Synergy between Satellite Altimetry and Optical Water Quality Data towards Improved Estimation of Lakes Ecological Status
Abstract
1. Introduction
2. Materials and Methods
2.1. Study Sites Description
2.2. In Situ Data
2.2.1. Water Level
2.2.2. Chl a, FBM, and SDD
2.3. Satellite Data
2.3.1. Optical Data
2.3.2. Altimetry Data
2.4. Data Correction for the Effects of Water Level
3. Results
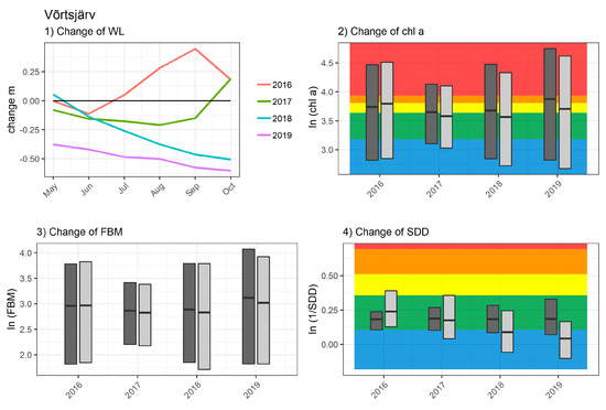
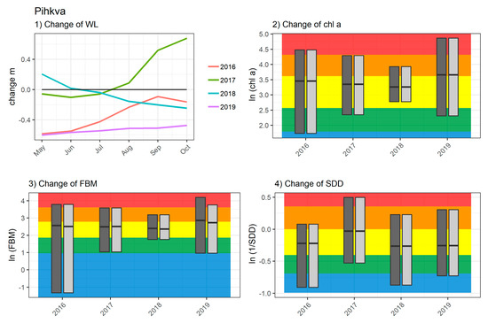
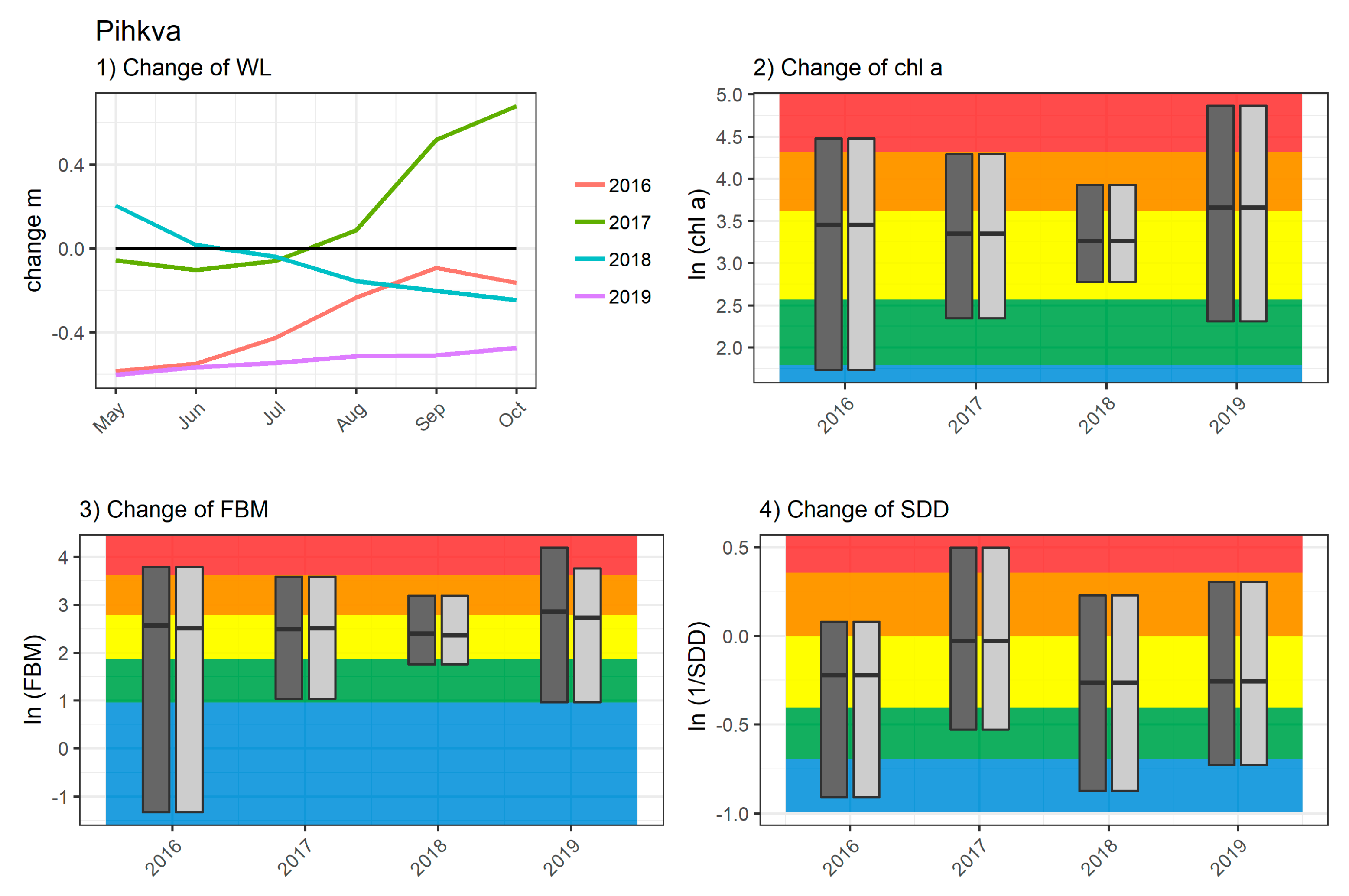
3.1. Inter-Annual Dynamics in Water Level
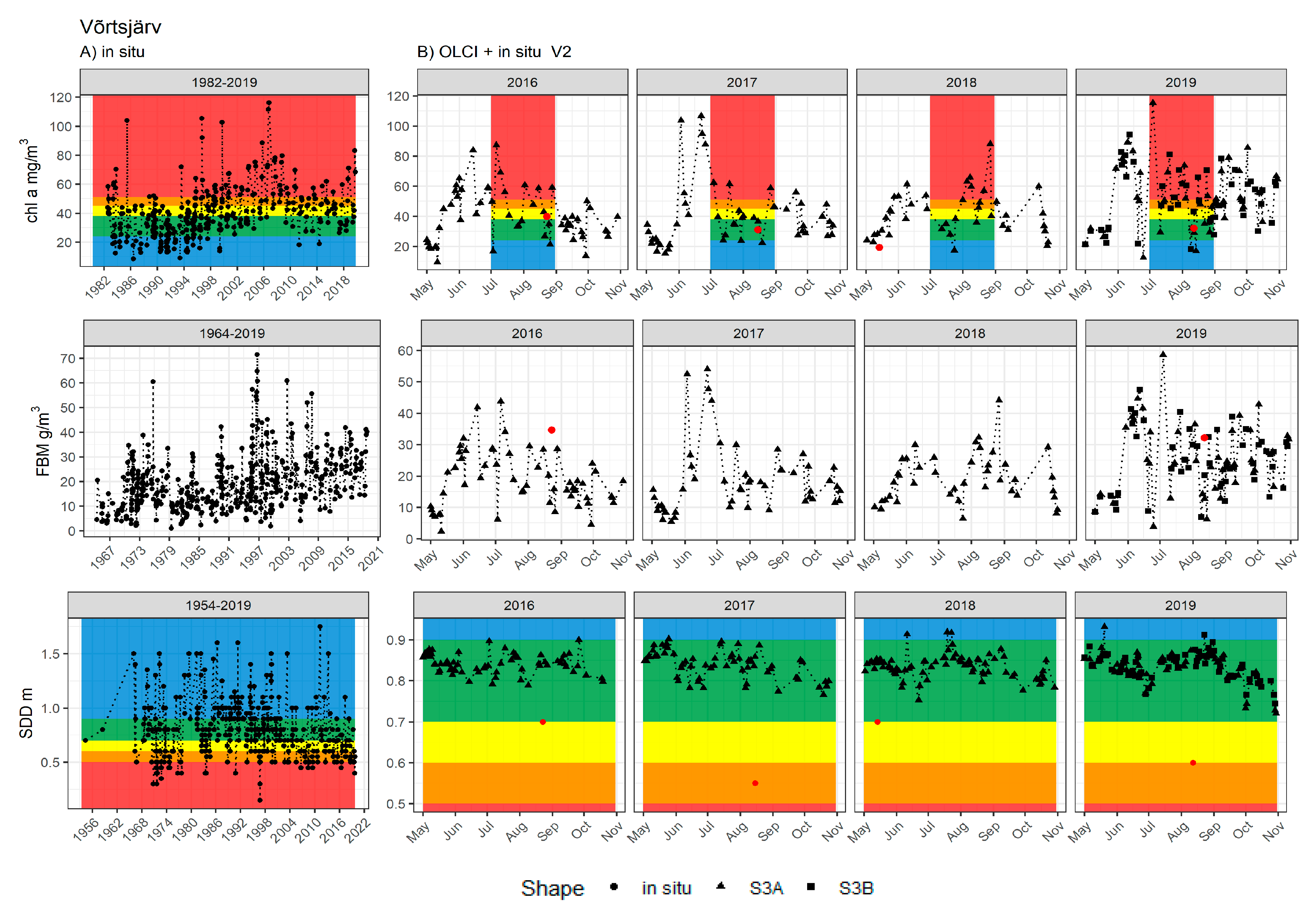
3.2. Inter-Annual Dynamics of Water Quality Parameters
3.3. Correction of chl a, FBM, and SDD Based on the Water Evel
4. Discussion
5. Conclusions
Author Contributions
Funding
Institutional Review Board Statement
Informed Consent Statement
Data Availability Statement
Acknowledgments
Conflicts of Interest
Appendix A


Appendix B
| Parameter | Month | p-Value | r | Intercept | Slope | N |
|---|---|---|---|---|---|---|
| Võrtsjärv | ||||||
| Ln (chl a) | 5 | 0.12 | −0.20 | 8.76 | −0.002 | 61 |
| 6 | 0.67 | −0.06 | 5.85 | −0.001 | 58 | |
| 7 | 0.01 | −0.35 | 15.12 | −0.003 | 57 | |
| 8 | 0.01 | −0.31 | 14.36 | −0.003 | 65 | |
| 9 | 0.19 | −0.17 | 9.37 | −0.002 | 57 | |
| 10 | 0.02 | −0.31 | 12.17 | −0.002 | 57 | |
| Ln (FBM) | 5 | 0.61 | 0.06 | −0.88 | 0.001 | 78 |
| 6 | 0.48 | −0.08 | 6.83 | −0.001 | 74 | |
| 7 | 0.01 | −0.28 | 16.00 | −0.004 | 76 | |
| 8 | 0.23 | −0.14 | 9.59 | −0.002 | 76 | |
| 9 | 0.17 | −0.16 | 9.06 | −0.002 | 78 | |
| 10 | 0.15 | −0.17 | 8.99 | −0.002 | 70 | |
| Ln (1/SDD) | 5 | 0.02 | −0.24 | 4.37 | −0.001 | 85 |
| 6 | 0.02 | −0.27 | 6.56 | −0.002 | 78 | |
| 7 | 0.00 | −0.41 | 8.66 | −0.002 | 72 | |
| 8 | 0.00 | −0.54 | 11.46 | −0.003 | 77 | |
| 9 | 0.00 | −0.58 | 14.77 | −0.004 | 78 | |
| 10 | 0.00 | −0.48 | 10.82 | −0.003 | 75 | |
| Peipsi s.s. | ||||||
| Ln (chl a) | 5 | 0.45 | −0.15 | 9.85 | −0.002 | 29 |
| 6 | 0.11 | −0.35 | 25.58 | −0.008 | 22 | |
| 7 | 0.88 | 0.03 | 1.34 | 0.000 | 25 | |
| 8 | 0.20 | −0.26 | 16.39 | −0.004 | 26 | |
| 9 | 0.13 | −0.30 | 18.30 | −0.005 | 27 | |
| 10 | 0.90 | 0.03 | 1.97 | 0.000 | 24 | |
| Ln (FBM) | 5 | 0.59 | 0.11 | −5.32 | 0.002 | 28 |
| 6 | 0.00 | −0.58 | 33.07 | −0.011 | 22 | |
| 7 | 0.95 | 0.01 | 0.60 | 0.000 | 25 | |
| 8 | 0.52 | −0.13 | 11.26 | −0.003 | 26 | |
| 9 | 0.01 | −0.48 | 33.50 | −0.011 | 25 | |
| 10 | 0.76 | 0.06 | −1.74 | 0.001 | 27 | |
| Ln (1/SDD) | 5 | 1.00 | 0.00 | −0.89 | 0.000 | 53 |
| 6 | 0.07 | −0.27 | 5.97 | −0.002 | 46 | |
| 7 | 0.48 | −0.09 | 2.91 | −0.001 | 62 | |
| 8 | 0.48 | −0.11 | 3.96 | −0.002 | 47 | |
| 9 | 0.71 | −0.06 | 1.00 | −0.001 | 47 | |
| 10 | 0.45 | −0.11 | 1.82 | −0.001 | 47 | |
| Lämmijärv | ||||||
| Ln (chl a) | 5 | 0.33 | −0.20 | 11.25 | −0.003 | 26 |
| 6 | 1.00 | 0.00 | 2.97 | 0.000 | 22 | |
| 7 | 0.00 | −0.62 | 26.65 | −0.008 | 22 | |
| 8 | 0.03 | −0.46 | 23.17 | −0.006 | 23 | |
