RADOLAN_API: An Hourly Soil Moisture Data Set Based on Weather Radar, Soil Properties and Reanalysis Temperature Data
Abstract
1. Introduction
2. Materials and Methods
2.1. Data Sets
2.1.1. Precipitation Data Set
2.1.2. Soil Properties
2.1.3. Temperature Data Set
2.1.4. Calibration and Validation Data Sets
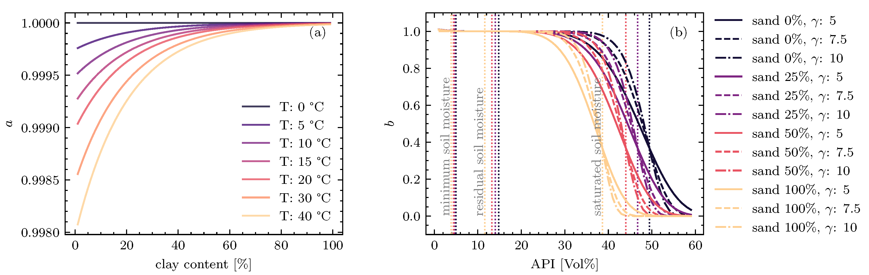
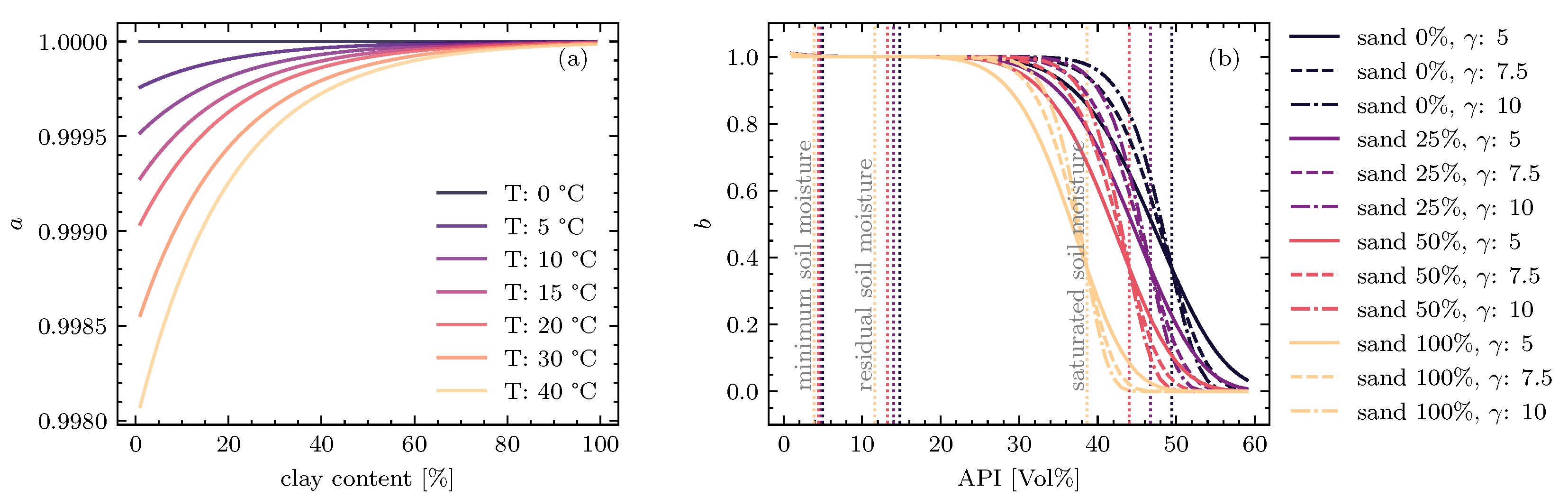
2.2. Antecedent Precipitation Index
2.3. Calibration and Validation Procedure
3. Results
3.1. Calibration and Evaluation
3.2. Two-Fold Cross-Validation
3.3. Comparison with ESA CCI Soil Moisture Data
4. Discussion
5. Conclusions
Author Contributions
Funding
Data Availability Statement
Acknowledgments
Conflicts of Interest
Abbreviations
| API | Antecedent Precipitation Index |
| ASCAT | Advanced Scatterometer |
| CDS | Climate Data Store |
| CV | Cross Validation |
| DJF | December, January, February (Season) |
| DWD | Deutscher Wetterdienst (German weather service) |
| ECMWF | European Center for Medium-Range Weather Forecasts |
| ECV | Essential Climate Variable |
| ERA5 | ECMWF Reanalysis v5 |
| ESA CCI SM | European Space Agency’s Climate Change Initiative Soil Moisture Product |
| FDR | Frequency Domain Reflectometry |
| GCOS | Global Climate Observing System |
| GPCC | Global Precipitation Climatology Centre |
| GPCP | Global Precipitation Climatology Project |
| GPM | Global Precipitation Measurement (mission) |
| GPS | Global Positioning System |
| IMERG | Integrated Multi-satellitE Retrievals for the GPM Mission |
| ISMN | International Soil Moisture Network |
| ISRIC | International Soil Reference and Information Center |
| JJA | June, July, August (Season) |
| lAPI | local optimized Antecedent Precipitation Index |
| MAM | March, April, May (Season) |
| NASA | National Aeronautics and Space Administration |
| OPTRAM | Optical Trapezoid Model |
| PERSIANN-CDR | Precipitation Estimation from Remotely Sensed Information using an Artificial Neural Network-Climate Data Record |
| RADOLAN | RAdar OnLine ANeichung (radar online adjustment) |
| RMSD | Root Mean Square Difference |
| SMAP | Soil Moisture Active Passive (mission) |
| SOC | Soil Organic Carbon |
| SON | September, October, November (Season) |
| TDR | Time Domain Reflectometry |
| TERENO | Terrestrial Environmental Observatories |
| TOTRAM | Thermal-Optical Triangle Method |
| ubRMSD | unbiased Root Mean Square Difference |
| UAV | Unmanned Aerial Vehicle |
| WMO | World Meteorological Organization |
Appendix A



| Filename | RADOLAN_API_v1.0.0.nc |
| Filetype | NetCDF4 |
| Version | 1.0.0 |
| License | CC-BY-SA |
| URL | https://doi.org/10.5281/zenodo.4588904 (accessed on 27 April 2021) |
| File Size | 20.9 GB |
| Dimensions | 692 × 1188 × 43,824 (latitude, longitude, time) |
| Spatial Resolution | 1 km × 1 km |
| Spatial Coverage | Territory of Germany |
| Temporal Coverage | 01.01.2015–31.12.2019 |
| Overall Opt. | Local Opt. | CV Class I Calibration | CV Class II Calibration | |||||
|---|---|---|---|---|---|---|---|---|
| Station | ||||||||
| Beestland | 19,768.0102 | 6.9960 | 25,888.4543 | 6.7393 | - | - | 23,704.3638 | 7.0166 |
| Boeken | 19,768.0102 | 6.9960 | 15,459.5184 | 8.6683 | - | - | 23,704.3638 | 7.0166 |
| Goermin | 19,768.0102 | 6.9960 | 13,407.3887 | 8.9687 | - | - | 23,704.3638 | 7.0166 |
| Grosszastrow | 19,768.0102 | 6.9960 | 13,103.0731 | 8.7054 | 16,265.6752 | 7.0217 | - | - |
| Heydenhof | 19,768.0102 | 6.9960 | 13,002.0141 | 10.3239 | - | - | 23,704.3638 | 7.0166 |
| Neu Tellin | 19,768.0102 | 6.9960 | 17,048.6849 | 7.9655 | 16,265.6752 | 7.0217 | - | - |
| Rustow | 19,768.0102 | 6.9960 | 18,155.6516 | 8.7882 | 16,265.6752 | 7.0217 | - | - |
| Sanzkow | 19,768.0102 | 6.9960 | 15,280.2734 | 12.2186 | - | - | 23,704.3638 | 7.0166 |
| Sommersdorf | 19,768.0102 | 6.9960 | 15,931.4899 | 7.4929 | 16,265.6752 | 7.0217 | - | - |
| Toitz | 19,768.0102 | 6.9960 | 26,363.4512 | 8.3422 | - | - | 23,704.3638 | 7.0166 |
| Zarrenthin | 19,768.0102 | 6.9960 | 24,362.5183 | 6.5954 | - | - | 23,704.3638 | 7.0166 |
| Gevenich | 19,768.0102 | 6.9960 | 3238.0722 | 11.7320 | 16,265.6752 | 7.0217 | - | - |
| Merzenhausen | 19,768.0102 | 6.9960 | 3399.5669 | 14.6008 | 16,265.6752 | 7.0217 | - | - |
| Schoeneseiffen | 19,768.0102 | 6.9960 | 4502.4258 | 36.9911 | 16,265.6752 | 7.0217 | - | - |
| Selhausen | 19,768.0102 | 6.9960 | 4390.2302 | 15.1374 | 16,265.6752 | 7.0217 | - | - |
| Wildenrath | 19,768.0102 | 6.9960 | 4129.9100 | 13.6303 | - | - | 23,704.3638 | 7.0166 |
| Wallerfing_A2 | 19,768.0102 | 6.9960 | 2991.0367 | 7.0635 | 16,265.6752 | 7.0217 | - | - |
| Wallerfing_A4 | 19,768.0102 | 6.9960 | 4604.2422 | 6.2033 | 16,265.6752 | 7.0217 | - | - |
| Wallerfing_A6 | 19,768.0102 | 6.9960 | 3552.1796 | 4.0507 | - | - | 23,704.3638 | 7.0166 |
| Wallerfing_P2 | 19,768.0102 | 6.9960 | 3009.0580 | 5.6143 | 16,265.6752 | 7.0217 | - | - |
