The Changes of Spatiotemporal Pattern of Rocky Desertification and Its Dominant Driving Factors in Typical Karst Mountainous Areas under the Background of Global Change
Abstract
:1. Introduction
2. Materials and Methods
2.1. Study Area
2.2. Data Source and Preprocessing
2.3. Methods
2.3.1. Calculation of Typical Parameters and Principle of Feature Space Model
2.3.2. Construction of Point-to-Point BLI-DI Rocky Desertification Monitoring Model
2.3.3. GeoDetector
2.3.4. Verification Method
3. Results
3.1. Validation of Monitoring Index for Rocky Desertification
3.2. Spatial Distribution of Rocky Desertification in Different Periods
3.3. Change Intensity of Rocky Desertification in Different Historical Periods
3.4. Gravity Center Migration Trajectory of Rocky Desertification in Different Historical Periods
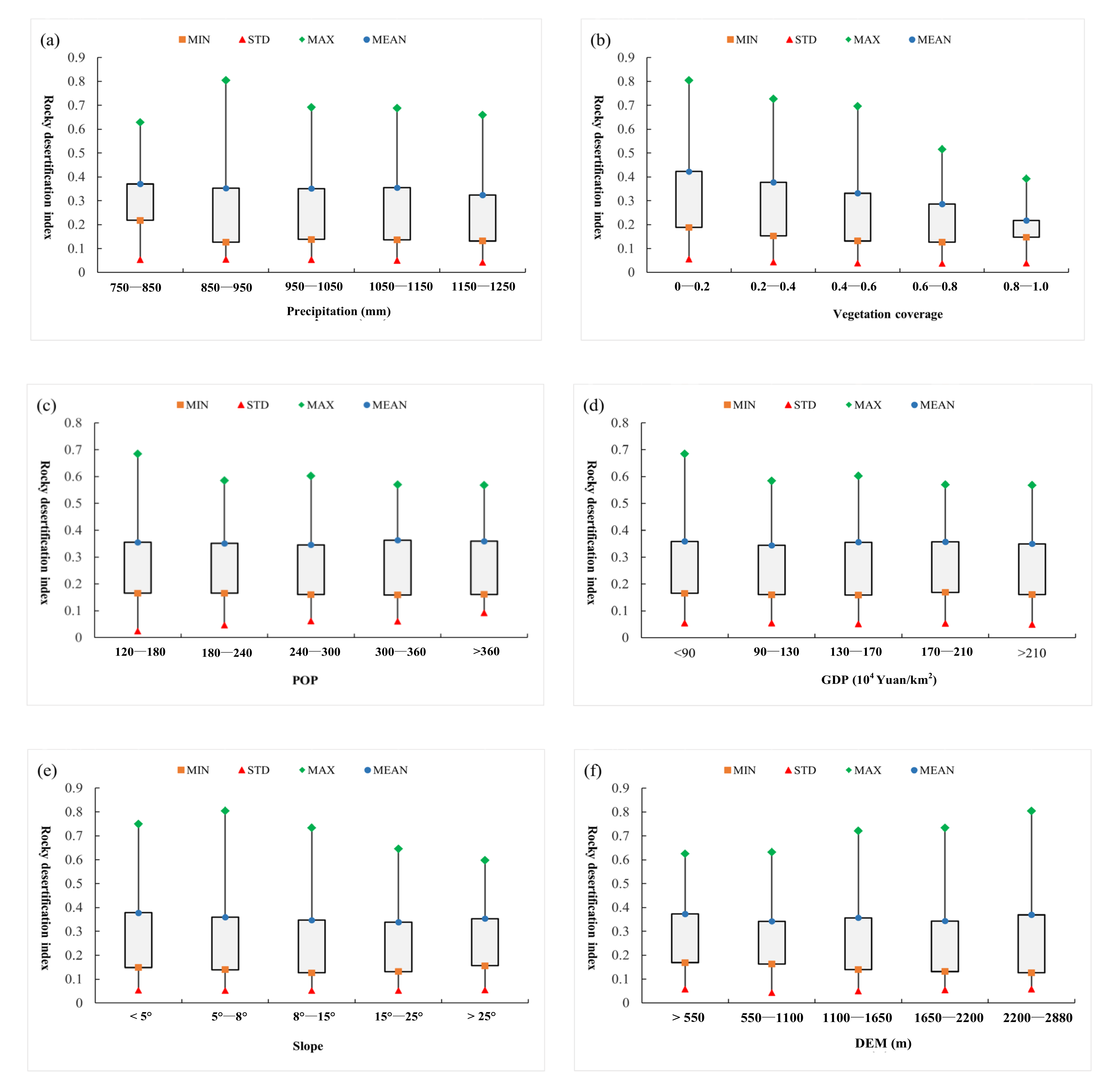
3.5. Single Driving Factor Analysis
3.6. Interactive Factor Analysis
4. Discussion
4.1. Advantages of Analysis Model
4.2. Causes of Spatial Distribution of Rocky Desertification
4.3. Causes of Rocky Desertification Evolution
4.4. Suggestions for the Prevention of Rocky Desertification
5. Conclusions
- (1)
- The proposed point–point BLI-DI feature space model has high applicability for rocky desertification monitoring in Bijie City, and its inversion accuracy is 91.3%.
- (2)
- During 1985–2020, the rocky desertification in Bijie City was moderate rocky desertification. Zones of intensive and severe rocky desertification are mainly distributed in the Weining Yi, Hui, and Miao Autonomous Region, while zones of slight and no rocky desertification are mostly located in Jinsha County, Nayong County, and Zhijin County.
- (3)
- During 1985–2020, there was an overall decreasing trend of rocky desertification in Bijie City (weakening–aggravating–weakening). The gravity center of rocky desertification moved westward, indicating that the aggravation degree of rocky desertification in the western region of the study area is higher than that in the eastern region.
- (4)
- During the past 35 years, the human activity factor (POP density) has become the dominant factor affecting the evolution of rocky desertification in the study area.
Author Contributions
Funding
Data Availability Statement
Conflicts of Interest
References
- Wulder, M.A.; Masek, J.G.; Cohen, W.B. Opening the archive: How free data has enabled the science andmonitoring promise of Landsat. Remote Sens. Environ. 2012, 122, 2–10. [Google Scholar] [CrossRef]
- Di, X.Y.; Xiao, B.H.; Dong, H.; Wang, S.J. Implication of different humic acid fractions in soils under karst rocky desertification. Catena 2019, 174, 308–315. [Google Scholar] [CrossRef]
- Dai, Q.H.; Peng, X.D.; Yang, Z.; Zhao, L.S. Runoff and erosion processes on bare slopes in the Karst Rocky Desertification Area. Catena 2017, 152, 218–226. [Google Scholar] [CrossRef]
