Demand for Ecosystem Services Drive Large-Scale Shifts in Land-Use in Tropical Mountainous Watersheds Prone to Landslides
Abstract
:1. Introduction
1.1. Overall Hypothesis and Objectives
1.2. Case Study

2. Methods
2.1. Watershed Delineation
2.2. Water Balances
2.3. Historic Land Cover Datasets
2.4. Current Land Cover Datasets
2.5. Data Analysis
2.6. Data and Analysis Limitations
3. Results
3.1. Basin-Scale Land Cover and WES Relationships
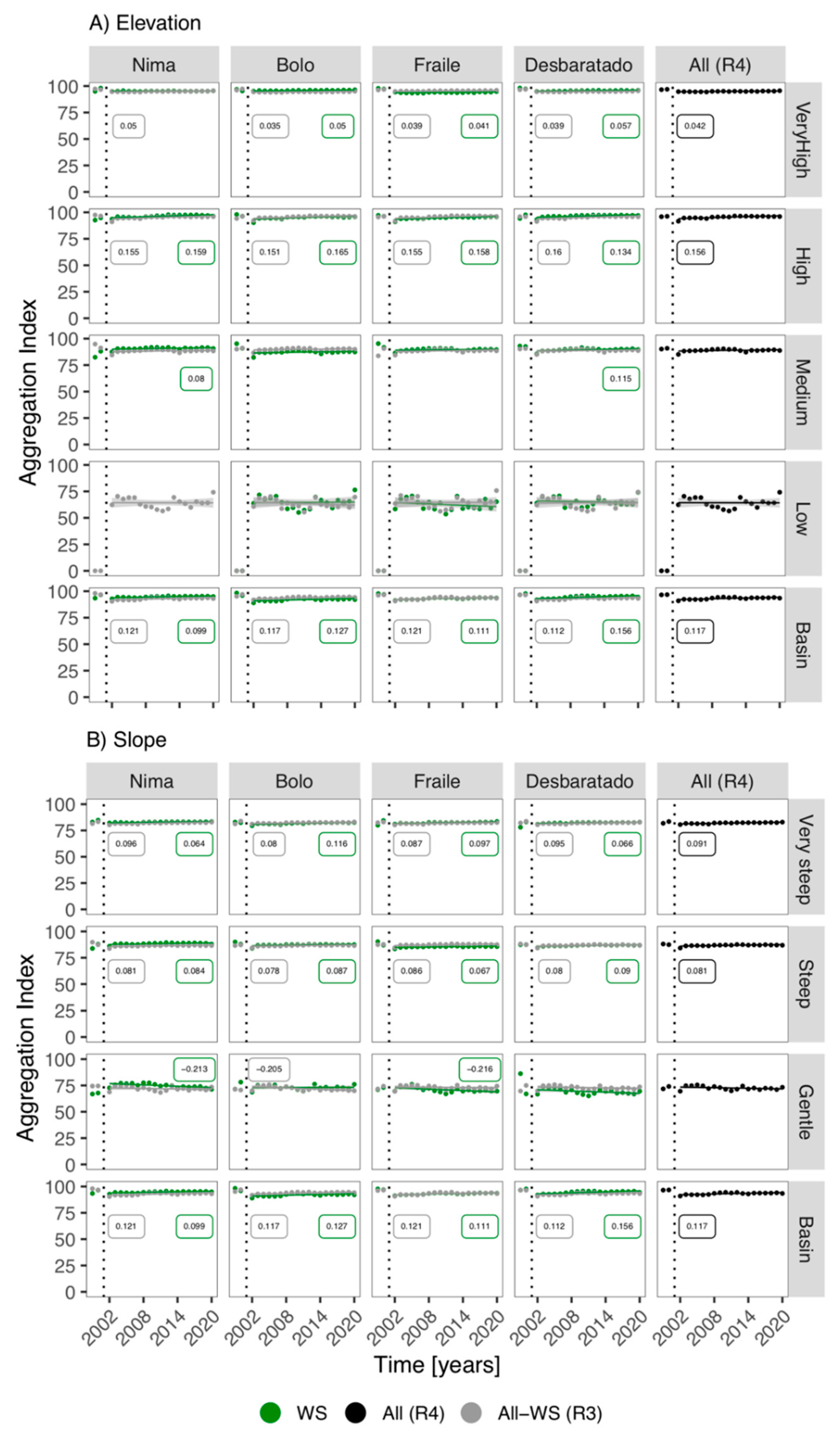
3.2. Land Cover Change and the Independent Effects of Elevation and Slope


3.3. Land Cover Change and the Combined Effect of Elevation and Slope
4. Discussion
4.1. Land Cover and Water-Derived ES Relationships Colombia
4.2. Land Cover Change and the Independent Effects of Elevation and Slope
4.3. Land Cover Change and the Combined Effect of Elevation and Slope
4.4. Land-Cover Change, Mountains, and Water-Derived ES
5. Conclusions
Supplementary Materials
Author Contributions
Funding
Data Availability Statement
Acknowledgments
Conflicts of Interest
References
- Mitchell, J.F.B.; Lowe, J.; Wood, R.A.; Vellinga, M. Extreme events due to human-induced climate change. Philos. Trans. R. Soc. A Math. Phys. Eng. Sci. 2006, 364, 2117–2133. [Google Scholar] [CrossRef]
- Robinson, A.; Lehmann, J.; Barriopedro, D.; Rahmstorf, S.; Coumou, D. Increasing heat and rainfall extremes now far outside the historical climate. NPJ Clim. Atmos. Sci. 2021, 4, 45. [Google Scholar] [CrossRef]
- Holling, C.S. Resilience and stability of ecological systems. Annu. Rev. Ecol. Syst. 1973, 4, 1–23. [Google Scholar] [CrossRef] [Green Version]
- Oliver, T.H.; Heard, M.S.; Isaac, N.J.B.; Roy, D.B.; Procter, D.; Eigenbrod, F.; Freckleton, R.; Hector, A.; Orme, C.D.L.; Petchey, O.L.; et al. Biodiversity and resilience of ecosystem functions. Trends Ecol. Evol. 2015, 30, 673–684. [Google Scholar] [CrossRef] [Green Version]
- Hodgson, D.; McDonald, J.L.; Hosken, D.J. What do you mean, ‘resilient’? Trends Ecol. Evol. 2015, 30, 503–506. [Google Scholar] [CrossRef] [PubMed]
- Heffernan, J.B.; Soranno, P.A.; Angilletta, M.J.; Buckley, L.B.; Gruner, D.S.; Keitt, T.H.; Kellner, J.R.; Kominoski, J.S.; Rocha, A.V.; Xiao, J.; et al. Macrosystems ecology: Understanding ecological patterns and processes at continental scales. Front. Ecol. Environ. 2014, 12, 5–14. [Google Scholar] [CrossRef] [Green Version]
- Cumming, G.S. Spatial Resilience in Social-Ecological Systems; Springer: Dordrecht, The Netherlands, 2011. [Google Scholar]
- Pearson, R.M.; Schlacher, T.A.; Jinks, K.I.; Olds, A.D.; Brown, C.J.; Connolly, R.M. Disturbance type determines how connectivity shapes ecosystem resilience. Sci. Rep. 2021, 11, 1188. [Google Scholar] [CrossRef]
- Charnley, S.; Spies, T.A.; Barros, A.M.G.; White, E.M.; Olsen, K.A. Diversity in forest management to reduce wildfire losses: Implications for resilience. Ecol. Soc. 2017, 22, 22. [Google Scholar] [CrossRef] [Green Version]
- Sarkar, R.; Shaw, R.; Pradhan, B. (Eds.) Impact of Climate Change, Land Use and Land Cover, and Socio-Economic Dynamics on Landslides; Springer: Singapore, 2022; p. 491. [Google Scholar]
- Larsen, M.C. Rainfall-triggered landslides, anthropogenic hazards, and mitigation strategies. Adv. Geosci. 2008, 14, 147–153. [Google Scholar] [CrossRef] [Green Version]
- Sutton, L.; Restrepo, C. Natural hazards, diverse economies and livelihoods in the Sierra de Las Minas, Guatemala. J. Lat. Am. Geogr. 2013, 12, 137–164. [Google Scholar] [CrossRef]
