Polar Stratospheric Clouds Detection at Belgrano II Antarctic Station with Visible Ground-Based Spectroscopic Measurements
Abstract
1. Introduction
2. Materials and Methods
2.1. Measurements
2.2. Ancillary Data
2.2.1. Temperature profiles from the global meteorological model ECMWF (European Centre for Medium Range Weather Forecasts)
2.2.2. CALIPSO Data
2.3. PSC Detection Method
2.4. Model Simulations
2.4.1. Retrieval Procedure
2.4.2. Gas Absorption
2.4.3. Low Tropospheric Clouds
3. Results
3.1. PSCs Detection at Belgrano II Station through Remote Sensing
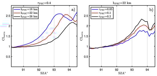
3.2. PSC Characterization in UV Spectral Range
3.3. Comparison of Ground-Based and Satellite Observations
4. Conclusions
Author Contributions
Funding
Institutional Review Board Statement
Informed Consent Statement
Data Availability Statement
Acknowledgments
Conflicts of Interest
References
- Spang, R.; Hoffmann, L.; Muller, R.; Grooß, J.U.; Tritscher, I.; Hopfner, M.; Pitts, M.; Orr, A.; Riese, M. A climatology of polar stratospheric cloud composition between 2002 and 2012 based on MIPAS/Envisat observations. Atmos. Chem. Phys. 2018, 18, 5089–5113. [Google Scholar] [CrossRef]
- Hanson, D.; Mauersberger, K. Laboratory studies of the nitric acid trihydrate: Implications for the south polar stratosphere. Geophys. Res. Lett. 1988, 15, 855–858. [Google Scholar] [CrossRef]
- Noel, V.; Hertzog, A.; Chepfer, H.; Winker, D.M. Polar stratospheric clouds over Antarctica from the CALIPSO spaceborne lidar. J. Geophys. Res. Atmos. 2008, 113, D02205. [Google Scholar] [CrossRef]
- Snels, M.; Scoccione, A.; Di Liberto, L.; Colao, F.; Pitts, M.; Poole, L.; Deshler, T.; Cairo, F.; Cagnazzo, C.; Fierli, F. Comparison of Antarctic polar stratospheric cloud observations by ground-based and space-borne lidar and relevance for chemistry-climate models. Atmos. Chem. Phys. 2019, 19, 955–972. [Google Scholar] [CrossRef]
- Larsen, N.; Knudsen, B.M.; Rosen, J.M.; Kjome, N.T.; Neuber, R.; Kyro, E. Temperature histories in liquid and solid polar stratospheric cloud formation. J. Geophys. Res. 1997, 102, 23505–23517. [Google Scholar] [CrossRef]
- Schreiner, J.; JSchreiner, J.; Voigt, C.; Weisser, C.; Kohlmann, A.; Mauersberger, K.; Deshler, T.; Kröger, C.; Rosen, J.; Larsen, N.; et al. Chemical, microphysical, and optical properties of polar stratospheric clouds. J. Geophys. Res. 2003, 108, 8313. [Google Scholar] [CrossRef]
- Von Hobe, M.; Bekki, S.; Borrmann, S.; Cairo, F.; D’Amato, F.; Di Donfrancesco, G.; Dörnbrack, A.; Ebersoldt, A.; Ebert, M.; Emde, C.; et al. Reconciliation of essential process parameters for an enhanced predictability of Arctic stratospheric ozone loss and its climate interactions (RECONCILE): Activities and results. Atmos. Chem. Phys. 2013, 13, 9233–9268. [Google Scholar] [CrossRef]
- Von Savigny, C.; Ulasi, E.P.; Eichmann, K.-U.; Bovensmann, H.; Burrows, J.P. Detection and mapping of polar stratospheric clouds using limb scattering observations. Atmos. Chem. Phys. 2005, 5, 3071–3079. [Google Scholar] [CrossRef]
- Vanhellemont, F.; Fussen, D.; Mateshvili, N.; Tétard, C.; Bingen, C.; Dekemper, E.; Loodts, N.; Kyrölä, E.; Sofieva, V.; Tamminen, J.; et al. Optical extinction by upper tropospheric/stratospheric aerosols and clouds: GOMOS observations for the period 2002–2008. Atmos. Chem. Phys. 2010, 10, 7997–8009. [Google Scholar] [CrossRef]