- Zhang, X.M.; Yue, Y.M.; Tong, X.W.; Wang, K.L.; Qi, X.K. Eco-engineering controls vegetation trends in southwest China karst. Sci. Total Environ. 2021, 770, 145160. [Google Scholar] [CrossRef]
- Chen, S.T.; Guo, B.; Zhang, R.; Zang, W.Q.; Wei, C.X.; Wu, H.W.; Yang, X.; Zhen, X.Y.; Li, X.; Zhang, D.F.; et al. Quantitatively determine the dominant driving factors of the spatial–temporal changes of vegetation NPP in the Hengduan Mountain area during 2000–2015. J. Mt. Sci. 2021, 18, 427–445. [Google Scholar] [CrossRef]
- Guo, B.; Zang, W.Q.; Luo, W. Spatial-temporal shifts of ecological vulnerability of Karst Mountain ecosystem-impacts of global change and anthropogenic interference. Sci. Total Environ. 2020, 741, 140256. [Google Scholar] [CrossRef]
- Wu, H.W.; Guo, B.; Fan, J.F.; Yang, F.; Han, B.M.; Wei, C.X.; Lu, Y.F.; Zang, W.Q.; Zhen, X.Y.; Meng, C. A novel remote sensing ecological vulnerability index on large scale: A case study of the China-Pakistan Economic Corridor region. Ecol. Indic. 2021, 129, 107955. [Google Scholar] [CrossRef]
- Huang, W.; Ho, H.C.; Peng, Y.Y.; Li, L. Qualitative risk assessment of soil erosion for karst landforms in Chahe town, Southwest China: A hazard index approach. Catena 2016, 144, 184–193. [Google Scholar] [CrossRef]
- Gao, J.B.; Wang, H. Temporal analysis on quantitative attribution of karst soil erosion: A case study of a peak-cluster depression basin in Southwest China. Catena 2019, 172, 369–377. [Google Scholar] [CrossRef]
- Zhang, Y.Q.; Liao, J.; Long, Y.; An, J.; Xu, S.J.; Wang, X.L. Dating reservoir deposits to reconstruct sediment yields from a small limestone catchment in the Yimeng Mountain region, China. Catena 2018, 166, 1–9. [Google Scholar] [CrossRef]
- Chong, G.S.; Hai, Y.; Zheng, H.; Xu, W.H.; Ouyang, Z.Y. Progresses in Remote Sensing Information Extraction Methods for Rocky Desertification. J. Appl. Sci. 2021, 39, 961–968. [Google Scholar]
- Wang, H.; Wang, Y.Y.; Cai, H.; Jia, Y.; Zhou, Q. Research on Temporal and Spatial Changes of Multi-scale Rocky Desertification Based on Multi-source Data. Chin. J. Undergr. Space Eng. 2021, 17, 1044–1050. [Google Scholar]
- Li, W.; Wei, M. Study on monitoring rocky desertification based on the combination of remote sensing interpretation and geographical conditions. Bull. Surv. Mapp. 2020, 2, 121–125. [Google Scholar]
- Bai, X.Y.; Wang, S.J.; Chen, Q.W. Spatio-temporal evolution process and its evaluation method of karst rocky desertification in Guizhou Province. Acta Geogr. Sin. 2009, 64, 609–618. [Google Scholar]
- Jiang, Y.; Gao, J.B.; Yang, L.; Wu, S.H.; Dai, E.F. The interactive effects of elevation, precipitation and lithology on karst rainfall and runoff erosivity. Catena 2021, 207, 105588. [Google Scholar] [CrossRef]
