Effect of Moisture Content on Calculated Dielectric Properties of Asphalt Concrete Pavements from Ground-Penetrating Radar Measurements
Abstract
:1. Introduction
2. Simulation of Ground-Penetrating Radar Surveys on Non-Dry Asphalt Pavement
2.1. Geometric Model of a Heterogeneous AC Pavement with Internal Moisture
2.2. Simulation Using Finite-Difference Time-Domain Method
2.3. Dielectric Constant Calculation
3. Numerical Model Validation
3.1. Construction Site for GPR Investigation
3.2. Validation of the Numerical Model
4. Sensitivity Analysis and Model Application
4.1. Effect of Moisture Content on Reflected GPR Signal
4.2. Effects of Aggregate Gradation and Saturation Ratio on Calculated AC Dielectric Constant
4.3. Relationship between Moisture Content and Dielectric Constant
4.4. Prediction of AC Moisture Content from GPR Data
5. Summary and Conclusions
- 1.
- The heterogeneous numerical model was validated using GPR surveys on cold-in-place recycling pavement. The average relative error between the simulated and measured dielectric constants was 5.1%.
- 2.
- The sensitivity analysis showed that high moisture content inside the AC pavement causes an increase of reflection amplitude from the pavement surface and an attenuation and reduced speed of electromagnetic (EM) waves in the pavement layer. Additionally, aggregate gradation of AC surface layer has no effect on calculated AC dielectric contact due to the relatively large wavelength to aggregate size ratio.
Author Contributions
Funding
Institutional Review Board Statement
Informed Consent Statement
Data Availability Statement
Acknowledgments
Conflicts of Interest
References
- Al-Qadi, I.; Ghodgaonkar, D.; Varada, V.; Varadan, V. Effect of moisture on asphaltic concrete at microwave frequencies. IEEE Trans. Geosci. Remote Sens. 1991, 29, 710–717. [Google Scholar] [CrossRef]
- Al-Qadi, I.L.; Sebaaly, P.E. New Technique to Measure Moisture in Hot-Mix Asphalt Concrete Nondestructively. Transp. Res. Rec. 1991, 1317, 0361–1981. [Google Scholar]
- Mehrara, A.; Khodaii, A. A review of state of the art on stripping phenomenon in asphalt concrete. Constr. Build. Mater. 2013, 38, 423–442. [Google Scholar] [CrossRef]
- Kim, Y.; Im, S.; Lee, H. Impacts of Curing Time and Moisture Content on Engineering Properties of Cold In-Place Recycling Mixtures Using Foamed or Emulsified Asphalt. J. Mater. Civ. Eng. 2011, 23, 542–553. [Google Scholar] [CrossRef]
- Kim, Y.; Lee, H. “David” Development of Mix Design Procedure for Cold In-Place Recycling with Foamed Asphalt. J. Mater. Civ. Eng. 2006, 18, 116–124. [Google Scholar] [CrossRef]
- ASTM D7497-09. Standard Practice for Recovering Residue from Emulsified Asphalt Using Low-Temperature Evaporative Techniques; ASTM International: West Conshohocken, PA, USA, 2016. [Google Scholar]
