Hyperspectral Remote Sensing of TiO2 Concentration in Cementitious Material Based on Machine Learning Approaches
Abstract
:1. Introduction
1.1. Research Background
1.2. Literature Review of TiO2 and Active Carbon for NOx Reduction
1.3. Problems with TiO2 Wear
1.4. Research Purpose
2. Experimental Program
2.1. Specimen Preparation
2.1.1. Specimens for Algorithm Development (Dataset I)
2.1.2. Specimens for Algorithm Verification (Dataset II)
2.2. Measurement of Surface Reflectance with a Hyperspectral Spectroradiometer
2.2.1. Hyperspectral Sensor and Reflectance
2.2.2. Measurement Protocol
2.3. Spectral Reflectance of Raw and Mixed Materials
2.4. Normalized Difference TiO2 Index (NDTI)
2.5. Machine Learning for the Estimation of TiO2 Concentration
2.5.1. Machine Learning Algorithms
2.5.2. Dataset for Algorithm Development (Dataset I) and Test (Dataset II)
3. Results and Analysis
3.1. Performance of the Machine Learning Methods
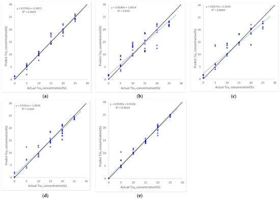
3.1.1. Training Accuracy
3.1.2. Test Accuracy
4. Discussion: Limitations and Strengths
5. Conclusions and Suggestions
- TiO2 powder has a high level of reflectance (around 80%–95%) that is dramatically reduced in the UV spectral range (300–400 nm). On the other hand, activated carbon powder has very low reflectance, as demonstrated by its approximate 1%–2% reflectance over the entire wavelength range tested.
- The overall reflectance level increased with increasing TiO2 concentration and decreasing carbon ratio in the concrete specimens. The reflectance curves revealed a common sharp decrease in reflectance at around 350 nm for all specimens; specifically, the depth of the valley was deeper for higher TiO2 concentrations.
- The normalized difference TiO2 index (NDTI) was suggested in this study based on reflectance differences in the UV and blue spectral regions. Based on the experimental results, the regression with the quadratic polynomial shows a good relationship between TiO2 concentration and NDTI when the carbon ratio is fixed.
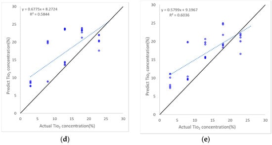
- Performance analysis of the machine learning methods considered in this study revealed that most methods worked well with the training/validation data (Dataset I). However, when applied to the test data (Dataset II), Lasso regression was the most robust method; it was possible to estimate the TiO2 concentration with 6% RMSE and a correlation level of 0.8.
- The suggested robust machine learning approach can be adjusted and expanded to field applications by, for example, employing camera-type hyperspectral sensors that can estimate TiO2 using images of wide areas.
Author Contributions
Funding
Conflicts of Interest
References
- European Environmental Agency (EEA) Reports. Available online: https://www.eea.europa.eu/themes/air/health-impacts-of-air-pollution (accessed on 31 December 2021).
- Kim, Y.P. Research and Policy Directions against Ambient Fine Particles. J. Korean Soc. Atmos. Environ. 2017, 33, 191–204. [Google Scholar] [CrossRef]
- Kang, C.M.; Park, S.G.; Sunwoo, Y.; Kang, B.W.; Lee, H.S. Respiratory health effects of fine particles (PM2.5) in Seoul. J. Korean Soc. Atmos. Environ. 2006, 22, 554–563. [Google Scholar]
- Ângelo, J.; Andrade, L.; Madeira, L.M.; Mendes, A. An overview of photocatalysis phenomena applied to NOx abatement. J. Environ. Manag. 2013, 129, 522–539. [Google Scholar] [CrossRef]
- Beeldens, A. An Environmental Friendly Solution for Air Purification and Self-Cleaning Effect: The Application of TiO2 as Photocatalyst in Concrete; Transport Research Arena Europe-TRA: Göteborg, Sweden, 2006; pp. 12–16. [Google Scholar]
- Boonen, E.; Beeldens, A. Recent photocatalytic applications for air purification in Belgium. Coatings 2014, 4, 553–573. [Google Scholar] [CrossRef] [Green Version]
