Clustering of Rainfall Types Using Micro Rain Radar and Laser Disdrometer Observations in the Tropical Andes
Abstract
1. Introduction
2. Study Site and Data
2.1. Study Site
2.2. Instruments
2.2.1. Micro Rain Radar
2.2.2. Disdrometer
2.3. Data Availability and Quality Control
3. Methods
3.1. Rainfall Events Selection
3.2. Rainfall Classification
3.2.1. Derivation of Rainfall Events Characteristics
Derivation of MRR and Disdrometer Characteristics
Determination of the Melting Layer
3.2.2. Clustering Approach: k-Means Algorithm
4. Results
4.1. Rainfall Events Selection
4.2. Rainfall Event Features
Determination of the Melting Layer
4.3. Clustering Using k-Means
4.3.1. Features Selection
4.3.2. Features Standardization
4.3.3. Clustering with k = 2 and k = 3
Features Distribution Analysis per Each Class
Distribution of Rainfall Classes along the Year
5. Discussion
6. Conclusions
- Rainfall types were identified by applying a clustering method and thus ensured an objective separation of rainfall events because the classification is based exclusively on the data (i.e., rainfall characteristics). The use of microphysical characteristics, which are not commonly used due to instrument limitations, allowed for the provision of additional insights about each rainfall type.
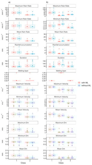
- Three rainfall classes were identified in the study area: convective, stratiform, and mixed. The rainfall classes show that the clustering method (k-means) works well to distinguish the different rainfall patterns and identify the rainfall types. The first two main classes, i.e., convective and stratiform, were obtained by first using the method with two classes (k = 2). Here, the two groups showed a clear difference in the features, especially in the mean values of rain rate, velocity, and Dm. In addition, the convective type (class 1) showed rainfall events with shorter duration and higher rain rate than the stratiform type (class 2). The inclusion/exclusion of the Melting Layer feature did not influence the clustering results. Thus, it proves that the other rainfall features are able to properly describe the differences between these two main groups. When using three classes (k = 3), the mixed type (class 3) resulted as a subgroup of one of the main groups (k = 2). So, the convective type remained almost invariable regarding its rainfall characteristics. With respect to the stratiform type and mixed type, their rainfall features are most similar between them. It suggests that the mixed type has a dominant stratiform behavior.
- Rainfall events with shorter duration of less than 70 min are more frequent in the study area. Furthermore, there is a prevalence of convective rainfall events in March and November, while rainfall events of the stratiform and mixed type are common during all the year.
Author Contributions
Funding
Institutional Review Board Statement
Informed Consent Statement
Data Availability Statement
Acknowledgments
Conflicts of Interest
Appendix A
| Number | Feature Name | Unit | Symbol | Instrument |
|---|---|---|---|---|
| 1 | Maximum Rain Rate | mm h−1 | RRmax | MRR |
