Potential of Sentinel-2 Satellite Images for Monitoring Green Waste Compost and Manure Amendments in Temperate Cropland
Abstract
1. Introduction
2. Materials and Methods
2.1. Satellite Image Reflectance Spectra
2.2. Study Site Description
2.3. Spectral Indices for EOM Detection
2.4. Field Reflectance Experiment
2.5. Analysis of Field Reflectance Spectra and of Temporal Indices Profiles
3. Results
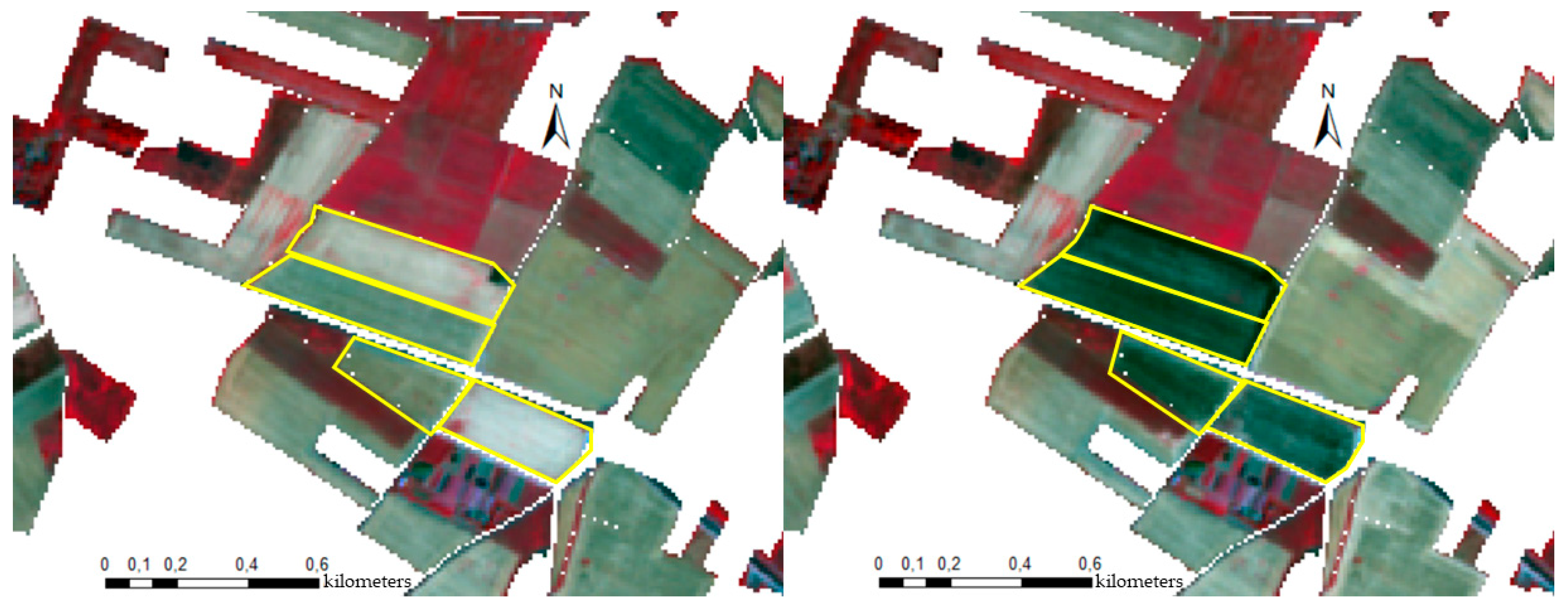
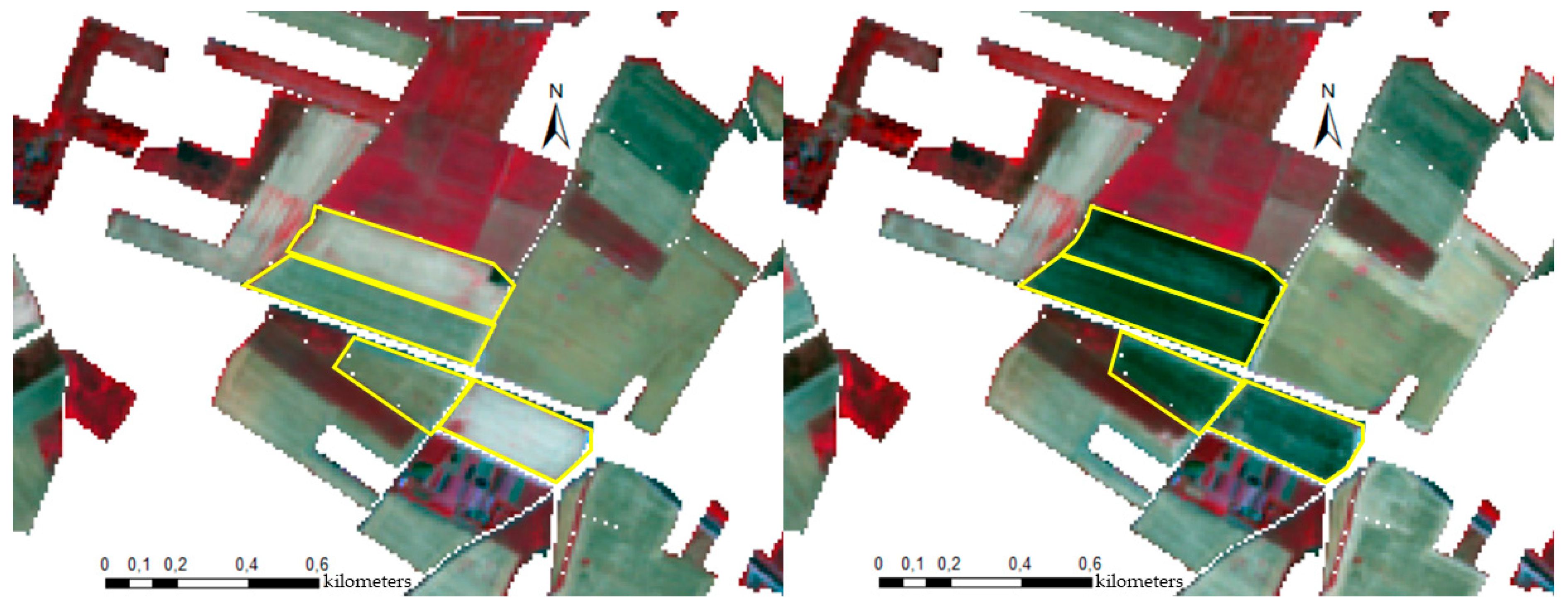
3.1. Analysis from Sentinel-2 Images the Days before and after
3.2. Analysis of Field Spectra before and after EOM Spreading over the First Three Days of Experiment
3.3. Analysis of Spectral Changes in the Field Experiment over the 38 Days Period
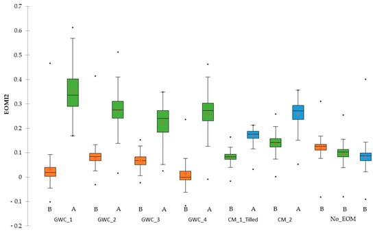
3.4. Multi-Indices Grouping of the EOMs According to Type, Rate, Tillage
4. Discussion
4.1. A Promising Tool to Monitor EOM Amendment Practices
4.2. Remaining Issues for Tracking the Application of Exogenous Organic Matter
5. Conclusions
Author Contributions
Funding
Informed Consent Statement
Data Availability Statement
Acknowledgments
Conflicts of Interest
References
- Moinard, V.; Levavasseur, F.; Houot, S. Current and potential recycling of exogenous organic matter as fertilizers and amendments in a French peri-urban territory. Resour. Conserv. Recycl. 2021, 169, 105523. [Google Scholar] [CrossRef]
- Obriot, F.; Stauffer, M.; Goubard, Y.; Cheviron, N.; Peres, G.; Eden, M.; Revallier, A.; Vieublé-Gonod, L.; Houot, S. Multi-criteria indices to evaluate the effects of repeated organic amendment applications on soil and crop quality. Agric. Ecosyst. Environ. 2016, 232, 165–178. [Google Scholar] [CrossRef]
