How Can We Realize Sustainable Development Goals in Rocky Desertified Regions by Enhancing Crop Yield with Reduction of Environmental Risks?
Abstract
1. Introduction
2. Data and Method
2.1. Study Region
2.2. Dataset
2.3. Calculation of Yield Gap
2.3.1. SOFM
- (1)
- Initializing each weight with a group of random numbers at the beginning;
- (2)
- Selecting the best matching unit. This step is also regarded as a competing process. The weight vector, which has the minimum Euclidean distance (calculated as below), with sample x (randomly selected), is the winning unit:
- (3)
- Updating the weight until it meets the terminal conditions:
2.3.2. Calculation of Yield Gap
- (1)
- For each natural zone, the grid cells were sorted by their yield value, ranked from lowest to highest;
- (2)
- The grid cells’ respective harvested areas were accumulated into a histogram, then the percentile of 5th and 95th were extracted (Figure 3). The corresponding yield data from these two points were defined as theoretical minimum and maximum yield, indicating the potential yield for crops growing under purely natural conditions and under optimal agricultural management inside each zone. Extraction from the histogram of harvested area, instead of yield, can exclude the grid cells with too large or small cultivated areas that could skew the distribution of yield histogram;
- (3)
- For each grid cell, the crop yield gap was the difference between actual yield per area (AYPA) and potential yield per area (PYPA—referring to the theoretical yield under optimal growth conditions for each crop per area). Additionally, the yield gap of total production (AYPA/PYPA multiplied by corresponding cultivated area) was also calculated (shortened as AY and PA). To provide a better reference for policymakers and other stakeholders, we integrated each cell’s gap into the yield gap for each prefecture in Guizhou Province.