- Taylor, F.W.; Lambert, A.; Grainger, R.G.; Rodgers, C.D.; Remedios, J.J. Properties of Northern Hemisphere Polar Stratospheric Clouds and Volcanic Aerosol in 1991/2 from UARS/ISAMS Satellite Measurements. J. Atmos. Sci. 1994, 51, 3019–3026. [Google Scholar] [CrossRef]
- Massie, S.T.; Bailey, P.L.; Gille, J.C.; Lee, E.C.; Mergenthaler, J.L.; Roche, A.E.; Kumer, J.B.; Fishbein, E.F.; Waters, J.W.; Lahoz, W.A. Spectral signatures of polar stratospheric clouds and sulfate aerosol. J. Atmos. Sci. 1994, 51, 3027–3044. [Google Scholar] [CrossRef][Green Version]
- Spang, R.; Remedios, J. Observations of a distinctive infra-red spectral feature in the atmospheric spectra of polar stratospheric clouds measured by the CRISTA instrument. Geophys. Res. Lett. 2003, 30, 1875. [Google Scholar] [CrossRef]
- Fischer, H.; Birk, M.; Blom, C.; Carli, B.; Carlotti, M.; von Clarmann, T.; Delbouille, L.; Dudhia, A.; Ehhalt, D.; Endemann, M.; et al. MIPAS: An instrument for atmospheric and climate research. Atmos. Chem. Phys. 2008, 8, 2151–2188. [Google Scholar] [CrossRef]
- Spang, R.; Riese, M.; Offermann, D. CRISTA-2 observations of the south polar vortex in winter 1997: A new data set for polar process studies. Geophys. Res. Lett. 2001, 28, 3159–3162. [Google Scholar] [CrossRef]
- Spang, R.; Remedios, J.J.; Kramer, L.J.; Poole, L.R.; Fromm, M.D.; Müller, M.; Baumgarten, G.; Konopka, P. Polar stratospheric cloud observations by MIPAS on ENVISAT: Detection method, validation and analysis of the northern hemisphere winter 2002/2003. Atmos. Chem. Phys. 2005, 5, 679–692. [Google Scholar] [CrossRef]
- Spang, R.; Remedios, J.J.; Tilmes, S.; Riese, M. MIPAS observation of polar stratospheric clouds in the Arctic 2002/2003 and Antarctic 2003 winters. Adv. Space Res. 2005, 36, 868–878. [Google Scholar] [CrossRef]
- Winker, D.M.; Vaughan, M.A.; Omar, A.; Hu, Y.X.; Powell, K.A.; Liu, Z.Y.; Hunt, W.H.; Young, S.A. Overview of the CALIPSO Mission and CALIOP Data Processing Algorithms. J. Atmos. Ocean. Technol. 2009, 26, 2310–2323. [Google Scholar] [CrossRef]
- Pitts, M.C.; Thomason, L.W.; Poole, L.R.; Winker, D.M. Characterization of Polar Stratospheric Clouds with spaceborne lidar: CALIPSO and the 2006 Antarctic season. Atmos. Chem. Phys. 2007, 7, 5207–5228. [Google Scholar] [CrossRef]
- Pitts, M.C.; Poole, L.R.; Thomason, L.W. CALIPSO polar stratospheric cloud observations: Second-generation detection algorithm and composition discrimination. Atmos. Chem. Phys. 2009, 9, 7577–7589. [Google Scholar] [CrossRef]
- Pitts, M.C.; Poole, L.R.; Dörnbrack, A.; Thomason, L.W. The 2009–2010 Arctic polar stratospheric cloud season: A CALIPSO perspective. Atmos. Chem. Phys. 2011, 11, 2161–2177. [Google Scholar] [CrossRef]
- Pitts, M.C.; Poole, L.R.; Lambert, A.; Thomason, L.W. An assessment of CALIOP polar stratospheric cloud composition classification. Atmos. Chem. Phys. 2013, 13, 2975–2988. [Google Scholar] [CrossRef]
- Campbell, J.R.; Sassen, K. Polar stratospheric clouds at the South Pole from 5 years of continuous lidar data: Macrophysical, optical, and thermodynamic properties. J. Geophys. Res. 2008, 113, D20204. [Google Scholar] [CrossRef]