- Maillard, É.; Angers, D.A. Animal manure application and soil organic carbon stocks: A meta-analysis. Glob. Chang. Biol. 2014, 20, 666–679. [Google Scholar] [CrossRef]
- Rodrigo-Comino, J.; López-Vicente, M.; Kumar, V.; Rodríguez-Seijo, A.; Valkó, O.; Rojas, C.; Pourghasemi, H.R.; Salvati, L.; Bakr, N.; Vaudour, E.; et al. Soil Science Challenges in a New Era: A Transdisciplinary Overview of Relevant Topics. Air Soil Water Res. 2020, 13, 1178622120977491. [Google Scholar] [CrossRef]
- Chabbi, A.; Lehmann, J.; Ciais, P.; Loescher, H.W.; Cotrufo, M.F.; Don, A.; San-Clements, M.; Schipper, L.; Six, J.; Smith, P.; et al. Aligning agriculture and climate policy. Nat. Clim. Chang. 2017, 7, 307–309. [Google Scholar] [CrossRef]
- Soussana, J.-F.; Lutfalla, S.; Ehrhardt, F.; Rosenstock, T.; Lamanna, C.; Havlík, P.; Richards, M.; (Lini) Wollenberg, E.; Chotte, J.-L.; Torquebiau, E.; et al. Matching policy and science: Rationale for the ‘4 per 1000—Soils for food security and climate’ initiative. Soil Tillage Res. 2019, 188, 3–15. [Google Scholar] [CrossRef]
- Houot, S.; Pons, M.N.; Pradel, M.; Caillaud, M.A.; Savini, I.; Tibi, A. Valorisation Des Matières Fertilisantes d’origine Résiduaire Sur Les Sols à Usage Agricole Ou Forestier. Impacts Agronomiques, Environnementaux, Socio-Économiques. Expertise Scientifique Collective; INRA-CNRS-Irstea: Paris, France, 2014. [Google Scholar]