- Sukhwani, V.; Takeda, T.; Mitra, B.K.; Shaw, R. Urban–rural connectivity for forest management and landslide risk reduction: Case of Japan. In Impact of Climate Change, Land Use and Land Cover, and Socio-Economic Dynamics on Landslides; Sarkar, R., Shaw, R., Pradhan, B., Eds.; Springer: Singapore, 2022; pp. 435–451. [Google Scholar] [CrossRef]
- Forbes, K.; Broadhead, J. Forests and Landslides: The Role of Trees and Forests in the Prevention of Landslides and Rehabilitation of Landslide-Affected Areas in Asia; Food and Agriculture Organization: Bangkok, Thailand, 2011; p. 42. [Google Scholar]
- Brander, L.M.; Tankha, S.; Sovann, C.; Sanadiradze, G.; Zazanashvili, N.; Kharazishvili, D.; Memiadze, N.; Osepashvili, I.; Beruchashvili, G.; Arobelidze, N. Mapping the economic value of landslide regulation by forests. Ecosyst. Serv. 2018, 32, 101–109. [Google Scholar] [CrossRef]
- Yamaura, Y.; Yamada, Y.; Matsuura, T.; Tamai, K.; Taki, H.; Sato, T.; Hashimoto, S.; Murakami, W.; Toda, K.; Saito, H.; et al. Modeling impacts of broad-scale plantation forestry on ecosystem services in the past 60 years and for the future. Ecosyst. Serv. 2021, 49, 101271. [Google Scholar] [CrossRef]
- Petit, C.C.; Lambin, E.F. Integration of multi-source remote sensing data for land cover change detection. Int. J. Geogr. Inf. Sci. 2001, 15, 785–803. [Google Scholar] [CrossRef]
- Goldenberg, R.; Kalantari, Z.; Cvetkovic, V.; Mörtberg, U.; Deal, B.; Destouni, G. Distinction, quantification and mapping of potential and realized supply-demand of flow-dependent ecosystem services. Sci. Total Environ. 2017, 593–594, 599–609. [Google Scholar] [CrossRef] [PubMed]
- Häyhä, T.; Franzese, P.P.; Paletto, A.; Fath, B.D. Assessing, valuing, and mapping ecosystem services in Alpine forests. Ecosyst. Serv. 2015, 14, 12–23. [Google Scholar] [CrossRef]
- Murry, B.; Bowden, J.; Branoff, B.; García-Bermúdez, M.; Middleton, B.A.; Ortiz-Zayas, J.R.; Restrepo, C.; Terando, A. Perspective: Developing flow policies to balance the W\water needs of humans and wetlands requires a landscape scale approach inclusive of future scenarios and multiple timescales. Wetlands 2019, 39, 1329–1341. [Google Scholar] [CrossRef]
- Grant, E.H.C.; Lynch, H.J.; Muneepeerakul, R.; Arunachalam, M.; Rodríguez-Iturbe, I.; Fagan, W.F. Interbasin water transfer, riverine connectivity, and spatial controls on fish biodiversity. PLoS ONE 2012, 7, e34170. [Google Scholar] [CrossRef]
- Kattelus, M.; Rahaman, M.M.; Varis, O. Hydropower development in Myanmar and its implications on regional energy cooperation. Int. J. Sustain. Soc. 2015, 7, 42–66. [Google Scholar] [CrossRef]
- Foggin, J.M.; Lechner, A.M.; Emslie-Smith, M.; Hughes, A.C.; Sternberg, T.; Dossani, R. Belt and Road Initiative in Central Asia: Anticipating socioecological challenges from large-scale infrastructure in a global biodiversity hotspot. Conserv. Lett. 2021, 14, e12819. [Google Scholar] [CrossRef]
- Zumpano, V.; Pisano, L.; Malek, Ž.; Micu, M.; Aucelli, P.P.C.; Rosskopf, C.M.; Balteanu, D.; Parise, M. Economic Losses for Rural Land Value Due to Landslides. Front. Earth Sci. 2018, 6. [Google Scholar] [CrossRef]
- Klimeš, J.; Müllerová, H.; Woitsch, J.; Bíl, M.; Křížová, B. Century-long history of rural community landslide risk reduction. Int. J. Disaster Risk Reduct. 2020, 51, 101756. [Google Scholar] [CrossRef]
- Tang, Y.; Shao, Q.; Liu, J.; Zhang, H.; Yang, F.; Cao, W.; Wu, D.; Gong, G. Did ecological restoration hit its mark? Monitoring and assessing ecological changes in the Grain for Green Program region using multi-source Satellite Images. Remote Sens. 2019, 11, 358. [Google Scholar] [CrossRef] [Green Version]