| 2 | Minimum Rain Rate | mm h−1 | RRmin | MRR |
| 3 | Mean Rain Rate | mm h−1 | RRmean | MRR |
| 4 | Median Rain Rate | mm h−1 | RRmedian | MRR |
| 5 | Rainfall Accumulation | mm | Raccum | MRR |
| 6 | Maximum Velocity | m s−1 | Vmax | MRR |
| 7 | Minimum Velocity | m s−1 | Vmin | MRR |
| 8 | Mean Velocity | m s−1 | Vmean | MRR |
| 9 | Median Velocity | m s−1 | Vmedian | MRR |
| 10 | Event Duration | minutes | Dur | MRR |
| 11 | Maximum Reflectivity | dBZ | Rmax | MRR |
| 12 | Minimum Reflectivity | dBZ | Rmin | MRR |
| 13 | Mean Reflectivity | dBZ | Rmean | MRR |
| 14 | Median Reflectivity | dBZ | Rmedian | MRR |
| 15 | Melting Layer | - | ML | MRR |
| 16 | Maximum Liquid Water Content | g m−3 | LWCmax | MRR |
| 17 | Minimum Liquid Water Content | g m−3 | LWCmin | MRR |
| 18 | Mean Liquid Water Content | g m−3 | LWCmean | MRR |
| 19 | Median Liquid Water Content | g m−3 | LWCmedian | MRR |
| 20 | Maximum Mean Volume Diameter | mm | Dmmax | LPM |
| 21 | Minimum Mean Volume Diameter | mm | Dmmin | LPM |
| 22 | Mean Liquid Mean Volume Diameter | mm | Dmmean | LPM |
| 23 | Median Mean Volume Diameter | mm | Dmmedian | LPM |


References
- Chahine, M.T. The hydrological cycle and its influence on climate. Nature 1992, 359, 373. [Google Scholar] [CrossRef]
- Mazari, N.; Sharif, H.O.; Xie, H.; Tekeli, A.E.; Zeitler, J.; Habib, E. Rainfall observations and assessment using vertically pointing radar and X-band radar. J. Hydroinform. 2017, 19, 538–557. [Google Scholar] [CrossRef]
- Wen, G.; Xiao, H.; Yang, H.; Bi, Y.; Xu, W. Characteristics of summer and winter precipitation over northern China. Atmos. Res. 2017, 197, 390–406. [Google Scholar] [CrossRef]
- Orellana-Alvear, J.; Célleri, R.; Rollenbeck, R.; Bendix, J. Analysis of Rain Types and Their Z–R Relationships at Different Locations in the High Andes of Southern Ecuador. J. Appl. Meteorol. Climatol. 2017, 56, 3065–3080. [Google Scholar] [CrossRef]
- Buytaert, W.; Célleri, R.; Willems, P.; De Bièvre, B.; Wyseure, G. Spatial and temporal rainfall variability in mountainous areas: A case study from the south Ecuadorian Andes. J. Hydrol. 2006, 329, 413–421. [Google Scholar] [CrossRef]
- Celleri, R.; Willems, P.; Buytaert, W.; Feyen, J. Space–time rainfall variability in the Paute basin, Ecuadorian Andes. Hydrol. Process. 2007, 21, 3316–3327. [Google Scholar] [CrossRef]
- Rollenbeck, R.; Bendix, J. Rainfall distribution in the Andes of southern Ecuador derived from blending weather radar data and meteorological field observations. Atmos. Res. 2011, 99, 277–289. [Google Scholar] [CrossRef]
- Célleri, R.; Buytaert, W.; De Bièvre, B.; Tobon, C.; Crespo, P.; Molina Carpio, J.; Feyen, J. Understanding the Hydrology of Tropical Andean Ecosystems through an Andean Network of Basins. IAHSAISH Publ. 2010, 336, 209–212. [Google Scholar] [CrossRef]
- Metek. MRR Physical Basics, Valid for MRR Service Version 5.2.0.1; Technical Manual; METEK: Elmshorn, Germany, 2009. [Google Scholar]
- 10. Thies Clima. Instructions for use: Laser Precipitation Monitor 5.4110.xx.x00 V2.2xSTD. Thies Clima Tech. Rep. 2007, 1–52.
