Investigation of the Sensitivity of Microwave Land Surface Emissivity to Soil Texture in MLEM
Abstract
1. Introduction
2. Data
2.1. Satellite Data
2.2. NCEP/FNL Data
2.3. Global Soil Texture Classification Database
3. Methods
3.1. Inversion Method for MW Land Emissivity
3.2. Microwave Land Surface Emissivity Model
3.3. Verification of MLEM Simulation Results
4. Results
4.1. Variation Characteristics of Surface Emissivity
4.2. Emissivity Spectra Simulation of Different Mineral Surface Minerals
4.3. Comparison of Surface Emissivity Inversion and Simulation
5. Discussion
5.1. Characteristics of Different Desert Soil Surface Emissivity
5.2. Effect of Different Mineral Composition on Surface Emissivity
6. Conclusions
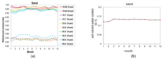
- The MW emissivity in desert areas is highly correlated with the soil type and the seasonal variation of land surface emissivity for different soil types differs considerably. The seasonal variation of surface MW emissivity of clay-rich soil is more obvious than that of sand-rich soil.
- Soil moisture is affected by precipitation to some extent but is also restricted by soil type. This is because the water content of different types of soil is different on the whole due to the difference in water storage capacity.
- The surface emissivity changes considerably with a difference in the soil distribution of particle size. For the same mineral, the horizontal polarization emissivity generally decreases with the increase in soil particle radius. Furthermore, the emissivity of soil composed of small-size particles has marked seasonal characteristics, and the emissivity of the horizontal polarization shows stronger seasonal variation than that of the vertical polarization.
- In the desert surface layer, where the soil is mainly sandy in type, the surface emissivity is affected by the depth of the desert to some extent. Because soil moisture in desert areas is very low throughout the year, the penetration depth of soil is an important factor affecting the surface emissivity.
- The fact that surface emissivity is dependent on soil texture requires the theoretical model to consider the influence of soil texture in its practical application. The increase in soil texture information, including finer details regarding the soil composition content and distribution of particle size, improved MLEM’s simulation in the desert region—especially for desert soil containing a large number of small particles. The simulation error of the model after adjusting the parameters is considerably reduced.
Author Contributions
Funding
Data Availability Statement
Acknowledgments
Conflicts of Interest
References
- Liu, H.; Li, H.; Tang, S.; Duan, M.; Zhang, S.; Deng, X.; Hu, J. A physical algorithm for precipitable water vapour retrieval over land using passive microwave observations. Int. J. Remote Sens. 2020, 41, 6288–6306. [Google Scholar] [CrossRef]
- Perro, C.; Duck, T.J.; Lesins, G.; Strong, K.; Drummond, J.R. Arctic surface properties and their impact on microwave satellite water vapor column retrievals. IEEE Trans. Geosci. Remote Sens. 2020, 58, 8332–8344. [Google Scholar] [CrossRef]
- Zhou, F.-C.; Song, X.; Leng, P.; Wu, H.; Tang, B.-H. An algorithm for retrieving precipitable water vapor over land based on passive microwave satellite data. Adv. Meteorol. 2016, 2016, 4126393. [Google Scholar] [CrossRef]