| 9 | 0.38 | −0.20 | 13.54 | −0.003 | 22 | |
| 10 | 0.45 | −0.17 | 11.97 | −0.003 | 21 | |
| Ln (FBM) | 5 | 0.54 | −0.11 | 7.21 | −0.002 | 31 |
| 6 | 0.04 | −0.44 | 23.63 | −0.007 | 22 | |
| 7 | 0.21 | −0.26 | 9.39 | −0.002 | 25 | |
| 8 | 0.09 | −0.34 | 23.96 | −0.007 | 26 | |
| 9 | 0.05 | −0.40 | 21.75 | −0.006 | 24 | |
| 10 | 0.20 | −0.28 | 14.40 | −0.004 | 23 | |
| Ln (1/SDD) | 5 | 0.21 | −0.27 | 4.82 | −0.002 | 23 |
| 6 | 0.00 | −0.61 | 11.25 | −0.004 | 22 | |
| 7 | 0.01 | −0.56 | 13.38 | −0.004 | 21 | |
| 8 | 0.04 | −0.43 | 12.46 | −0.004 | 23 | |
| 9 | 0.17 | −0.31 | 8.22 | −0.003 | 21 | |
| 10 | 0.10 | −0.37 | 8.53 | −0.003 | 21 | |
| Pihkva | ||||||
| Ln (chl a) | 5 | - | - | - | - | - |
| 6 | - | - | - | - | - | |
| 7 | - | - | - | - | - | |
| 8 | 0.05 | −0.47 | 27.75 | −0.008 | 18 | |
| 9 | - | - | - | - | - | |
| 10 | - | - | - | - | - | |
| Ln (FBM) | 5 | 0.96 | −0.02 | 3.14 | 0.000 | 7 |
| 6 | - | - | - | - | - | |
| 7 | - | - | - | - | - | |
| 8 | 0.00 | −0.67 | 46.28 | −0.014 | 17 | |
| 9 | - | - | - | - | - | |
| 10 | - | - | - | - | - | |
| Ln (1/SDD) | 5 | 0.17 | −0.64 | 19.19 | −0.006 | 6 |
| 6 | 0.63 | 0.19 | −10.91 | 0.003 | 9 | |
| 7 | 0.31 | 0.50 | −7.50 | 0.002 | 6 | |
| 8 | 0.14 | −0.34 | 14.57 | −0.005 | 20 | |
| 9 | 0.36 | −0.46 | 27.64 | −0.009 | 6 | |
| 10 | 0.26 | −0.62 | 15.38 | −0.005 | 5 | |
Appendix C


References
- Ritchie, J.C.; Zimba, P.V.; Everitt, J.H. Remote Sensing Techniques to Assess Water Quality. Photogramm. Eng. Remote Sens. 2003, 69, 695–704. [Google Scholar] [CrossRef]
- Gray, N.F. Drinking Water Quality. Problems and Solutions; Cambridge University Press: Cambridge, UK, 2008. [Google Scholar]
- Munné, A.; Prat, N. Ecological aspects of the Water Framework Directive. In The Water Framework Directive in Catalonia; Generalitat de Catalunya: Barcelona, Spain, 2006; pp. 53–75. [Google Scholar]
- Tranvik, L.J.; Downing, J.A.; Cotner, J.B.; Loiselle, S.A.; Striegl, R.G.; Ballatore, T.J.; Dillon, P.; Finlay, K.; Fortino, K.; Knoll, L.B.; et al. Lakes and reservoirs as regulators of carbon cycling and climate. Limnol. Oceanogr. 2009, 54, 2298–2314. [Google Scholar] [CrossRef]
- European Comission. WFD 2000/60/EC of the European Parliament and of the Council of 23 October 2000 establishing a framework for Community action in the field of water policy. Off. J. Eur. Parliam. 2000, L327, 1–82. [Google Scholar] [CrossRef]
- Ferreira, J.G.; Vale, C.; Soares, C.V.; Salas, F.; Stacey, P.E.; Bricker, S.B.; Silva, M.C.; Marques, J.C. Monitoring of coastal and transitional waters under the E.U. water framework directive. Environ. Monit. Assess. 2007, 135, 195–216. [Google Scholar] [CrossRef]
- Arle, J.; Mohaupt, V.; Kirst, I. Monitoring of Surface Waters in Germany under the Water Framework Directive—A Review of Approaches, Methods and Results. Water 2016, 8, 217. [Google Scholar] [CrossRef]