- Cárdenas, C.; Tobón, J.I.; García, C.; Vila, J. Functionalized building materials: Photocatalytic abatement of NOx by cement pastes blended with TiO2 nanoparticles. Constr. Build. Mater. 2012, 36, 820–825. [Google Scholar] [CrossRef]
- Lee, B.Y.; Jayapalan, A.R.; Bergin, M.H.; Kurtis, K.E. Photocatalytic cement exposed to nitrogen oxides: Effect of oxidation and binding. Cem. Concr. Res. 2014, 60, 30–36. [Google Scholar] [CrossRef]
- Pérez-Nicolás, M.; Balbuena, J.; Cruz-Yusta, M.; Sánchez, L.; Navarro-Blasco, I.; Fernández, J.M.; Alvarez, J.I. Photocatalytic NOx abatement by calcium aluminate cements modified with TiO2: Improved NO2 conversion. Cem. Concr. Res. 2015, 70, 67–76. [Google Scholar] [CrossRef] [Green Version]
- Guerrini, G.L. Photocatalytic performances in a city tunnel in Rome: NOx monitoring results. Constr. Build. Mater. 2012, 27, 165–175. [Google Scholar] [CrossRef]
- Folli, A.; Strøm, M.; Madsen, T.P.; Henriksen, T.; Lang, J.; Emenius, J.; Klevebrant, T.; Nilsson, Å. Field study of air purifying paving elements containing TiO2. Atmos. Environ. 2015, 107, 44–51. [Google Scholar] [CrossRef]
- Kim, Y.K.; Hong, S.J.; Kim, H.B.; Lee, S.W. Evaluation of in-situ NOx removal efficiency of photocatalytic concrete in expressways. KSCE J. Civ. Eng. 2018, 22, 2274–2280. [Google Scholar] [CrossRef]
- Horgnies, M.; Dubois-Brugger, I.; Gartner, E.M. NOx de-pollution by hardened concrete and the influence of activated charcoal additions. Cem. Concr. Res. 2012, 42, 1348–1355. [Google Scholar] [CrossRef]
- Horgnies, M.; Serre, F.; Dubois-Brugger, I.; Gartner, E. NOx De-pollution using activated charcoal concrete—From laboratory experiments to tests with prototype garages. Cem. Concr. Res. 2014, 42, 1348–1355. [Google Scholar] [CrossRef]
- Di Tommaso, M.; Bordonzotti, I. NOx adsorption, fire resistance and CO2 sequestration of high performance, high durability concrete containing activated carbon. In Proceedings of the Second International Conference on Concrete Sustainability, Madrid, Spain, 13–15 June 2016; Volume 192, pp. 1–12. [Google Scholar]
- Russell, H.S.; Frederickson, L.B.; Hertel, O.; Ellermann, T.; Jensen, S.S. A Review of Photocatalytic Materials for Urban NOx Remediation. Catalysts 2021, 11, 675. [Google Scholar] [CrossRef]
- Chen, M.; Chu, J.W. NOx photocatalytic degradation on active concrete road surface—From experiment to real-scale application. J. Clean. Prod. 2011, 19, 1266–1272. [Google Scholar] [CrossRef]
- De Melo, J.V.S.; Trichês, G.; Gleize, P.J.P.; Villena, J. Development and evaluation of the efficiency of photocatalytic pavement blocks in the laboratory and after one year in the field. Constr. Build. Mater. 2012, 37, 310–319. [Google Scholar] [CrossRef]
- Ballari, M.M.; Brouwers, H.J.H. Full scale demonstration of air-purifying pavement. J. Hazard. Mater. 2013, 254, 406–414. [Google Scholar] [CrossRef] [PubMed] [Green Version]
- Osborn, D.; Hassan, M.; Asadi, S.; White, J.R. Durability quantification of TiO2 surface coating on concrete and asphalt pavements. J. Mater. Civ. Eng. 2014, 26, 331–337. [Google Scholar] [CrossRef]
- Lee, S.W.; Ahn, H.R.; Kim, K.S.; Kim, Y.K. Applicability of TiO2 Penetration Method to Reduce Particulate Matter Precursor for Hardened Concrete Road Structure. Sustainability 2021, 13, 3433. [Google Scholar] [CrossRef]
- Luo, G.; Liu, H.; Li, W.; Lyu, X. Automobile exhaust removal performance of pervious concrete with nano TiO2 under photocatalysis. Nanomaterials 2020, 10, 2088. [Google Scholar] [CrossRef]
- Costanzo, A.; Ebolese, D.; Ruffolo, S.A.; Falcone, S.; La Piana, C.; La Russa, M.F.; Musacchio, M.; Buongiorno, M.F. Detection of the TiO2 Concentration in the Protective Coatings for the Cultural Heritage by Means of Hyperspectral Data. Sustainability 2021, 13, 92. [Google Scholar] [CrossRef]