- Ashton, P.M.; O’Hara, J.L.; Hauff, R.D. Protecting Watershed Areas: Case of the Panama Canal; CRC Press: Boca Raton, FL, USA, 2000. [Google Scholar]
- Delang, C.O. The second phase of the Grain for Green program: Adapting the largest reforestation program in the world to the new conditions in rural China. Environ. Manag. 2019, 64, 303–312. [Google Scholar] [CrossRef] [PubMed]
- Takahashi, T.; de Jong, W.; Kakizawa, H.; Kawase, M.; Matsushita, K.; Sato, N.; Takayanagi, A. New frontiers in Japanese forest policy: Addressing ecosystem disservices in the 21st century. Ambio 2021, 50, 2272–2285. [Google Scholar] [CrossRef] [PubMed]
- Romeo, R.; Manuelli, S.; Geringer, M.; Barchiesi, V. (Eds.) Mountain Farming Systems-Seeds for the Future: Sustainable Agricultural Practices for Resilience Mountain Livelihoods; Food and Agriculture Organization-FAO: Rome, Italy, 2021. [Google Scholar] [CrossRef]
- Restrepo, C.; Walker, L.R.; Shiels, A.B.; Bussmann, R.; Claessens, L.; Fisch, S.; Lozano, P.; Negi, G.; Paolini, L.; Poveda, G.; et al. Landsliding and its multiscale influence on mountainscapes. BioScience 2009, 59, 685–698. [Google Scholar] [CrossRef] [Green Version]
- Tran, P.; Marincioni, F.; Shaw, R. Catastrophic flood and forest cover change in the Huong river basin, central Viet Nam: A gap between common perceptions and facts. J. Environ. Manag. 2010, 91, 2186–2200. [Google Scholar] [CrossRef]
- Harris, N.L.; Gibbs, D.A.; Baccini, A.; Birdsey, R.A.; de Bruin, S.; Farina, M.; Fatoyinbo, L.; Hansen, M.C.; Herold, M.; Houghton, R.A.; et al. Global maps of twenty-first century forest carbon fluxes. Nat. Clim. Chang. 2021, 11, 234–240. [Google Scholar] [CrossRef]
- Sánchez-Cuervo, A.M.; Aide, T.M.; Clark, M.L.; Etter, A. Land cover change in Colombia: Surprising forest recovery trends between 2001 and 2010. PLoS ONE 2012, 7, e43943. [Google Scholar] [CrossRef] [PubMed] [Green Version]
- Redo, D.J.; Grau, H.R.; Aide, T.M.; Clark, M.L. Asymmetric forest transition driven by the interaction of socioeconomic development and environmental heterogeneity in Central America. Proc. Natl. Acad. Sci. USA 2012, 109, 8839. [Google Scholar] [CrossRef] [Green Version]
- Song, X.-P.; Hansen, M.C.; Stehman, S.V.; Potapov, P.V.; Tyukavina, A.; Vermote, E.F.; Townshend, J.R. Global land change from 1982 to 2016. Nature 2018, 560, 639–643. [Google Scholar] [CrossRef]
- Nelson, S.H.; Bremer, L.L.; Meza Prado, K.; Brauman, K.A. The political life of natural infrastructure: Water funds and alternative histories of payments for ecosystem services in Valle del Cauca, Colombia. Dev. Chang. 2020, 51, 26–50. [Google Scholar] [CrossRef] [Green Version]
- Schrimpff, E. Cuenca Superior Rio Nima-Plan de Desarrollo y Manejo; Departamento Agropecuario, Sección Recuros Naturales, Corporación Autónoma Regional del Cauca-C.V.C.: Cali, Colombia, 1970; p. 46.
- Katusiime, J.; Schütt, B. Linking land tenure and integrated watershed management—A review. Sustainability 2020, 12, 1667. [Google Scholar] [CrossRef] [Green Version]
- Potapov, P.; Tyukavina, A.; Hansen, M.C. GLAD Landsat ARD Tools v1.1. User’s Manual. Available online: https://glad.umd.edu/Potapov/ARD/ARD_manual_v1.1.pdf (accessed on 1 November 2020).
- DANE. Cuentas Departamentales: Producto Interno Bruto por Departamento-2020 Preliminar; Departamento Administrativo Nacional de Estadística-DANE: Bogotá, Colombia, 2021.
- DANE. Censo Nacional de Población y Vivienda-CNPV 2018; Departamento Administrativo Nacional de Estadística-DANE: Bogotá, Colombia, 2018.