- Zhang, X.L.; Gan, S. Research on Extracting Rocky Desertification Information based on NDRI Dimidiate Pixel Model. New Technol. New Process 2014, 1, 72–75. [Google Scholar]
- Xu, G.Y.; Xiao, J.; Oliver, D.M.; Yang, Z.Q.; Xiong, K.N.; Zhao, Z.M. Spatio-temporal characteristics and determinants of anthropogenic nitrogen and phosphorus inputs in an ecologically fragile karst basin: Environmental responses and management strategies. Ecol. Indic. 2021, 133, 108453. [Google Scholar] [CrossRef]
- Yan, T.T.; Xue, J.H.; Zhou, Z.D.; Wu, Y.B. Effects of biochar-based fertilizer on soil bacterial network structure in a karst mountainous area. Catena 2021, 206, 105535. [Google Scholar] [CrossRef]
- Luo, X.L.; Wang, S.J.; Bai, X.Y. Analysis on the spatio-temporal evolution process of rocky desertification in Southwest Karst area. Acta Ecol. Sin. 2021, 41, 680–693. [Google Scholar]
- Zhou, M.W.; Wang, S.J.; Li, Y.B. Spatial factor analysis of karst rocky desertification landscape patterns in Wangjiazhai catchment, Guizhou. Geogr. Resaust 2007, 5, 897–905. [Google Scholar]
- Gu, Z.F.; Bai, G.; Liu, Z.K. Prediction and evaluation of the rocky desertification evolution trend in southwest Guizhou Province based on the method of fuzzy analytic hierarchy process. J. Zhengzhou Inst. Aeronaut. Ind. Manag. 2021, 39, 95–102. [Google Scholar]
- Xi, H.P.; Wang, S.J.; Bai, X.Y. Spatio-temporal characteristics of rocky desertification in typical Karst areas of Southwest China: A case study of Puding County, Guizhou Province. Acta Ecol. Sin. 2018, 38, 8919–8933. [Google Scholar]
- Yan, J.N.; Wang, L.Z.; He, H.X.; Liang, D.; Song, W.J.; Han, W. Large area land cover change monitoring with time-series remote sensing images using transferable deep models. IEEE T Geosci. Remote 2022, 60, 1–17. [Google Scholar] [CrossRef]
- Yan, J.N.; He, H.X.; Wang, L.Z.; Zhang, T.; Liang, D.; Zhang, J.Q. Inter-comparison of four models for detecting forest fire disturbance from MOD13A2 time series. Remote Sens. 2022, 14, 1446. [Google Scholar] [CrossRef]
- Chen, Y.L.; Mo, J.F.; Mo, W.H. Temporal and Spatial Distributions of Rocky Desertifi-cation in Guangxi Karst Area in the Past 30 Years. Guangxi Sci. 2018, 25, 625–631. [Google Scholar]
- Khalid, M.; Tan, H.X.; Ali, M.; Rehman, A.; Liu, X.X.; Su, L.T. Karst rocky desertification diverged the soil residing and the active ectomycorrhizal fungal communities thereby fostering distinctive extramatrical mycelia. Sci. Total Environ. 2022, 807, 151016. [Google Scholar] [CrossRef] [PubMed]
- Lan, G.Y.; Liu, C.; Wang, H.; Cao, J.H.; Tang, W.; Li, Q. Linking soil redistribution to soil organic carbon using 210Pbex along different complex toposequences in a karst region, southwest China. Catena 2021, 202, 105239. [Google Scholar] [CrossRef]