- ADEME Pays de la Loire. Matières Fertilisantes Organiques: Gestion et Épandage. In Clés Pour Agir; ADEME PAYS-DE-LA-LOIRE: Nantes, France, 2018; 14p, ISBN 979-10-297-0984-5. [Google Scholar]
- Tang, H.; Qiu, J.; van Ranst, E.; Li, C. Estimations of soil organic carbon storage in cropland of China based on DNDC model. Geoderma 2006, 134, 200–206. [Google Scholar] [CrossRef]
- Duretz, S.; Drouet, J.; Durand, P.; Hutchings, N.; Theobald, M.; Salmon-Monviola, J.; Dragosits, U.; Maury, O.; Sutton, M.; Cellier, P. NitroScape: A model to integrate nitrogen transfers and transformations in rural landscapes. Environ. Pollut. 2011, 159, 3162–3170. [Google Scholar] [CrossRef]
- Ben-Dor, E. The reflectance spectra of organic matter in the visible near-infrared and short wave infrared region (400–2500 nm) during a controlled decomposition process. Remote Sens. Environ. 1997, 61, 1–15. [Google Scholar] [CrossRef]
- Malley, D.F.; Yesmin, L.; Eilers, R.G. Rapid Analysis of Hog Manure and Manure-amended Soils Using Near-infrared Spectroscopy. Soil Sci. Soc. Am. J. 2002, 66, 1677–1686. [Google Scholar] [CrossRef]
- Malley, D.F.; Martin, P.D. The use of near-infrared spectroscopy for soil analysis. In Tools for Nutrient and Pollutant Management: Application to Agriculture and Environmental Quality, Occasional Report No. 17. Fertilizer and Lime ResearchCentre, Massey University, Palmerston North, New Zealand, December 2003; Currie, L.D., Hanly, J.A., Eds.; Winnipeg, MB, Canada, 2003; pp. 371–404. Available online: http://tur-www1.massey.ac.nz/~flrc/workshops/03dec/Abstract%20Malley.pdf (accessed on 1 January 2021).