2.4. Ensembled BP (Back Propagation) Artificial Neural Networks
2.4.1. Single BP Network
2.4.2. Evaluating Accuracy of Simulation
2.4.3. Ensemble Approach
2.4.4. Scenario Settings and Convergence Test of Ensembled ANNs
- (1)
- The number (n) of BP ANN was set from 1 to 40, respectively;
- (2)
- For each number of n, we built ensembled ANNs and ran the simulation 10 times;
- (3)
- After 10 simulations, we evaluated the performance of the ensemble by calculating the value of the defined indicator, correlation coefficient and time cost;
- (4)
- We compared the performance of ensembled ANNs to determine the final n for further simulations.
3. Results
3.1. Simulation of Single BP Network
3.2. Convergence Test for Ensembled Networks
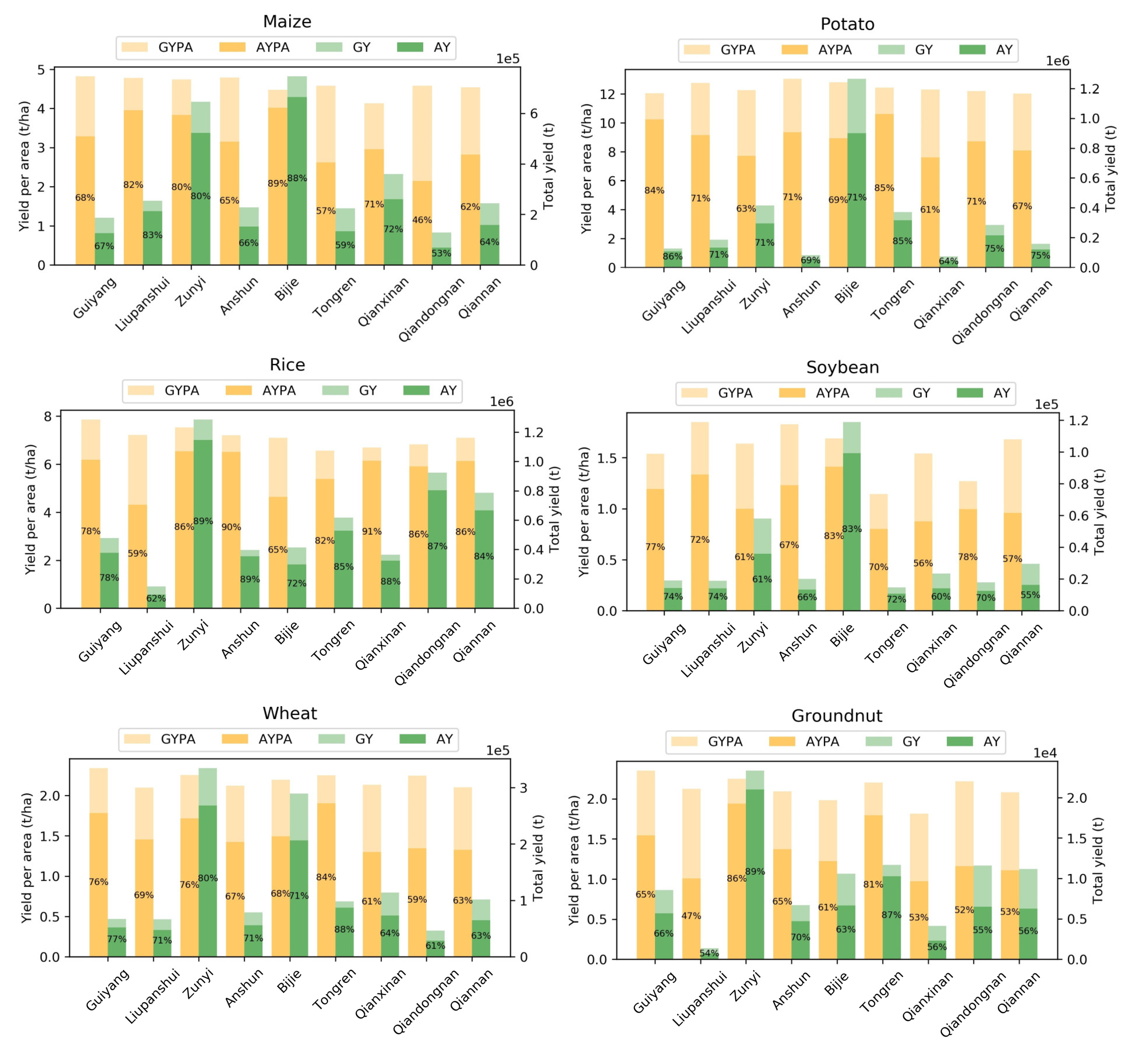
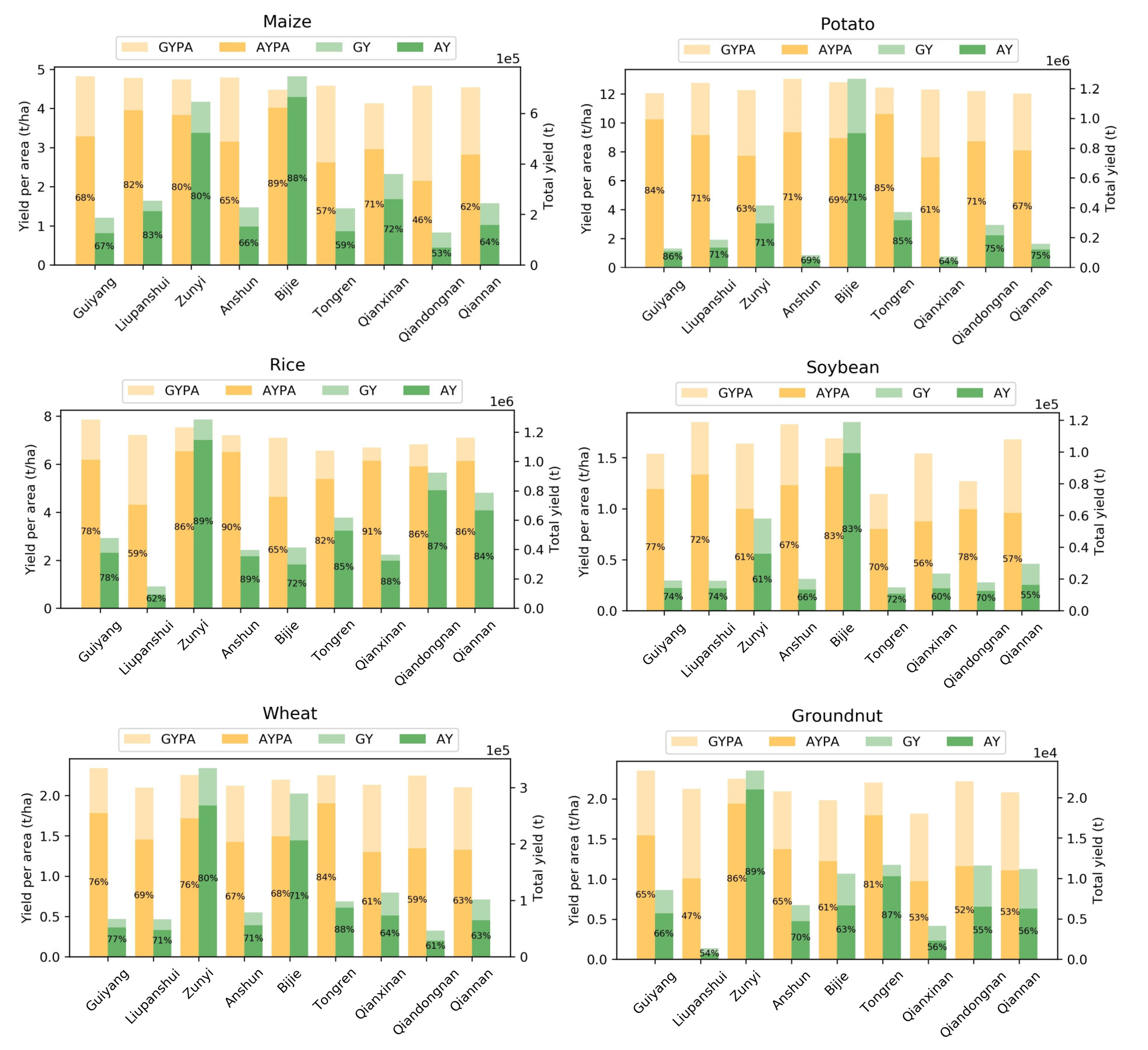
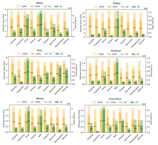
3.3. Yield Gap in Guizhou Province
3.4. Crop Yield and Fertilization Efficiency under Different Scenarios
3.5. Yield Gap Closing
4. Discussion
5. Conclusions
- (1)
- The ensemble of ANNs can improve the robustness of simulation of crop yield by multiple input factors, which is especially beneficial for predictions under different future scenarios;
- (2)
- The selected crops’ total yield has already realized over 60% for each of the theoretical maximum, with an average value of 72.5% in all cases. The yield gap in the study area is still larger than that in most developed countries;
- (3)
- An appropriate increase in irrigation can benefit the crop yield for most Guizhou species, compared with increasing fertilization. Moderate reduction of fertilizer in this region may increase some crop production and enhance local fertilization efficiency. Combing the management strategies of increasing fertilization and irrigation was beneficial for increasing the yield of potato and soybean, but this approach has a limited effect on the existing yield gap for most other crops in Guizhou Province.