- Adriani, A.; Deshler, T.; Gobbi, G.P.; Johnson, B.J.; Di Donfrancesco, G. Polar stratospheric clouds over McMurdo, Antarctica, during the 1991 spring: Lidar and particle counter measurements. Geophys. Res. Lett. 1992, 19, 1755–1758. [Google Scholar] [CrossRef]
- Adriani, A.; Deshler, T.; Di Donfrancesco, G.; Gobbi, G. Polar stratospheric clouds and volcanic aerosol during spring 1992 over McMurdo Station, Antarctica: Lidar and particle counter comparative measurements. J. Geophys. Res. Atmos. 1995, 100, 25877–25897. [Google Scholar] [CrossRef]
- Adriani, A.; Massoli, P.; Di Donfrancesco, G.; Cairo, F.; Moriconi, M.; Snels, M. Climatology of polar stratospheric clouds based on lidar observations from 1993 to 2001 over McMurdo Station, Antarctica. J. Geophys. Res. Atmos. 2004, 109, D24211. [Google Scholar] [CrossRef]
- Di Liberto, L.; Cairo, F.; Fierli, F.; Di Donfrancesco, G.; Viterbini, M.; Deshler, T.; Snels, M. Observation of polar stratospheric clouds over McMurdo (77.85° S, 166.67° E) (2006–2010). J. Geophys. Res. Atmos. 2014, 119, 5528–5541. [Google Scholar] [CrossRef]
- Córdoba-Jabonero, C.; Guerrero-Rascado, J.L.; Toledo, D.; Parrondo, M.; Yela, M.; Gil, M.; Ochoa, H.A. Depolarization ratio of polar stratospheric clouds in coastal Antarctica: Comparison analysis between ground-based Micro Pulse Lidar and spaceborne CALIOP observations. Atmos. Meas. Tech. 2013, 6, 703–717. [Google Scholar] [CrossRef]
- Santacesaria, V.; MacKenzie, A.R.; Stefanutti, L. A climatological study of polar stratospheric clouds (1989–1997) from LIDAR measurements over Dumont d’Urville (Antarctica). Tellus B 2001, 53, 306–321. [Google Scholar]
- David, C.; Bekki, S.; Godin, S.; Megie, G.; Chipperfield, M. Polar stratospheric clouds climatology over Dumont d’Urville between 1989 and 1993 and the influence of volcanic aerosols on their formation. J. Geophys. Res. Atmos. 1998, 103, 22163–22180. [Google Scholar] [CrossRef]
- David, C.; Keckhut, P.; Armetta, A.; Jumelet, J.; Snels, M.; Marchand, M.; Bekki, S. Radiosonde stratospheric temperatures at Dumont d’Urville (Antarctica): Trends and link with polar stratospheric clouds. Atmos. Chem. Phys. 2010, 10, 3813–3825. [Google Scholar] [CrossRef]
- Tesche, M.; Achtert, P.; Pitts, M.C. On the best locations for ground-based polar stratospheric cloud (PSC) observations. Atmos. Chem. Phys. 2021, 21, 505–516. [Google Scholar] [CrossRef]
- Sarkissian, A.; Pommereau, J.-P.; Goutail, F. Identification of polar stratospheric clouds from the ground by visible spectrometry. Geophys. Res. Lett. 1991, 18, 779–782. [Google Scholar] [CrossRef]
- Bohren, C.F.; Huffman, D.R. Absorption and Scattering of Light by Small Particles; John Wiley and Sons, Inc.: New York, NY, USA, 1983. [Google Scholar]
- Young, A.T. Rayleigh scattering. Appl. Opt. 1981, 20, 533–535. [Google Scholar] [CrossRef] [PubMed]
- Sarkissian, A.; Pommereau, J.; Goutail, F.; Kyro, E. PSC and volcanic aerosol observations during EASOE by UV-visible ground-based spectrometry. Geophys. Res. Lett. 1994, 21, 1319–1322. [Google Scholar] [CrossRef]
- Enell, C.-F.; Steen, A.; Wagner, T.; Frieß, U.; Platt, U. Occurrence of polar stratospheric clouds at Kiruna. Ann. Geophys. 1999, 17, 1457–1462. [Google Scholar] [CrossRef]