- Réveillé, V.; Mansuy, L.; Jardé, E.; Garnier-Sillam, É. Characterisation of sewage sludge-derived organic matter: Lipids and humic acids. Org. Geochem. 2003, 34, 615–627. [Google Scholar] [CrossRef]
- Lashermes, G.; Nicolardot, B.; Parnaudeau, V.; Thuriès, L.; Chaussod, R.; Guillotin, M.L.; Lineres, M.; Mary, B.; Metzger, L.; Morvan, T.; et al. Indicator of potential residual carbon in soils after exogenous organic matter application. Eur. J. Soil Sci. 2009, 60, 297–310. [Google Scholar] [CrossRef]
- Jouraiphy, A.; Amir, S.; el Gharous, M.; Revel, J.C.; Hafidi, M. Chemical and spectroscopic analysis of organic matter trans-formation during composting of sewage sludge and green plant waste. Int. Biodeterior. Biodegrad. 2005, 56, 101–108. [Google Scholar] [CrossRef]
- Ben-Dor, E. Quantitative remote sensing of soil properties. In Advances in Agronomy; Elsevier BV: Amsterdam, The Netherlands, 2002; Volume 75, pp. 173–243. [Google Scholar]
- Vergnoux, A.; Guiliano, M.; le Dréau, Y.; Kister, J.; Dupuy, N.; Doumenq, P. Monitoring of the evolution of an industrial compost and prediction of some compost properties by NIR spectroscopy. Sci. Total Environ. 2009, 407, 2390–2403. [Google Scholar] [CrossRef] [PubMed]
- Ogen, Y.; Neumann, C.; Chabrillat, S.; Goldshleger, N.; Ben-Dor, E. Evaluating the detection limit of organic matter using point and imaging spectroscopy. Geoderma 2018, 321, 100–109. [Google Scholar] [CrossRef]
- Barthès, B.G.; Chotte, J. Infrared spectroscopy approaches support soil organic carbon estimations to evaluate land degradation. Land Degrad. Dev. 2021, 32, 310–322. [Google Scholar] [CrossRef]
- Gholizadeh, A.; Žižala, D.; Saberioon, M.; Borůvka, L. Soil organic carbon and texture retrieving and mapping using proximal, airborne and Sentinel-2 spectral imaging. Remote Sens. Environ. 2018, 218, 89–103. [Google Scholar] [CrossRef]
- Castaldi, F.; Hueni, A.; Chabrillat, S.; Ward, K.; Buttafuoco, G.; Bomans, B.; Vreys, K.; Brell, M.; van Wesemael, B. Evaluating the capability of the Sentinel 2 data for soil organic carbon prediction in croplands. ISPRS J. Photogramm. Remote Sens. 2019, 147, 267–282. [Google Scholar] [CrossRef]
- Castaldi, F.; Chabrillat, S.; Don, A.; van Wesemael, B. Soil Organic Carbon Mapping Using LUCAS Topsoil Database and Sentinel-2 Data: An Approach to Reduce Soil Moisture and Crop Residue Effects. Remote Sens. 2019, 11, 2121. [Google Scholar] [CrossRef]