- Deng, Y.; Wu, S.; Ke, J.; Zhu, A.J. Effects of meteorological factors and groundwater depths on plant sap flow velocities in karst critical zone. Sci. Total Environ. 2021, 781, 146764. [Google Scholar] [CrossRef]
- Ma, T.S.; Deng, X.W.; Chen, L.; Xiang, W.H. The soil properties and their effects on plant diversity in different degrees of rocky desertification. Sci. Total Environ. 2020, 736, 139667. [Google Scholar] [CrossRef]
- Michele, L.; Oliveira, D.; Carlos, A.C.; Santos, D.; Oliveira, G.D.; Aldrin, M. Effects of human-induced land degradation on water and carbon fluxes in two different Brazilian dryland soil covers. Sci. Total Environ. 2021, 792, 148458. [Google Scholar]
- Ding, Z.; Zheng, H.; Li, H.; Yu, P.J.; Man, W.Y.; Tang, X.G.; Liu, Y. Afforestation-driven increases in terrestrial gross primary productivity are partly offset by urban expansion in Southwest China. Ecol. Indic. 2021, 127, 107641. [Google Scholar] [CrossRef]
- Liu, Z.Q.; Yu, X.X.; Jia, G.D. Water utilization characteristics of typical vegetation in the rocky mountain area of Beijing, China. Ecol. Indic. 2018, 91, 249–258. [Google Scholar] [CrossRef]
- Zhang, Y.H.; Xu, X.L.; Li, Z.W.; Xu, C.H.; Luo, W. Improvements in soil quality with vegetation succession in subtropical China karst. Sci. Total Environ. 2021, 775, 145876. [Google Scholar] [CrossRef] [PubMed]
- Zhang, J.Y.; Dai, M.H.; Wang, L.C.; Su, W.C. Household livelihood change under the rocky desertification control project in karst areas, Southwest China. Land Use Policy 2016, 56, 8–15. [Google Scholar] [CrossRef]
- Gao, J.B.; Jiang, Y.; Anker, Y. Contribution analysis on spatial tradeoff/synergy of Karst soil conservation and water retention for various geomorphological types: GeoDetector application. Ecol. Indic. 2021, 125, 107470. [Google Scholar] [CrossRef]
- Guo, B.; Wei, C.X.; Yu, Y.; Liu, Y.F.; Li, J.L.; Meng, C.; Cai, Y.M. The dominant influencing factors of desertification changes in the Source Region of Yellow River: Climate change or human activity? Sci. Total Environ. 2022, 813, 152512. [Google Scholar] [CrossRef]
- Hu, L.N.; Li, Q.; Yan, J.H.; Liu, C.; Zhong, J.X. Vegetation restoration facilitates belowground microbial network complexity and recalcitrant soil organic carbon storage in southwest China karst region. Sci Total Environ. 2022, 820, 153137. [Google Scholar] [CrossRef]
- Guo, B.; Zang, W.Q.; Yang, F.; Han, B.M.; Chen, S.T.; Liu, Y.; Yang, X.; He, T.L.; Chen, X.; Liu, C.T.; et al. Spatial and temporal change patterns of net primary productivity and its response to climate change in the Qinghai–Tibet Plateau of China from 2000 to 2015. J. Arid. Land. 2020, 12, 1–17. [Google Scholar] [CrossRef] [Green Version]
- Uzuner, C.; Dengiz, O. Desertification risk assessment in Turkey based on environmentally sensitive areas. Ecol. Indic. 2020, 114, 106295. [Google Scholar] [CrossRef]