- Das, S.; Shukla, A.K.; Maitra, A. Investigation of vertical profile of rain microstructure at Ahmedabad in Indian tropical region. Adv. Space Res. 2010, 45, 1235–1243. [Google Scholar] [CrossRef]
- Endries, J.L.; Perry, L.B.; Yuter, S.E.; Seimon, A.; Andrade-Flores, M.; Winkelmann, R.; Quispe, N.; Rado, M.; Montoya, N.; Velarde, F.; et al. Radar-observed characteristics of precipitation in the tropical high andes of Southern Peru and Bolivia. J. Appl. Meteorol. Climatol. 2018, 57, 1441–1458. [Google Scholar] [CrossRef]
- Sreekanth, T.S.; Varikoden, H.; Resmi, E.A.; Kumar, G.M. Classification and seasonal distribution of rain types based on surface and radar observations over a tropical coastal station. Atmos. Res. 2019, 218, 90–98. [Google Scholar] [CrossRef]
- Seidel, J.; Trachte, K.; Orellana-Alvear, J.; Figueroa, R.; Célleri, R.; Bendix, J.; Fernandez, C.; Huggel, C. Precipitation Characteristics at Two Locations in the Tropical Andes by Means of Vertically Pointing Micro-Rain Radar Observations. Remote Sens. 2019, 11, 2985. [Google Scholar] [CrossRef]
- Zwiebel, J.; Van Baelen, J.; Anquetin, S.; Pointin, Y.; Boudevillain, B. Impacts of orography and rain intensity on rainfall structure. The case of the HyMeX IOP7a event. Q. J. R. Meteorol. Soc. 2016, 142, 310–319. [Google Scholar] [CrossRef]
- Bendix, J.; Rollenbeck, R.; Reudenbach, C. Diurnal patterns of rainfall in a tropical Andean valley of southern Ecuador as seen by a vertically pointing K-band Doppler radar. Int. J. Climatol. 2006, 26, 829–846. [Google Scholar] [CrossRef]
- Prat, O.P.; Barros, A.P. Ground observations to characterize the spatial gradients and vertical structure of orographic precipitation—Experiments in the inner region of the Great Smoky Mountains. J. Hydrol. 2010, 391, 141–156. [Google Scholar] [CrossRef]
- Bellon, A.; Lee, G.W.; Zawadzki, I. Error statistics of VPR corrections in stratiform precipitation. J. Appl. Meteorol. 2005, 44, 998–1015. [Google Scholar] [CrossRef]
- Das, S.; Maitra, A. Vertical profile of rain: Ka band radar observations at tropical locations. J. Hydrol. 2016, 534, 31–41. [Google Scholar] [CrossRef]
- Li, Y.; Liu, X.; Wu, Y.; Hu, S. Characteristics and Small-Scale Variations of Raindrop Size Distribution over the Yangtze River Delta in East China. J. Hydrol. Eng. 2020, 25, 5020010. [Google Scholar] [CrossRef]
- Llasat, M.-C. An objective classification of rainfall events on the basis of their convective features: Application to rainfall intensity in the northeast of spain. Int. J. Climatol. 2001, 21, 1385–1400. [Google Scholar] [CrossRef]
- Thurai, M.; Gatlin, P.N.; Bringi, V.N. Separating stratiform and convective rain types based on the drop size distribution characteristics using 2D video disdrometer data. Atmos. Res. 2016, 169, 416–423. [Google Scholar] [CrossRef]
- Caracciolo, C.; Porcù, F.; Prodi, F. Precipitation classification at mid-latitudes in terms of drop size distribution parameters. Adv. Geosci. 2008, 16, 11–17. [Google Scholar] [CrossRef]
- Biggerstaff, M.I.; Listemaa, S.A. An improved scheme for convective/stratiform echo classification using radar reflectivity. J. Appl. Meteorol. 2000, 39, 2129–2150. [Google Scholar] [CrossRef]