- Giardino, C.; Bresciani, M.; Stroppiana, D.; Oggioni, A.; Morabito, G. Optical remote sensing of lakes: An overview on Lake Maggiore. J. Limnol. 2014, 73, 201–214. [Google Scholar] [CrossRef]
- Gao, Q.; Makhoul, E.; Escorihuela, M.; Zribi, M.; Quintana Seguí, P.; García, P.; Roca, M. Analysis of Retrackers’ Performances and Water Level Retrieval over the Ebro River Basin Using Sentinel-3. Remote Sens. 2019, 11, 718. [Google Scholar] [CrossRef]
- Nielsen, K.; Stenseng, L.; Andersen, O.B.; Villadsen, H.; Knudsen, P. Validation of CryoSat-2 SAR mode based lake levels. Remote Sens. Environ. 2015, 171, 162–170. [Google Scholar] [CrossRef]
- Jiang, L.; Schneider, R.; Andersen, O.B.; Bauer-Gottwein, P. CryoSat-2 altimetry applications over rivers and lakes. Water 2017, 9, 211. [Google Scholar] [CrossRef]
- Ayana, E.K. Validation of Radar Altimetry Lake Level Data And It’s Application in Water Resource Management. Master’s Thesis, International Institute for Geo-information Science and Earth Observation, Enschede, The Netherlands, 2007. [Google Scholar]
- Sheffield, J.; Wood, E.F.; Pan, M.; Beck, H.; Coccia, G.; Serrat-Capdevila, A.; Verbist, K. Satellite Remote Sensing for Water Resources Management: Potential for Supporting Sustainable Development in Data-Poor Regions. Water Resour. Res. 2018, 54, 9724–9758. [Google Scholar] [CrossRef]
- Avisse, N.; Tilmant, A.; François Müller, M.; Zhang, H. Monitoring small reservoirs’ storage with satellite remote sensing in inaccessible areas. Hydrol. Earth Syst. Sci. 2017, 21, 6445–6459. [Google Scholar] [CrossRef]
- Gholizadeh, M.H.; Melesse, A.M.; Reddi, L. A Comprehensive Review on Water Quality Parameters Estimation Using Remote Sensing Techniques. Sensors 2016, 16, 1298. [Google Scholar] [CrossRef]
- Göttl, F.; Dettmering, D.; Müller, F.L.; Schwatke, C. Lake Level Estimation Based on CryoSat-2 SAR Altimetry and Multi-Looked Waveform Classification. Remote Sens. 2016, 8, 885. [Google Scholar] [CrossRef]
- Dettmering, D.; Schwatke, C.; Boergens, E.; Seitz, F. Potential of ENVISAT Radar Altimetry for Water Level Monitoring in the Pantanal Wetland. Remote Sens. 2016, 8, 596. [Google Scholar] [CrossRef]
- Ismail, K.; Boudhar, A.; Abdelkrim, A.; Mohammed, H.; Mouatassime, S.; Kamal, A.; Driss, E.; Idrissi, E.; Nouaim, W. Evaluating the potential of Sentinel-2 satellite images for water quality characterization of artificial reservoirs: The Bin El Ouidane Reservoir case study (Morocco). Meteorol. Hydrol. Water Manag. 2019, 7, 31–39. [Google Scholar] [CrossRef]
- Salmaso, N.; Mosello, R. Limnological research in the deep southern subalpine lakes: Synthesis, directions and perspectives. Adv. Oceanogr. Limnol. 2010, 1, 29–66. [Google Scholar] [CrossRef]
- European Commission. Copernicus: New Name for European Earth Observation Programme; European Commission: Brussels, Belgium, 2012. [Google Scholar]
- European Commission. Copernicus Programme. Available online: https://www.copernicus.eu/en/about-copernicus/copernicus-brief (accessed on 12 June 2020).