- Zhou, S.; Cheng, J. An improved temperature and emissivity separation algorithm for the Advanced Himawari Imager. IEEE Trans. Geosci. Remote Sens. 2020, 58, 7105–7124. [Google Scholar] [CrossRef]
- Chen, K.; Fan, J.; Xian, Z. Assimilation of MWHS-2/FY-3C 183 GHz channels using a dynamic emissivity retrieval and its impacts on precipitation forecasts: A southwest vortex case. Adv. Meteorol. 2021, 2021, 6427620. [Google Scholar] [CrossRef]
- Ringerud, S.; Peters-Lidard, C.; Munchak, J.; You, Y. Applications of dynamic land surface information for passive microwave precipitation retrieval. J. Atmos. Ocean. Technol. 2021, 38, 167–180. [Google Scholar] [CrossRef]
- You, Y.; Peters-Lidard, C.; Wang, N.; Turk, J.; Ringerud, S.; Yang, S.; Ferraro, R. The instantaneous retrieval of precipitation over land by temporal variation at 19 GHz. J. Geophys. Res. Atmos. 2018, 123, 9279–9295. [Google Scholar] [CrossRef]
- You, Y.; Munchak, S.J.; Peters-Lidard, C.; Ringerud, S. Daily rainfall estimate by emissivity temporal variation from 10 Satellites. J. Hydrometeorol. 2021, 22, 623–637. [Google Scholar] [CrossRef]
- Njoku, E.G.; Jackson, T.J.; Lakshmi, V.; Chan, T.K.; Nghiem, S.V. Soil moisture retrieval from AMSR-E. IEEE Trans. Geosci. Remote Sens. 2003, 41, 215–229. [Google Scholar] [CrossRef]
- Pellerin, T.; Wigneron, J.P.; Calvet, J.C.; Waldteufel, P. Global soil moisture retrieval from a synthetic L-band brightness temperature data set. J. Geophys. Res. 2003, 108, 4364. [Google Scholar] [CrossRef]
- Shi, J.; Chen, K.S.; Li, Q.; Jackson, T.J.; O’Neill, P.E.; Tsang, L. A parameterized surface reflectivity model and estimation of bare-surface soil moisture with L-band radiometer. IEEE Trans. Geosci. Remote Sens. 2002, 40, 2674–2686. [Google Scholar]
- Wigneron, J.P.; Calvet, J.C.; Pellarin, T.; Griend, A.A.V.D.; Berger, M.; Ferrazzoli, P. Retrieving near-surface soil moisture from microwave radiometric observations: Current status and future plans. Remote Sens. Environ. 2003, 85, 489–506. [Google Scholar] [CrossRef]
- Calvet, J.C.; Wigneron, J.P.; Mougin, E.; Kerr, Y.H.; Brito, J.L.S. Plant water content and temperature of amazon forest from satellite microwave radiometry. IEEE Trans. Geosci. Remote Sens. 1994, 32, 397–408. [Google Scholar] [CrossRef]
- Prigent, C.; Aires, F.; Rossow, W.B. Land surface skin temperatures from a combined analysis of microwave and infrared satellite observations for an all-weather evaluation of the differences between air and skin temperatures. J. Geophys. Res. 2003, 108, 4310. [Google Scholar] [CrossRef]
- Kelly, R.E.; Chang, A.T.; Tsang, L.; Foster, J.L. A prototype AMSR-E global snow area and snow depth algorithm. IEEE Trans. Geosci. Remote Sens. 2003, 41, 230–242. [Google Scholar] [CrossRef]
- Weng, F.; Liu, Q. Satellite data assimilation in numerical weather prediction models, Part I: Forward radiative transfer and Jacobian modeling in cloudy atmospheres. J. Atmos. Sci. 2003, 60, 2633–2646. [Google Scholar] [CrossRef]
- Errico, R.M.; Ohring, G.; Weng, F.; Bauer, P.; Ferrier, B.; Mahfouf, J.F.; Turk, J. Assimilation of satellite cloud and precipitable observations in numerical weather prediction models. J. Atmos. Sci. 2007, 64, 3737–3741. [Google Scholar] [CrossRef]
- Grody, N.C. Severe storm observations using the microwave sounding unit. J. Appl. Meteorol. 1983, 22, 609–625. [Google Scholar] [CrossRef][Green Version]