- Kunhikrishnan, P.K.; Sivaraman, B.R.; Kumar, N.V.P.K.; Alappattu, D.P. Rain observations with micro rain radar (MRR) over Thumba. Proc. SPIE 2006, 6408. [Google Scholar] [CrossRef]
- Dilmi, M.D.; Mallet, C.; Barthes, L.; Chazottes, A. Data-driven clustering of rain events: Microphysics information derived from macro-scale observations. Atmos. Meas. Tech. 2017, 10, 1557–1574. [Google Scholar] [CrossRef]
- dos Santos, J.C.N.; de Andrade, E.M.; Medeiros, P.H.A.; Guerreiro, M.J.S.; de Queiroz Palácio, H.A. Effect of Rainfall Characteristics on Runoff and Water Erosion for Different Land Uses in a Tropical Semiarid Region. Water Resour. Manag. 2017, 31, 173–185. [Google Scholar] [CrossRef]
- Fang, N.-F.; Shi, Z.-H.; Li, L.; Guo, Z.-L.; Liu, Q.; Ai, L. The effects of rainfall regimes and land use changes on runoff and soil loss in a small mountainous watershed. CATENA 2012, 99, 1–8. [Google Scholar] [CrossRef]
- Peng, T.; Wang, S. Effects of land use, land cover and rainfall regimes on the surface runoff and soil loss on karst slopes in southwest China. CATENA 2012, 90, 53–62. [Google Scholar] [CrossRef]
- Coltorti, M.; Ollier, C. Geomorphic and tectonic evolution of the Ecuadorian Andes. Geomorphology 2000, 32, 1–19. [Google Scholar] [CrossRef]
- Córdova, M.; Célleri, R.; Shellito, C.J.; Orellana-Alvear, J.; Abril, A.; Carrillo-Rojas, G. Near-Surface Air Temperature Lapse Rate Over Complex Terrain in the Southern Ecuadorian Andes: Implications for Temperature Mapping. Arct. Antarct. Alp. Res. 2016, 48, 673–684. [Google Scholar] [CrossRef]
- Poveda, G.; Mesa, O.J. Feedbacks between Hydrological Processes in Tropical South America and Large-Scale Ocean–Atmospheric Phenomena. J. Clim. 1997, 10, 2690–2702. [Google Scholar] [CrossRef]
- Campozano, L.; Trachte, K.; Célleri, R.; Samaniego, E.; Bendix, J.; Albuja, C.; Mejia, J.F. Climatology and Teleconnections of Mesoscale Convective Systems in an Andean Basin in Southern Ecuador: The Case of the Paute Basin. Adv. Meteorol. 2018, 2018, 1–13. [Google Scholar] [CrossRef] [PubMed]
- Žagar, N.; Skok, G.; Tribbia, J. Climatology of the ITCZ derived from ERA Interim reanalyses. J. Geophys. Res. 2011, 116. [Google Scholar] [CrossRef]
- Vuille, M.; Bradley, R.S.; Keimig, F. Climate Variability in the Andes of Ecuador and Its Relation to Tropical Pacific and Atlantic Sea Surface Temperature Anomalies. J. Clim. 2000, 13, 2520–2535. [Google Scholar] [CrossRef]
- Peters, G.; Fischer, B.; Andersson, T. Rain observations with a vertically looking Micro Rain Radar (MRR). Boreal Environ. Res. 2002, 7, 353–362. [Google Scholar]
- Löffler-Mang, M.; Kunz, M.; Schmid, W. On the Performance of a Low-Cost K-Band Doppler Radar for Quantitative Rain Measurements. J. Atmos. Ocean. Technol. 1999, 16, 379–387. [Google Scholar] [CrossRef]
- Wang, H.; Lei, H.; Yang, J. Microphysical processes of a stratiform precipitation event over eastern China: Analysis using micro rain radar data. Adv. Atmos. Sci. 2017, 34, 1472–1482. [Google Scholar] [CrossRef]