Author Contributions
Funding
Institutional Review Board Statement
Informed Consent Statement
Data Availability Statement
Conflicts of Interest
Appendix A







References
- World Health Organization. Health in 2015: From MDGs, Millennium Development Goals to SDGs, Sustainable Development Goals; World Health Organization: Geneva, Switzerland, 2015. [Google Scholar]
- Dhahri, S.; Omri, A. Foreign capital towards SDGs 1 & 2—Ending Poverty and hunger: The role of agricultural production. Struct. Change Econ. Dyn. 2020, 53, 208–221. [Google Scholar]
- McNeill, D. The contested discourse of sustainable agriculture. Glob. Policy 2019, 10, 16–27. [Google Scholar] [CrossRef]
- Li, J.; Pu, L.; Han, M.; Zhu, M.; Zhang, R.; Xiang, Y. Soil salinization research in China: Advances and prospects. J. Geogr. Sci. 2014, 24, 943–960. [Google Scholar] [CrossRef]
- Huang, J.; Xu, C.-C.; Ridoutt, B.G.; Wang, X.-C.; Ren, P.-A. Nitrogen and phosphorus losses and eutrophication potential associated with fertilizer application to cropland in China. J. Clean. Prod. 2017, 159, 171–179. [Google Scholar] [CrossRef]
- Wang, Y.; Lu, Y.; He, G.; Wang, C.; Yuan, J.; Cao, X. Spatial variability of sustainable development goals in China: A provincial level evaluation. Environ. Dev. 2020, 35, 100483. [Google Scholar] [CrossRef]
- Wang, S.J.; Liu, Q.M.; Zhang, D.F. Karst rocky desertification in southwestern China: Geomorphology, landuse, impact and rehabilitation. Land Degrad. Dev. 2004, 15, 115–121. [Google Scholar] [CrossRef]
- Zhang, Z.-H.; Hu, G.; Ni, J. Effects of topographical and edaphic factors on the distribution of plant communities in two subtropical karst forests, southwestern China. J. Mt. Sci. 2013, 10, 95–104. [Google Scholar] [CrossRef]
- Zhang, Z.H.; Hu, G.; Zhu, J.D.; Luo, D.H.; Ni, J. Spatial patterns and interspecific associations of dominant tree species in two old-growth karst forests, SW China. Ecol. Res. 2010, 25, 1151–1160. [Google Scholar] [CrossRef]
- Zhang, W.; Chen, H.-S.; Wang, K.-L.; Su, Y.-R.; Zhang, J.-G.; Yi, A.-J. The heterogeneity and its influencing factors of soil nutrients in peak-cluster depression areas of karst region. Agric. Sci. China 2007, 6, 322–329. [Google Scholar] [CrossRef]
- He, C.; Xiong, K.; Li, X.; Cheng, X. Karst geomorphology and its agricultural implications in Guizhou, China. In Proceedings of the Fourth International Conference on Geomorphology, Bologna, Italy, 28 August–3 September 1997. [Google Scholar]
- Song, X.; Gao, Y.; Green, S.M.; Dungait, J.A.J.; Peng, T.; Quine, T.A.; Xiong, B.; Wen, X.; He, N. Nitrogen loss from karst area in China in recent 50 years: An in-situ simulated rainfall experiment’s assessment. Ecol. Evol. 2017, 7, 10131–10142. [Google Scholar] [CrossRef] [PubMed]
- Tong, X.; Brandt, M.; Yue, Y.; Horion, S.; Wang, K.; De Keersmaecker, W.; Tian, F.; Schurgers, G.; Xiao, X.; Luo, Y. Increased vegetation growth and carbon stock in China karst via ecological engineering. Nat. Sustain. 2018, 1, 44–50. [Google Scholar] [CrossRef]
- Bai, G.-X.; Zhao, Z.; Qiu, H.-B. Studies on the germplasm resource diversity of drought-resistant maize in Guizhou. Agric. Res. Arid Areas 2007, 25, 1–4. [Google Scholar]
- NBSC (National Bureau of Statistics of China). Statistical Yearbook of China; Chinese Statistics Press: Beijing, China, 2016. (In Chinese)
- Zheng, Y.; Naylor, L.A.; Waldron, S.; Oliver, D.M. Knowledge management across the environment-policy interface in China: What knowledge is exchanged, why, and how is this undertaken? Environ. Sci. Policy 2019, 92, 66–75. [Google Scholar] [CrossRef]
- Green, S.M.; Dungait, J.A.; Tu, C.; Buss, H.L.; Sanderson, N.; Hawkes, S.J.; Xing, K.; Yue, F.; Hussey, V.L.; Peng, J. Soil functions and ecosystem services research in the Chinese karst Critical Zone. Chem. Geol. 2019, 527, 119107. [Google Scholar] [CrossRef]
- Gutiérrez Rodríguez, L.; Hogarth, N.J.; Zhou, W.; Xie, C.; Zhang, K.; Putzel, L. China’s conversion of cropland to forest program: A systematic review of the environmental and socioeconomic effects. Environ. Evid. 2016, 5, 1–22. [Google Scholar] [CrossRef]