- van der Woerd, H.J.; Wernand, M.R. True Colour Classification of Natural Waters with Medium-Spectral Resolution Satellites: SeaWiFS, MODIS, MERIS and OLCI. Sensors 2015, 15, 25663–25680. [Google Scholar] [CrossRef]
- Merchant, C.J.; Embury, O.; Bulgin, C.E.; Block, T.; Corlett, G.K.; Fiedler, E.; Good, S.A.; Mittaz, J.; Rayner, N.A.; Berry, D.; et al. Satellite-based time-series of sea-surface temperature since 1981 for climate applications. Sci. Data 2019, 6, 223. [Google Scholar] [CrossRef]
- Matthews, M.W. A current review of empirical procedures of remote sensing in Inland and near-coastal transitional waters. Int. J. Remote Sens. 2011, 32, 6855–6899. [Google Scholar] [CrossRef]
- Alikas, K.; Kangro, K.; Randoja, R.; Philipson, P.; Asuküll, E.; Pisek, J.; Reinart, A. Satellite-based products for monitoring optically complex inland waters in support of EU Water Framework Directive. Int. J. Remote Sens. 2015, 36, 4446–4468. [Google Scholar] [CrossRef]
- Riffler, M.; Lieberherr, G.; Wunderle, S. Lake surface water temperatures of European Alpine lakes (1989–2013) based on the Advanced Very High Resolution Radiometer (AVHRR) 1 km data set. Earth Syst. Sci. Data 2015, 7, 1–17. [Google Scholar] [CrossRef]
- Clark, J.M.; Schaeffer, B.A.; Darling, J.A.; Urquhart, E.A.; Johnston, J.M.; Ignatius, A.R.; Myer, M.H.; Loftin, K.A.; Werdell, P.J.; Stumpf, R.P. Satellite monitoring of cyanobacterial harmful algal bloom frequency in recreational waters and drinking water sources. Ecol. Indic. 2017, 80, 84–95. [Google Scholar] [CrossRef]
- Leshkevich, G.A.; Nghiem, S.V. Satellite SAR Remote Sensing of Great Lakes Ice Cover, Part 2. Ice Classification and Mapping. J. Great Lakes Res. 2007, 33, 736–750. [Google Scholar] [CrossRef]
- Iestyn Woolway, R.; Merchant, C.J. Amplified surface temperature response of cold, deep lakes to inter-annual air temperature variability. Sci. Rep. 2017, 7, 4130. [Google Scholar] [CrossRef]
- Duguay, C.R.; Bernier, M.; Gauthier, Y.; Kouraev, A. Remote sensing of lake and river ice. In Remote Sensing of the Cryosphere; Tedesco, M., Ed.; John Wiley & Sons, Ltd.: Hoboken, NJ, USA, 2015; pp. 273–306. ISBN 9781118368909. [Google Scholar]
- Simis, S.G.H.; Peters, S.W.M.; Gons, H.J. Remote sensing of the cyanobacterial pigment phycocyanin in turbid inland water. Limnol. Oceanogr. 2005, 50, 237–245. [Google Scholar] [CrossRef]
- Papathanasopoulou, E.; Simis, S.; Alikas, K.; Ansper, A.; Anttila, S.; Jenni, A.; Barillé, A.-L.; Barillé, L.; Brando, V.; Bresciani, M.; et al. Satellite-assisted monitoring of water quality to support the implementation of the Water Framework Directive. EOMORES White Pap. 2019, 1–28. [Google Scholar] [CrossRef]
- Ansper, A.; Alikas, K. Retrieval of Chlorophyll a from Sentinel-2 MSI Data for the European Union Water Framework Directive Reporting Purposes. Remote Sens. 2019, 11, 64. [Google Scholar] [CrossRef]
- Bresciani, M.; Stroppiana, D.; Odermatt, D.; Morabito, G.; Giardino, C. Assessing remotely sensed chlorophyll-a for the implementation of the Water Framework Directive in European perialpine lakes. Sci. Total Environ. 2011, 409, 3083–3091. [Google Scholar] [CrossRef]
- Attila, J.; Kauppila, P.; Kallio, K.Y.; Alasalmi, H.; Keto, V.; Bruun, E.; Koponen, S. Applicability of Earth Observation chlorophyll-a data in assessment of water status via MERIS—With implications for the use of OLCI sensors. Remote Sens. Environ. 2018, 212, 273–287. [Google Scholar] [CrossRef]
- Gohin, F.; Saulquin, B.; Oger-Jeanneret, H.; Lozac’h, L.; Lampert, L.; Lefebvre, A.; Riou, P.; Bruchon, F. Towards a better assessment of the ecological status of coastal waters using satellite-derived chlorophyll-a concentrations. Remote Sens. Environ. 2008, 112, 3329–3340. [Google Scholar] [CrossRef]
- Matthews, M.W.; Bernard, S.; Winter, K. Remote sensing of cyanobacteria-dominant algal blooms and water quality parameters in Zeekoevlei, a small hypertrophic lake, using MERIS. Remote Sens. Environ. 2010, 114, 2070–2087. [Google Scholar] [CrossRef]
- Alikas, K.; Kratzer, S. Improved retrieval of Secchi depth for optically-complex waters using remote sensing data. Ecol. Indic. 2017, 77, 218–227. [Google Scholar] [CrossRef]
- Alikas, K.; Kratzer, S.; Reinart, A.; Kauer, T.; Paavel, B. Robust remote sensing algorithms to derive the diffuse attenuation coefficient for lakes and coastal waters. Limnol. Oceanogr. Methods 2015, 13, 402–415. [Google Scholar] [CrossRef]
- Liu, X.; Lee, Z.; Zhang, Y.; Lin, J.; Shi, K.; Zhou, Y.; Qin, B.; Sun, Z. Remote Sensing of Secchi Depth in Highly Turbid Lake Waters and Its Application with MERIS Data. Remote Sens. 2019, 11, 2226. [Google Scholar] [CrossRef]
- Free, G.; Bresciani, M.; Trodd, W.; Tierney, D.; O’Boyle, S.; Plant, C.; Deakin, J. Estimation of lake ecological quality from Sentinel-2 remote sensing imagery. Hydrobiologia 2020, 847, 1423–1438. [Google Scholar] [CrossRef]
- Uudeberg, K.; Ansko, I.; Põru, G.; Ansper, A.; Reinart, A. Using Optical Water Types to Monitor Changes in Optically Complex Inland and Coastal Waters. Remote Sens. 2019, 11, 2297. [Google Scholar] [CrossRef]