| Wallerfing_P6 | 19,768.0102 | 6.9960 | 3115.7178 | 3.3863 | - | - | 23,704.3638 | 7.0166 |
| Wallerfing_P4 | 19,768.0102 | 6.9960 | 3612.4949 | 5.8123 | - | - | 23,704.3638 | 7.0166 |
References
- Legates, D.R.; Mahmood, R.; Levia, D.F.; DeLiberty, T.L.; Quiring, S.M.; Houser, C.; Nelson, F.E. Soil moisture: A central and unifying theme in physical geography. Prog. Phys. Geogr. Earth Environ. 2010, 35, 65–86. [Google Scholar] [CrossRef]
- Miralles, D.G.; van den Berg, M.J.; Teuling, A.J.; de Jeu, R.A.M. Soil moisture-temperature coupling: A multiscale observational analysis. Geophys. Res. Lett. 2012, 39. [Google Scholar] [CrossRef]
- McPherson, R.A. A review of vegetation—atmosphere interactions and their influences on mesoscale phenomena. Prog. Phys. Geogr. Earth Environ. 2007, 31, 261–285. [Google Scholar] [CrossRef]
- Babaeian, E.; Sadeghi, M.; Franz, T.E.; Jones, S.; Tuller, M. Mapping soil moisture with the OPtical TRApezoid Model (OPTRAM) based on long-term MODIS observations. Remote Sens. Environ. 2018, 211, 425–440. [Google Scholar] [CrossRef]
- Al-Yaari, A.; Wigneron, J.P.; Dorigo, W.; Colliander, A.; Pellarin, T.; Hahn, S.; Mialon, A.; Richaume, P.; Fernandez-Moran, R.; Fan, L.; et al. Assessment and inter-comparison of recently developed/reprocessed microwave satellite soil moisture products using ISMN ground-based measurements. Remote Sens. Environ. 2019, 224, 289–303. [Google Scholar] [CrossRef]
- Chifflard, P.; Kranl, J.; zur Strassen, G.; Zepp, H. The significance of soil moisture in forecasting characteristics of flood events. A statistical analysis in two nested catchments. J. Hydrol. Hydromech. 2018, 66, 1–11. [Google Scholar] [CrossRef]
- Hirschi, M.; Seneviratne, S.I.; Alexandrov, V.; Boberg, F.; Boroneant, C.; Christensen, O.B.; Formayer, H.; Orlowsky, B.; Stepanek, P. Observational evidence for soil-moisture impact on hot extremes in southeastern Europe. Nat. Geosci. 2010, 4, 17–21. [Google Scholar] [CrossRef]
- Robinson, D.A.; Campbell, C.S.; Hopmans, J.W.; Hornbuckle, B.K.; Jones, S.B.; Knight, R.; Ogden, F.; Selker, J.; Wendroth, O. Soil Moisture Measurement for Ecological and Hydrological Watershed-Scale Observatories: A Review. Vadose Zone J. 2008, 7, 358–389. [Google Scholar] [CrossRef]
- Green, J.K.; Seneviratne, S.I.; Berg, A.M.; Findell, K.L.; Hagemann, S.; Lawrence, D.M.; Gentine, P. Large influence of soil moisture on long-term terrestrial carbon uptake. Nature 2019, 565, 476–479. [Google Scholar] [CrossRef] [PubMed]
- GCOS. The Global Observing System for Climate: Implementation Needs; WMO Pub GCOS-200: Geneva, Switzerland, 2016. [Google Scholar]
- Dorigo, W.A.; Wagner, W.; Hohensinn, R.; Hahn, S.; Paulik, C.; Xaver, A.; Gruber, A.; Drusch, M.; Mecklenburg, S.; van Oevelen, P.; et al. The International Soil Moisture Network: A data hosting facility for global in situ soil moisture measurements. Hydrol. Earth Syst. Sci. 2011, 15, 1675–1698. [Google Scholar] [CrossRef]
- Koch, F.; Schlenz, F.; Prasch, M.; Appel, F.; Ruf, T.; Mauser, W. Soil Moisture Retrieval Based on GPS Signal Strength Attenuation. Water 2016, 8, 276. [Google Scholar] [CrossRef]
- Zhou, L.; Yu, D.; Wang, Z.; Wang, X. Soil Water Content Estimation Using High-Frequency Ground Penetrating Radar. Water 2019, 11, 1036. [Google Scholar] [CrossRef]
- Lombardi, F.; Lualdi, M. Step-Frequency Ground Penetrating Radar for Agricultural Soil Morphology Characterisation. Remote Sens. 2019, 11, 1075. [Google Scholar] [CrossRef]
- Crow, W.T.; Berg, A.A.; Cosh, M.H.; Loew, A.; Mohanty, B.P.; Panciera, R.; de Rosnay, P.; Ryu, D.; Walker, J.P. Upscaling sparse ground-based soil moisture observations for the validation of coarse-resolution satellite soil moisture products. Rev. Geophys. 2012, 50. [Google Scholar] [CrossRef]
- Dorigo, W.; Xaver, A.; Vreugdenhil, M.; Gruber, A.; Hegyiová, A.; Sanchis-Dufau, A.; Zamojski, D.; Cordes, C.; Wagner, W.; Drusch, M. Global Automated Quality Control of In Situ Soil Moisture Data from the International Soil Moisture Network. Vadose Zone J. 2013, 12. [Google Scholar] [CrossRef]
- Wu, K.; Rodriguez, G.A.; Zajc, M.; Jacquemin, E.; Clément, M.; Coster, A.D.; Lambot, S. A new drone-borne GPR for soil moisture mapping. Remote Sens. Environ. 2019, 235, 111456. [Google Scholar] [CrossRef]
- Wagner, W. Evaluation of the agreement between the first global remotely sensed soil moisture data with model and precipitation data. J. Geophys. Res. 2003, 108. [Google Scholar] [CrossRef]
- Wang, Y.; Leng, P.; Peng, J.; Marzahn, P.; Ludwig, R. Global assessments of two blended microwave soil moisture products CCI and SMOPS with in-situ measurements and reanalysis data. Int. J. Appl. Earth Obs. Geoinf. 2021, 94, 102234. [Google Scholar] [CrossRef]