- Zabel, F.; Delzeit, R.; Schneider, J.M.; Seppelt, R.; Václavík, T. Global impacts of future cropland expansion and intensification on agricultural markets and biodiversity. Nat. Commun. 2019, 10, 2844. [Google Scholar] [CrossRef]
- Song, X.; Peng, C.; Zhou, G.; Jiang, H.; Wang, W. Chinese Grain for Green Program led to highly increased soil organic carbon levels: A meta-analysis. Sci. Rep. 2014, 4, 4460. [Google Scholar] [CrossRef]
- Feng, Z.; Yang, Y.; Zhang, Y.; Zhang, P.; Li, Y. Grain-for-green policy and its impacts on grain supply in West China. Land Use Policy 2005, 22, 301–312. [Google Scholar] [CrossRef]
- Yang, J.; Xu, X.; Liu, M.; Xu, C.; Zhang, Y.; Luo, W.; Zhang, R.; Li, X.; Kiely, G.; Wang, K. Effects of “Grain for Green” program on soil hydrologic functions in karst landscapes, southwestern China. Agric. Ecosyst. Environ. 2017, 247, 120–129. [Google Scholar] [CrossRef]
- Delang, C.O.; Yuan, Z. China’s Grain for Green Program; Springer: Cham, Switzerland, 2016. [Google Scholar]
- Zhang, D.; Min, Q.; Liu, M.; Cheng, S. Ecosystem service tradeoff between traditional and modern agriculture: A case study in Congjiang County, Guizhou Province, China. Front. Environ. Sci. Eng. 2012, 6, 743–752. [Google Scholar] [CrossRef]
- Khan, S.; Anwar, S.; Kuai, J.; Ullah, S.; Fahad, S.; Zhou, G. Optimization of Nitrogen Rate and Planting Density for Improving Yield, Nitrogen Use Efficiency, and Lodging Resistance in Oilseed Rape. Front. Plant Sci. 2017, 8, 532. [Google Scholar] [CrossRef] [PubMed]
- Mahajan, G.; Chauhan, B.S.; Timsina, J.; Singh, P.P.; Singh, K. Crop performance and water- and nitrogen-use efficiencies in dry-seeded rice in response to irrigation and fertilizer amounts in northwest India. Field Crops Res. 2012, 134, 59–70. [Google Scholar] [CrossRef]
- Chen, Z.; Liu, X.; Niu, J.; Zhou, W.; Zhao, T.; Jiang, W.; Cui, J.; Kallenbach, R.; Wang, Q. Optimizing irrigation and nitrogen fertilization for seed yield in western wheatgrass [Pascopyrum smithii (Rydb.) Á. Löve] using a large multi-factorial field design. PLoS ONE 2019, 14, e0218599. [Google Scholar] [CrossRef] [PubMed]
- Luo, Y.; Wang, H. Modeling the impacts of agricultural management strategies on crop yields and sediment yields using APEX in Guizhou Plateau, southwest China. Agric. Water Manag. 2019, 216, 325–338. [Google Scholar] [CrossRef]
- Ray, D.K.; Ramankutty, N.; Mueller, N.D.; West, P.C.; Foley, J.A. Recent patterns of crop yield growth and stagnation. Nat. Commun. 2012, 3, 1–7. [Google Scholar] [CrossRef]
- Oliver, D.M.; Zheng, Y.; Naylor, L.A.; Murtagh, M.; Waldron, S.; Peng, T. How does smallholder farming practice and environmental awareness vary across village communities in the karst terrain of southwest China? Agric. Ecosyst. Environ. 2020, 288, 106715. [Google Scholar] [CrossRef]
- Panda, S.S.; Ames, D.P.; Panigrahi, S. Application of vegetation indices for agricultural crop yield prediction using neural network techniques. Remote Sens. 2010, 2, 673–696. [Google Scholar] [CrossRef]
- Lobell, D.B. The use of satellite data for crop yield gap analysis. Field Crops Res. 2013, 143, 56–64. [Google Scholar] [CrossRef]
- Van Ittersum, M.K.; Cassman, K.G.; Grassini, P.; Wolf, J.; Tittonell, P.; Hochman, Z. Yield gap analysis with local to global relevance—A review. Field Crops Res. 2013, 143, 4–17. [Google Scholar] [CrossRef]
- Lobell, D.B.; Cassman, K.G.; Field, C.B. Crop yield gaps: Their importance, magnitudes, and causes. Annu. Rev. Environ. Res. 2009, 34, 179–204. [Google Scholar] [CrossRef]
- Rötter, R.P.; Carter, T.R.; Olesen, J.E.; Porter, J.R. Crop–climate models need an overhaul. Nat. Clim. Change 2011, 1, 175–177. [Google Scholar] [CrossRef]
- Eitzinger, J.; Štastná, M.; Žalud, Z.; Dubrovský, M. A simulation study of the effect of soil water balance and water stress on winter wheat production under different climate change scenarios. Agric. Water Manag. 2003, 61, 195–217. [Google Scholar] [CrossRef]
- Dai, X.; Huo, Z.; Wang, H. Simulation for response of crop yield to soil moisture and salinity with artificial neural network. Field Crop. Res. 2011, 121, 441–449. [Google Scholar] [CrossRef]