- Soomets, T.; Uudeberg, K.; Jakovels, D.; Zagars, M.; Reinart, A.; Brauns, A.; Kutser, T. Comparison of lake opticalwater types derived from sentinel-2 and sentinel-3. Remote Sens. 2019, 11, 2883. [Google Scholar] [CrossRef]
- Xue, K.; Ma, R.; Wang, D.; Shen, M. Optical classification of the remote sensing reflectance and its application in deriving the specific phytoplankton absorption in optically complex lakes. Remote Sens. 2019, 11, 184. [Google Scholar] [CrossRef]
- González Vilas, L.; Spyrakos, E.; Torres Palenzuela, J.M. Neural network estimation of chlorophyll a from MERIS full resolution data for the coastal waters of Galician rias (NW Spain). Remote Sens. Environ. 2011, 115, 524–535. [Google Scholar] [CrossRef]
- Odermatt, D.; Pomati, F.; Pitarch, J.; Carpenter, J.; Kawka, M.; Schaepman, M.; Wüest, A. MERIS observations of phytoplankton blooms in a stratified eutrophic lake. Remote Sens. Environ. 2012, 126, 232–239. [Google Scholar] [CrossRef]
- Ioannou, I.; Gilerson, A.; Gross, B.; Moshary, F.; Ahmed, S. Deriving ocean color products using neural networks. Remote Sens. Environ. 2013, 134, 78–91. [Google Scholar] [CrossRef]
- Fink, G.; Burke, S.; Simis, S.G.H.; Kangur, K.; Kutser, T.; Mulligan, M. Management Options to Improve Water Quality in Lake Peipsi: Insights from Large Scale Models and Remote Sensing. Water Resour. Manag. 2020, 34, 2241–2254. [Google Scholar] [CrossRef]
- Gitelson, A.A.; Dall’Olmo, G.; Moses, W.; Rundquist, D.C.; Barrow, T.; Fisher, T.R.; Gurlin, D.; Holz, J. A simple semi-analytical model for remote estimation of chlorophyll-a in turbid waters: Validation. Remote Sens. Environ. 2008, 112, 3582–3593. [Google Scholar] [CrossRef]
- Nielsen, K.; Stenseng, L.; Andersen, O.B.; Knudsen, P. The Performance and Potentials of the CryoSat-2 SAR and SARIn Modes for Lake Level Estimation. Water 2017, 9, 374. [Google Scholar] [CrossRef]
- Troitskaya, Y.I.; Rybushkina, G.V.; Soustova, I.A.; Balandina, G.N.; Lebedev, S.A.; Kostyanoi, A.G.; Panyutin, A.A.; Filina, L.V. Satellite Altimetry of Inland Water Bodies. Water Resour. 2012, 39, 169–185. [Google Scholar] [CrossRef]
- Fernandes, M.J.; Lázaro, C.; Nunes, A.L.; Scharroo, R. Atmospheric corrections for altimetry studies over inland water. Remote Sens. 2014, 6, 4952–4997. [Google Scholar] [CrossRef]
- Leira, M.; Cantonati, M. Effects of water-level fluctuations on lakes: An annotated bibliography. Hydrobiologia 2008, 613, 171–184. [Google Scholar] [CrossRef]
- Wang, X.L.; Lu, Y.L.; Han, J.Y.; He, G.Z.; Wang, T.Y. Identification of anthropogenic influences on water quality of rivers in Taihu watershed. J. Environ. Sci. 2007, 19, 475–481. [Google Scholar] [CrossRef]
- Nõges, P.; Van De Bund, W.; Cardoso, A.C.; Heiskanen, A.S. Impact of climatic variability on parameters used in typology and ecological quality assessment of surface waters—Implications on the Water Framework Directive. Hydrobiologia 2007, 584, 373–379. [Google Scholar] [CrossRef]
- Koff, T.; Vandel, E.; Marzecová, A.; Avi, E.; Mikomägi, A. Assessment of the effect of anthropogenic pollution on the ecology of small shallow lakes using the palaeolimnological approach. Est. J. Earth Sci. 2016, 65, 221–233. [Google Scholar] [CrossRef]
- Khatri, N.; Tyagi, S. Influences of natural and anthropogenic factors on surface and groundwater quality in rural and urban areas. Front. Life Sci. 2015, 8, 23–39. [Google Scholar] [CrossRef]
- Wang, M.; Cheng, W.; Huang, J.; Shi, L.; Yu, B. Effects of water-level on water quality of reservoir in numerical simulated experiments. Chem. Eng. Trans. 2016, 51, 733–738. [Google Scholar] [CrossRef]
- Chen, M.Q.; Li, Y.; Li, K.F.; Li, R.; Li, J. Effects of water-level decline on water quality of reservoir. Sichuan Daxue Xuebao (Gongcheng Kexue Ban)/J. Sichuan Univ. Eng. Sci. Ed. 2012, 44, 32–36. [Google Scholar]
- Nõges, P.; Nõges, T.; Laas, A. Climate-related changes of phytoplankton seasonality in large shallow Lake Võrtsjärv, Estonia. Aquat. Ecosyst. Health Manag. 2010, 13, 154–163. [Google Scholar] [CrossRef]
- Nõges, T.; Nõges, P.; Laugaste, R. Water level as the mediator between climate change and phytoplankton composition in a large shallow temperate lake. In Hydrobiologia; Springer: Dordrecht, The Netherlands, 2003; Volume 506–509, pp. 257–263. [Google Scholar]
- Tuvikene, L.; Nõges, T.; Nõges, P. Why do phytoplankton species composition and “traditional” water quality parameters indicate different ecological status of a large shallow lake? Hydrobiologia 2011, 660, 3–15. [Google Scholar] [CrossRef]
- Nõges, T.; Nõges, P. The effect of extreme water level decrease on hydrochemistry and phytoplankton in shallow eutrophic lake. Hydrobiologia 1999, 408–409, 277–283. [Google Scholar] [CrossRef]
- Ministry of Environment. Pinnaveekogumite Moodustamise Kord ja Nende Pinnaveekogumite Nimestik, Mille Seisundiklass Tuleb Määrata, Pinnaveekogumite Seisundiklassid ja Seisundiklassidele Vastavad Kvaliteedinäitajate Väärtused Ning Seisundiklasside Määramise kord-RT I. 25 November 2010. Available online: https://www.riigiteataja.ee/akt/125112010015 (accessed on 3 September 2020).