- Ringerud, S.; Kummerow, C.D.; Peters-Lidard, C.D. A semi-empirical model for computing land surface emissivity in the microwave region. IEEE Trans. Geosci. Remote Sens. 2015, 53, 1935–1946. [Google Scholar] [CrossRef]
- Prigent, C.; Rossow, W.B.; Matthews, E. Microwave land surface emissivities estimated from SSM/I observations. J. Geophys. Res. 1997, 102, 21867–21890. [Google Scholar] [CrossRef]
- Prigent, C.; Liang, P.; Tian, Y.; Aires, F.; Moncet, J.L.; Boukabara, S.A. Evaluation of modeled microwave land surface emissivities with satellite-based estimates. J. Geophys. Res. Atmos. 2015, 120, 2706–2718. [Google Scholar] [CrossRef]
- He, W.Y. Comparisons of radiative transfer models for GMI assimilationin WRF. In Proceedings of the SPIE 10782, Remote Sensing and Modeling of the Atmosphere, Oceans, and Interactions VII, Honolulu, HI, USA, 24–26 September 2018. [Google Scholar]
- Hu, J.H.; Fu, Y.Y.; Zhang, P.; Min, Q.L.; Gao, Z.T.; Wu, S.L.; Li, R. Satellite retrieval of microwave land surface emissivity under clear and cloudy skies in China using observations from AMSR-E and MODIS. Remote Sens. 2021, 13, 3980. [Google Scholar] [CrossRef]
- Morland, J.C.; Grimes, D.I.F.; Hewison, T.J. Satellite observations of the microwave emissivity of a semi-arid land surface. Remote Sens. Environ. 2001, 77, 149–164. [Google Scholar] [CrossRef]
- Aires, F.; Prigent, C.; Rossow, W.B.; Rothstein, M.A. New neural network approach including first-guess for retrieval of atmospheric water vapor, cloud liquid water path, surface temperature and emissivities over land from satellite microwave observations. J. Geophys. Res. Atmos. 2001, 106, 14887–14907. [Google Scholar] [CrossRef]
- Ruston, B.; Weng, F.; Yan, B. Use of a one-dimensional variational retrieval to diagnose estimates of infrared and microwave surface emissivity over land for atovs sounding instruments. IEEE Trans. Geosci. Remote Sens. 2008, 46, 393–402. [Google Scholar] [CrossRef]
- Boukabara, S.A.; Garrett, K.; Chen, W.; Iturbide-Sanchez, F.; Grassotti, C.; Kongoli, C.; Chen, R.; Liu, Q.; Yan, B.; Weng, F. MiRS: An All-Weather 1DVAR Satellite Data Assimilation and Retrieval System. IEEE Trans. Geosci. Remote Sens. 2011, 49, 3249–3272. [Google Scholar] [CrossRef]
- Wu, Y.; Weng, F. Applications of an AMSR-E RFI detection and correction algorithm in 1-DVAR over land. J. Meteorol. Res. 2014, 28, 645–655. [Google Scholar] [CrossRef]
- Aires, F.; Prigent, C.; Bernardo, F.; Jiménez, C.; Saunders, R.; Brunel, P. A tool to estimate land-surface emissivities at microwave frequencies (TELSEM) for use in numerical weather prediction. Q. J. R. Meteorol. Soc. 2011, 137, 656. [Google Scholar] [CrossRef]
- Xie, Y.; Shi, J.; Ji, D.; Zhong, J.; Fan, S. A parameterized microwave emissivity model for bare soil surfaces. Remote Sens. 2017, 9, 155. [Google Scholar] [CrossRef]
- Ferraro, R.R.; Peters-Lidard, C.D.; Hernandez, C.; Turk, F.J.; Aires, F.; Prigent, C.; Lin, X.; Boukabara, S.A.; Furuzawa, F.A.; Gopalan, K. An evaluation of microwave land surface emissivities over the continental United States to benefit GPM-Era precipitation algorithms. IEEE Trans. Geosci. Remote Sens. 2013, 51, 378–398. [Google Scholar] [CrossRef]
- Tian, Y.; Peters-Lidard, C.D.; Harrison, K.W.; You, Y.; Ringerud, S.; Kumar, S.; Turk, F.J. An examination of methods for estimating land surface microwave emissivity. J. Geophys. Res. Atmos. 2015, 120, 11114–11128. [Google Scholar] [CrossRef]