- Wu, B.; Gommes, R.; Zhang, M.; Zeng, H.; Yan, N.; Zou, W.; Zheng, Y.; Zhang, N.; Chang, S.; Xing, Q. Global crop monitoring: A satellite-based hierarchical approach. Remote Sens. 2015, 7, 3907–3933. [Google Scholar] [CrossRef]
- Prasad, A.K.; Chai, L.; Singh, R.P.; Kafatos, M. Crop yield estimation model for Iowa using remote sensing and surface parameters. Int. J. Appl. Earth Observ. Geoinf. 2006, 8, 26–33. [Google Scholar] [CrossRef]
- Jiang, Z.; Liu, H.; Wang, H.; Peng, J.; Meersmans, J.; Green, S.M.; Quine, T.A.; Wu, X.; Song, Z. Bedrock geochemistry influences vegetation growth by regulating the regolith water holding capacity. Nat. Commun. 2020, 11, 1–9. [Google Scholar] [CrossRef] [PubMed]
- Zhang, Z.; Chen, X.; Ghadouani, A.; Shi, P. Modelling hydrological processes influenced by soil, rock and vegetation in a small karst basin of southwest China. Hydrol. Process. 2011, 25, 2456–2470. [Google Scholar] [CrossRef]
- Folberth, C.; Skalský, R.; Moltchanova, E.; Balkovič, J.; Azevedo, L.B.; Obersteiner, M.; Van Der Velde, M. Uncertainty in soil data can outweigh climate impact signals in global crop yield simulations. Nat. Commun. 2016, 7, 1–13. [Google Scholar] [CrossRef]
- Kumar, P.; Le, P.V.; Papanicolaou, A.T.; Rhoads, B.L.; Anders, A.M.; Stumpf, A.; Wilson, C.G.; Bettis III, E.A.; Blair, N.; Ward, A.S. Critical transition in critical zone of intensively managed landscapes. Anthropocene 2018, 22, 10–19. [Google Scholar] [CrossRef]
- Richardson, M.; Kumar, P. Critical Zone services as environmental assessment criteria in intensively managed landscapes. Earth’s Future 2017, 5, 617–632. [Google Scholar] [CrossRef]
- Kaul, M.; Hill, R.L.; Walthall, C. Artificial neural networks for corn and soybean yield prediction. Agric. Syst. 2005, 85, 1–18. [Google Scholar] [CrossRef]
- Chlingaryan, A.; Sukkarieh, S.; Whelan, B. Machine learning approaches for crop yield prediction and nitrogen status estimation in precision agriculture: A review. Comput. Electron. Agric. 2018, 151, 61–69. [Google Scholar] [CrossRef]
- Everingham, Y.; Sexton, J.; Skocaj, D.; Inman-Bamber, G. Accurate prediction of sugarcane yield using a random forest algorithm. Agron. Sustain. Dev. 2016, 36, 27. [Google Scholar] [CrossRef]
- Sweeting, M. Reflections on the development of Karst geomorphology in Europe and a comparison with its development in China. Z. Geomoph. 1993, 37, 127–136. [Google Scholar]
- Zhang, Z.; Huang, X.; Zhang, J. Soil thickness and affecting factors in forestland in a karst basin in Southwest China. Trop. Ecol. 2020, 61, 267–277. [Google Scholar] [CrossRef]
- Huang, Q.-H.; Cai, Y.-L. Spatial pattern of Karst rock desertification in the Middle of Guizhou Province, Southwestern China. Environ. Geol. 2007, 52, 1325–1330. [Google Scholar] [CrossRef]
- Chen, X.H. Change of Soil Nutrient Content and the Fertilization in Guizhou. Guizhou Agric. Sci. 2005, 7, 121–128. [Google Scholar]
- Licker, R.; Johnston, M.; Foley, J.A.; Barford, C.; Kucharik, C.J.; Monfreda, C.; Ramankutty, N. Mind the gap: How do climate and agricultural management explain the ‘yield gap’ of croplands around the world? Glob. Ecol. Biogeogr. 2010, 19, 769–782. [Google Scholar] [CrossRef]
- Weedon, G.P.; Balsamo, G.; Bellouin, N.; Gomes, S.; Best, M.J.; Viterbo, P. The WFDEI meteorological forcing data set: WATCH Forcing Data methodology applied to ERA-Interim reanalysis data. Water Resour. Res. 2014, 50, 7505–7514. [Google Scholar] [CrossRef]
- Ren, S.; Chen, X.; Lang, W.; Schwartz, M.D. Climatic controls of the spatial patterns of vegetation phenology in mid-latitude grasslands of the Northern Hemisphere. J. Geophys. Res. Biogeosci. 2018, 123, 2323–2336. [Google Scholar] [CrossRef]
- Carabajal, C.C.; Harding, D.J.; Boy, J.-P.; Danielson, J.J.; Gesch, D.B.; Suchdeo, V.P. Evaluation of the global multi-resolution terrain elevation data 2010 (GMTED2010) using ICESat geodetic control. In Proceedings of the International Symposium on Lidar and Radar Mapping 2011: Technologies and Applications; SPIE Press: Bellingham, WA, USA, 2010; p. 82861Y. [Google Scholar]