- Keskkonnaministeerium. Keskkonnaseire Infrosüsteem. Available online: https://kese.envir.ee/kese/listProgramAndPublicReport.action (accessed on 27 February 2020).
- Mäemets, H.; Laugaste, R.; Palmik, K.; Haldna, M. Response of primary producers to water level fluctuations of Lake Peipsi. Proc. Est. Acad. Sci. 2018, 67, 231–245. [Google Scholar] [CrossRef]
- Nõges, P.; Nõges, T. Indicators and criteria to assess ecological status of the large shallow temperate polymictic lakes Peipsi (Estonia/Russia) and Võrtsjärv (Estonia). Boreal Environ. Res. 2006, 11, 67–80. [Google Scholar]
- Eesti Ilmateenistus. Hydrological Measurements. Available online: http://www.ilmateenistus.ee/ilmatarkus/mootetehnika/hudroloogiliste-vaatluste-mootetehnika/ (accessed on 9 March 2020).
- Ellmann, A.; Märdla, S.; Oja, T. The 5 mm geoid model for Estonia computed by the least squares modified Stokes’s formula. Surv. Rev. 2020, 52, 352–372. [Google Scholar] [CrossRef]
- Republic of Estonia Environment Agency. Annex 4. National Environmental Monitoring Program Surface Water Monitoring SUB-Program; Republic of Estonia Environment Agency: Tallinn, Estonia, 2019. [Google Scholar]
- Jeffrey, S.W.; Humphrey, G.F. New spectrophotometric equations for determining chlorophylls a, b, c1 and c2 in higher plants, algae and natural phytoplankton. Biochem. Physiol. Pflanz. 1975, 167, 191–194. [Google Scholar] [CrossRef]
- Utermöhl, H. Zur Vervollkommnung der quantitativen Phytoplankton-Methodik. Int. Vereinigung für Theor. Angew. Limnol. Mitt. 1958, 9, 1–38. [Google Scholar] [CrossRef]
- Respublic of Estonia Land Board. ESTHub Processing Platform. Available online: https://ehcalvalus.maaamet.ee/calest/calvalus.jsp (accessed on 10 December 2019).
- Alikas, K.; Kangro, K.; Reinart, A. Detecting cyanobacterial blooms in large North European lakes using the Maximum Chlorophyll Index. Oceanologia 2010, 52, 237–257. [Google Scholar] [CrossRef]
- Gower, J.; King, S.; Borstad, G.; Brown, L. Use of the 709 nm band of meris to detect intense plankton blooms and other conditions in coastal waters. Int. J. Remote Sens. 2005, 26, 2005–2012. [Google Scholar] [CrossRef]
- Villadsen, H.; Andersen, O.B.; Stenseng, L.; Nielsen, K.; Knudsen, P. CryoSat-2 altimetry for river level monitoring—Evaluation in the Ganges-Brahmaputra River basin. Remote Sens. Environ. 2015, 168, 80–89. [Google Scholar] [CrossRef]
- Taheri Tizro, A.; Ghashghaie, M.; Georgiou, P.; Voudouris, K. Time series analysis of water quality parameters. J. Appl. Res. Water Wastewater 2014, 1, 43–52. [Google Scholar]
- Monteiro, M.; Costa, M. A time series model comparison for monitoring and forecasting water quality variables. Hydrology 2018, 5, 37. [Google Scholar] [CrossRef]
- Wang, F.; Wang, X.; Zhao, Y.; Yang, Z.F. Long-term water quality variations and chlorophyll a simulation with an emphasis on different hydrological periods in Lake Baiyangdian, Northern China. J. Environ. Inform. 2012, 20, 90–102. [Google Scholar] [CrossRef]
- Wantzen, K.M.; Rothhaupt, K.-O.; Mörtl, M.; Cantonati, M.; László, G.; Fischer, P. Ecological Effects of Water-Level Fluctuations in Lakes; Springer: Dordrecht, The Netherlands, 2008. [Google Scholar]
- Gownaris, N.J.; Rountos, K.J.; Kaufman, L.; Kolding, J.; Lwiza, K.M.M.; Pikitch, E.K. Water level fluctuations and the ecosystem functioning of lakes. J. Great Lakes Res. 2018, 44, 1154–1163. [Google Scholar] [CrossRef]
- Maihemuti, B.; Aishan, T.; Simayi, Z.; Alifujiang, Y.; Yang, S. Temporal Scaling of Water Level Fluctuations in Shallow Lakes and Its Impacts on the Lake Eco-Environments. Sustainability 2020, 12, 3541. [Google Scholar] [CrossRef]
- Liu, X.; Yang, Z.; Yuan, S.; Wang, H. A novel methodology for the assessment of water level requirements in shallow lakes. Ecol. Eng. 2017, 102, 31–38. [Google Scholar] [CrossRef]
- Stefanidis, K.; Papastergiadou, E. Effects of a long term water level reduction on the ecology and water quality in an eastern Mediterranean lake. Knowl. Manag. Aquat. Ecosyst. 2013, 411. [Google Scholar] [CrossRef]
- Coops, H.; Beklioglu, M.; Crisman, T.L. The role of water-level fluctuations in shallow lake ecosystems—Workshop conclusions. Hydrobiologia 2003, 506–509, 23–27. [Google Scholar] [CrossRef]
- Zohary, T.; Ostrovsky, I. Ecological impacts of excessive water level fluctuations in stratified freshwater lakes. Inl. Waters 2011, 1, 47–59. [Google Scholar] [CrossRef]
- Górniak, A.; Piekarski, K. Seasonal and Multiannual Changes of Water Levels in Lakes of Northeastern Poland. Pol. J. Environ. Stud. 2002, 11, 349–354. [Google Scholar]
- Jeppesen, E.; Meerhoff, M.; Davidson, T.A.; Trolle, D.; Søndergaard, M.; Lauridsen, T.L.; Beklioǧlu, M.; Brucet, S.; Volta, P.; González-Bergonzoni, I.; et al. Climate change impacts on lakes: An integrated ecological perspective based on a multi-faceted approach, with special focus on shallow lakes. J. Limnol. 2014, 73, 84–107. [Google Scholar] [CrossRef]
- Mooij, W.M.; Hülsmann, S.; De Senerpont Domis, L.N.; Nolet, B.A.; Bodelier, P.L.E.; Boers, P.C.M.; Dionisio Pires, L.M.; Gons, H.J.; Ibelings, B.W.; Noordhuis, R.; et al. The impact of climate change on lakes in the Netherlands: A review. Aquat. Ecol. 2005, 39, 381–400. [Google Scholar] [CrossRef]
- Torabi Haghighi, A.; Kløve, B. A sensitivity analysis of lake water level response to changes in climate and river regimes. Limnologica 2015, 51, 118–130. [Google Scholar] [CrossRef]
- Whitehead, P.G.; Wilby, R.L.; Battarbee, R.W.; Kernan, M.; Wade, A.J. A review of the potential impacts of climate change on surface water quality. Hydrol. Sci. J. 2009, 54, 101–123. [Google Scholar] [CrossRef]