- Li, C.; Miao, L.; Yue, J. Research on Detection to Moisture Content of Flexible Pavement by GPR. In Paving Materials and Pavement Analysis; American Society of Civil Engineers: Shanghai, China, 2010; pp. 420–426. [Google Scholar] [CrossRef]
- Huisman, J.A.; Hubbard, S.S.; Redman, J.D.; Annan, A.P. Measuring Soil Water Content with Ground Penetrating Radar: A Review. Vadose Zone J. 2003, 2, 476–491. [Google Scholar] [CrossRef]
- Benedetto, A.; Pajewski, L. (Eds.) Civil Engineering Applications of Ground Penetrating Radar; Springer: Cham, Germany, 2015. [Google Scholar] [CrossRef]
- Lai, W.W.-L.; Dérobert, X.; Annan, P. A review of Ground Penetrating Radar application in civil engineering: A 30-year journey from Locating and Testing to Imaging and Diagnosis. NDT E Int. 2018, 96, 58–78. [Google Scholar] [CrossRef]
- Leng, Z.; Al-Qadi, I.L.; Lahouar, S. Development and validation for in situ asphalt mixture density prediction models. NDT E Int. 2011, 44, 369–375. [Google Scholar] [CrossRef]
- Lahouar, S.; Al-Qadi, I. Automatic detection of multiple pavement layers from GPR data. NDT E Int. 2008, 41, 69–81. [Google Scholar] [CrossRef]
- Al-Qadi, I.L.; Lahouar, S. Measuring layer thicknesses with GPR–Theory to practice. Constr. Build. Mater. 2005, 19, 763–772. [Google Scholar] [CrossRef]
- Al-Qadi, I.L.; Xie, W.; Roberts, R.; Leng, Z. Data Analysis Techniques for GPR Used for Assessing Railroad Ballast in High Radio-Frequency Environment. J. Transp. Eng. 2010, 136, 392–399. [Google Scholar] [CrossRef]
- Wang, S.; Al-Qadi, I.L.; Cao, Q. Factors Impacting Monitoring Asphalt Pavement Density by Ground Penetrating Radar. NDT E Int. 2020, 115, 102296. [Google Scholar] [CrossRef]
- Zhao, S.; Al-Qadi, I.L. Algorithm development for real-time thin asphalt concrete overlay compaction monitoring using ground-penetrating radar. NDT E Int. 2019, 104, 114–123. [Google Scholar] [CrossRef]
- Cao, Q.; Al-Qadi, I.L. Signal Stability and the Height-Correction Method for Ground-Penetrating Radar In Situ Asphalt Concrete Density Prediction. Transp. Res. Rec. J. Transp. Res. Board 2021, 2675, 835–847. [Google Scholar] [CrossRef]
- Liu, X.; Chen, J.; Cui, X.; Liu, Q.; Cao, X.; Chen, X. Measurement of soil water content using ground-penetrating radar: A review of current methods. Int. J. Digit. Earth 2017, 12, 95–118. [Google Scholar] [CrossRef]
- Tosti, F.; Slob, E.C. Determination, by using GPR, of the volumetric water content in structures, sub-structures, foundations and soil-ongoing activities in working project 2.5 of COST action TU1208. In Proceedings of the Geophysical Research Abstracts, 17, EGU General Assembly, Vienna, Austria, 12–17 April 2015. EGU2015-15199. [Google Scholar]