- Jones, A.S.; Vonder Haar, T.H. Retrieval of surface emittance over land using coincident microwave and infrared satellite measurements. J. Geophys. Res. Atmos. 1997, 102, 13609–13626. [Google Scholar] [CrossRef]
- Zhang, Y.P.; Jiang, L.M.; Qiu, Y.B.; Wu, S.L.; Zhang, L.X. Study of the microwave emissivity characteristics over different land cover types. Spectrosc. Spectr. Anal. 2010, 30, 1446–1451. [Google Scholar]
- Prakash, S.; Norouzi, H.; Azarderakhsh, M.; Blake, R.A.; Tesfagiorgis, K. Global land surface emissivity estimation from amsr2 observations. IEEE Geosci. Remote Sens. Lett. 2016, 13, 1270–1274. [Google Scholar] [CrossRef]
- Wu, Y.; Qian, B.; Bao, Y.; Petropoulos, P.G.; Liu, X.; Li, L. Microwave land emissivity calculations over the Qinghai-Tibetan Plateau using FY-3B/MWRI measurements. Remote Sens. 2019, 11, 2206. [Google Scholar] [CrossRef]
- Weng, F.; Zhu, T.; Yan, B. Satellite data assimilation in numerical weather prediction models. Part II: Uses of rain affected microwave radiances for hurricane vortex analysis. J. Atmos. Sci. 2007, 64, 3910–3925. [Google Scholar] [CrossRef]
- Wang, J.R.; Schmugge, T.J. An empirical model for the complex dielectric permittivity of soils as a function of water content. IEEE Trans. Geosci. Remote Sens. 1980, GE-18, 288–295. [Google Scholar] [CrossRef]
- Fung, A.K.; Li, Z.; Chen, K.S. Backscattering from a randomly rough dielectric surface. IEEE Trans. Geosci. Remote Sens. 1992, 30, 356–369. [Google Scholar] [CrossRef]
- Mo, T.; Choudhury, B.J.; Schmugge, T.J.; Wang, J.R.; Jackson, T.J. A model for microwave emission from vegetation-covered fields. J. Geophys. Res. Ocean. 1982, 87, 11229–11237. [Google Scholar] [CrossRef]
- Wegmuller, U.; Mfitzler, C.; Njoku, E.G. Canopy Opacity Models, Passive Microwave Remote Sensing of Land-Atmosphere Interactions; VSP BV: Utrecht, The Netherlands, 1995; pp. 380–384. [Google Scholar]
- Vecchia, A.D.; Saleh, K.; Ferrazzoli, P.; Guerriero, L.; Wigneron, J.P. Simulating l-band emission of coniferous forests using a discrete model and a detailed geometrical representation. IEEE Geosci. Remote Sens. Lett. 2006, 3, 364–368. [Google Scholar] [CrossRef]
- Fung, A.K. Microwave Scattering and Emission Models and Their Applications; Artech House: Norwood, MA, USA, 1994; pp. 419–423. [Google Scholar]
- Santi, E.; Paloscia, S.; Pampaloni, P.; Pettinato, S.; Brogioni, M.; Xiong, C. Analysis of microwave emission and related indices over snow using experimental data and a multilayer electromagnetic model. IEEE Trans. Geosci. Remote Sens. 2017, 55, 2097–2110. [Google Scholar] [CrossRef]
- Weng, F.Z.; Yan, B.H.; Grody, N.C. A microwave land emissivity model. J. Geophys. Res. Atmos. 2001, 106, 20115–20123. [Google Scholar] [CrossRef]
- FAO (United Nations Food and Agriculture Organization). 1971–1981. Soil Map of the World. Vols.1–10 (1:5 M Scale Maps and Accompanying Texts); FAO: Paris, France, 1996. [Google Scholar]
- Grody, N.C.; Weng, F. Microwave emission and scattering from deserts: Theory compared with satellite measurements. IEEE Trans. Geosci. Remote Sens. 2008, 46, 361–375. [Google Scholar] [CrossRef]
- FAO/STATSGO Soil Type, United Nations Food and Agriculture Organization, National Cartography and GIS Center, United States Department of Agriculture [EB/OL]. 1995. Available online: https://www.emc.ncep.noaa.gov/mmb/gcp/sfcimg/soiltex/index.html (accessed on 10 June 2020).