- Oppenheimer, M.; Glavovic, B.C.; Hinkel, J.; van de Wal, R.; Magnan, A.K.; Abd-Elgawad, A.; Cai, R.; Cifuentes-Jara, M.; DeConto, R.M.; Ghosh, T.; et al. Sea Level Rise and Implications for Low-Lying Islands, Coasts and Communities. In IPCC Special Report on the Ocean and Cryosphere in a Changing Climate; Pörtner, H.-O., Roberts, D.C., Masson-Delmotte, V., Zhai, P., Tignor, M., Poloczanska, E., Mintenbeck, K., Alegría, A., Nicolai, M., Okem, A., et al., Eds.; IPCC: Geneva, Switzerland, 2019. [Google Scholar]
- Vincent, W.F. Effects of Climate Change on Lakes. In Encyclopedia of Inland Waters; Elsvier: Amsterdam, The Netherlands, 2009; pp. 55–60. ISBN 9780123706263. [Google Scholar]
- Kiani, T.; Ramesht, M.H.; Maleki, A.; Safakish, F. Analyzing the Impacts of Climate Change on Water Level Fluctuations of Tashk and Bakhtegan Lakes and Its Role in Environmental Sustainability. Open J. Ecol. 2017, 7, 158–178. [Google Scholar] [CrossRef]
- Fan, Z.; Wang, Z.; Li, Y.; Wang, W.; Tang, C.; Zeng, F. Water Level Fluctuation under the Impact of Lake Regulation and Ecological Implication in Huayang Lakes, China. Water 2020, 12, 702. [Google Scholar] [CrossRef]
- Nhu, V.-H.; Mohammadi, A.; Shahabi, H.; Shirzadi, A.; Al-Ansari, N.; Ahmad, B.B.; Chen, W.; Khodadadi, M.; Ahmadi, M.; Khosravi, K.; et al. Monitoring and Assessment of Water Level Fluctuations of the Lake Urmia and Its Environmental Consequences Using Multitemporal Landsat 7 ETM + Images. Int. J. Environ. Res. Public Health 2020, 17, 4210. [Google Scholar] [CrossRef] [PubMed]
- Jalili, S.; Hamidi, S.A.; Namdar Ghanbari, R. Climate variability and anthropogenic effects on Lake Urmia water level fluctuations, northwestern Iran. Hydrol. Sci. J. 2016, 61, 1759–1769. [Google Scholar] [CrossRef]
- Schwatke, C.; Dettmering, D.; Bosch, W.; Seitz, F. DAHITI—An innovative approach for estimating water level time series over inland waters using multi-mission satellite altimetry. Hydrol. Earth Syst. Sci. 2015, 19, 4345–4364. [Google Scholar] [CrossRef]
- Berry, P.A.M.; Garlick, J.D.; Freeman, J.A.; Mathers, E.L. Global inland water monitoring from multi-mission altimetry. Geophys. Res. Lett. 2005, 32, 16. [Google Scholar] [CrossRef]
- Liibusk, A.; Kall, T.; Rikka, S.; Uiboupin, R.; Suursaar, Ü.; Tseng, K.H. Validation of copernicus sea level altimetry products in the baltic sea and estonian lakes. Remote Sens. 2020, 12, 4062. [Google Scholar] [CrossRef]
- Nielsen, K.; Andersen, O.B.; Ranndal, H. Validation of sentinel-3a based lake level over US and Canada. Remote Sens. 2020, 12, 2835. [Google Scholar] [CrossRef]
- Crétaux, J.F.; Bergé-Nguyen, M.; Calmant, S.; Jamangulova, N.; Satylkanov, R.; Lyard, F.; Perosanz, F.; Verron, J.; Montazem, A.S.; Guilcher, G.L.; et al. Absolute calibration or validation of the altimeters on the Sentinel-3A and the Jason-3 over Lake Issykkul (Kyrgyzstan). Remote Sens. 2018, 10, 1679. [Google Scholar] [CrossRef]
- Birkett, C.M. Radar altimetry: A new concept in monitoring lake level changes. Eos Trans. Am. Geophys. Union 1994, 75, 273–275. [Google Scholar] [CrossRef]
- Crétaux, J.F.; Birkett, C. Lake studies from satellite radar altimetry. Comptes Rendus-Geosci. 2006, 338, 1098–1112. [Google Scholar] [CrossRef]
- Crétaux, J.F.; Jelinski, W.; Calmant, S.; Kouraev, A.; Vuglinski, V.; Bergé-Nguyen, M.; Gennero, M.C.; Nino, F.; Abarca Del Rio, R.; Cazenave, A.; et al. SOLS: A lake database to monitor in the Near Real Time water level and storage variations from remote sensing data. Adv. Space Res. 2011, 47, 1497–1507. [Google Scholar] [CrossRef]
- Song, C.; Ye, Q.; Sheng, Y.; Gong, T. Combined ICESat and CryoSat-2 Altimetry for Accessing Water Level Dynamics of Tibetan Lakes over 2003–2014. Water 2015, 7, 4685–4700. [Google Scholar] [CrossRef]
- Wu, Y.J.; Qiao, G.; Li, H.W. Water Level Changes Of Nam-Co Lake Based On Satellite Altimetry Data Series. Int. Arch. Photogramm. Remote Sens. Spatial Inf. Sci. 2017, XLII-2/W7, 1555–1560. [Google Scholar] [CrossRef]
- Li, P.; Li, H.; Chen, F.; Cai, X. Monitoring long-term lake level variations in middle and lower yangtze basin over 2002-2017 through integration of multiple satellite altimetry datasets. Remote Sens. 2020, 12, 1448. [Google Scholar] [CrossRef]
- Chen, Q.; Zhang, Y.; Ekroos, A.; Hallikainen, M. The role of remote sensing technology in the EU water framework directive (WFD). Environ. Sci. Policy 2004, 7, 267–276. [Google Scholar] [CrossRef]
- Moses, W.J.; Gitelson, A.A.; Berdnikov, S.; Povazhnyy, V. Estimation of chlorophyll-a concentration in case II waters using MODIS and MERIS data—Successes and challenges. Environ. Res. Lett. 2009, 4, 045005. [Google Scholar] [CrossRef]
- Salem, S.I.; Strand, M.H.; Higa, H.; Kim, H.; Kazuhiro, K.; Oki, K.; Oki, T. Evaluation of MERIS Chlorophyll-a Retrieval Processors in a Complex Turbid Lake Kasumigaura over a 10-Year Mission. Remote Sens. 2017, 9, 1022. [Google Scholar] [CrossRef]
- Wozniak, M.; Bradtke, K.M.; Krezel, A. Comparison of satellite chlorophyll a algorithms for the Baltic Sea. J. Appl. Remote Sens. 2014, 8, 083605. [Google Scholar] [CrossRef]
- Chavula, G.; Brezonik, P.; Thenkabail, P.; Johnson, T.; Bauer, M. Estimating chlorophyll concentration in Lake Malawi from MODIS satellite imagery. Phys. Chem. Earth 2009, 34, 755–760. [Google Scholar] [CrossRef]
- Wu, M.; Zhang, W.; Wang, X.; Luo, D. Application of MODIS satellite data in monitoring water quality parameters of Chaohu Lake in China. Environ. Monit. Assess. 2009, 148, 255–264. [Google Scholar] [CrossRef]
- Zhang, J.; Xu, K.; Yang, Y.; Qi, L.; Hayashi, S.; Watanabe, M. Measuring water storage fluctuations in Lake Dongting, China, by Topex/Poseidon satellite altimetry. Environ. Monit. Assess. 2006, 115, 23–37. [Google Scholar] [CrossRef]
- Birkett, C.M. The contribution of TOPEX/POSEIDON to the global monitoring of climatically sensitive lakes. J. Geophys. Res. 1995, 100, 25179–25204. [Google Scholar] [CrossRef]
- Hydroweb. Available online: http://hydroweb.theia-land.fr/ (accessed on 1 February 2021).