- Babaeian, E.; Sadeghi, M.; Jones, S.B.; Montzka, C.; Vereecken, H.; Tuller, M. Ground, Proximal, and Satellite Remote Sensing of Soil Moisture. Rev. Geophys. 2019, 57, 530–616. [Google Scholar] [CrossRef]
- Sadeghi, M.; Babaeian, E.; Tuller, M.; Jones, S.B. The optical trapezoid model: A novel approach to remote sensing of soil moisture applied to Sentinel-2 and Landsat-8 observations. Remote Sens. Environ. 2017, 198, 52–68. [Google Scholar] [CrossRef]
- Piles, M.; Petropoulos, G.P.; Sánchez, N.; González-Zamora, Á.; Ireland, G. Towards improved spatio-temporal resolution soil moisture retrievals from the synergy of SMOS and MSG SEVIRI spaceborne observations. Remote Sens. Environ. 2016, 180, 403–417. [Google Scholar] [CrossRef]
- Ghilain, N.; Arboleda, A.; Batelaan, O.; Ardö, J.; Trigo, I.; Barrios, J.M.; Gellens-Meulenberghs, F. A New Retrieval Algorithm for Soil Moisture Index from Thermal Infrared Sensor On-Board Geostationary Satellites over Europe and Africa and Its Validation. Remote Sens. 2019, 11, 1968. [Google Scholar] [CrossRef]
- Bartalis, Z.; Wagner, W.; Naeimi, V.; Hasenauer, S.; Scipal, K.; Bonekamp, H.; Figa, J.; Anderson, C. Initial soil moisture retrievals from the METOP-A Advanced Scatterometer (ASCAT). Geophys. Res. Lett. 2007, 34. [Google Scholar] [CrossRef]
- Entekhabi, D.; Njoku, E.G.; O’Neill, P.E.; Kellogg, K.H.; Crow, W.T.; Edelstein, W.N.; Entin, J.K.; Goodman, S.D.; Jackson, T.J.; Johnson, J.; et al. The Soil Moisture Active Passive (SMAP) Mission. Proc. IEEE 2010, 98, 704–716. [Google Scholar] [CrossRef]
- Peng, J.; Albergel, C.; Balenzano, A.; Brocca, L.; Cartus, O.; Cosh, M.H.; Crow, W.T.; Dabrowska-Zielinska, K.; Dadson, S.; Davidson, M.W.; et al. A roadmap for high-resolution satellite soil moisture applications – confronting product characteristics with user requirements. Remote Sens. Environ. 2021, 252, 112162. [Google Scholar] [CrossRef]
- Merzouki, A.; McNairn, H.; Powers, J.; Friesen, M. Synthetic Aperture Radar (SAR) Compact Polarimetry for Soil Moisture Retrieval. Remote Sens. 2019, 11, 2227. [Google Scholar] [CrossRef]
- Choker, M.; Baghdadi, N.; Zribi, M.; Hajj, M.E.; Paloscia, S.; Verhoest, N.; Lievens, H.; Mattia, F. Evaluation of the Oh, Dubois and IEM Backscatter Models Using a Large Dataset of SAR Data and Experimental Soil Measurements. Water 2017, 9, 38. [Google Scholar] [CrossRef]
- Ochsner, T.E.; Cosh, M.H.; Cuenca, R.H.; Dorigo, W.A.; Draper, C.S.; Hagimoto, Y.; Kerr, Y.H.; Larson, K.M.; Njoku, E.G.; Small, E.E.; et al. State of the Art in Large-Scale Soil Moisture Monitoring. Soil Sci. Soc. Am. J. 2013, 77, 1888–1919. [Google Scholar] [CrossRef]
- Kerr, Y.; Waldteufel, P.; Wigneron, J.P.; Martinuzzi, J.; Font, J.; Berger, M. Soil moisture retrieval from space: The Soil Moisture and Ocean Salinity (SMOS) mission. IEEE Trans. Geosci. Remote Sens. 2001, 39, 1729–1735. [Google Scholar] [CrossRef]
- Naeimi, V.; Scipal, K.; Bartalis, Z.; Hasenauer, S.; Wagner, W. An Improved Soil Moisture Retrieval Algorithm for ERS and METOP Scatterometer Observations. IEEE Trans. Geosci. Remote Sens. 2009, 47, 1999–2013. [Google Scholar] [CrossRef]
- Owe, M.; de Jeu, R.; Walker, J. A methodology for surface soil moisture and vegetation optical depth retrieval using the microwave polarization difference index. IEEE Trans. Geosci. Remote Sens. 2001, 39, 1643–1654. [Google Scholar] [CrossRef]
- Das, N.N.; Entekhabi, D.; Dunbar, R.S.; Chaubell, M.J.; Colliander, A.; Yueh, S.; Jagdhuber, T.; Chen, F.; Crow, W.; O’Neill, P.E.; et al. The SMAP and Copernicus Sentinel 1A/B microwave active-passive high resolution surface soil moisture product. Remote Sens. Environ. 2019, 233, 111380. [Google Scholar] [CrossRef]
- Bauer-Marschallinger, B.; Paulik, C.; Hochstöger, S.; Mistelbauer, T.; Modanesi, S.; Ciabatta, L.; Massari, C.; Brocca, L.; Wagner, W. Soil Moisture from Fusion of Scatterometer and SAR: Closing the Scale Gap with Temporal Filtering. Remote Sens. 2018, 10, 1030. [Google Scholar] [CrossRef]
- Vereecken, H.; Huisman, J.; Pachepsky, Y.; Montzka, C.; van der Kruk, J.; Bogena, H.; Weihermüller, L.; Herbst, M.; Martinez, G.; Vanderborght, J. On the spatio-temporal dynamics of soil moisture at the field scale. J. Hydrol. 2014, 516, 76–96. [Google Scholar] [CrossRef]
- Sehler, R.; Li, J.; Reager, J.T.; Ye, H. Investigating Relationship Between Soil Moisture and Precipitation Globally Using Remote Sensing Observations. J. Contemp. Water Res. Educ. 2019, 168, 106–118. [Google Scholar] [CrossRef]
- Sun, Q.; Miao, C.; Duan, Q.; Ashouri, H.; Sorooshian, S.; Hsu, K.L. A Review of Global Precipitation Data Sets: Data Sources, Estimation, and Intercomparisons. Rev. Geophys. 2018, 56, 79–107. [Google Scholar] [CrossRef]
- New, M.; Todd, M.; Hulme, M.; Jones, P. Precipitation measurements and trends in the twentieth century. Int. J. Climatol. 2001, 21, 1889–1922. [Google Scholar] [CrossRef]