- Botero, P. Paisajes y territorio ancestral de Palmira. In Territorio Ancestral, Rituales Funerarios y Chamanismo en Palmira Prehispánica, Valle del Cauca; Rodríguez Cuenca, J.V., Ed.; Universidad Nacional de Colombia: Bogotá, Colombia, 2006; pp. 27–44. [Google Scholar]
- Gobernación Valle del Cauca; Universidad de San Buenaventura Cali. Plan de Ordenamiento Territorial Departamental POTD Valle del Cauca: Chapter 5-Territorio Resiliente; Universidad de San Buenaventura Cali: Cali, Colombia, 2016. [Google Scholar]
- Cardale de Schrimpff, M.; Botero, P.; Groot de Mahecha, A.M.; Betancourt, A.; Berrio, J.C.; Duncan, N. Inundaciones y sequías: Estrategias precolombinas para sobrevivir en el valle geográfico del Río Cauca. Boletín Arqueol. 2017, 26, 4–28. [Google Scholar]
- Delgadillo, O.L. La Caña de Azúcar en la Historia Ambiental del Valle Geográfico del Río Cauca (1864–2010). Ph.D. Thesis, Pontificia Universidad Javeriana, Bogotá, Colombia, 2014. [Google Scholar]
- Giraldo-Hoyos, M. Owing Land, Appropriating Nature. The Configuration of an Agricultural Landscape in the Cauca River Valley, Southwestern Colombia, 1864–1901. Master’s Thesis, University of Saskatchewan, Sakatoon, SK, Canada, 2018. [Google Scholar]
- Uribe Castro, H.; Aceneth, P.C. Historia Ambiental de la Agroindustria Cañera en el Valle del Rio Cauca; Programa Editorial de la Universidad Autónoma de Occidente y Programa Editorial de la Universidad del Valle: Cali, Colombia, 2020. [Google Scholar]
- CVC. Uso Actual-Proyecto para el Manejo de la Cuenca Superior del Río Nima-713-60-21; Departamento Agropecuario, Sección de Administración de Cuencas Hidrográficas, Coporación Autónoma Regional del Cauca: Cali, Colombia, 1989.
- Huffman, G.J.; Stocker, E.F.; Bolvin, D.T.; Nelkin, E.J.; Tan, J. GPM IMERG Final Precipitation L3 1 Month 0.1 Degree × 0.1 Degree V06. DISC; Goddard Earth Sciences Data and Information Services Center: Greenbelt, MD, USA, 2019.
- Schrimpff, E.; Durán, A. Plan de Desarrollo y Manejo-Cuenca Superior del Río Nima; Departamento Agropecuario, Sección Recursos Naturales, Corporación Autónoma Regional del Cauca: Palmira, Colombia, 1974.
- Maidment, D.R. Arc Hydro: GIS for Water Resources; ESRI Press: Redlands, CA, USA, 2010. [Google Scholar]
- NASA/METI/AISTJ/Japan Spacesystem and U.S/Japan ASTER Science Team. ASTER Global Digital Elevation Model V003; NASA EOSDIS Land Processes DAAC: Sioux Falls, SD, USA, 2019. [CrossRef]
- IGAC. Drenajes del Valle del Cauca-Rios. 1990. Available online: https://www.geo.cvc.gov.co/visor_avanzado/ (accessed on 1 May 2020).
- Grupo Recursos Hídricos. Guía: Balance Oferta-Demanda de Agua; Corporación Autónoma Regional del Valle del Cauca: Cali, Colombia, 2019; p. 38. Available online: https://www.cvc.gov.co/documentos/normatividad/recurso-hidrico/balances-ofertas-demanda (accessed on 1 December 2021).
- CVC. UMC Ríos Bolo-Fraile Desbaratado-Uso Actual 1989 [Mapa]. 1:50,000. Dibujo No. 722-09-19; Subdirección de Recursos Naturales, División de Asistencia Técnica-Sección Suelos, Corporación Autónoma Regional del Cauca: Cali, Colombia, 1989.
- CVC. Plan de Ordenación y Desarrollo de las Cuencas de los Rios Bolo, Fraile, Desbaratado-Municipios de Pradera-Florida-Miranda. Informe CVC No. 77-5. Uso Actual del Suelo [Mapa]. 1:100,000; Departamento Agropecuario, Sección Recursos Naturales, Corporación Autónoma Regional del Cauca: Cali, Colombia, 1977.
- IGAC. Carta General. Plancha No. 280-IV-C. 1:25,000; Instituto Geográfico Agustín Codazzi: Bogotá, Colombia, 1969.
- IGAC. Carta General. Plancha No. 280-IV-D. 1:25,000; Instituto Geográfico Agustín Codazzi: Bogotá, Colombia, 1969.
- IGAC. Carta General. Plancha No. 300-II-A. 1:25,000; Instituto Geográfico Agustín Codazzi: Bogotá, Colombia, 1969.
- IGAC. Carta General. Plancha No. 300-II-B. 1:25,000; Instituto Geográfico Agustín Codazzi: Bogotá, Colombia, 1984.
- IGAC. Parámetros Oficiales de Transformación Para Migrar a MAGNA-SIRGAS la Información Existente en Datum Bogotá; División de Geodesia de la Subdirección de Geografía y Cartografía del Instituto Geográfico Agustín Codazzi: Bogotá, Colombia, 2004.
- Potapov, P.; Hansen, M.C.; Kommareddy, I.; Kommareddy, A.; Turubanova, S.; Pickens, A.; Adusei, B.; Tyukavina, A.; Ying, Q. Landsat analysis ready data for global land cover and land cover change mapping. Remote Sens. 2020, 12, 426. [Google Scholar] [CrossRef] [Green Version]
- Hansen, M.C.; Stehman, S.V.; Potapov, P.V.; Loveland, T.R.; Townshend, J.R.G.; DeFries, R.S.; Pittman, K.W.; Arunarwati, B.; Stolle, F.; Steininger, M.K.; et al. Humid tropical forest clearing from 2000 to 2005 quantified by using multitemporal and multiresolution remotely sensed data. Proc. Natl. Acad. Sci. USA 2008, 105, 9439. [Google Scholar] [CrossRef] [Green Version]
- Potapov, P.; Turubanova, S.; Hansen, M.; Adusei, B.; Broich, M.; Altstatt, A.; Mane, L.; Justice, C. Quantifying forest cover loss in Democratic Republic of the Congo, 2000–2010, with Landsat ETM+ data. Remote Sens. Environ. 2012, 122, 106–116. [Google Scholar] [CrossRef]
- Potapov, P.; Tyukavina, A.; Turubanova, S.; Talero, Y.; Hernandez-Serna, A.; Hansen, M.C.; Saah, D.; Tenneson, K.; Poortinga, A.; Aekakkararungroj, A.; et al. Annual continuous fields of woody vegetation structure in the Lower Mekong region from 2000–2017 Landsat time-series. Remote Sens. Environ. 2019, 232, 111278. [Google Scholar] [CrossRef]
- NASA JPL. Shuttle Radar Topography Mission Global 1 Arc Second; NASA EOSDIS Land Processes DAAC: Sioux Falls, SD, USA, 2013. [CrossRef]
- De Fries, R.; Hansen, M.; Townshend, J. Global discrimination of land cover types from metrics derived from AVHRR pathfinder data. Remote Sens. Environ. 1995, 54, 209–222. [Google Scholar] [CrossRef]
- Hansen, M.C.; Potapov, P.V.; Moore, R.; Hancher, M.; Turubanova, S.A.; Tyukavina, A.; Thau, D.; Stehman, S.V.; Goetz, S.J.; Loveland, T.R.; et al. High-resolution global maps of 21st-century forest cover change. Science 2013, 342, 850–853. [Google Scholar] [CrossRef] [PubMed] [Green Version]
- He, H.S.; DeZonia, B.E.; Mladenoff, D.J. An aggregation index (AI) to quantify spatial patterns of landscapes. Landsc. Ecol. 2000, 15, 591–601. [Google Scholar] [CrossRef]
- Espinal, L.S. Zonas de Vida o Formaciones Vegetales de Colombia: Memoria Explicativa sobre el Mapa Ecologico; Instituto Geografico Agustin Codazzi: Bogota, Colombia, 1977; p. 237.