- Xu, X.B.; Yang, G.S.; Tan, Y. Identifying ecological red lines in China’s Yangtze River Economic Belt: A regional approach. Ecol. Indic. 2019, 96, 635–646. [Google Scholar] [CrossRef]
- Zhang, W.X.; Yu, Y.; Wu, X.Q.; Pereira, P.; Borja, M.E.L. Integrating preferences and social values for ecosystem services in local ecological management: A framework applied in Xiaojiang Basin Yunnan province, China. Land Use Policy 2020, 91, 104339. [Google Scholar] [CrossRef]
- Rafael, D.A.; Virginia, G.G.; José, V.; Oliver, V.; Eduardo, R.B. Land use/cover change analysis in the Mediterranean region: A regional case study of forest evolution in Castelló (Spain) over 50 years. Land Use Policy 2022, 114, 105967. [Google Scholar]
- Rahmati, O.; Mohammadi, F.; Ghiasi, S.S.; Tiefenbacher, J.; Moghaddam, D.D. Identifying sources of dust aerosol using a new framework based on remote sensing and modelling. Sci. Total Environ. 2020, 737, 139508. [Google Scholar] [CrossRef] [PubMed]
- Li, S.; Ren, H.D.; Xue, L.; Chang, J.; Yao, X.H. Influence of bare rocks on surrounding soil moisture in the karst rocky desertification regions under drought conditions. Catena 2014, 116, 157–162. [Google Scholar] [CrossRef]
- Tang, J.; Tang, X.X.; Qin, Y.M.; He, Q.S.; Yi, Y.; Ji, Z.L. Karst rocky desertification progress: Soil calcium as a possible driving force. Sci. Total Environ. 2019, 649, 1250–1259. [Google Scholar] [CrossRef]
- Zuo, L.Y.; Gao, J.B. Dynamic analysis of the determinants of trade-off and synergy between karst soil loss and water yield with integration of geomorphological differentiation. Ecol. Indic. 2022, 137, 108754. [Google Scholar] [CrossRef]
- Hu, X.N.; Luo, H.; Guo, M.C.; Wang, J.J. Ecological technology evaluation model and its application based on Logistic Regression. Ecol. Indic. 2022, 136, 108641. [Google Scholar] [CrossRef]
- Wu, L.H.; Wang, S.J.; Bai, X.Y.; Tian, Y.C.; Luo, G.J. Climate change weakens the positive effect of human activities on karst vegetation productivity restoration in southern China. Ecol. Indic. 2020, 115, 106392. [Google Scholar] [CrossRef]
- Zhang, Y.Q.; Liao, J.L.; Pei, Z.L.; Lu, X.; Xu, S.J.; Wang, X.L. Effect of dam construction on nutrient deposition from a small agricultural karst catchment. Ecol. Indic. 2019, 107, 105548. [Google Scholar] [CrossRef]
- Zhao, S.; Wu, X.Q.; Zhou, J.X.; Pereira, P. Spatiotemporal tradeoffs and synergies in vegetation vitality and poverty transition in rocky desertification area. Sci. Total Environ. 2021, 752, 141770. [Google Scholar] [CrossRef]
- Li, S.N.; Zhao, X.Q.; Pu, J.W.; Miao, P.P.; Wang, Q. Optimize and control territorial spatial functional areas to improve the ecological stability and total environment in karst areas of Southwest China. Land Use Policy 2021, 100, 104940. [Google Scholar] [CrossRef]