- Vaudour, E.; Gomez, C.; Fouad, Y.; Lagacherie, P. Sentinel-2 image capacities to predict common topsoil properties of temperate and Mediterranean agroecosystems. Remote Sens. Environ. 2019, 223, 21–33. [Google Scholar] [CrossRef]
- Vaudour, E.; Gomez, C.; Loiseau, T.; Baghdadi, N.; Loubet, B.; Arrouays, D.; Ali, L.; Lagacherie, P. The Impact of Acquisition Date on the Prediction Performance of Topsoil Organic Carbon from Sentinel-2 for Croplands. Remote Sens. 2019, 11, 2143. [Google Scholar] [CrossRef]
- Vaudour, E.; Gomez, C.; Lagacherie, P.; Loiseau, T.; Baghdadi, N.; Urbina-Salazar, D.; Loubet, B.; Arrouays, D. Temporal mosaicking approaches of Sentinel-2 images for extending topsoil organic carbon content mapping in croplands. Int. J. Appl. Earth Obs. Geoinf. 2021, 96, 102277. [Google Scholar] [CrossRef]
- Žížala, D.; Minařík, R.; Zádorová, T. Soil Organic Carbon Mapping Using Multispectral Remote Sensing Data: Prediction Ability of Data with Different Spatial and Spectral Resolutions. Remote Sens. 2019, 11, 2947. [Google Scholar] [CrossRef]
- McNairn, H.; Protz, R. Mapping Corn Residue Cover on Agricultural Fields in Oxford County, Ontario, Using Thematic Mapper. Can. J. Remote Sens. 1993, 19, 152–159. [Google Scholar] [CrossRef]
- Qi, J.; Marsett, R.; Heilman, P.; Bieden-Bender, S.; Moran, S.; Goodrich, D.C.; Weltz, M. RANGES improves satellite-based information and land cover assessments in southwest United States. Eos 2002, 83, 601–606. [Google Scholar] [CrossRef]
- Gelder, B.K.; Kaleita, A.L.; Cruse, R.M. Estimating Mean Field Residue Cover on Midwestern Soils Using Satellite Imagery. Agron. J. 2009, 101, 635–643. [Google Scholar] [CrossRef]
- Van Deventer, A.P.; Ward, A.D.; Gowda, P.H.; Lyon, G.J. Using Thematic Mapper data to identify contrasting soil plains and tillage practices. Photogramm. Eng. Remote Sens. 1997, 63, 87–93. [Google Scholar]
- Demattê, J.A.M.; Fongaro, C.T.; Rizzo, R.; Safanelli, J.L. Geospatial Soil Sensing System (GEOS3): A powerful data mining procedure to retrieve soil spectral reflectance from satellite images. Remote Sens. Environ. 2018, 212, 161–175. [Google Scholar] [CrossRef]
- THEIA-LAND—Données et Services Pour les Surfaces Continentales. Available online: https://www.theia-land.fr/ (accessed on 16 April 2021).