- Enell, C.F.; Stebel, K.; Wagner, T.; Frieß, U.; Pfeilsticker, K.; Platt, U. Detecting Polar Stratospheric Clouds with Zenith-Looking Photometers. Sodank. Geophys. Obs. Publ. 2003, 92, 55–59. [Google Scholar]
- Tran, T. Optical Depth Sensor for Measurement of Dust and Clouds in the Atmosphere of Mars: Radiative Transfer Simulations and Validation on Earth. Ph.D. Thesis, Université Versailles Saint-Quentin-en-Yvelines, Paris, France, 2005. [Google Scholar]
- Toledo, D.; Rannou, P.; Pommereau, J.; Sarkissian, A.; Foujols, T. Measurement of aerosol optical depth and sub-visual cloud detection us- ing the optical depth sensor (ODS). Atmos. Meas. Tech. 2016, 9, 455–467. [Google Scholar] [CrossRef]
- Toledo, D.; Rannou, P.; Pommereau, J.-P.; Foujols, T. The optical depth sensor (ODS) for column dust opacity measurements and cloud detection on martian atmosphere. Exp. Astron. 2016, 42, 61–83. [Google Scholar] [CrossRef]
- Toledo, D.; Arruego, I.; Apestigue, V.; Jimenez, J.; Gomez, L.; Yela, M.; Rannou, P.; Pommereau, J.-P. Measurement of dust optical depth using the solar irradiance sensor (SIS) onboard the ExoMars 2016 EDM. Planet. Space Sci. 2017, 138, 33–43. [Google Scholar] [CrossRef]
- Hönninger, G.; von Friedeburg, C.; Platt, U. Multi axis differential optical absorption spectroscopy (MAX DOAS). Atmos. Chem. Phys. 2004, 4, 231–254. [Google Scholar] [CrossRef]
- Platt, G.; Stutz, J. Differential Optical Absorption Spectroscopy (DOAS)—Principles and Applications; Springer Verlag: Heidelberg, Germany, 2008. [Google Scholar]
- Yela, M.; Gil-Ojeda, M.; Navarro-Comas, M.; González-Bartolomé, D.; Puentedura, O.; Funke, B.; Iglesias, J.; Rodríguez, S.; García, O.; Ochoa, H.; et al. Hemispheric asymmetry in stratospheric NO2 trends. Atmos. Chem. Phys. 2017, 17, 13373–13389. [Google Scholar] [CrossRef]
- Prados-Roman, C.; Gómez-Martín, L.; Puentedura, O.; Navarro-Comas, M.; Iglesias, J.; De Mingo, J.R.; Péreza, M.; Ochoa, H.; Barlasina, M.E.; Carbajal, G.; et al. Reactive bromine in the low troposphere of Antarctica: Estimations at two research sites. Atmos. Chem. Phys. 2018, 18, 8549–8570. [Google Scholar] [CrossRef]
- Parrondo, M.C.; Yela, M.; Gil, M.; von der Gathen, P.; Ochoa, H. Mid-winter lower stratosphere temperatures in the Antarctic vortex: Comparison between observations and ECMWF and NCEP operational models. Atmos. Chem. Phys. 2007, 7, 435–441. [Google Scholar] [CrossRef]
- Yela, M.; Parrondo, C.; Gil, M.; Rodriguez, S.; Araujo, J.; Ochoa, H.; Deferrari, G.; Diaz, S. The September 2002 Antarctic vortex major warmings as observed by visible spectroscopy and ozone soundings. Int. J. Remote Sens. 2005, 26, 3361–3376. [Google Scholar] [CrossRef]
- Parrondo, M.C.; Gil, M.; Yela, M.; Johnson, B.J.; Ochoa, H. Antarctic ozone variability inside the polar vortex estimated from balloon measurements. Atmos. Chem. Phys. 2014, 14, 217–229. [Google Scholar] [CrossRef]
- Hersbach, H.; Bell, B.; Berrisford, P.; Hirahara, S.; Horányi, A.; Muñoz-Sabater, J.; Nicolas, J.; Peubey, C.; Radu, R.; Schepers, D.; et al. The ERA5 global reanalysis. Q. J. R. Meteorol. Soc. 2020, 146, 1999–2049. [Google Scholar] [CrossRef]
- Chance, K.V.; Spurr, R.J.D. Ring effect studies: Rayleigh scattering, including molecular parameters for rotational Raman scattering, and the Fraunhofer spectrum. Appl. Optics 1997, 36, 5224–5230. [Google Scholar] [CrossRef] [PubMed]