- Rosenkranz, P.W. Absorption of Microwave by Atmospheric Gases in Atmospheric Remote Sensing by Microwave Radiometry; Janssen, M.A., Ed.; Wiley: New York, NY, USA, 1993; pp. 84–90. [Google Scholar]
- Yang, H.; Weng, F.Z. Error sources in remote sensing of microwave land surface emissivity. IEEE Trans. Geosci. Remote Sens. 2011, 49, 3437–3442. [Google Scholar] [CrossRef]
- Ulaby, F.T.; Moore, R.K.; Fung, A.K. Microwave Remote Sensing: Active and Passive; Artech House: Norwood, MA, USA, 1986; Volume II, p. 02062. [Google Scholar]
- Ferrazzoli, P.; Guerriero, L. Passive microwave remote sensing of forests: A model in investigation. IEEE Trans. Geosci. Remote Sens. 1996, 34, 433. [Google Scholar] [CrossRef]
- Allison, L.J. Geologic Applications of Nimbus Radiation Data in the Middle East; NASA Tech. Note, NASA, TND-8469; NASA: Washington, DC, USA, 1977.
- Noorallah, G.J. The Pedosphere and Its Dynamics: A Systems Approach to Soil Science, Vol 1: Introduction to Soil Science and Soil Resources; Salman Productions Inc.: Edmonton, AB, Canada, 2001. [Google Scholar]
- Wilheit, T. Radioactive transfer in a plan stratified dielectric. IEEE Trans. Geosci. Remote Sens. 1978, 16, 138–143. [Google Scholar]
- Zhang, H.X.; Yuan, N.M.; Ma, Z.G.; Huang, Y. Understanding the soil temperature variability at different depths: Effects of surface air temperature, snow cover, and the soil memory. Adv. Atmos. Sci. 2021, 38, 493–503. [Google Scholar] [CrossRef]
- Newton, R.W.; Black, Q.R.; Makanvand, S.; Blanchard, A.J.; Jean, B.R. Soil moisture information and thermal microwave emission. IEEE Trans. Geosci. Remote Sens. 1982, 3, 275–281. [Google Scholar] [CrossRef]
- Ulaby, F.T.; Batlivala, P.P. Optimum parameters for mapping soil moisture. IEEE Trans. Geosci. Remote Sens. 1976, 14, 81–93. [Google Scholar] [CrossRef]
- Schapel, A.; Davenport, D.; Marschner, P. Increases in organic carbon concentration and stock after clay addition to sands: Validation of sampling methodology and effects of modification method. Soil Res. 2017, 55, 124–133. [Google Scholar] [CrossRef]
- Yost, J.L.; Hartemink, A.E. Effects of carbon on moisture storage in soils of the Wisconsin Central Sands, USA. Eur. J. Soil Sci. 2019, 70, 565–577. [Google Scholar] [CrossRef]
- Wang, J.R.; O’Neill, P.E.; Jackson, T.J.; Engman, E.T. Multifrequency measurements of the effects of soil moisture, soil texture, and surface roughness. IEEE Trans. Geosci. Remote Sens. 1983, GE-21, 44–51. [Google Scholar] [CrossRef]
- Mo, T.; Schmugge, T.J. A Parameterization of the effect of surface roughness on microwave emission. IEEE Trans. Geosci. Remote Sens. 1987, GE-25, 481–486. [Google Scholar] [CrossRef]
- Dobson, M.C.; Ulaby, F.T.; Hallikainen, M.T.; El-rayes, M.A. Microwave dielectric behavior of wet soil-Part II: Dielectric mixing models. IEEE Trans. Geosci. Remote Sens. 1985, GE-23, 35–46. [Google Scholar] [CrossRef]