- Helmer, E.H.; Gerson, E.A.; Baggett, L.S.; Bird, B.J.; Ruzycki, T.S.; Voggesser, S.M. Neotropical cloud forests and páramo to contract and dry from declines in cloud immersion and frost. PLoS ONE 2019, 14, e0213155. [Google Scholar] [CrossRef] [PubMed] [Green Version]
- Gómez Hoyos, N.; Vargas William, G.; García Guerrero, D.M. Páramos del Departamento del Valle del Cauca, Colombia; Corporación Autónoma Regional del Valle del Cauca, CVC: Cali, Colombia, 2000.
- Lee, S.; Pradhan, B. Landslide hazard mapping at Selangor, Malaysia using frequency ratio and logistic regression models. Landslides 2007, 4, 33–41. [Google Scholar] [CrossRef]
- Decreto 2278. Decreto 2278 de 1953 Por el Cual se Dictan Medidas Sobre Cuestiones Forestales; Diario Oficial Año XC. N. 28294: Bogotá, Colombia, 1953.
- Quinn, J.P.; Keough, M.J. Experimental Design and Data Analysis for Biologists; Cambridge University Press: Cambridge, UK, 2002; p. 537. [Google Scholar]
- Bivand, R.; Keitt, T.H.; Rowlingson, B.; Pebesma, E.; Summer, M.; Hijmans, R.; Baston, D.; Rouault, E.; Wermerdam, F.; Ooms, J.; et al. Rgdal: Bindings for the Geospatial Data Abstraction Library; Geospatial Foundation: Beaverton, OR, USA, 2019; Available online: https://CRAN.R-project.org/package=rgdal (accessed on 1 May 2020).
- Hijmans, R.; van Etten, J. Raster: Geographic Analysis and Modeling with Raster Data. 2012. Available online: https://CRAN.R-project.org/package=raster (accessed on 1 May 2020).
- Hesselbarth, M.H.K.; Sciaini, M.; With, K.A.; Wiegand, K.; Nowosad, J. landscapemetrics: An open-source R tool to calculate landscape metrics. Ecography 2019, 42, 1648–1657. [Google Scholar] [CrossRef] [Green Version]
- R Core Team. R: A Language and Environment for Statistical Computing; R Foundation for Statistical Computing: Vienna, Austria, 2021. [Google Scholar]
- Ministerio de la Economía Nacional. Reservas Forestales-Resolución Número 17; Ministerio de la Economía Nacional: Bogotá, Colombia, 1938.
- República de Colombia. Ley 2 de 1959; Congreso de Colombia: Bogotá, Colombia, 1959.
- Espinal, L.S. Visión Ecológica del Departamento del Valle del Cauca; Corporación Autónoma Regional del Cauca and Ministerio de Agricultura: Cali, Colombia, 1968.
- Crist, R.E. The Cauca Valley, Colombia: Land Tenure and Land Use; Waverly Press: Baltimore, ML, USA, 1952. [Google Scholar]
- García Romero, H.; Calderón Etter, L. Evaluación de la Política de Biocombustibles en Colombia; Helena García: Laura Calderón Bogotá, Colombia, 2012. [Google Scholar]
- Castro-Marín, E.; Moreno-Espitia, M.; Vargas-Cuervo, G. Zonificación de Amenazas por Procesos de Remoción en Masa en Las Cuencas de los ríos Bolo y Fraile, Valle del Cauca; Instituto Nacional de Investigaciones Geológico Mineras (INGEOMINAS): Bogotá, Colombia, 1998.
- Moreno, P. Contribución al Manejo Integral de Cuencas Hidrográficas en el Valle Geográfico Alto del Río Cauca; Fundación Fondo Agua por la Vida y la Sostenibilidad: Cali, Colombia, 2017; p. 31. [Google Scholar]
- Rodríguez-de-Francisco, J.C.; Budds, J. Payments for environmental services and control over conservation of natural resources: The role of public and private sectors in the conservation of the Nima watershed, Colombia. Ecol. Econ. 2015, 117, 295–302. [Google Scholar] [CrossRef]
- Bremer, L.L.; Auerbach, D.A.; Goldstein, J.H.; Vogl, A.L.; Shemie, D.; Kroeger, T.; Nelson, J.L.; Benítez, S.P.; Calvache, A.; Guimarães, J.; et al. One size does not fit all: Natural infrastructure investments within the Latin American Water Funds Partnership. Ecosyst. Serv. 2016, 17, 217–236. [Google Scholar] [CrossRef]
- Ministerio de Ambiente y Desarrollo Sostenible. Política Nacional para la Gestión Integral de la Biodiversidad y sus Servicios Ecosistémicos (PNGIBSE); Instituto de Investigación de Recursos Biológicos Alexander von Humboldt: Bogotá, Colombia, 2012; p. 113.
