%] | Sand [%] | Clay vs. K | Sand vs. K | Clay vs. Th | Sand vs. Th | |
| This study | 578 | 26 | 37 | 0.64 | −0.62 | 0.53 | −0.56 |
| Van Der Klooster, et al. [46] * | 53 | 18 | / | 0.56 | / | 0.63 | / |
| Mahmood, et al. [47] ** | 36 | 19 | 63 | / | / | 0.62 | −0.51 |
| Spadoni and Voltaggio [19] | 21 | 27 | 21 | 0.05 | −0.48 | 0.07 | −0.07 |
| Elbaalawy, et al. [48] | 16 | 24 | 52 | 0.61 | −0.71 | / | / |
| Petersen [18] | 13 | 25 | 36 | −0.42 | <−0.10 | 0.53 | −0.78 |
| Relation | a ± δa [g g−1] | b ± δb [104 g g−1] | c ± δc [%] | R |
|---|---|---|---|---|
| Clay [%] = a × a(K) [10−2 g g−1] + b × a(Th) [μg g−1] + c | 39.4 ± 3.5 | 0.1 ± 0.6 | −11.7 ± 2.3 | 0.64 |
| Silt [%] = a × a(K) [10−2 g g−1] + b × a(Th) [μg g−1] + c | 11.6 ± 3.0 | 2.1 ± 0.5 | 11.7 ± 2.0 | 0.50 |
| Sand [%] = a × a(K) [10−2 g g−1] + b × a(Th) [μg g−1] + c | −51.0 ± 5.6 | −2.2 ± 0.9 | 100.0 ± 3.7 | 0.63 |
Publisher’s Note: MDPI stays neutral with regard to jurisdictional claims in published maps and institutional affiliations. |
© 2022 by the authors. Licensee MDPI, Basel, Switzerland. This article is an open access article distributed under the terms and conditions of the Creative Commons Attribution (CC BY) license (https://creativecommons.org/licenses/by/4.0/).
Share and Cite
Maino, A.; Alberi, M.; Anceschi, E.; Chiarelli, E.; Cicala, L.; Colonna, T.; De Cesare, M.; Guastaldi, E.; Lopane, N.; Mantovani, F.; et al. Airborne Radiometric Surveys and Machine Learning Algorithms for Revealing Soil Texture. Remote Sens. 2022, 14, 3814. https://doi.org/10.3390/rs14153814
Maino A, Alberi M, Anceschi E, Chiarelli E, Cicala L, Colonna T, De Cesare M, Guastaldi E, Lopane N, Mantovani F, et al. Airborne Radiometric Surveys and Machine Learning Algorithms for Revealing Soil Texture. Remote Sensing. 2022; 14(15):3814. https://doi.org/10.3390/rs14153814
Chicago/Turabian StyleMaino, Andrea, Matteo Alberi, Emiliano Anceschi, Enrico Chiarelli, Luca Cicala, Tommaso Colonna, Mario De Cesare, Enrico Guastaldi, Nicola Lopane, Fabio Mantovani, and et al. 2022. "Airborne Radiometric Surveys and Machine Learning Algorithms for Revealing Soil Texture" Remote Sensing 14, no. 15: 3814. https://doi.org/10.3390/rs14153814
APA StyleMaino, A., Alberi, M., Anceschi, E., Chiarelli, E., Cicala, L., Colonna, T., De Cesare, M., Guastaldi, E., Lopane, N., Mantovani, F., Marcialis, M., Martini, N., Montuschi, M., Piccioli, S., Raptis, K. G. C., Russo, A., Semenza, F., & Strati, V. (2022). Airborne Radiometric Surveys and Machine Learning Algorithms for Revealing Soil Texture. Remote Sensing, 14(15), 3814. https://doi.org/10.3390/rs14153814