- Yan, Y.J.; Dai, Q.H.; Hu, G.; Jiao, Q.; Mei, L.N.; Fu, W.B. Effects of vegetation type on the microbial characteristics of the fissure soil-plant systems in karst rocky desertification regions of SW China. Sci. Total Environ. 2020, 712, 136543. [Google Scholar] [CrossRef] [PubMed]
- Yan, Y.J.; Dai, Q.H.; Jin, L.; Wang, X.D. Geometric morphology and soil properties of shallow karst fissures in an area of karst rocky desertification in SW China. Catena 2019, 174, 48–58. [Google Scholar] [CrossRef]
- Qiao, Y.N.; Jiang, Y.J.; Zhang, C.Y. Contribution of karst ecological restoration engineering to vegetation greening in southwest China during recent decade. Ecol. Indic. 2021, 121, 107081. [Google Scholar] [CrossRef]
- Shen, Y.X.; Wang, D.J.; Chen, Q.Q.; Tang, Y.Y.; Chen, F.J. Large heterogeneity of water and nutrient supply derived from runoff of nearby rock outcrops in karst ecosystems in SW China. Catena 2019, 172, 125–131. [Google Scholar] [CrossRef]
- Tan, K.; Zhao, X.Q.; Pu, J.W.; Li, Y.H. Zoning regulation and development model for water and land resources in the Karst Mountainous Region of Southwest China. Land Use Policy 2021, 109, 105683. [Google Scholar] [CrossRef]
- You, H.Y. Orienting rocky desertification towards sustainable land use: An advanced remote sensing tool to guide the conservation policy. Land Use Policy 2017, 61, 171–184. [Google Scholar] [CrossRef]
- Yan, T.T.; Xue, J.H.; Zhou, Z.D.; Wu, Y.B. Biochar-based fertilizer amendments improve the soil microbial community structure in a karst mountainous area. Sci. Total Environ. 2021, 794, 148757. [Google Scholar] [CrossRef]
















| Data Name | Sources | Spatial and Temporal Resolution |
|---|---|---|
| Landsat 5 TM and Landsat 8 OLI images | Geospatial Data Cloud | 30 m; 1985, 1990, 1995, 2000, 2005, 2010, 2015, and 2020 |
| Land-use types | Resource and Environmental Science and Data Center of the Chinese Academy of Sciences | 1:100,000; 1985, 1990, 1995, 2000, 2005, 2010, 2015, and 2020 |
| Meteorological station data | China Meteorological Data Network | 35 station(.shp); 1985–2020 |
| DEM data | Geospatial Data Cloud | 30 m, 2003 |
| GDP density and population density | Resource and Environmental Science and Data Center of the Chinese Academy of Sciences | Statistical data; 1985, 1990, 1995, 2000, 2005, 2010, 2015, and 2020 |
| BLI-DI | Inversion Value | ||||||
|---|---|---|---|---|---|---|---|
| No Rocky Desertification | Slight Rocky Desertification | Moderate Rocky Desertification | Intensive Rocky Desertification | Severe Rocky Desertification | Sum | ||
| Observed value | No rocky desertification | 23 | 0 | 0 | 0 | 0 | 23 |
| Slight rocky desertification | 3 | 30 | 0 | 0 | 0 | 33 | |
| Moderate rocky desertification | 0 | 1 | 29 | 2 | 0 | 32 | |
| Intensive rocky desertification | 0 | 0 | 3 | 37 | 0 | 40 | |
| Severe rocky desertification | 0 | 0 | 1 | 6 | 50 | 57 | |