- Ramsauer, T.; Weiß, T.; Marzahn, P. Comparison of the GPM IMERG Final Precipitation Product to RADOLAN Weather Radar Data over the Topographically and Climatically Diverse Germany. Remote Sens. 2018, 10, 2029. [Google Scholar] [CrossRef]
- Legates, D.R.; Willmott, C.J. Mean seasonal and spatial variability in gauge-corrected, global precipitation. Int. J. Climatol. 1990, 10, 111–127. [Google Scholar] [CrossRef]
- Schamm, K.; Ziese, M.; Becker, A.; Finger, P.; Meyer-Christoffer, A.; Schneider, U.; Schröder, M.; Stender, P. Global gridded precipitation over land: A description of the new GPCC First Guess Daily product. Earth Syst. Sci. Data 2014, 6, 49–60. [Google Scholar] [CrossRef]
- Becker, A.; Finger, P.; Meyer-Christoffer, A.; Rudolf, B.; Schamm, K.; Schneider, U.; Ziese, M. A description of the global land-surface precipitation data products of the Global Precipitation Climatology Centre with sample applications including centennial (trend) analysis from 1901–present. Earth Syst. Sci. Data 2013, 5, 71–99. [Google Scholar] [CrossRef]
- Todini, E. A Bayesian technique for conditioning radar precipitation estimates to rain-gauge measurements. Hydrol. Earth Syst. Sci. 2001, 5, 187–199. [Google Scholar] [CrossRef]
- Winterrath, T.; Brendel, T.; Junghänel, T.; Klameth, A.; Lengfeld, K.; Walawender, E.; Weigl, E.; Hafer, M.; Becker, A. An overview of the new radar-based precipitation climatology of the Deutscher Wetterdienst—data, methods, products. In Rainfall Monitoring, Modelling and Forecasting in Urban Environment. UrbanRain18: 11th International Workshop on Precipitation in Urban Areas. Conference Proceedings; ETH Zurich, Institute of Environmental Engineering: Zürich, Switzerland, 2019. [Google Scholar] [CrossRef]
- Sebastianelli, S.; Russo, F.; Napolitano, F.; Baldini, L. On precipitation measurements collected by a weather radar and a rain gauge network. Nat. Hazards Earth Syst. Sci. 2013, 13, 605–623. [Google Scholar] [CrossRef]
- Foehn, A.; Hernández, J.G.; Schaefli, B.; Cesare, G.D. Spatial interpolation of precipitation from multiple rain gauge networks and weather radar data for operational applications in Alpine catchments. J. Hydrol. 2018, 563, 1092–1110. [Google Scholar] [CrossRef]
- Kidd, C.; Levizzani, V. Status of satellite precipitation retrievals. Hydrol. Earth Syst. Sci. 2011, 15, 1109–1116. [Google Scholar] [CrossRef]
- Skofronick-Jackson, G.; Petersen, W.A.; Berg, W.; Kidd, C.; Stocker, E.F.; Kirschbaum, D.B.; Kakar, R.; Braun, S.A.; Huffman, G.J.; Iguchi, T.; et al. The Global Precipitation Measurement (GPM) Mission for Science and Society. Bull. Am. Meteorol. Soc. 2017, 98, 1679–1695. [Google Scholar] [CrossRef] [PubMed]
- Adler, R.F.; Huffman, G.J.; Chang, A.; Ferraro, R.; Xie, P.P.; Janowiak, J.; Rudolf, B.; Schneider, U.; Curtis, S.; Bolvin, D.; et al. The Version-2 Global Precipitation Climatology Project (GPCP) Monthly Precipitation Analysis (1979–Present). J. Hydrometeorol. 2003, 4, 1147–1167. [Google Scholar] [CrossRef]
- Ashouri, H.; Hsu, K.L.; Sorooshian, S.; Braithwaite, D.K.; Knapp, K.R.; Cecil, L.D.; Nelson, B.R.; Prat, O.P. PERSIANN-CDR: Daily Precipitation Climate Data Record from Multisatellite Observations for Hydrological and Climate Studies. Bull. Am. Meteorol. Soc. 2015, 96, 69–83. [Google Scholar] [CrossRef]
- Hersbach, H.; de Rosnay, P.; Bell, B.; Schepers, D.; Simmons, A.; Soci, C.; Abdalla, S.; Alonso-Balmaseda, M.; Balsamo, G.; Bechtold, P.; et al. Operational global reanalysis: Progress, future directions and synergies with NWP. In ERA Report Series; ECMWF: Reading, UK, 2018. [Google Scholar] [CrossRef]
- Beck, H.E.; van Dijk, A.I.J.M.; Levizzani, V.; Schellekens, J.; Miralles, D.G.; Martens, B.; de Roo, A. MSWEP: 3-hourly 0.25° global gridded precipitation (1979–2015) by merging gauge, satellite, and reanalysis data. Hydrol. Earth Syst. Sci. 2017, 21, 589–615. [Google Scholar] [CrossRef]
- Kochendorfer, J.; Rasmussen, R.; Wolff, M.; Baker, B.; Hall, M.E.; Meyers, T.; Landolt, S.; Jachcik, A.; Isaksen, K.; Brækkan, R.; et al. The quantification and correction of wind-induced precipitation measurement errors. Hydrol. Earth Syst. Sci. 2017, 21, 1973–1989. [Google Scholar] [CrossRef]
- Kidd, C.; Becker, A.; Huffman, G.J.; Muller, C.L.; Joe, P.; Skofronick-Jackson, G.; Kirschbaum, D.B. So, How Much of the Earth’s Surface Is Covered by Rain Gauges? Bull. Am. Meteorol. Soc. 2017, 98, 69–78. [Google Scholar] [CrossRef] [PubMed]
- Shrivastava, S.; Kar, S.C.; Sharma, A.R. Soil moisture variations in remotely sensed and reanalysis datasets during weak monsoon conditions over central India and central Myanmar. Theor. Appl. Climatol. 2016, 129, 305–320. [Google Scholar] [CrossRef]
- Kohler, M.A.; Linsley, R.K. Predicting the Runoff from Storm Rainfall; U.S. Department of Commerce, Weather Bureau: Washington, DC, USA, 1951.