- Baetens, L.; Desjardins, C.; Hagolle, O. Validation of Copernicus Sentinel-2 Cloud Masks Obtained from MAJA, Sen2Cor, and FMask Processors Using Reference Cloud Masks Generated with a Supervised Active Learning Procedure. Remote Sens. 2019, 11, 433. [Google Scholar] [CrossRef]
- Levavasseur, F.; Martin, P.; Bouty, C.; Barbottin, A.; Bretagnolle, V.; Thérond, O.; Scheurer, O.; Piskiewicz, N. RPG Explorer: A new tool to ease the analysis of agricultural landscape dynamics with the Land Parcel Identification System. Comput. Electron. Agric. 2016, 127, 541–552. [Google Scholar] [CrossRef]
- Crahet, M. Soil Map of the Versailles Plain. Scale 1:50 000; Internal Report; Institut National Agronomique Paris-Grignon, Grignon: Paris, France, 1992. [Google Scholar]
- World Reference Base (WRB). World Reference Base for Soil Resources. A Framework for International Classification, Correlation and Communication; Food and Agriculture Organization of the United Nations: Rome, Italy, 2014; p. 128. [Google Scholar]
- Houot, S.; Chaussod, R. Impact of agricultural practices on the size and activity of the microbial biomass in a long-term field experiment. Biol. Fertil. Soils 1995, 19, 309–316. [Google Scholar] [CrossRef]
- Baize, D.; Bourgeois, S. Estimation des apports agricoles et des retombées atmosphériques en éléments en traces et majeurs grâce à un essai de longue durée. Etude Gest. Sols 2005, 16, 9–23. [Google Scholar]
- Frazier, B.E.; Cheng, Y. Remote sensing of soils in the eastern Palouse region with Landsat Thematic Mapper. Remote Sens. Environ. 1989, 28, 317–325. [Google Scholar] [CrossRef]
- Vaudour, E.; Gilliot, J.; Bel, L.; Bréchet, L.; Hamiache, J.; Hadjar, D.; Lemonnier, Y. Uncertainty of soil reflectance retrieval from SPOT and Rapid Eye multispectral satellite images using a per-pixel bootstrapped empirical line atmospheric correction over an agricultural region. Int. J. Appl. Earth Obs. Geoinf. 2014, 26, 217–234. [Google Scholar] [CrossRef]
- Ward, J.H. Hierarchical Grouping to Optimize an Objective Function. J. Am. Stat. Assoc. 1963, 58, 236–244. [Google Scholar] [CrossRef]
- Vaudour, E.; Bel, L.; Gilliot, J.M.; Coquet, Y.; Hadjar, D.; Cambier, P.; Michelin, J.; Houot, S. Potential of SPOT Multispectral Satellite Images for Mapping Topsoil Organic Carbon Content over Peri-Urban Croplands. Soil Sci. Soc. Am. J. 2013, 77, 2122–2139. [Google Scholar] [CrossRef]
- Vaudour, E.; Baghdadi, N.; Gilliot, J.-M. Mapping tillage operations over a peri-urban region using combined SPOT4 and ASAR/ENVISAT images. Int. J. Appl. Earth Obs. Geoinf. 2014, 28, 43–59. [Google Scholar] [CrossRef]
- Zaouche, M.; Bel, L.; Vaudour, E. Geostatistical mapping of topsoil organic carbon and uncertainty assessment in Western Paris croplands (France). Geoderma Reg. 2017, 10, 126–137. [Google Scholar] [CrossRef]









| Acquisition Date | Satellite | % Cloud Cover | Rainfall Day of Acquisition (mm) | Cumulative Rainfall 3 Days before Acquisition (mm) | Cumulative Rainfall 7 Days before Acquisition (mm) |
|---|---|---|---|---|---|
| 25 July 2018 | S2A | 1 | 0 | 0 | 1 |
| 2 August 2018 | S2B | 0 | 0 | 0 | 1.5 |
| 4 August 2018 | S2A | 13 | 0 | 0 | 0 |
| Field ID | EOM Variety | Application Date | Application Rate (t.ha−1) | Field Area (ha) | Number of Pixels |