| Sum | 26 | 31 | 33 | 45 | 50 | 185 | |
| Grade Periods | No Rocky Desertification | Slight Rocky Desertification | Moderate Rocky Desertification | Intensive Rocky Desertification | Severe Rocky Desertification | |
|---|---|---|---|---|---|---|
| 1985 | Area (km2) | 292.71 | 6966.95 | 11,452.44 | 6686.79 | 1290.30 |
| Percentage | 1.09% | 26.03% | 42.78% | 24.98% | 4.82% | |
| 1990 | Area (km2) | 630.37 | 7152.62 | 6299.84 | 11,456.29 | 1239.48 |
| Percentage | 2.35% | 26.72% | 23.53% | 42.80% | 4.63% | |
| 1995 | Area (km2) | 65.65 | 7089.45 | 7596.75 | 8952.3 | 3073.94 |
| Percentage | 0.25% | 26.48% | 28.38% | 33.44% | 11.48% | |
| 2000 | Area (km2) | 686.03 | 7172.12 | 7002.17 | 9362.53 | 2549.99 |
| Percentage | 2.56% | 26.79% | 26.16% | 34.98% | 9.53% | |
| 2005 | Area (km2) | 657.07 | 7401.95 | 10,733.12 | 5598.24 | 2381.78 |
| Percentage | 2.45% | 27.65% | 40.10% | 20.91% | 8.90% | |
| 2010 | Area (km2) | 1937.04 | 5254.65 | 7576.62 | 10,034.94 | 4914.41 |
| Percentage | 6.52% | 17.68% | 25.49% | 33.77% | 16.54% | |
| 2015 | Area (km2) | 5321.99 | 9840.29 | 6687.40 | 4000.87 | 1160.32 |
| Percentage | 19.88% | 36.76% | 24.98% | 14.95% | 4.33% | |
| 2020 | Area (km2) | 5683.99 | 10,523.95 | 4840.01 | 2065.99 | 3575.25 |
| Percentage | 21.30% | 39.43% | 18.13% | 7.74% | 13.40% | |
Publisher’s Note: MDPI stays neutral with regard to jurisdictional claims in published maps and institutional affiliations. |
© 2022 by the authors. Licensee MDPI, Basel, Switzerland. This article is an open access article distributed under the terms and conditions of the Creative Commons Attribution (CC BY) license (https://creativecommons.org/licenses/by/4.0/).
Share and Cite
Guo, B.; Yang, F.; Fan, J.; Lu, Y. The Changes of Spatiotemporal Pattern of Rocky Desertification and Its Dominant Driving Factors in Typical Karst Mountainous Areas under the Background of Global Change. Remote Sens. 2022, 14, 2351. https://doi.org/10.3390/rs14102351
Guo B, Yang F, Fan J, Lu Y. The Changes of Spatiotemporal Pattern of Rocky Desertification and Its Dominant Driving Factors in Typical Karst Mountainous Areas under the Background of Global Change. Remote Sensing. 2022; 14(10):2351. https://doi.org/10.3390/rs14102351
Chicago/Turabian StyleGuo, Bing, Fei Yang, Junfu Fan, and Yuefeng Lu. 2022. "The Changes of Spatiotemporal Pattern of Rocky Desertification and Its Dominant Driving Factors in Typical Karst Mountainous Areas under the Background of Global Change" Remote Sensing 14, no. 10: 2351. https://doi.org/10.3390/rs14102351
APA StyleGuo, B., Yang, F., Fan, J., & Lu, Y. (2022). The Changes of Spatiotemporal Pattern of Rocky Desertification and Its Dominant Driving Factors in Typical Karst Mountainous Areas under the Background of Global Change. Remote Sensing, 14(10), 2351. https://doi.org/10.3390/rs14102351