- Zhao, S.P.; Yu, Y.; Xia, D.S.; Yin, D.Y.; He, J.J.; Liu, N.; Li, F. Urban particle size distributions during two contrasting dust events originating from Taklimakan and Gobi Deserts. Environ. Pollut. 2015, 207, 107–122. [Google Scholar] [CrossRef]
- Guan, Q.Y.; Zhang, J.D.; Wang, L.J.; Pan, B.T.; Gui, H.J.; Zhang, C. Discussion of the relationship between dustfall grain size and the desert border, taking the southern border of the Tengger Desert and the southern dust deposit area as an example. Palaeogeogr. Palaeoclimatol. Palaeoecol. 2013, 386, 1–7. [Google Scholar] [CrossRef]
- Jia, W.R.; Zhang, C.L.; Li, S.Y.; Wang, H.F.; Ma, X.X.; Wang, N.B. Grain size distribution at four developmental stages of crescent dunes in the hinterland of the Taklimakan Desert, China. J. Arid Land. 2016, 8, 722–733. [Google Scholar] [CrossRef]











| Center Frequency/GHz | Polarization | Band Width/MHz | Instantaneous FOV/km | NEΔT/K | Calibration Error (K) |
|---|---|---|---|---|---|
| 10.65 | H/V | 180 | 51 × 85 | 0.5 | 1.5 |
| 18.7 | H/V | 200 | 30 × 50 | 0.5 | 1.5 |
| 23.8 | H/V | 400 | 27 × 45 | 0.5 | 1.5 |
| 36.5 | H/V | 900 | 18 × 30 | 0.5 | 1.5 |
| 89.0 | H/V | 3000 | 9 × 15 | 0.8 | 2.0 |
| Code | Soil Type | |
|---|---|---|
| Globe | Taklimakan Desert | |
| 1 | Sand | Sand |
| 2 | Loamy sand | / |
| 3 | Sandy loam | / |
| 4 | Silt loam | / |
| 5 | Silt | / |
| 6 | Loam | Loam |
| 7 | Sandy clay loam | Sandy clay loam |
| 8 | Silty clay loam | / |
| 9 | Clay loam | Clay loam |
| 10 | Sandy clay | Sandy clay |
| 11 | Silty clay | / |
| 12 | Clay | Clay |
| 13 | Organic materials | / |
| 14 | Water | / |
| 15 | Bedrock | / |
| 16 | Other | Other |
Publisher’s Note: MDPI stays neutral with regard to jurisdictional claims in published maps and institutional affiliations. |
© 2022 by the authors. Licensee MDPI, Basel, Switzerland. This article is an open access article distributed under the terms and conditions of the Creative Commons Attribution (CC BY) license (https://creativecommons.org/licenses/by/4.0/).
Share and Cite
Wu, Y.; Bao, J.; Liu, Z.; Bao, Y.; Petropoulos, G.P. Investigation of the Sensitivity of Microwave Land Surface Emissivity to Soil Texture in MLEM. Remote Sens. 2022, 14, 3045. https://doi.org/10.3390/rs14133045
Wu Y, Bao J, Liu Z, Bao Y, Petropoulos GP. Investigation of the Sensitivity of Microwave Land Surface Emissivity to Soil Texture in MLEM. Remote Sensing. 2022; 14(13):3045. https://doi.org/10.3390/rs14133045
Chicago/Turabian StyleWu, Ying, Jinwang Bao, Zhiyan Liu, Yansong Bao, and George P. Petropoulos. 2022. "Investigation of the Sensitivity of Microwave Land Surface Emissivity to Soil Texture in MLEM" Remote Sensing 14, no. 13: 3045. https://doi.org/10.3390/rs14133045
APA StyleWu, Y., Bao, J., Liu, Z., Bao, Y., & Petropoulos, G. P. (2022). Investigation of the Sensitivity of Microwave Land Surface Emissivity to Soil Texture in MLEM. Remote Sensing, 14(13), 3045. https://doi.org/10.3390/rs14133045