- Anderson, G.P.; Clough, S.A.; Kneizys, F.X.; Chetwynd, J.H.; Shettle, E.P. AFGL Atmospheric Constituent Profiles (0.120 km); Tech. Rep., AFGL-TR-86-0110, Environemental Research Papers No. 954; Air Force Geophysics Laboratory, Hanscom Air Force Base: Bedford, MA, USA, 1986. [Google Scholar]
- Burrows, J.P.; Dehn, A.; Deters, B.; Himmelmann, S.; Richter, A.; Voigt, S.; Orphal, J. Atmospheric remote-sensing reference data from GOME: Part1. Temperature-dependent absorption cross-section of NO2 in the 231–794 nm range. J. Quant. Spectrosc. Radiat. Transf. 1998, 60, 1025–1031. [Google Scholar] [CrossRef]
- Molina, L.T.; Molina, L.J. Absolute absorption cross sections of ozone in the 185- to 350-nm wavelength range. J. Geophys. Res. 1986, 91, 14501–14508. [Google Scholar] [CrossRef]
- Safieddine, S.; Bouillon, M.; Paracho, A.C.; Jumelet, J.; Tencé, F.; Pazmino, A.; Goutail, F.; Wespes, C.; Bekki, S.; Boynard, A.; et al. Antarctic Ozone Enhancement During the 2019 Sudden Stratospheric Warming Event. Geophys. Res. Lett. 2020, 47, e2020GL087810. [Google Scholar] [CrossRef]
- Krummel, P.; Fraser, P. The 2019 Antarctic Ozone Hole. Report #12; Wednesday 13 November 2019; Climate Science Centre, CSIRO Oceans and Atmosphere: Aspendale, Australia, 2019. [Google Scholar]
- Amos, M.; Young, P.J.; Hosking, J.S.; Lamarque, J.-F.; Abraham, N.L.; Akiyoshi, H.; Archibald, A.T.; Bekki, S.; Deushi, M.; Jöckel, P.; et al. Projecting ozone hole recovery using an ensemble of chemistry-climate models weighted by model performance and independence. Atmos. Chem. Phys. 2020, 20, 9961–9977. [Google Scholar] [CrossRef]












Publisher’s Note: MDPI stays neutral with regard to jurisdictional claims in published maps and institutional affiliations. |
© 2021 by the authors. Licensee MDPI, Basel, Switzerland. This article is an open access article distributed under the terms and conditions of the Creative Commons Attribution (CC BY) license (https://creativecommons.org/licenses/by/4.0/).
Share and Cite
Gomez-Martin, L.; Toledo, D.; Prados-Roman, C.; Adame, J.A.; Ochoa, H.; Yela, M. Polar Stratospheric Clouds Detection at Belgrano II Antarctic Station with Visible Ground-Based Spectroscopic Measurements. Remote Sens. 2021, 13, 1412. https://doi.org/10.3390/rs13081412
Gomez-Martin L, Toledo D, Prados-Roman C, Adame JA, Ochoa H, Yela M. Polar Stratospheric Clouds Detection at Belgrano II Antarctic Station with Visible Ground-Based Spectroscopic Measurements. Remote Sensing. 2021; 13(8):1412. https://doi.org/10.3390/rs13081412
Chicago/Turabian StyleGomez-Martin, Laura, Daniel Toledo, Cristina Prados-Roman, Jose Antonio Adame, Hector Ochoa, and Margarita Yela. 2021. "Polar Stratospheric Clouds Detection at Belgrano II Antarctic Station with Visible Ground-Based Spectroscopic Measurements" Remote Sensing 13, no. 8: 1412. https://doi.org/10.3390/rs13081412
APA StyleGomez-Martin, L., Toledo, D., Prados-Roman, C., Adame, J. A., Ochoa, H., & Yela, M. (2021). Polar Stratospheric Clouds Detection at Belgrano II Antarctic Station with Visible Ground-Based Spectroscopic Measurements. Remote Sensing, 13(8), 1412. https://doi.org/10.3390/rs13081412