- Deutsches Geodätisches Forschungsinstitut der Technischen Universität München Database for Hydrological Time Series of Inland Waters. Available online: https://dahiti.dgfi.tum.de/en/ (accessed on 1 February 2021).
- Global Reservoirs and Lakes Monitor (G-REALM). Available online: https://ipad.fas.usda.gov/cropexplorer/global_reservoir/ (accessed on 1 February 2021).
- Politi, E.; MacCallum, S.; Cutler, M.E.J.; Merchant, C.J.; Rowan, J.S.; Dawson, T.P. Selection of a network of large lakes and reservoirs suitable for global environmental change analysis using Earth Observation. Int. J. Remote Sens. 2016, 37, 3042–3060. [Google Scholar] [CrossRef]
- Globolakes. Available online: http://www.globolakes.ac.uk/index.html (accessed on 1 February 2021).
- Sathyendranath, S.; Brewin, R.J.W.; Brockmann, C.; Brotas, V.; Calton, B.; Chuprin, A.; Cipollini, P.; Couto, A.B.; Dingle, J.; Doerffer, R.; et al. An ocean-colour time series for use in climate studies: The experience of the ocean-colour climate change initiative (OC-CCI). Sensors 2019, 19, 4285. [Google Scholar] [CrossRef]





| Very Good | Good | Moderate | Bad | Very Bad | Study Site 2016–2019 | |
|---|---|---|---|---|---|---|
| Võrtsjärv | ||||||
| Chl a (mg/m3) | ≤24 | >24–38 | >38–45 | >45–51 | >51 | 5–81 (33) |
| FBM (g/m³) | – | – | – | – | – | – |
| SDD (m) | ≥0.9 | <0.9–0.7 | <0.7–0.6 | <0.6–0.5 | <0.5 | 0.4–2.15 (0.9) |
| Peipsi | ||||||
| Chl a (mg/m3) | ≤3 (Peipsi s.s.) ≤6 (Lämmijärv, Pihkva) | >3–8 (Peipsi s.s.) >6–13 (Lämmijärv, Pihkva) | >8–20 (Peipsi s.s.) >13–37 (Lämmijärv, Pihkva) | >20–38 (Peipsi s.s.) >37–75 (Lämmijärv, Pihkva) | >38 (Peipsi s.s.) >75 (Lämmijärv, Pihkva) | 5–89 (19) (Peipsi s.s.) 4–90 (46) (Lämmijärv, Pihkva) |
| FBM (g/m³) | ≤1 (Peipsi s.s.) ≤2.6 (Lämmijärv, Pihkva) | >1–2.6 (Peipsi s.s.) >2.6–6.4 (Lämmijärv, Pihkva) | >2.6–9.4 (Peipsi s.s.) >6.4–16.1 (Lämmijärv, Pihkva) | >9.4–17.3 (Peipsi s.s.) >16.1–37 (Lämmijärv, Pihkva) | >17.3 (Peipsi s.s.) >37 (Lämmijärv, Pihkva) | 1.4–98.5 (7.1) (Peipsi s.s.) 2.0–74.4 (18.6) (Lämmijärv, Pihkva) |
| SDD (m) | ≥3.5 (Peipsi s.s.) ≥2.0 (Lämmijärv, Pihkva) | <3.5–2.5 (Peipsi s.s.) <2.0–1.5 (Lämmijärv, Pihkva) | <2.5–1.5 (Peipsi s.s.) <1.5–1.0 (Lämmijärv, Pihkva) | <1.5–1.0 (Peipsi s.s.) <1.0–0.7 (Lämmijärv, Pihkva) | <1.0 (Peipsi s.s.) <0.7 (Lämmijärv, Pihkva) | 0.12–3.1 (1.0) (Peipsi s.s.) 0.13–1.1 (0.5) (Lämmijärv, Pihkva) |
Publisher’s Note: MDPI stays neutral with regard to jurisdictional claims in published maps and institutional affiliations. |
© 2021 by the authors. Licensee MDPI, Basel, Switzerland. This article is an open access article distributed under the terms and conditions of the Creative Commons Attribution (CC BY) license (http://creativecommons.org/licenses/by/4.0/).
Share and Cite
Ansper-Toomsalu, A.; Alikas, K.; Nielsen, K.; Tuvikene, L.; Kangro, K. Synergy between Satellite Altimetry and Optical Water Quality Data towards Improved Estimation of Lakes Ecological Status. Remote Sens. 2021, 13, 770. https://doi.org/10.3390/rs13040770
Ansper-Toomsalu A, Alikas K, Nielsen K, Tuvikene L, Kangro K. Synergy between Satellite Altimetry and Optical Water Quality Data towards Improved Estimation of Lakes Ecological Status. Remote Sensing. 2021; 13(4):770. https://doi.org/10.3390/rs13040770
Chicago/Turabian StyleAnsper-Toomsalu, Ave, Krista Alikas, Karina Nielsen, Lea Tuvikene, and Kersti Kangro. 2021. "Synergy between Satellite Altimetry and Optical Water Quality Data towards Improved Estimation of Lakes Ecological Status" Remote Sensing 13, no. 4: 770. https://doi.org/10.3390/rs13040770
APA StyleAnsper-Toomsalu, A., Alikas, K., Nielsen, K., Tuvikene, L., & Kangro, K. (2021). Synergy between Satellite Altimetry and Optical Water Quality Data towards Improved Estimation of Lakes Ecological Status. Remote Sensing, 13(4), 770. https://doi.org/10.3390/rs13040770