- Frasson, R.; Cunha, L.; Krajewski, W. Assessment of the Thies optical disdrometer performance. Atmos. Res. 2011, 101, 237–255. [Google Scholar] [CrossRef]
- Sarkar, T.; Das, S.; Maitra, A. Assessment of different raindrop size measuring techniques: Inter-comparison of Doppler radar, impact and optical disdrometer. Atmos. Res. 2015, 160, 15–27. [Google Scholar] [CrossRef]
- Friedrich, K.; Higgins, S.; Masters, F.J.; Lopez, C.R. Articulating and Stationary PARSIVEL Disdrometer Measurements in Conditions with Strong Winds and Heavy Rainfall. J. Atmos. Ocean. Technol. 2013, 30, 2063–2080. [Google Scholar] [CrossRef]
- Tokay, A.; Hartmann, P.; Battaglia, A.; Gage, K.S.; Clark, W.L.; Williams, C.R. A field study of reflectivity and Z-R relations using vertically pointing radars and disdrometers. J. Atmos. Ocean. Technol. 2009, 26, 1120–1134. [Google Scholar] [CrossRef]
- Adirosi, E.; Baldini, L.; Tokay, A. Rainfall and DSD Parameters Comparison between Micro Rain Radar, Two-Dimensional Video and Parsivel2 Disdrometers, and S-Band Dual-Polarization Radar. J. Atmos. Ocean. Technol. 2020, 37, 621–640. [Google Scholar] [CrossRef]
- Rollenbeck, R.; Bendix, J.; Fabian, P.; Boy, J.; Dalitz, H.; Emck, P.; Oesker, M.; Wilcke, W. Comparison of Different Techniques for the Measurement of Precipitation in Tropical Montane Rain Forest Regions. J. Atmos. Ocean. Technol. 2007, 24, 156–168. [Google Scholar] [CrossRef]
- Adirosi, E.; Baldini, L.; Roberto, N.; Gatlin, P.; Tokay, A. Improvement of vertical profiles of raindrop size distribution from micro rain radar using 2D video disdrometer measurements. Atmos. Res. 2016, 169, 404–415. [Google Scholar] [CrossRef]
- Beard, K. V Terminal Velocity and Shape of Cloud and Precipitation Drops Aloft. J. Atmos. Sci. 1976, 33, 851–864. [Google Scholar] [CrossRef]
- Dunkerley, D. Identifying individual rain events from pluviograph records: A review with analysis of data from an Australian dryland site. Hydrol. Process. 2008, 22, 5024–5036. [Google Scholar] [CrossRef]
- Coutinho, J.V.; Almeida, C.D.N.; Leal, A.M.F.; Barbosa, L.R. Characterization of sub-daily rainfall properties in three raingauges located in northeast Brazil. Proc. Int. Assoc. Hydrol. Sci. 2014, 364, 345–350. [Google Scholar] [CrossRef]
- Marshall, J.S.; Palmer, W.M.K. The Distribution of Raindrops with size. J. Meteorol. 1948, 5, 165–166. [Google Scholar] [CrossRef]
- Testud, J.; Oury, S.; Black, R.A.; Amayenc, P.; Dou, X. The concept of “normalized” distribution to describe raindrop spectra: A tool for cloud physics and cloud remote sensing. J. Appl. Meteorol. 2001, 40, 1118–1140. [Google Scholar] [CrossRef]
- Jash, D.; Resmi, E.A.; Unnikrishnan, C.K.; Sumesh, R.K.; Sreekanth, T.S.; Sukumar, N.; Ramachandran, K.K. Variation in rain drop size distribution and rain integral parameters during southwest monsoon over a tropical station: An inter-comparison of disdrometer and Micro Rain Radar. Atmos. Res. 2019, 217, 24–36. [Google Scholar] [CrossRef]
- Zhou, L.; Dong, X.; Fu, Z.; Wang, B.; Leng, L.; Xi, B.; Cui, C. Vertical Distributions of Raindrops and Z-R Relationships Using Microrain Radar and 2-D-Video Distrometer Measurements During the Integrative Monsoon Frontal Rainfall Experiment (IMFRE). J. Geophys. Res. Atmos. 2020, 125, e2019JD031108. [Google Scholar] [CrossRef]