- Corporación Biocomercio Sostenible; Corporación Autónoma Regional del Valle del Cauca. Protocolo No. 1-Mercado de Carbono; Corporación Biocomercio Sostenible and Corporación Autónoma Regional del Valle del Cauca: Cali, Colombia, 2018; p. 20.
- UPME; Pontificia Universidad Javeriana; IGAC; Colciencias; IDEAM. Atlas Potencial Hidroenergético de Colombia; UPME: Bogotá, Colombia, 2015; p. 160.
- Dale, V.H.; Brown, S.; Calderón, M.O.; Montoya, A.S.; Martínez, R.E. Estimating baseline carbon emissions for the Eastern Panama Canal watershed. Mitig. Adapt. Strateg. Glob. Chang. 2003, 8, 323–348. [Google Scholar] [CrossRef]
- Carse, A. Nature as infrastructure: Making and managing the Panama Canal watershed. Soc. Stud. Sci. 2012, 42, 539–563. [Google Scholar] [CrossRef]
- Li, C.; Li, S.; Feldman, M.W.; Li, J.; Zheng, H.; Daily, G.C. The impact on rural livelihoods and ecosystem services of a major relocation and settlement program: A case in Shaanxi, China. Ambio 2018, 47, 245–259. [Google Scholar] [CrossRef]
- Vogl, A.L.; Wolny, S.; Calvache, A.; Tallis, H.; Benitez, S. Science-Based Investment Targeting for the Water for Life and Sustainability Fund, Colombia; Stanford University, Natural Capital Project: Stanford, CA, USA, 2015; p. 19. [Google Scholar]
- Grupo Agroindustrial Riopaila Castilla. Palma. Available online: https://www.riopaila-castilla.com/palma/ (accessed on 13 April 2022).
- Manuelita. Energias Renovable. Available online: https://manuelita.com/manuelita-productos/energias-renovables/ (accessed on 13 April 2022).
- Furumo, P.R.; Aide, T.M. Characterizing commercial oil palm expansion in Latin America: Land use change and trade. Environ. Res. Lett. 2017, 12, 024008. [Google Scholar] [CrossRef]
- Portafolio. Podemos Exportar unos 28 Millones de Litros de Biodiésel a Europa. El Tiempo, 28 June 2020. [Google Scholar]
- Semana. La Megavía que Atravesará el país de Buenaventura a la Orinoquia. Semana, 15 July 2020. [Google Scholar]
- Buytaert, W.; Célleri, R.; De Bièvre, B.; Cisneros, F.; Wyseure, G.; Deckers, J.; Hofstede, R. Human impact on the hydrology of the Andean páramos. Earth-Sci. Rev. 2006, 79, 53–72. [Google Scholar] [CrossRef]
- Bonnesoeur, V.; Locatelli, B.; Guariguata, M.R.; Ochoa-Tocachi, B.F.; Vanacker, V.; Mao, Z.; Stokes, A.; Mathez-Stiefel, S.-L. Impacts of forests and forestation on hydrological services in the Andes: A systematic review. For. Ecol. Manag. 2019, 433, 569–584. [Google Scholar] [CrossRef] [Green Version]
- Restrepo, C.; Naranjo, L.G. Recuento Histórico de la Disminución de Humedales y la Desaparición de Aves Acuáticas en el Valle Geográfico del Río Cauca, Colombia. In Proceedings of the Congreso de Ornitología Neotropical, Cali, Colombia, 30 November–4 December 1987; pp. 43–45. [Google Scholar]
- Ray, D.K.; Nair, U.S.; Lawton, R.O.; Welch, R.M.; Pielke, R.A., Sr. Impact of land use on Costa Rican tropical montane cloud forests: Sensitivity of orographic cloud formation to deforestation in the plains. J. Geophys. Res. Atmos. 2006, 111. [Google Scholar] [CrossRef] [Green Version]
- Tofelde, S.; Savi, S.; Wickert, A.D.; Bufe, A.; Schildgen, T.F. Alluvial channel response to environmental perturbations: Fill-terrace formation and sediment-signal disruption. Earth Surf. Dynam. 2019, 7, 609–631. [Google Scholar] [CrossRef] [Green Version]
- Wohl, E. Forgotten Legacies: Understanding and Mitigating Historical Human Alterations of River Corridors. Water Resour. Res. 2019, 55, 5181–5201. [Google Scholar] [CrossRef] [Green Version]


| Period | Watershed | Year | Map | Elements Digitized | Format | Scale | Source | ||
|---|---|---|---|---|---|---|---|---|---|
| 1970s | Nima | 1969 | Current land use map | Forest, natural and artificial grasslands, permanent crops, annual crops, fallow, areas undergoing erosion, water bodies, rock surfaces in paramo. | PDF; extracted from watershed management report; converted to TIFF | 1:100,000 | Proyecto para el Manejo de la Cuenca Superior del Rio Nima. Mapa No. 8. Uso Actual de la Tierra | Ecopedia (https://ecopedia.cvc.gov.co/ accessed on 1 November 2020) | [51] |