- Kala, J.; Evans, J.P.; Pitman, A.J. Influence of antecedent soil moisture conditions on the synoptic meteorology of the Black Saturday bushfire event in southeast Australia. Q. J. R. Meteorol. Soc. 2015, 141, 3118–3129. [Google Scholar] [CrossRef]
- Zhao, B.; Dai, Q.; Han, D.; Dai, H.; Mao, J.; Zhuo, L.; Rong, G. Estimation of soil moisture using modified antecedent precipitation index with application in landslide predictions. Landslides 2019, 16, 2381–2393. [Google Scholar] [CrossRef]
- Brocca, L.; Melone, F.; Moramarco, T. On the estimation of antecedent wetness conditions in rainfall–runoff modelling. Hydrol. Process. 2008, 22, 629–642. [Google Scholar] [CrossRef]
- Ali, S.; Ghosh, N.; Singh, R. Rainfall-runoff simulation using a normalized antecedent precipitation index. Hydrol. Sci. J. 2010, 55, 266–274. [Google Scholar] [CrossRef]
- Song, S.; Wang, W. Impacts of Antecedent Soil moisture on the Rainfall–Runoff Transformation Process Based on High-Resolution Observations in Soil Tank Experiments. Water 2019, 11, 296. [Google Scholar] [CrossRef]
- Javelle, P.; Fouchier, C.; Arnaud, P.; Lavabre, J. Flash flood warning at ungauged locations using radar rainfall and antecedent soil moisture estimations. J. Hydrol. 2010, 394, 267–274. [Google Scholar] [CrossRef]
- Tramblay, Y.; Bouaicha, R.; Brocca, L.; Dorigo, W.; Bouvier, C.; Camici, S.; Servat, E. Estimation of antecedent wetness conditions for flood modelling in northern Morocco. Hydrol. Earth Syst. Sci. 2012, 16, 4375–4386. [Google Scholar] [CrossRef]
- Crow, W.T.; Huffman, G.J.; Bindlish, R.; Jackson, T.J. Improving Satellite-Based Rainfall Accumulation Estimates Using Spaceborne Surface Soil Moisture Retrievals. J. Hydrometeorol. 2009, 10, 199–212. [Google Scholar] [CrossRef]
- Crow, W.T. A Novel Method for Quantifying Value in Spaceborne Soil Moisture Retrievals. J. Hydrometeorol. 2007, 8, 56–67. [Google Scholar] [CrossRef][Green Version]
- Zhao, Y.; Wei, F.; Yang, H.; Jiang, Y. Discussion on Using Antecedent Precipitation Index to Supplement Relative Soil Moisture Data Series. Procedia Environ. Sci. 2011, 10, 1489–1495. [Google Scholar] [CrossRef]
- Schoener, G.; Stone, M.C. Impact of antecedent soil moisture on runoff from a semiarid catchment. J. Hydrol. 2019, 569, 627–636. [Google Scholar] [CrossRef]
- Schoener, G.; Stone, M.C. Monitoring soil moisture at the catchment scale—A novel approach combining antecedent precipitation index and radar-derived rainfall data. J. Hydrol. 2020, 589, 125155. [Google Scholar] [CrossRef]
- Ochsner, T.E.; Linde, E.; Haffner, M.; Dong, J. Mesoscale Soil Moisture Patterns Revealed Using a Sparse In Situ Network and Regression Kriging. Water Resour. Res. 2019, 55, 4785–4800. [Google Scholar] [CrossRef]
- Pellarin, T.; Louvet, S.; Gruhier, C.; Quantin, G.; Legout, C. A simple and effective method for correcting soil moisture and precipitation estimates using AMSR-E measurements. Remote Sens. Environ. 2013, 136, 28–36. [Google Scholar] [CrossRef]
- Pellarin, T.; Román-Cascón, C.; Baron, C.; Bindlish, R.; Brocca, L.; Camberlin, P.; Fernández-Prieto, D.; Kerr, Y.H.; Massari, C.; Panthou, G.; et al. The Precipitation Inferred from Soil Moisture (PrISM) Near Real-Time Rainfall Product: Evaluation and Comparison. Remote Sens. 2020, 12, 481. [Google Scholar] [CrossRef]
- Gruber, A.; Lannoy, G.D.; Albergel, C.; Al-Yaari, A.; Brocca, L.; Calvet, J.C.; Colliander, A.; Cosh, M.; Crow, W.; Dorigo, W.; et al. Validation practices for satellite soil moisture retrievals: What are (the) errors? Remote Sens. Environ. 2020, 244, 111806. [Google Scholar] [CrossRef]
- Ramsauer, T.; Weiß, T.; Marzahn, P. RADOLAN_API—A Soil Moisture Data Set Derived from Weather Radar Data; Zenodo: Geneve, Switzerland, 2021. [Google Scholar] [CrossRef]
- Winterrath, T.; Brendel, C.; Hafer, M.; Junghänel, T.; Klameth, A.; Lengfeld, K.; Walawender, E.; Weigl, E.; Becker, A. RADKLIM Version 2017.002: Reprocessed Gauge-Adjusted Radar Data, One-Hour Precipitation Sums (RW); DWD: Offenbach, Germany, 2018. [Google Scholar] [CrossRef]
- Bartels, H. Projekt RADOLAN. Routineverfahren zur Online-Aneichung der Radarniederschlagsdaten mit Hilfe von Automatischen Bodenniederschlagsstationen (Ombrometer); Technical Report; Deutscher Wetterdienst, Hydrometeorologie: Offenbach, Germany, 2004. [Google Scholar]
- Fersch, B.; Senatore, A.; Adler, B.; Arnault, J.; Mauder, M.; Schneider, K.; Völksch, I.; Kunstmann, H. High-resolution fully-coupled atmospheric-hydrological modeling: A cross-compartment regional water and energy cycle evaluation. Hydrol. Earth Syst. Sci. 2019. [Google Scholar] [CrossRef]
- Benoit, L.; Vrac, M.; Mariethoz, G. Accounting for rain type non-stationarity in sub-daily stochastic weather generators. Hydrol. Earth Syst. Sci. Discuss. 2019. [Google Scholar] [CrossRef]
- Fischer, F.; Hauck, J.; Brandhuber, R.; Weigl, E.; Maier, H.; Auerswald, K. Spatio-temporal variability of erosivity estimated from highly resolved and adjusted radar rain data (RADOLAN). Agric. For. Meteorol. 2016, 223, 72–80. [Google Scholar] [CrossRef]
- Hänsel, P.; Langel, S.; Schindewolf, M.; Kaiser, A.; Buchholz, A.; Böttcher, F.; Schmidt, J. Prediction of Muddy Floods Using High-Resolution Radar Precipitation Forecasts and Physically-Based Erosion Modeling in Agricultural Landscapes. Geosciences 2019, 9, 401. [Google Scholar] [CrossRef]
- Bronstert, A.; Agarwal, A.; Boessenkool, B.; Crisologo, I.; Fischer, M.; Heistermann, M.; Köhn-Reich, L.; López-Tarazón, J.A.; Moran, T.; Ozturk, U.; et al. Forensic hydro-meteorological analysis of an extreme flash flood: The 2016-05-29 event in Braunsbach, SW Germany. Sci. Total Environ. 2018, 630, 977–991. [Google Scholar] [CrossRef] [PubMed]