- Soutsos, M.; Bungey, J.; Millard, S.; Shaw, M.; Patterson, A. Dielectric properties of concrete and their influence on radar testing. NDT E Int. 2001, 34, 419–425. [Google Scholar] [CrossRef]
- Shang, J.Q.; Umana, J.A.; Bartlett, F.M.; Rossiter, J.R. Measurement of Complex Permittivity of Asphalt Pavement Materials. J. Transp. Eng. 1999, 125, 347–356. [Google Scholar] [CrossRef]
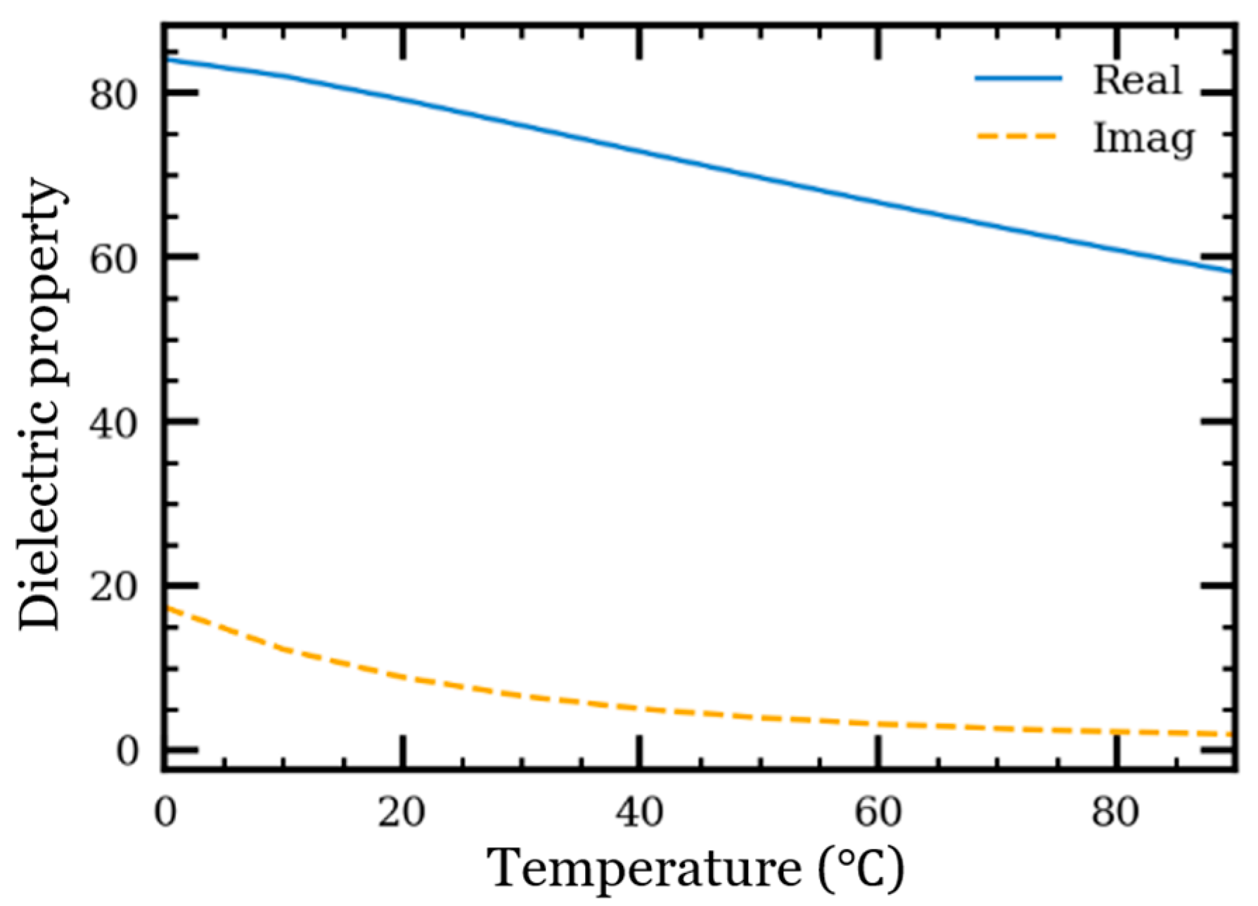
- Kaatze, U. Complex permittivity of water as a function of frequency and temperature. J. Chem. Eng. Data 1989, 34, 371–374. [Google Scholar] [CrossRef]
- Liebe, H.J.; Hufford, G.A.; Manabe, T. A model for the complex permittivity of water at frequencies below 1 THz. Int. J. Infrared Millim. Waves 1991, 12, 659–675. [Google Scholar] [CrossRef]
- Plati, C.; Loizos, A. Estimation of in-situ density and moisture content in HMA pavements based on GPR trace reflection amplitude using different frequencies. J. Appl. Geophys. 2013, 97, 3–10. [Google Scholar] [CrossRef]
- Klewe, T.; Strangfeld, C.; Kruschwitz, S. Review of moisture measurements in civil engineering with ground penetrating radar—Applied methods and signal features. Constr. Build. Mater. 2021, 278, 122250. [Google Scholar] [CrossRef]
- Benedetto, A.; Ciampoli, L.B.; Brancadoro, M.G.; Alani, A.M.; Tosti, F. A Computer-Aided Model for the Simulation of Railway Ballast by Random Sequential Adsorption Process. Comput. Civ. Infrastruct. Eng. 2017, 33, 243–257. [Google Scholar] [CrossRef]
- Shangguan, P.; Al-Qadi, I. Calibration of FDTD Simulation of GPR Signal for Asphalt Pavement Compaction Monitoring. IEEE Trans. Geosci. Remote Sens. 2014, 53, 1538–1548. [Google Scholar] [CrossRef]
- Cao, Q.; Al-Qadi, I. Development of a Numerical Model to Predict the Dielectric Properties of Heterogeneous Asphalt Concrete. Sensors 2021, 21, 2643. [Google Scholar] [CrossRef]
- Hu, R.; Lu, L.; Wang, S. The Numerical Simulation Study on Ground Penetrating Radar Detection of the Typical Adverse Geological Structure. In Proceedings of the 14th International Conference on Ground Penetrating Radar (GPR), Shanghai, China, 4–8 June 2012; pp. 243–247. [Google Scholar]
- He, X.; Zhu, Z.; Lu, G.; Lu, Q. The FDTD Modeling of GPR for Tunnel Inspection. In Proceedings of the 2009 International Conference on Information Engineering and Computer Science, Wuhan, China, 19–20 December 2009; pp. 1–4. [Google Scholar] [CrossRef]
- Giannakis, I.; Giannopoulos, A.; Warren, C. A Realistic FDTD Numerical Modeling Framework of Ground Penetrating Radar for Landmine Detection. IEEE J. Sel. Top. Appl. Earth Obs. Remote Sens. 2015, 9, 37–51. [Google Scholar] [CrossRef]