- Cha, J.-W.; Chang, K.-H.; Yum, S.S.; Choi, Y.-J. Comparison of the bright band characteristics measured by Micro Rain Radar (MRR) at a mountain and a coastal site in South Korea. Adv. Atmos. Sci. 2009, 26, 211–221. [Google Scholar] [CrossRef]
- Klaassen, W. Radar Observations and Simulation of the Melting Layer of Precipitation. J. Atmos. Sci. 1988, 45, 3741–3753. [Google Scholar] [CrossRef]
- Fabry, F.; Zawadzki, I. Long-Term Radar Observations of the Melting Layer of Precipitation and Their Interpretation. J. Atmos. Sci. 1995, 52, 838–851. [Google Scholar] [CrossRef]
- Abu Abbas, O. Comparisons Between Data Clustering Algorithms. Int. Arab. J. Inf. Technol. 2008, 5, 320–325. [Google Scholar]
- Jain, A. Data Clustering: 50 Years Beyond K-Means. Pattern Recognit. Lett. 2010, 31, 651–666. [Google Scholar] [CrossRef]
- Steinley, D. K-means clustering: A half-century synthesis. Br. J. Math. Stat. Psychol. 2006, 59, 1–34. [Google Scholar] [CrossRef] [PubMed]
- Löwe, R.; Madsen, H.; McSharry, P. Objective Classification of Rainfall in Northern Europe for Online Operation of Urban Water Systems Based on Clustering Techniques. Water 2016, 8, 87. [Google Scholar] [CrossRef]
- Hartigan, J.A.; Wong, M.A. Algorithm AS 136: A K-Means Clustering Algorithm. Appl. Stat. 1979, 28, 100. [Google Scholar] [CrossRef]
- Liu, Y.; Liu, L. Rainfall feature extraction using cluster analysis and its application on displacement prediction for a cleavage-parallel landslide in the Three Gorges Reservoir area. Nat. Hazards Earth Syst. Sci. Discuss. 2016, 2016, 1–15. [Google Scholar] [CrossRef]
- Guyon, I.; Elisseeff, A. An introduction to variable and feature selection. J. Mach. Learn. Res. 2003, 3, 1157–1182. [Google Scholar]
- Milligan, G.W.; Cooper, M.C. A study of standardization of variables in cluster analysis. J. Classif. 1988, 5, 181–204. [Google Scholar] [CrossRef]
- Milligan, G.W.; Cooper, M.C. An examination of procedures for determining the number of clusters in a data set. Psychometrika 1985, 50, 159–179. [Google Scholar] [CrossRef]
- Mouton, J.P.; Ferreira, M.; Helberg, A.S.J. A comparison of clustering algorithms for automatic modulation classification. Expert Syst. Appl. 2020, 151, 113317. [Google Scholar] [CrossRef]
- Abdi, H.; Williams, L.J. Principal component analysis. Wiley Interdiscip. Rev. Comput. Stat. 2010, 2, 433–459. [Google Scholar] [CrossRef]
- Wold, S.; Esbensen, K.; Geladi, P. Principal component analysis. Chemom. Intell. Lab. Syst. 1987, 2, 37–52. [Google Scholar] [CrossRef]
- Padrón, R.S.; Wilcox, B.P.; Crespo, P.; Célleri, R. Rainfall in the Andean Páramo: New Insights from High-Resolution Monitoring in Southern Ecuador. J. Hydrometeorol. 2015, 16, 985–996. [Google Scholar] [CrossRef]
- Tokay, A.; Short, D.A.; Williams, C.R.; Ecklund, W.L.; Gage, K.S. Tropical Rainfall Associated with Convective and Stratiform Clouds: Intercomparison of Disdrometer and Profiler Measurements. J. Appl. Meteorol. 1999, 38, 302–320. [Google Scholar] [CrossRef]