- Meyer, H.; Kühnlein, M.; Appelhans, T.; Nauss, T. Comparison of Four Machine Learning Algorithms for Their Applicability in Satellite-Based Optical Rainfall Retrievals. Atmos. Res. 2016, 169, 424–433. [Google Scholar] [CrossRef]
- DWD. RADOLAN/RADVOR Hoch Aufgelöste Niederschlagsanalyse und–Vorhersage auf der Basis Quantitativer Radar und Ombrometerdaten für and Grenzüberschreitende Fluss-Einzugsgebiete von Deutschland im Echtzeitbetrieb Beschreibung des Kompositformats Version 2.4.3; Technical Report; Deutscher Wetterdienst, Abteilung Hydrometeorologie: Offenbach, Germany, 2018. [Google Scholar]
- Winterrath, T.; Brendel, C.; Hafer, M.; Junghänel, T.; Klameth, A.; Walawender, E.; und Andreas Becker, E.W. Erstellung einer radargestützten Niederschlagsklimatologie. In Berichte des Deutschen Wetterdienstes; Deutscher Wetterdienst: Offenbach, Germany, 2017; Volume 251. [Google Scholar]
- Winterrath, T.; Rosenow, W.; Weigl, E. On the DWD quantitative precipitation analysis and nowcasting system for real-time application in German flood risk management. Weather Radar Hydrol. 2012, 351, 323–329. [Google Scholar]
- Richter, D. Ergebnisse methodischer Untersuchungen zur Korrektur des systematischen Meßfehlers des Hellmann-Niederschlagmessers. In Berichte des Deutschen Wetterdienstes; Deutscher Wetterdienst: Offenbach, Germany, 1995; Volume 1995. [Google Scholar]
- World Meteorological Organization. Guide to Meteorological Instruments and Methods of Observation, WMO-No. 8; World Meteorological Organization: Geneva, Switzerland, 2017. [Google Scholar]
- Hengl, T.; de Jesus, J.M.; Heuvelink, G.B.M.; Gonzalez, M.R.; Kilibarda, M.; Blagotić, A.; Shangguan, W.; Wright, M.N.; Geng, X.; Bauer-Marschallinger, B.; et al. SoilGrids250m: Global gridded soil information based on machine learning. PLoS ONE 2017, 12, e0169748. [Google Scholar] [CrossRef] [PubMed]
- Hengl, T.; Leenaars, J.G.B.; Shepherd, K.D.; Walsh, M.G.; Heuvelink, G.B.M.; Mamo, T.; Tilahun, H.; Berkhout, E.; Cooper, M.; Fegraus, E.; et al. Soil nutrient maps of Sub-Saharan Africa: Assessment of soil nutrient content at 250 m spatial resolution using machine learning. Nutr. Cycl. Agroecosyst. 2017, 109, 77–102. [Google Scholar] [CrossRef] [PubMed]
- Tóth, B.; Weynants, M.; Pásztor, L.; Hengl, T. 3D soil hydraulic database of Europe at 250 m resolution. Hydrol. Process. 2017, 31, 2662–2666. [Google Scholar] [CrossRef]
- Ross, C.W.; Prihodko, L.; Anchang, J.; Kumar, S.; Ji, W.; Hanan, N.P. HYSOGs250m, global gridded hydrologic soil groups for curve-number-based runoff modeling. Sci. Data 2018, 5. [Google Scholar] [CrossRef] [PubMed]
- Wu, X.; Lu, G.; Wu, Z.; He, H.; Zhou, J.; Liu, Z. An Integration Approach for Mapping Field Capacity of China Based on Multi-Source Soil Datasets. Water 2018, 10, 728. [Google Scholar] [CrossRef]
- Hersbach, H.; Bell, B.; Berrisford, P.; Biavati, G.; Horányi, A.; Muñoz Sabater, J.; Nicolas, J.; Peubey, C.; Radu, R.; Rozum, I.; et al. Copernicus Climate Change Service (C3S). In ERA5: Fifth Generation of ECMWF Atmospheric Reanalyses of the Global Climate; Climate Change Service Climate Data Store (CDS), 2018. [Google Scholar] [CrossRef]
- Albergel, C.; Dutra, E.; Munier, S.; Calvet, J.C.; Munoz-Sabater, J.; de Rosnay, P.; Balsamo, G. ERA-5 and ERA-Interim driven ISBA land surface model simulations: Which one performs better? Hydrol. Earth Syst. Sci. 2018, 22, 3515–3532. [Google Scholar] [CrossRef]
- Tarek, M.; Brissette, F.P.; Arsenault, R. Evaluation of the ERA5 reanalysis as a potential reference dataset for hydrological modelling over North America. Hydrol. Earth Syst. Sci. 2020, 24, 2527–2544. [Google Scholar] [CrossRef]
- Betts, A.K.; Chan, D.Z.; Desjardins, R.L. Near-Surface Biases in ERA5 Over the Canadian Prairies. Front. Environ. Sci. 2019, 7. [Google Scholar] [CrossRef]
- Zhang, W.; Zhang, H.; Liang, H.; Lou, Y.; Cai, Y.; Cao, Y.; Zhou, Y.; Liu, W. On the suitability of ERA5 in hourly GPS precipitable water vapor retrieval over China. J. Geod. 2019, 93, 1897–1909. [Google Scholar] [CrossRef]
- Mahto, S.S.; Mishra, V. Does ERA-5 Outperform Other Reanalysis Products for Hydrologic Applications in India? J. Geophys. Res. Atmos. 2019, 124, 9423–9441. [Google Scholar] [CrossRef]
- Bogena, H.; Montzka, C.; Huisman, J.; Graf, A.; Schmidt, M.; Stockinger, M.; von Hebel, C.; Hendricks-Franssen, H.; van der Kruk, J.; Tappe, W.; et al. The TERENO-Rur Hydrological Observatory: A Multiscale Multi-Compartment Research Platform for the Advancement of Hydrological Science. Vadose Zone J. 2018, 17, 180055. [Google Scholar] [CrossRef]
- Zacharias, S.; Bogena, H.; Samaniego, L.; Mauder, M.; Fuß, R.; Pütz, T.; Frenzel, M.; Schwank, M.; Baessler, C.; Butterbach-Bahl, K.; et al. A Network of Terrestrial Environmental Observatories in Germany. Vadose Zone J. 2011, 10, 955–973. [Google Scholar] [CrossRef]
- Heinrich, I.; Balanzategui, D.; Bens, O.; Blasch, G.; Blume, T.; Böttcher, F.; Borg, E.; Brademann, B.; Brauer, A.; Conrad, C.; et al. Interdisciplinary Geo-ecological Research across Time Scales in the Northeast German Lowland Observatory (TERENO-NE). Vadose Zone J. 2018, 17, 180116. [Google Scholar] [CrossRef]
- Gruber, A.; Scanlon, T.; van der Schalie, R.; Wagner, W.; Dorigo, W. Evolution of the ESA CCI Soil Moisture climate data records and their underlying merging methodology. Earth Syst. Sci. Data 2019, 11, 717–739. [Google Scholar] [CrossRef]