| Bolo-Fraile-Desbaratado | 1977 | Forest map | Forest type | PDF; extracted from watershed management report; converted to TIFF | 1:100,000 | Dibujo No. 722-09-6-1975 Cuenca Hidrográfica de los íos Bolo, Fraile y Desbaratado. Mapa de Bosques | CVC-Biblioteca | [57] | |
| Bolo-Fraile-Desbaratado | 1977 | Land use map | Forest, natural and artificial grasslands, permanent crops, annual crops, fallow, areas undergoing erosion, water bodies, rock surfaces in paramo. | PDF; extracted from watershed management report; converted to TIFF | 1:100,000 | Dibujo No. 722-10-11-1975 Cuenca Hidrográfica de los íos Bolo, Fraile y Desbaratad.Mapa de Uso Actual del Terreno | CVC-Biblioteca | [57] | |
| 1969 | Forest | Paper scanned to PDF; converted to TIFF. | 1:25,000 | Plancha No. 280-IV-C. 1:25,000 | IGAC | [58] | |||
| 1969 | Forest | Paper scanned to PDF; converted to TIFF. | 1:25,000 | Plancha No. 280-IV-D. 1:25,000 | IGAC | [59] | |||
| 1969 | Forest | Paper scanned to PDF; converted to TIFF. | 1:25,000 | IGAC. Carta General. Plancha No. 300-II-A. 1:25,000 | CVCor | [60] | |||
| 1980s | Nima | 1989 | Land use map | Natural forest; [planted forest] | Paper scanned to PDF (resolution 2160 x 2696); converted to TIFF. | 1:25,000 | Dibujo No. 713-60-21 Proyecto para el Manejo de la Cuenca Superior del Rio Nima. Mapa de Uso Actual | CVCor | [49] |
| Bolo-Fraile-Desbaratado | 1989 | Land use map | Natural forest, planted forest | Paper scanned to PDF; converted to TIFF. | 1:50,000 | Dibujo No. 722-09-19 UMC Rios Bolo-Fraile Desbaratado. Mapa de Uso Actual | CVCor | [56] | |
| 1984 | Forest | Paper scanned to PDF; converted to TIFF. | 1:25,000 | Plancha No. 300-II-B. 1:25,000 | IGAC | [61] | |||
| Proportion of Forest (pi) | Forest Aggregation Index (AIi) | |||||||||
|---|---|---|---|---|---|---|---|---|---|---|
| Watershed | Elevation | Slope | Intercept | Slope | R2 | p | Intercept | Slope | R2 | |
| All (R4) | Very High | Very steep | 0.790 | 0.000 | 0.002 | 8.4 × 10−1 | 82.171 | 0.028 | 0.289 | 1.7 × 10−2 * |
| Steep | 0.661 | 0.000 | 0.003 | 8.2 × 10−1 | 85.189 | 0.049 | 0.788 | 3.9 × 10−7 *** | ||
| Gentle | 0.433 | −0.005 | 0.152 | 9.9 × 10−2 . | 70.911 | −0.075 | 0.159 | 9.0 × 10−2 . | ||
| High | Very steep | 0.796 | 0.008 | 0.637 | 4.2 × 10−5 *** | 80.445 | 0.150 | 0.681 | 1.3 × 10−5 *** | |
| Steep | 0.763 | 0.006 | 0.472 | 1.1 × 10−3 ** | 85.431 | 0.134 | 0.486 | 9.0 × 10−4 *** | ||
| Gentle | 0.728 | 0.003 | 0.139 | 1.1 × 10−1 | 63.706 | 0.047 | 0.110 | 1.6 × 10−1 | ||
| Medium | Very steep | 0.710 | 0.006 | 0.419 | 2.7 × 10−3 ** | 69.758 | 0.168 | 0.498 | 7.3 × 10−4 *** | |
| Steep | 0.686 | 0.003 | 0.106 | 1.7 × 10−1 | 85.955 | 0.052 | 0.078 | 2.4 × 10−1 | ||
| Gentle | 0.246 | −0.003 | 0.147 | 1.0 × 10−1 . | 76.515 | −0.145 | 0.172 | 7.7 × 10−2 . | ||
| Low | Very steep | |||||||||
| Steep | ||||||||||
| Gentle | 0.061 | −0.002 | 0.074 | 2.5 × 10−1 | 64.336 | −0.008 | 0.000 | 9.7 × 10−1 | ||
| Nima | Very High | Very steep | 0.778 | 0.001 | 0.032 | 4.6 × 10−1 | 82.491 | 0.019 | 0.245 | 3.1 × 10−2 * |
| Steep | 0.719 | −0.001 | 0.037 | 4.3 × 10−1 | 86.256 | −0.009 | 0.034 | 4.5 × 10−1 | ||
| Gentle | 0.455 | −0.007 | 0.273 | 2.1 × 10−2 * | 72.895 | −0.229 | 0.523 | 4.6 × 10−4 *** | ||
| High | Very steep | 0.858 | 0.007 | 0.626 | 5.5 × 10−5 *** | 82.338 | 0.093 | 0.516 | 5.3 × 10−4 *** | |
| Steep | 0.823 | 0.006 | 0.488 | 8.7 × 10−4 *** | 87.380 | 0.146 | 0.543 | 3.2 × 10−4 *** | ||
| Gentle | 0.811 | 0.002 | 0.031 | 4.7 × 10−1 | 67.500 | −0.046 | 0.052 | 3.4 × 10−1 | ||
| Medium | Very steep | 0.769 | 0.007 | 0.396 | 3.9 × 10−3 ** | 68.674 | 0.183 | 0.484 | 9.4 × 10−4 *** | |
| Steep | 0.768 | 0.003 | 0.140 | 1.1 × 10−1 | 88.036 | 0.072 | 0.178 | 7.1 × 10−2 . | ||
| Gentle | 0.318 | −0.005 | 0.324 | 1.0 × 10−2 ** | 79.158 | −0.193 | 0.271 | 2.2 × 10−2 * | ||
| Low | Very steep | |||||||||
| Steep | ||||||||||
| Gentle | ||||||||||
| Bolo | Very High | Very steep | 0.790 | 0.004 | 0.411 | 3.1 × 10−3 ** | 82.319 | 0.052 | 0.685 | 1.2 × 10−5 *** |
| Steep | 0.701 | 0.003 | 0.203 | 5.3 × 10−2 . | 86.654 | 0.049 | 0.620 | 6.2 × 10−5 *** | ||
| Gentle | 0.445 | 0.001 | 0.022 | 5.4 × 10−1 | 69.653 | 0.012 | 0.007 | 7.4 × 10−1 | ||