- Athmania, D.; Achour, H. External validation of the ASTER GDEM2, GMTED2010 and CGIAR-CSI-SRTM v4. 1 free access digital elevation models (DEMs) in Tunisia and Algeria. Remote Sens. 2014, 6, 4600–4620. [Google Scholar] [CrossRef]
- Batjes, N.H.; Bridges, E. Potential emissions of radiatively active gases from soil to atmosphere with special reference to methane: Development of a global database (WISE). J. Geophys. Res. Atmos. 1994, 99, 16479–16489. [Google Scholar] [CrossRef]
- Shi, X.; Yu, D.; Warner, E.; Pan, X.; Petersen, G.; Gong, Z.; Weindorf, D. Soil database of 1:1,000,000 digital soil survey and reference system of the Chinese genetic soil classification system. Soil Horiz. 2004, 45, 129–136. [Google Scholar] [CrossRef]
- Shi, X.; Yu, D.; Warner, E.D.; Sun, W.; Petersen, G.; Gong, Z.; Lin, H. Cross-reference system for translating between genetic soil classification of China and soil taxonomy. Soil Sci. Soc. Am. J. 2006, 70, 78–83. [Google Scholar] [CrossRef]
- Huang, J.; van den Dool, H.M.; Georgarakos, K.P. Analysis of model-calculated soil moisture over the United States (1931–1993) and applications to long-range temperature forecasts. J. Clim. 1996, 9, 1350–1362. [Google Scholar] [CrossRef]
- Van den Dool, H.; Huang, J.; Fan, Y. Performance and analysis of the constructed analogue method applied to US soil moisture over 1981–2001. J. Geophys. Res. Atmos. 2003, 108, D16. [Google Scholar] [CrossRef]
- Neumann, K.; Stehfest, E.; Verburg, P.H.; Siebert, S.; Müller, C.; Veldkamp, T. Exploring global irrigation patterns: A multilevel modelling approach. Agric. Syst. 2011, 104, 703–713. [Google Scholar] [CrossRef]
- Monfreda, C.; Ramankutty, N.; Foley, J.A. Farming the planet: 2. Geographic distribution of crop areas, yields, physiological types, and net primary production in the year 2000. Glob. Biogeochem. Cycles 2008, 22, GB1002. [Google Scholar] [CrossRef]
- Ramankutty, N.; Evan, A.T.; Monfreda, C.; Foley, J.A. Farming the planet: 1. Geographic distribution of global agricultural lands in the year 2000. Glob. Biogeochem. Cycles 2008, 22, GB1003. [Google Scholar] [CrossRef]
- West, P.C.; Gerber, J.S.; Engstrom, P.M.; Mueller, N.D.; Brauman, K.A.; Carlson, K.M.; Cassidy, E.S.; Johnston, M.; MacDonald, G.K.; Ray, D.K. Leverage points for improving global food security and the environment. Science 2014, 345, 325–328. [Google Scholar] [CrossRef] [PubMed]
- Johnston, M.; Licker, R.; Foley, J.; Holloway, T.; Mueller, N.; Barford, C.; Kucharik, C. Closing the gap: Global potential for increasing biofuel production through agricultural intensification. Environ. Res. Lett. 2011, 6, 034028. [Google Scholar] [CrossRef]
- Kohonen, T. Self-organized formation of topologically correct feature maps. Biol. Cybern. 1982, 43, 59–69. [Google Scholar] [CrossRef]
- Kohonen, T.; Honkela, T. Kohonen network. Scholarpedia 2007, 2, 1568. [Google Scholar] [CrossRef]
- Rumelhan, D.; Hinton, G.E.; Williams, R.J. Learning representations by back-propagation errors. Nature 1986, 323, 533436. [Google Scholar]
- Rumelhart, D.E.; Hinton, G.E.; Williams, R.J. Learning Internal Representations by Back-Propagating Errors in Parallel Distributed Processing: Explorations in the Microstructure of Cognition; MIT Press: Cambridge, MA, USA, 1986. [Google Scholar]
- Wu, W.; Feng, G.; Li, Z.; Xu, Y. Deterministic convergence of an online gradient method for BP neural networks. IEEE Trans. Neural Netw. 2005, 16, 533–540. [Google Scholar] [CrossRef] [PubMed]
- Wu, W.; Wang, J.; Cheng, M.; Li, Z. Convergence analysis of online gradient method for BP neural networks. Neural Netw. 2011, 24, 91–98. [Google Scholar] [CrossRef] [PubMed]
- Sharkey, A.J.C. Combining Artificial Neural Nets: Ensemble and Modular Multi-Net Systems; Springer: New York, NY, USA, 1999. [Google Scholar]
- Shu, C.; Burn, D.H. Artificial neural network ensembles and their application in pooled flood frequency analysis. Water Resour. Res. 2004, 40, W09301. [Google Scholar] [CrossRef]
- Ren, J.; Chen, Z.; Zhou, Q.; Tang, H. Regional yield estimation for winter wheat with MODIS-NDVI data in Shandong, China. Int. J. Appl. Earth Observ. Geoinf. 2008, 10, 403–413. [Google Scholar] [CrossRef]