- Dorigo, W.; Wagner, W.; Albergel, C.; Albrecht, F.; Balsamo, G.; Brocca, L.; Chung, D.; Ertl, M.; Forkel, M.; Gruber, A.; et al. ESA CCI Soil Moisture for improved Earth system understanding: State-of-the art and future directions. Remote Sens. Environ. 2017, 203, 185–215. [Google Scholar] [CrossRef]
- Gruber, A.; Dorigo, W.A.; Crow, W.; Wagner, W. Triple Collocation-Based Merging of Satellite Soil Moisture Retrievals. IEEE Trans. Geosci. Remote Sens. 2017, 55, 6780–6792. [Google Scholar] [CrossRef]
- Pan, N.; Wang, S.; Liu, Y.; Zhao, W.; Fu, B. Global Surface Soil Moisture Dynamics in 1979–2016 Observed from ESA CCI SM Dataset. Water 2019, 11, 883. [Google Scholar] [CrossRef]
- Ma, H.; Zeng, J.; Chen, N.; Zhang, X.; Cosh, M.H.; Wang, W. Satellite surface soil moisture from SMAP, SMOS, AMSR2 and ESA CCI: A comprehensive assessment using global ground-based observations. Remote Sens. Environ. 2019, 231, 111215. [Google Scholar] [CrossRef]
- Raoult, N.; Delorme, B.; Ottlé, C.; Peylin, P.; Bastrikov, V.; Maugis, P.; Polcher, J. Confronting Soil Moisture Dynamics from the ORCHIDEE Land Surface Model With the ESA-CCI Product: Perspectives for Data Assimilation. Remote Sens. 2018, 10, 1786. [Google Scholar] [CrossRef]
- McNally, A.; Shukla, S.; Arsenault, K.R.; Wang, S.; Peters-Lidard, C.D.; Verdin, J.P. Evaluating ESA CCI soil moisture in East Africa. Int. J. Appl. Earth Obs. Geoinf. 2016, 48, 96–109. [Google Scholar] [CrossRef]
- Chakravorty, A.; Chahar, B.R.; Sharma, O.P.; Dhanya, C. A regional scale performance evaluation of SMOS and ESA-CCI soil moisture products over India with simulated soil moisture from MERRA-Land. Remote Sens. Environ. 2016, 186, 514–527. [Google Scholar] [CrossRef]
- An, R.; Zhang, L.; Wang, Z.; Quaye-Ballard, J.A.; You, J.; Shen, X.; Gao, W.; Huang, L.; Zhao, Y.; Ke, Z. Validation of the ESA CCI soil moisture product in China. Int. J. Appl. Earth Obs. Geoinf. 2016, 48, 28–36. [Google Scholar] [CrossRef]
- Noilhan, J.; Lacarrère, P. GCM Grid-Scale Evaporation from Mesoscale Modeling. J. Clim. 1995, 8, 206–223. [Google Scholar] [CrossRef]
- Noilhan, J.; Mahfouf, J.F. The ISBA land surface parameterisation scheme. Glob. Planet. Chang. 1996, 13, 145–159. [Google Scholar] [CrossRef]
- Nelder, J.A.; Mead, R. A Simplex Method for Function Minimization. Comput. J. 1965, 7, 308–313. [Google Scholar] [CrossRef]
- Gao, F.; Han, L. Implementing the Nelder-Mead simplex algorithm with adaptive parameters. Comput. Optim. Appl. 2010, 51, 259–277. [Google Scholar] [CrossRef]
- Richter, A. Bodenuebersichtskarte der Bundesrepublik Deutschland 1:1.000.000; Bundesanstalt für Geowissenschaften und Rohstoffe (BGR): Hannover, Germany, 2013. [Google Scholar]
- Krug, D. Gruppen der Bodenausgangsgesteine in Deutschland 1:5000000 (BAG 5000); Bundesanstalt für Geowissenschaften und Rohstoffe (BGR): Hannover, Germany, 2007. [Google Scholar]
- Duijnisveld, W. Nutzbare Feldkapazität im Effektiven Wurzelraum in Deutschland; Bundesanstalt für Geowissenschaften und Rohstoffe (BGR): Hannover, Germany, 2015. [Google Scholar]
- Duijnisveld, W. Luftkapazität der Böden im Effektiven Wurzelraum in Deutschland; Bundesanstalt für Geowissenschaften und Rohstoffe (BGR): Hannover, Germany, 2015. [Google Scholar]
- Wagner, W. Soil Moisture Retrieval from ERS Scatterometer Data. In Geowissenschaftliche Mitteilungen; Institute for Photogrammetry and Remote Sensing, Vienna University of Technology: Vienna, Austria, 1998; Volume 49. [Google Scholar]
- Manns, H.R.; Berg, A.A. Importance of soil organic carbon on surface soil water content variability among agricultural fields. J. Hydrol. 2014, 516, 297–303. [Google Scholar] [CrossRef]
- de la Torre, A.M.; Blyth, E.; Robinson, E. Evaluation of Drydown Processes in Global Land Surface and Hydrological Models Using Flux Tower Evapotranspiration. Water 2019, 11, 356. [Google Scholar] [CrossRef]
- Tifafi, M.; Guenet, B.; Hatté, C. Large Differences in Global and Regional Total Soil Carbon Stock Estimates Based on SoilGrids, HWSD, and NCSCD: Intercomparison and Evaluation Based on Field Data From USA, England, Wales, and France. Glob. Biogeochem. Cycles 2018, 32, 42–56. [Google Scholar] [CrossRef]
- Marzahn, P.; Meyer, S. Utilization of Multi-Temporal Microwave Remote Sensing Data within a Geostatistical Regionalization Approach for the Derivation of Soil Texture. Remote Sens. 2020, 12, 2660. [Google Scholar] [CrossRef]






| Station | Network | Cal/Val | Coordinates | Sand | Clay | Available |
|---|---|---|---|---|---|---|
| Set | [%] | [%] | Time Period | |||
| Beestland | TERENO-NE | I | 53.9255N, 12.9180E | 60 | 10 | 20111107–20191010 |
| Boeken | TERENO-NE | II | 53.9971N, 13.3124E | 58 | 15 | 20111107–20190523 |
| Goermin | TERENO-NE | I | 53.9828N, 13.2579E | 54 | 15 | 20111107–20191010 |
| Grosszastrow | TERENO-NE | II | 54.0170N, 13.2733E | 59 | 14 | 20111107–20191106 |
| Heydenhof | TERENO-NE | II | 53.8682N, 13.2686E | 52 | 17 | 20130206–20191106 |
| Neu Tellin | TERENO-NE | I | 53.8598N, 13.2121E | 61 | 13 | 20111107–20191010 |
| Rustow | TERENO-NE | II | 53.9581N, 13.0786E | 60 | 13 | 20111107–20191106 |
| Sanzkow | TERENO-NE | II | 53.8810N, 13.1243E | 65 | 10 | 20111107–20191106 |
| Sommersdorf | TERENO-NE | II | 53.7899N, 12.9021E | 58 | 12 | 20151020–20191010 |
| Toitz | TERENO-NE | II | 53.9725N, 12.9906E | 59 | 14 | 20111107–20190910 |
| Voelschow | TERENO-NE | I | 53.8712N, 13.3459E | 59 | 14 | 20130128–20190619 |
| Zarrenthin | TERENO-NE | I | 53.9425N, 13.2857E | 59 | 13 | 20111107–20191107 |
| Gevenich | TERENO-Rur | II | 50.9892N, 6.32355E | 22 | 16 | 20110804–20190403 |