- Bringi, V.N.; Chandrasekar, V.; Hubbert, J.; Gorgucci, E.; Randeu, W.L.; Schoenhuber, M. Raindrop Size Distribution in Different Climatic Regimes from Disdrometer and Dual-Polarized Radar Analysis. J. Atmos. Sci. 2003, 60, 354–365. [Google Scholar] [CrossRef]










| Number | Variable Name | Unit | Symbol |
|---|---|---|---|
| 1 | Maximum Rain Rate | mm h−1 | RRmax |
| 2 | Minimum Rain Rate | mm h−1 | RRmin |
| 3 | Mean Rain Rate | mm h−1 | RRmean |
| 4 | Rainfall Accumulation | mm | Raccum |
| 5 | Maximum Velocity | m s−1 | Vmax |
| 6 | Minimum Velocity | m s−1 | Vmin |
| 7 | Mean Velocity | m s−1 | Vmean |
| 8 | Event Duration | minutes | Dur |
| 9 | Melting Layer | - | ML |
| 10 | Maximum Mean Volume Diameter | mm | Dmmax |
| 11 | Minimum Mean Volume Diameter | mm | Dmmin |
| 12 | Mean Liquid Mean Volume Diameter | mm | Dmmean |
| Feature (Units) | Author | Location | Rainfall Classification | Value |
|---|---|---|---|---|
| Rain Rate (mm h−1) | Tokay, (1999) | Marine Tropics | Convective | >10 |
| Stratiform | ≈1.86 | |||
| Bendix, (2006) | Mountains South Ecuador | Mixed | ≈2.4 | |
| Das and Maitra, (2016) | Tropical Locations | Convective | 8–12 | |
| Stratiform | 2–5 | |||
| This study | Tropical Andes | Class 1 (k = 2) | 14.86 ± 0.20 | |
| Class 2 (k = 2) | 6.55 ± 0.08 | |||
| Class 1 (k = 3) | 15.08 ± 0.32 | |||
| Class 2 (k = 3) | 5.43 ± 1.06 | |||
| Class 3 (k = 3) | 7.27 ± 0.14 | |||
| Dm (mm) | Seidel, (2019) | Tropical Andes | Convective | ≈1.66 |
| Stratiform | ≈1.07 | |||
| This study | Tropical Andes | Class 1 (k = 2) | 1.55 ± 0.01 | |
| Class 2 (k = 2) | 1.09 ± 0.01 | |||
| Class 1 (k = 3) | 1.57 ± 0.02 | |||
| Class 2 (k = 3) | 1.1 ± 0.05 | |||
| Class 3 (k = 3) | 1.1 ± 0.01 |
Publisher’s Note: MDPI stays neutral with regard to jurisdictional claims in published maps and institutional affiliations. |
© 2021 by the authors. Licensee MDPI, Basel, Switzerland. This article is an open access article distributed under the terms and conditions of the Creative Commons Attribution (CC BY) license (http://creativecommons.org/licenses/by/4.0/).
Share and Cite
Urgilés, G.; Célleri, R.; Trachte, K.; Bendix, J.; Orellana-Alvear, J. Clustering of Rainfall Types Using Micro Rain Radar and Laser Disdrometer Observations in the Tropical Andes. Remote Sens. 2021, 13, 991. https://doi.org/10.3390/rs13050991
Urgilés G, Célleri R, Trachte K, Bendix J, Orellana-Alvear J. Clustering of Rainfall Types Using Micro Rain Radar and Laser Disdrometer Observations in the Tropical Andes. Remote Sensing. 2021; 13(5):991. https://doi.org/10.3390/rs13050991
Chicago/Turabian StyleUrgilés, Gabriela, Rolando Célleri, Katja Trachte, Jörg Bendix, and Johanna Orellana-Alvear. 2021. "Clustering of Rainfall Types Using Micro Rain Radar and Laser Disdrometer Observations in the Tropical Andes" Remote Sensing 13, no. 5: 991. https://doi.org/10.3390/rs13050991
APA StyleUrgilés, G., Célleri, R., Trachte, K., Bendix, J., & Orellana-Alvear, J. (2021). Clustering of Rainfall Types Using Micro Rain Radar and Laser Disdrometer Observations in the Tropical Andes. Remote Sensing, 13(5), 991. https://doi.org/10.3390/rs13050991