- Li, Y.; Guan, K.; Yu, A.; Peng, B.; Zhao, L.; Li, B.; Peng, J. Toward building a transparent statistical model for improving crop yield prediction: Modeling rainfed corn in the US. Field Crop. Res. 2019, 234, 55–65. [Google Scholar] [CrossRef]
- Leng, G.; Hall, J.W. Predicting spatial and temporal variability in crop yields: An inter-comparison of machine learning, regression and process-based models. Environ. Res. Lett. 2020, 15, 044027. [Google Scholar] [CrossRef] [PubMed]
- Folberth, C.; Khabarov, N.; Balkovič, J.; Skalský, R.; Visconti, P.; Ciais, P.; Janssens, I.A.; Peñuelas, J.; Obersteiner, M. The global cropland-sparing potential of high-yield farming. Nat. Sustain. 2020, 3, 281–289. [Google Scholar] [CrossRef]
- Zhang, X.; Xu, M.; Sun, N.; Xiong, W.; Huang, S.; Wu, L. Modelling and predicting crop yield, soil carbon and nitrogen stocks under climate change scenarios with fertiliser management in the North China Plain. Geoderma 2016, 265, 176–186. [Google Scholar] [CrossRef]
- Avnery, S.; Mauzerall, D.L.; Liu, J.; Horowitz, L.W. Global crop yield reductions due to surface ozone exposure: 2. Year 2030 potential crop production losses and economic damage under two scenarios of O3 pollution. Atmos. Environ. 2011, 45, 2297–2309. [Google Scholar] [CrossRef]
- Van Wart, J.; Kersebaum, K.C.; Peng, S.; Milner, M.; Cassman, K.G. Estimating crop yield potential at regional to national scales. Field Crop. Res. 2013, 143, 34–43. [Google Scholar] [CrossRef]
- Meng, Q.; Hou, P.; Wu, L.; Chen, X.; Cui, Z.; Zhang, F. Understanding production potentials and yield gaps in intensive maize production in China. Field Crop. Res. 2013, 143, 91–97. [Google Scholar] [CrossRef]
- Tong, X.; Wang, K.; Yue, Y.; Brandt, M.; Liu, B.; Zhang, C.; Liao, C.; Fensholt, R. Quantifying the effectiveness of ecological restoration projects on long-term vegetation dynamics in the karst regions of Southwest China. Int. J. Appl. Earth Observ. Geoinf. 2017, 54, 105–113. [Google Scholar] [CrossRef]
- Liu, Z.; Yang, X.; Lin, X.; Hubbard, K.G.; Lv, S.; Wang, J. Maize yield gaps caused by non-controllable, agronomic, and socioeconomic factors in a changing climate of Northeast China. Sci. Total Environ. 2016, 541, 756–764. [Google Scholar] [CrossRef] [PubMed]
- Hertel, T.W.; Ramankutty, N.; Baldos, U.L.C. Global market integration increases likelihood that a future African Green Revolution could increase crop land use and CO2 emissions. Proc. Natl. Acad. Sci. USA 2014, 111, 13799–13804. [Google Scholar] [CrossRef] [PubMed]
- Li, T.; Feng, Y.; Li, X. Predicting crop growth under different cropping and fertilizing management practices. Agric. For. Meteorol. 2009, 149, 985–998. [Google Scholar] [CrossRef]
- Dai, X.; Ouyang, Z.; Li, Y.; Wang, H. Variation in Yield Gap Induced by Nitrogen, Phosphorus and Potassium Fertilizer in North China Plain. PLoS ONE 2013, 8, e82147. [Google Scholar] [CrossRef]
- Yousaf, M.; Li, J.; Lu, J.; Ren, T.; Cong, R.; Fahad, S.; Li, X. Effects of fertilization on crop production and nutrient-supplying capacity under rice-oilseed rape rotation system. Sci. Rep. 2017, 7, 1270. [Google Scholar] [CrossRef]
- Wu, Y.; Xi, X.; Tang, X.; Luo, D.; Gu, B.; Lam, S.K.; Vitousek, P.M.; Chen, D. Policy distortions, farm size, and the overuse of agricultural chemicals in China. Proc. Natl. Acad. Sci. USA 2018, 115, 7010–7015. [Google Scholar] [CrossRef]
- Hatano, R.; Shinano, T.; Taigen, Z.; Okubo, M.; Li, Z. Nitrogen budgets and environmental capacity in farm systems in a large-scale karst region, southern China. Nutr. Cycl. Agroecosyst. 2002, 63, 139–149. [Google Scholar] [CrossRef]
- Lei, H.; Qiao, S.; Pan, H.; Shang, C. Temporal and spatial distribution of agricultural irrigation water requirement and irrigation requirement index in Guizhou Province. Trans. Chin. Soc. Agric. Eng. 2016, 32, 115–121. [Google Scholar]
- Portmann, F.T.; Siebert, S.; Döll, P. MIRCA 2000—Global monthly irrigated and rainfed crop areas around the year 2000: A new high-resolution data set for agricultural and hydrological modeling. Glob. Biogeochem. Cycl. 2010, 24, GB1011. [Google Scholar] [CrossRef]