| Merzenhausen | TERENO-Rur | II | 50.9303N, 6.29747E | 21 | 16 | 20111103–20190103 |
| Schoeneseiffen | TERENO-Rur | I | 50.5149N, 6.37559E | 28 | 22 | 20100222–20190425 |
| Selhausen | TERENO-Rur | II | 50.8691N, 6.44954E | 19 | 19 | 20130424–20161029 |
| Wildenrath | TERENO-Rur | II | 51.1327N, 6.16918E | 75 | 8 | 20120416–20181004 |
| Wallerfing_A2 | Wallerfing | I | 48.6953N, 12.8673E | 22 | 25 | 20160422–20161026 |
| Wallerfing_A4 | Wallerfing | I | 48.6969N, 12.8673E | 22 | 25 | 20160422–20161026 |
| Wallerfing_A6 | Wallerfing | I | 48.6891N, 12.8722E | 26 | 23 | 20160422–20161026 |
| Wallerfing_P2 | Wallerfing | I | 48.6907N, 12.8746E | 26 | 23 | 20160422–20161026 |
| Wallerfing_P4 | Wallerfing | II | 48.7028N, 12.8966E | 29 | 21 | 20160422–20161026 |
| Wallerfing_P6 | Wallerfing | I | 48.7037N, 12.8989E | 29 | 21 | 20160422–20161026 |
| RMSD [Vol%] | ubRMSD [Vol%] | R | ||||||||||
|---|---|---|---|---|---|---|---|---|---|---|---|---|
| In-Situ | CCI | In-Situ | CCI | In-Situ | CCI | |||||||
| Station | API | lAPI | CCI | API | API | lAPI | CCI | API | API | lAPI | CCI | API |
| Beestland | 2.29 * | 2.02 * | 5.19 | 5.77 | 2.16 * | 2.02 * | 3.26 | 3.27 | 0.69 * | 0.69 * | 0.56 | 0.55 |
| Boeken | 2.19 * | 1.76 * | 4.34 | 4.58 | 1.88 * | 1.76 * | 4.32 | 4.36 | 0.60 * | 0.71 * | 0.42 | 0.40 |
| Goermin | 2.83 * | 2.29 * | 4.34 | 4.41 | 2.78 * | 2.29 * | 4.30 | 4.30 | 0.64 * | 0.77 * | 0.50 | 0.44 |
| Grosszastrow | 3.09 * | 2.67 * | 5.19 | 4.76 | 3.09 * | 2.67 * | 4.87 | 4.51 | 0.60 * | 0.71 * | 0.36 | 0.28 |
| Heydenhof | 2.93 * | 2.03 * | 4.49 | 4.28 | 2.15 * | 2.02 * | 4.01 | 4.28 | 0.67 * | 0.71 * | 0.53 | 0.44 |
| Neu Tellin | 1.84 * | 1.72 * | 4.26 | 4.62 | 1.84 * | 1.71 * | 3.37 | 3.80 | 0.77 * | 0.80 * | 0.59 | 0.41 |
| Rustow | 2.67 * | 2.29 * | 3.79 | 3.99 | 2.30 * | 2.28 * | 3.78 | 3.69 | 0.59 * | 0.63 * | 0.48 | 0.49 |
| Sanzkow | 4.04 | 2.28 * | 3.87 | 4.12 | 2.72 * | 2.28 * | 3.77 | 3.51 | 0.70 * | 0.79 * | 0.55 | 0.59 |
| Sommersdorf | 2.01 * | 1.81 * | 4.21 | 4.32 | 2.00 * | 1.81 * | 2.82 | 3.25 | 0.76 * | 0.80 * | 0.71 | 0.60 |
| Toitz | 2.59 * | 1.55 * | 3.07 | 3.91 | 1.55 * | 1.55 * | 3.06 | 3.25 | 0.72 * | 0.71 * | 0.63 | 0.57 |
| Voelschow | 3.21* | 1.74 * | 4.27 | 4.48 | 2.03* | 1.73* | 4.07 | 4.34 | 0.61 * | 0.76 * | 0.52 | 0.43 |
| Zarrenthin | 2.96 * | 2.87 * | 4.72 | 4.24 | 2.91* | 2.83* | 4.56 | 4.21 | 0.32 | 0.32 | 0.33 | 0.41 |
| Gevenich | 7.94 * | 4.51 * | 8.84 | 3.74 | 7.35 | 4.51 * | 6.67 | 2.61 | 0.62 | 0.84 * | 0.69 | 0.59 |
| Merzenhausen | 8.09 | 6.51 * | 7.12 | 4.30 | 7.84 | 6.50 | 5.76 | 3.84 | 0.05 | 0.57 | 0.68 | 0.21 |
| Schoeneseiffen | 8.90 | 3.87 * | 6.99 | 4.30 | 7.20 | 3.87 * | 6.80 | 2.52 | 0.54 | 0.88 * | 0.59 | 0.47 |
| Selhausen | 5.91 | 4.15 * | 4.21 | 3.56 | 5.62 | 4.15 * | 4.21 | 3.04 | 0.51 | 0.77 | 0.81 | 0.42 |
| Wildenrath | 8.87 * | 5.01 * | 11.54 | 4.80 | 6.96 | 5.00 * | 6.42 | 2.60 | 0.44 | 0.77 * | 0.57 | 0.54 |
| Wallerfing_A2 | 4.29 * | 3.14 * | 6.33 | 3.46 | 3.31 | 3.12 | 2.92 | 1.98 | 0.51 | 0.65 | 0.70 | 0.47 |
| Wallerfing_A4 | 4.89 * | 4.01 * | 6.64 | 3.46 | 4.00 | 3.99 | 3.38 | 1.98 | 0.40 | 0.45 | 0.68 | 0.47 |
| Wallerfing_A6 | 7.52 * | 2.75 * | 9.24 | 2.46 | 2.73 * | 2.70 * | 2.76 | 1.68 | 0.76 * | 0.73 | 0.75 | 0.65 |
| Wallerfing_P2 | 5.19 * | 2.75 * | 6.85 | 2.50 | 2.76 * | 2.68 * | 2.77 | 1.67 | 0.76 * | 0.74 | 0.75 | 0.65 |
| Wallerfing_P4 | 4.30 * | 1.80 * | 7.12 | 3.32 | 2.15 * | 1.80 * | 2.54 | 1.56 | 0.81 * | 0.86 * | 0.72 | 0.65 |
| Wallerfing_P6 | 8.72 * | 2.03 * | 11.26 | 2.92 | 2.10 * | 2.03 * | 2.63 | 1.57 | 0.81 * | 0.81 * | 0.63 | 0.65 |
| Mean | 4.66 * | 2.85 * | 5.99 | 4.01 | 3.45 * | 2.84 * | 4.05 | 3.12 | 0.60 | 0.72 * | 0.60 | 0.49 |
| Standard dev. | 2.47 | 1.27 * | 2.36 | 0.77 | 2.01 | 1.27 * | 1.30 | 1.02 | 0.18 | 0.13 | 0.13 | 0.12 |
| Run | RMSD [Vol%] | ubRMSD [Vol%] | R |
|---|---|---|---|
| Overall Calibration | mean: 4.65 stdev: 2.37 | mean: 3.37 stdev: 1.93 | mean: 0.61 stdev: 0.15 |
| Avg. of Cross-Validation | mean: 4.72 stdev: 2.29 | mean: 3.38 stdev: 1.93 | mean: 0.61 stdev: 0.16 |
| Run I: Validation Set | mean: 4.48 stdev: 2.13 | mean: 2.59 stdev: 1.28 | mean: 0.66 stdev: 0.12 |
| Run II: Validation Set | mean: 4.99 stdev: 2.43 | mean: 4.25 stdev: 2.13 | mean: 0.55 stdev: 0.17 |
Publisher’s Note: MDPI stays neutral with regard to jurisdictional claims in published maps and institutional affiliations. |
© 2021 by the authors. Licensee MDPI, Basel, Switzerland. This article is an open access article distributed under the terms and conditions of the Creative Commons Attribution (CC BY) license (https://creativecommons.org/licenses/by/4.0/).
Share and Cite
Ramsauer, T.; Weiß, T.; Löw, A.; Marzahn, P. RADOLAN_API: An Hourly Soil Moisture Data Set Based on Weather Radar, Soil Properties and Reanalysis Temperature Data. Remote Sens. 2021, 13, 1712. https://doi.org/10.3390/rs13091712
Ramsauer T, Weiß T, Löw A, Marzahn P. RADOLAN_API: An Hourly Soil Moisture Data Set Based on Weather Radar, Soil Properties and Reanalysis Temperature Data. Remote Sensing. 2021; 13(9):1712. https://doi.org/10.3390/rs13091712
Chicago/Turabian StyleRamsauer, Thomas, Thomas Weiß, Alexander Löw, and Philip Marzahn. 2021. "RADOLAN_API: An Hourly Soil Moisture Data Set Based on Weather Radar, Soil Properties and Reanalysis Temperature Data" Remote Sensing 13, no. 9: 1712. https://doi.org/10.3390/rs13091712
APA StyleRamsauer, T., Weiß, T., Löw, A., & Marzahn, P. (2021). RADOLAN_API: An Hourly Soil Moisture Data Set Based on Weather Radar, Soil Properties and Reanalysis Temperature Data. Remote Sensing, 13(9), 1712. https://doi.org/10.3390/rs13091712