- Ra, D.G.; Lee, G.D.; Jeong, S.C.; Kim, Y.G. Assesment of strength property and photocatalytic activity of TiO2-added mortar. J. Korean Soc. Environ. Eng. 2003, 25, 1499–1503. [Google Scholar]
- Zhang, Y.; Wang, Y.; Yang, C.; Li, G.; Yan, H. Study on the reduction of radon exhalation rates of concrete with different activated carbon. Key Eng. Mater. 2017, 726, 558–563. [Google Scholar] [CrossRef]















| Specimen # | Mixing Ratio | |
|---|---|---|
| Activated Carbon (AC) | Titanium Dioxide (TiO2) | |
| A0 | 0 | 0 |
| A0.05 | 0.05 | 0 |
| A0.10 | 0.10 | 0 |
| A0.15 | 0.15 | 0 |
| B0 | 0 | 0.05 |
| B0.05 | 0.05 | 0.05 |
| B0.10 | 0.10 | 0.05 |
| B0.15 | 0.15 | 0.05 |
| C0 | 0 | 0.10 |
| C0.05 | 0.05 | 0.10 |
| C0.10 | 0.10 | 0.10 |
| C0.15 | 0.15 | 0.10 |
| D0 | 0 | 0.15 |
| D0.05 | 0.05 | 0.15 |
| D0.10 | 0.10 | 0.15 |
| D0.15 | 0.15 | 0.15 |
| E0 | 0 | 0.20 |
| E0.05 | 0.05 | 0.20 |
| E0.10 | 0.10 | 0.20 |
| E0.15 | 0.15 | 0.20 |
| F0 | 0 | 0.25 |
| F0.05 | 0.05 | 0.25 |
| F0.10 | 0.10 | 0.25 |
| F0.15 | 0.15 | 0.25 |
| Specimen # | Cement (g) | Water (g) | Mixing Ratio | |
|---|---|---|---|---|
| Activated Carbon (AC) | Titanium Dioxide (TiO2) | |||
| V1 | 260 | 130 | 0 | 0.03 |
| V2 | 260 | 130 | 0 | 0.08 |
| V3 | 260 | 130 | 0 | 0.13 |
| V4 | 260 | 130 | 0 | 0.18 |
| V5 | 260 | 130 | 0 | 0.23 |
| V6 | 260 | 130 | 0.05 | 0.03 |
| V7 | 260 | 130 | 0.05 | 0.08 |
| V8 | 260 | 130 | 0.05 | 0.13 |
| V9 | 260 | 130 | 0.05 | 0.18 |
| V10 | 260 | 130 | 0.05 | 0.23 |
| Machine Learning Algorithm | Parameters | Value Range | Value |
|---|---|---|---|
| Ridge regression | λ | 1~0.00001 | 0.0001 |
| Lasso regression | λ | 1~0.00001 | 0.0005 |
| Support vector regression | Kernel | Linear, Poly, RBF, Sigmoid | RBF |
| gamma | 1~0.0001 | 1 | |
| C | 1~0.0001 | 1 | |
| Random forest | bootstrap | True, False | True |
| max_depth | 100~10, None | 50 | |
| max_features | Auto, Sqrt | Sqrt | |
| min_samples_leaf | 20~1 | 10 | |
| min_samples_split | 20~1 | 10 | |
| n_estimators | 5000~100 | 1000 | |
| XGBoost | booster | gbtree, gblinear | gbtree |
| learning_rate | 1~0.001 | 0.001 | |
| max_depth | 10~1 | 8 | |
| subsample | 1~0.1 | 1 | |
| max_features | 1~0.1 | 0.5 | |
| min_child_weight | 20~1 | 15 | |
| colsample_bytree | 1~0.1 | 0.6 | |
| n_estimators | 10,000~1000 | 5000 | |
| Early Stopping | 300 | 300 |
Publisher’s Note: MDPI stays neutral with regard to jurisdictional claims in published maps and institutional affiliations. |
© 2022 by the authors. Licensee MDPI, Basel, Switzerland. This article is an open access article distributed under the terms and conditions of the Creative Commons Attribution (CC BY) license (https://creativecommons.org/licenses/by/4.0/).
Share and Cite
Oh, T.-M.; Baek, S.; Kong, T.-H.; Koh, S.; Ahn, J.; Kim, W. Hyperspectral Remote Sensing of TiO2 Concentration in Cementitious Material Based on Machine Learning Approaches. Remote Sens. 2022, 14, 189. https://doi.org/10.3390/rs14010189
Oh T-M, Baek S, Kong T-H, Koh S, Ahn J, Kim W. Hyperspectral Remote Sensing of TiO2 Concentration in Cementitious Material Based on Machine Learning Approaches. Remote Sensing. 2022; 14(1):189. https://doi.org/10.3390/rs14010189
Chicago/Turabian StyleOh, Tae-Min, Seungil Baek, Tae-Hyun Kong, Sooyoon Koh, Jaehun Ahn, and Wonkook Kim. 2022. "Hyperspectral Remote Sensing of TiO2 Concentration in Cementitious Material Based on Machine Learning Approaches" Remote Sensing 14, no. 1: 189. https://doi.org/10.3390/rs14010189
APA StyleOh, T.-M., Baek, S., Kong, T.-H., Koh, S., Ahn, J., & Kim, W. (2022). Hyperspectral Remote Sensing of TiO2 Concentration in Cementitious Material Based on Machine Learning Approaches. Remote Sensing, 14(1), 189. https://doi.org/10.3390/rs14010189