- Rosa, L.; Chiarelli, D.D.; Sangiorgio, M.; Fung, I. Potential for sustainable irrigation expansion in a 3 °C warmer climate. Proc. Natl. Acad. Sci. USA 2020, 117, 29526–29534. [Google Scholar] [CrossRef]
- Wang, X.; Müller, C.; Elliot, J.; Mueller, N.D.; Ciais, P.; Jägermeyr, J.; Gerber, J.; Dumas, P.; Wang, C.; Yang, H.; et al. Global irrigation contribution to wheat and maize yield. Nat. Commun. 2021, 12, 1235. [Google Scholar] [CrossRef] [PubMed]
- Menardo, F.; Praz, C.R.; Wyder, S.; Ben-David, R.; Bourras, S.; Matsumae, H.; McNally, K.E.; Parlange, F.; Riba, A.; Roffler, S.; et al. Hybridization of powdery mildew strains gives rise to pathogens on novel agricultural crop species. Nat. Genet. 2016, 48, 201–205. [Google Scholar] [CrossRef]
- Taylor, S.A.; Larson, E.L. Insights from genomes into the evolutionary importance and prevalence of hybridization in nature. Nat. Ecol. Evol. 2019, 3, 170–177. [Google Scholar] [CrossRef] [PubMed]
- Mathan, J.; Bhattacharya, J.; Ranjan, A. Enhancing crop yield by optimizing plant developmental features. Development 2016, 143, 3283–3294. [Google Scholar] [CrossRef] [PubMed]
- Kramer, M.A.; Leonard, J.A. Diagnosis using backpropagation neural networks—analysis and criticism. Comput. Chem. Eng. 1990, 14, 1323–1338. [Google Scholar] [CrossRef]
- Lim, X.; Rivenson, Y.; Yardimci, N.T.; Veli, M.; Luo, Y.; Jarrahi, M.; Ozcan, A. All-optical machine learning using diffractive deep neural networks. Science 2018, 361, 1004–1008. [Google Scholar]
- Zhang, W.; Tang, P.; Zhao, L. Remote sensing image scene classification using CNN-CapsNet. Remote Sens. 2019, 11, 494. [Google Scholar] [CrossRef]
- Pektas, A.O.; Cigizoglu, H.K. Investigating the extrapolation performance of neural network models in suspended sediment data. Hydrol. Sci. J. 2017, 62, 1694–1703. [Google Scholar] [CrossRef]








| Data | Dataset | Temporal Coverage | Spatial Resolution | References |
|---|---|---|---|---|
| Annual average temperature | WFDEI | 1981–2016 | 0.5° | [53,54] |
| Annual average shortwave radiation | ||||
| Annual total rainfall | ||||
| Slope | GMTED2010 Global Grids | - | 5′ | [55,56] |
| Soil organic carbon | HWSD | 1995 | 5′ | [57,58,59] |
| Soil bulk density | ||||
| Soil cation exchange capacity | ||||
| pH | ||||
| Carbonate content | ||||
| Soil moisture | NCEP CPC | 1948–present | 0.5° | [60,61] |
| Irrigation | MIRCA2000 * | Circa 2000 | 5′ | [62] |
| Crop area * | EarthStat | Circa 2000 | 5′ | [63,64] |
| Crop yield * | ||||
| N fertilizer rate * | ||||
| P fertilizer rate * | ||||
| K fertilizer rate * | ||||
| N balance | EarthStat | Circa 2000 | 5′ | [65] |
| P balance |
Publisher’s Note: MDPI stays neutral with regard to jurisdictional claims in published maps and institutional affiliations. |
© 2021 by the authors. Licensee MDPI, Basel, Switzerland. This article is an open access article distributed under the terms and conditions of the Creative Commons Attribution (CC BY) license (https://creativecommons.org/licenses/by/4.0/).
Share and Cite
Liang, B.; Quine, T.A.; Liu, H.; Cressey, E.L.; Bateman, I. How Can We Realize Sustainable Development Goals in Rocky Desertified Regions by Enhancing Crop Yield with Reduction of Environmental Risks? Remote Sens. 2021, 13, 1614. https://doi.org/10.3390/rs13091614
Liang B, Quine TA, Liu H, Cressey EL, Bateman I. How Can We Realize Sustainable Development Goals in Rocky Desertified Regions by Enhancing Crop Yield with Reduction of Environmental Risks? Remote Sensing. 2021; 13(9):1614. https://doi.org/10.3390/rs13091614
Chicago/Turabian StyleLiang, Boyi, Timothy A. Quine, Hongyan Liu, Elizabeth L. Cressey, and Ian Bateman. 2021. "How Can We Realize Sustainable Development Goals in Rocky Desertified Regions by Enhancing Crop Yield with Reduction of Environmental Risks?" Remote Sensing 13, no. 9: 1614. https://doi.org/10.3390/rs13091614
APA StyleLiang, B., Quine, T. A., Liu, H., Cressey, E. L., & Bateman, I. (2021). How Can We Realize Sustainable Development Goals in Rocky Desertified Regions by Enhancing Crop Yield with Reduction of Environmental Risks? Remote Sensing, 13(9), 1614. https://doi.org/10.3390/rs13091614