|---|---|---|---|---|---|
| GWC_1 | Green waste compost | 28 July 2018 | 30 | 9.5 | 945 |
| GWC_2 | Green waste compost | 28 July 2018 | 30 | 8.8 | 885 |
| GWC_ 3 | Green waste compost | 28 July 2018 | 30 | 4.5 | 445 |
| GWC_4 | Green waste compost | 28 July 2018 | 30 | 6.8 | 682 |
| CM_1_Tilled | Cattle manure | 02 August 2018 | 20 | 18.1 | 1774 |
| CM_2 | Cattle manure | 03 August 2018 | 20 | 13.7 | 1381 |
| No_EOM | / | / | / | 25.3 | 2535 |
| EOM Characteristics | Green Waste Compost | Sheep Manure |
|---|---|---|
| DM (% RM) | 67.8 | 38.0 |
| Organic C (g C kg−1 DM) | 307.5 | 395.6 |
| Total N (g N kg−1 DM) | 12.39 | 28.91 |
| Organic C/N ratio | 24.9 | 13.8 |
| Phosphorus (g P2O5 kg−1 DM) | 3.83 | 11.30 |
| Potassium (g K2O kg−1 DM) | 6.93 | 63.08 |
| Iron (g Fe kg−1 DM) | 6.34 | 2.00 |
| Date | 06/23 | 06/24 | 06/25 | 06/26 | 06/27 | 07/01 | 07/02 | 07/09 | 07/14 | 07/25 | 07/30 |
|---|---|---|---|---|---|---|---|---|---|---|---|
| Day after EOM spreading | 0 | 1 | 2 | 3 | 4 | 8 | 9 | 16 | 21 | 32 | 37 |
| Daily rainfall (mm) | 0 | 0 | 0 | 0.2 | 1 | 2.2 | 0.2 | 0.2 | 0.2 | 7 | 0 |
| Cumulative rainfall (mm) | 0 | 0 | 0 | 0.2 | 1.2 | 3.4 | 3.6 | 3.8 | 4 | 11 | 11 |
| Field ID | EOMI1 | EOMI2 | EOMI3 | EOMI4 | NBR2 |
|---|---|---|---|---|---|
| GWC_1 | 7.73 | 10.34 | 8.70 | 7.87 | 1.45 |
| GWC_2 | 4.48 | 6.04 | 5.06 | 4.58 | 0.85 |
| GWC_3 | 2.85 | 3.60 | 3.12 | 2.40 | 0.85 |
| GWC_4 | 5.39 | 6.96 | 5.99 | 5.43 | 1.02 |
| CM_1_Tilled | 1.21 | 3.85 | 2.31 | 0.78 | 3.67 |
| CM_2 | 3.36 | 4.75 | 3.81 | 4.62 | 0.74 |
| Control_field (between 25 July and 2 August) | 0.45 | 1.40 | 0.50 | 1.24 | 0.30 |
| Control_field (between 2 August and 4 August) | 0.54 | 1.44 | 0.69 | 1.42 | 0.33 |
Publisher’s Note: MDPI stays neutral with regard to jurisdictional claims in published maps and institutional affiliations. |
© 2021 by the authors. Licensee MDPI, Basel, Switzerland. This article is an open access article distributed under the terms and conditions of the Creative Commons Attribution (CC BY) license (https://creativecommons.org/licenses/by/4.0/).
Share and Cite
Dodin, M.; Smith, H.D.; Levavasseur, F.; Hadjar, D.; Houot, S.; Vaudour, E. Potential of Sentinel-2 Satellite Images for Monitoring Green Waste Compost and Manure Amendments in Temperate Cropland. Remote Sens. 2021, 13, 1616. https://doi.org/10.3390/rs13091616
Dodin M, Smith HD, Levavasseur F, Hadjar D, Houot S, Vaudour E. Potential of Sentinel-2 Satellite Images for Monitoring Green Waste Compost and Manure Amendments in Temperate Cropland. Remote Sensing. 2021; 13(9):1616. https://doi.org/10.3390/rs13091616
Chicago/Turabian StyleDodin, Maxence, Hunter D. Smith, Florent Levavasseur, Dalila Hadjar, Sabine Houot, and Emmanuelle Vaudour. 2021. "Potential of Sentinel-2 Satellite Images for Monitoring Green Waste Compost and Manure Amendments in Temperate Cropland" Remote Sensing 13, no. 9: 1616. https://doi.org/10.3390/rs13091616
APA StyleDodin, M., Smith, H. D., Levavasseur, F., Hadjar, D., Houot, S., & Vaudour, E. (2021). Potential of Sentinel-2 Satellite Images for Monitoring Green Waste Compost and Manure Amendments in Temperate Cropland. Remote Sensing, 13(9), 1616. https://doi.org/10.3390/rs13091616