| High | Very steep | 0.742 | 0.008 | 0.535 | 3.7 × 10−4 *** | 79.764 | 0.168 | 0.556 | 2.4 × 10−4 *** | |
| Steep | 0.720 | 0.007 | 0.434 | 2.1 × 10−3 ** | 85.704 | 0.145 | 0.369 | 5.8 × 10−3 ** | ||
| Gentle | 0.634 | 0.005 | 0.327 | 1.0 × 10−2 * | 65.795 | 0.090 | 0.232 | 3.6 × 10−2 * | ||
| Medium | Very steep | 0.568 | 0.009 | 0.361 | 6.5 × 10−3 ** | 67.501 | 0.253 | 0.357 | 6.8 × 10−3 ** | |
| Steep | 0.596 | 0.005 | 0.218 | 4.3 × 10−2 * | 85.252 | 0.067 | 0.073 | 2.6 × 10−1 | ||
| Gentle | 0.207 | 0.000 | 0.001 | 9.1 × 10−1 | 75.590 | −0.030 | 0.007 | 7.3 × 10−1 | ||
| Low | Very steep | |||||||||
| Steep | ||||||||||
| Gentle | 0.063 | −0.001 | 0.016 | 6.0 × 10−1 | 64.381 | 0.031 | 0.001 | 9.0 × 10−1 | ||
| Fraile | Very High | Very steep | 0.782 | −0.002 | 0.048 | 3.6 × 10−1 | 82.358 | 0.005 | 0.005 | 7.8 × 10−1 |
| Steep | 0.614 | −0.002 | 0.043 | 3.9 × 10−1 | 83.450 | 0.066 | 0.720 | 4.4 × 10−6 *** | ||
| Gentle | 0.438 | −0.006 | 0.214 | 4.6 × 10−2 * | 71.857 | −0.043 | 0.041 | 4.0 × 10−1 | ||
| High | Very steep | 0.783 | 0.009 | 0.708 | 6.3 × 10−6 *** | 80.843 | 0.198 | 0.770 | 8.0 × 10−7 *** | |
| Steep | 0.739 | 0.005 | 0.446 | 1.7 × 10−3 ** | 83.909 | 0.110 | 0.459 | 1.4 × 10−3 ** | ||
| Gentle | 0.745 | 0.002 | 0.077 | 2.4 × 10−1 | 59.272 | 0.062 | 0.288 | 1.7 × 10−2 * | ||
| Medium | Very steep | 0.770 | 0.005 | 0.299 | 1.5 × 10−2 * | 71.012 | 0.158 | 0.549 | 2.8 × 10−4 *** | |
| Steep | 0.722 | 0.000 | 0.000 | 9.5 × 10−1 | 85.988 | 0.022 | 0.016 | 6.0 × 10−1 | ||
| Gentle | 0.258 | −0.006 | 0.314 | 1.2 × 10−2 * | 75.817 | −0.288 | 0.317 | 1.2 × 10−2 * | ||
| Low | Very steep | |||||||||
| Steep | ||||||||||
| Gentle | 0.051 | −0.002 | 0.238 | 3.4 × 10−2 * | 64.380 | −0.209 | 0.053 | 3.4 × 10−1 | ||
| Desbaratado | Very High | Very steep | 0.815 | −0.001 | 0.004 | 7.9 × 10−1 | 82.921 | 0.024 | 0.207 | 5.0 × 10−2 ** |
| Steep | 0.645 | −0.002 | 0.046 | 3.7 × 10−1 | 85.527 | 0.048 | 0.782 | 5.1 × 10−7 *** | ||
| Gentle | 0.357 | −0.005 | 0.152 | 9.9 × 10−2 . | 66.144 | −0.073 | 0.154 | 9.6 × 10−2 * | ||
| High | Very steep | 0.869 | 0.006 | 0.518 | 5.1 × 10−4 *** | 80.654 | 0.091 | 0.522 | 4.7 × 10−4 *** | |
| Steep | 0.831 | 0.006 | 0.420 | 2.7 × 10−3 ** | 85.504 | 0.128 | 0.519 | 5.0 × 10−4 *** | ||
| Gentle | 0.860 | 0.000 | 0.001 | 8.9 × 10−1 | 55.747 | 0.010 | 0.002 | 8.5 × 10−1 | ||
| Medium | Very steep | 0.793 | 0.005 | 0.346 | 8.0 × 10−3 ** | 73.643 | 0.106 | 0.282 | 1.9 × 10−2 * | |
| Steep | 0.764 | 0.002 | 0.106 | 1.7 × 10−1 | 85.312 | 0.069 | 0.165 | 8.4 × 10−2 . | ||
| Gentle | 0.303 | −0.007 | 0.349 | 7.7 × 10−3 ** | 76.437 | −0.280 | 0.317 | 1.2 × 10−2 * | ||
| Low | Very steep | |||||||||
| Steep | ||||||||||
| Gentle | 0.071 | −0.003 | 0.186 | 6.5 × 10−2 . | 66.008 | −0.086 | 0.015 | 6.2 × 10−1 |
Publisher’s Note: MDPI stays neutral with regard to jurisdictional claims in published maps and institutional affiliations. |
© 2022 by the authors. Licensee MDPI, Basel, Switzerland. This article is an open access article distributed under the terms and conditions of the Creative Commons Attribution (CC BY) license (https://creativecommons.org/licenses/by/4.0/).
Share and Cite
Álvarez-Vargas, F.J.; Castaño, M.A.V.; Restrepo, C. Demand for Ecosystem Services Drive Large-Scale Shifts in Land-Use in Tropical Mountainous Watersheds Prone to Landslides. Remote Sens. 2022, 14, 3097. https://doi.org/10.3390/rs14133097
Álvarez-Vargas FJ, Castaño MAV, Restrepo C. Demand for Ecosystem Services Drive Large-Scale Shifts in Land-Use in Tropical Mountainous Watersheds Prone to Landslides. Remote Sensing. 2022; 14(13):3097. https://doi.org/10.3390/rs14133097
Chicago/Turabian StyleÁlvarez-Vargas, Francisco Javier, María Angélica Villa Castaño, and Carla Restrepo. 2022. "Demand for Ecosystem Services Drive Large-Scale Shifts in Land-Use in Tropical Mountainous Watersheds Prone to Landslides" Remote Sensing 14, no. 13: 3097. https://doi.org/10.3390/rs14133097
APA StyleÁlvarez-Vargas, F. J., Castaño, M. A. V., & Restrepo, C. (2022). Demand for Ecosystem Services Drive Large-Scale Shifts in Land-Use in Tropical Mountainous Watersheds Prone to Landslides. Remote Sensing, 14(13), 3097. https://doi.org/10.3390/rs14133097