- Belli, K.; Rappaport, C.M.; Zhan, H.; Wadia-Fascetti, S. Effectiveness of 2-D and 2.5-D FDTD Ground-Penetrating Radar Modeling for Bridge-Deck Deterioration Evaluated by 3-D FDTD. IEEE Trans. Geosci. Remote Sens. 2009, 47, 3656–3663. [Google Scholar] [CrossRef]
- Shangguan, P.; Al-Qadi, I.; Coenen, A.; Zhao, S. Algorithm development for the application of ground-penetrating radar on asphalt pavement compaction monitoring. Int. J. Pavement Eng. 2014, 17, 189–200. [Google Scholar] [CrossRef]
- Xu, W.; Xu, B.; Guo, F. Elastic properties of particle-reinforced composites containing nonspherical particles of high packing density and interphase: DEM–FEM simulation and micromechanical theory. Comput. Methods Appl. Mech. Eng. 2017, 326, 122–143. [Google Scholar] [CrossRef]
- Leng, Z.; Al-Qadi, I.L. An innovative method for measuring pavement dielectric constant using the extended CMP method with two air-coupled GPR systems. NDT E Int. 2014, 66, 90–98. [Google Scholar] [CrossRef]
- Lachowicz, J.; Rucka, M. A novel heterogeneous model of concrete for numerical modelling of ground penetrating radar. Constr. Build. Mater. 2019, 227, 116703. [Google Scholar] [CrossRef]
- Zadhoush, H.; Giannopoulos, A.; Giannakis, I. Optimising the Complex Refractive Index Model for Estimating the Permittivity of Heterogeneous Concrete Models. Remote Sens. 2021, 13, 723. [Google Scholar] [CrossRef]
- Warren, C.; Giannopoulos, A.; Giannakis, I. gprMax: Open source software to simulate electromagnetic wave propagation for Ground Penetrating Radar. Comput. Phys. Commun. 2016, 209, 163–170. [Google Scholar] [CrossRef] [Green Version]
- Feder, J. Random sequential adsorption. J. Theor. Biol. 1980, 87, 237–254. [Google Scholar] [CrossRef]
- Yee, K.S.; Chen, J.S. The finite-difference time-domain (FDTD) and the finite-volume time-domain (FVTD) methods in solving Maxwell’s equations. IEEE Trans. Antennas Propag. 1997, 45, 354–363. [Google Scholar] [CrossRef]
- Giannopoulos, A. Modelling ground penetrating radar by GprMax. Constr. Build. Mater. 2005, 19, 755–762. [Google Scholar] [CrossRef]
- Fernandes, F.; Fernandes, A.; Pais, J. Assessment of the density and moisture content of asphalt mixtures of road pavements. Constr. Build. Mater. 2017, 154, 1216–1225. [Google Scholar] [CrossRef]
- Kaplanvural, I.; Peksen, E.; Özkap, K. Volumetric water content estimation of C-30 concrete using GPR. Constr. Build. Mater. 2018, 166, 141–146. [Google Scholar] [CrossRef]
- Cheung, B.W.; Lai, W.W. Field validation of water-pipe leakage detection through spatial and time-lapse analysis of GPR wave velocity. Near Surf. Geophys. 2019, 17, 231–246. [Google Scholar] [CrossRef]
- Topp, G.C.; Davis, J.L. Measurement of Soil Water Content using Time-domain Reflectrometry (TDR): A Field Evaluation. Soil Sci. Soc. Am. J. 1985, 49, 19–24. [Google Scholar] [CrossRef]
- Benedetto, A.; Benedetto, F. Remote Sensing of Soil Moisture Content by GPR Signal Processing in the Frequency Domain. IEEE Sens. J. 2011, 11, 2432–2441. [Google Scholar] [CrossRef]













| Information | Value | Information | Value |
|---|---|---|---|
| Antenna central frequency | 2 GHz | Samples/scan | 512 |
| Scans/s | 100 | Time range | 12 ns |
| CIR layer thickness | 100 mm | Binder residue content | 64.5% |
| Maximum theoretical specific gravity | 2.38 | Emulsion target (based on dry weight) | 2.5% |
| Bulk specific gravity | 2.05 | Optimum water for mixing | 2.0% |
| Sieve Size (mm) | 37.5 | 25 | 19 | 12.5 | 9.5 | 4.75 | 2.36 | 1.18 | 0.6 | 0.35 | 0.15 | 0.075 |
|---|---|---|---|---|---|---|---|---|---|---|---|---|
| % Passing | 100 | 99.0 | 90.8 | 77.3 | 63.8 | 45.9 | 33.1 | 18.1 | 8.2 | 4.1 | 2.7 | 1.9 |
| Sieve Size (mm) | Percent Passing (%) | ||
|---|---|---|---|
| Mix 1 | Mix 2 | Mix 3 | |
| 16 | 100.0 | 100.0 | 100.0 |
| 13.2 | 95.0 | 97.9 | 97.8 |
| 9.5 | 76.5 | 63.5 | 63.3 |
| 4.75 | 53.0 | 29.0 | 18.8 |
| 2.36 | 37.0 | 25.8 | 15.0 |
| 1.18 | 26.5 | 22.7 | 11.5 |
| 0.6 | 19.0 | 19.5 | 8.7 |
| 0.3 | 13.5 | 16.3 | 6.1 |
| 0.15 | 10.0 | 13.2 | 5.4 |
| 0.075 | 6.0 | 10.0 | 4.6 |
Publisher’s Note: MDPI stays neutral with regard to jurisdictional claims in published maps and institutional affiliations. |
© 2021 by the authors. Licensee MDPI, Basel, Switzerland. This article is an open access article distributed under the terms and conditions of the Creative Commons Attribution (CC BY) license (https://creativecommons.org/licenses/by/4.0/).
Share and Cite
Cao, Q.; Al-Qadi, I.L. Effect of Moisture Content on Calculated Dielectric Properties of Asphalt Concrete Pavements from Ground-Penetrating Radar Measurements. Remote Sens. 2022, 14, 34. https://doi.org/10.3390/rs14010034
Cao Q, Al-Qadi IL. Effect of Moisture Content on Calculated Dielectric Properties of Asphalt Concrete Pavements from Ground-Penetrating Radar Measurements. Remote Sensing. 2022; 14(1):34. https://doi.org/10.3390/rs14010034
Chicago/Turabian StyleCao, Qingqing, and Imad L. Al-Qadi. 2022. "Effect of Moisture Content on Calculated Dielectric Properties of Asphalt Concrete Pavements from Ground-Penetrating Radar Measurements" Remote Sensing 14, no. 1: 34. https://doi.org/10.3390/rs14010034
APA StyleCao, Q., & Al-Qadi, I. L. (2022). Effect of Moisture Content on Calculated Dielectric Properties of Asphalt Concrete Pavements from Ground-Penetrating Radar Measurements. Remote Sensing, 14(1), 34. https://doi.org/10.3390/rs14010034

