Airborne Radar Super-Resolution Imaging Based on Fast Total Variation Method
Abstract
1. Introduction
2. Signal Model of Airborne Radar Imaging
3. One-Dimensional TV Method
3.1. Deduction of the Method
3.2. Analysis of Computational Complexity
4. Proposed GSFTV Method
4.1. GSFTV Method
4.2. Analysis of Computational Complexity
4.3. Selection of Parameters
4.4. Evaluation of Computational Efficiency
4.5. Evaluation of Approximated Error
5. Performance Verification
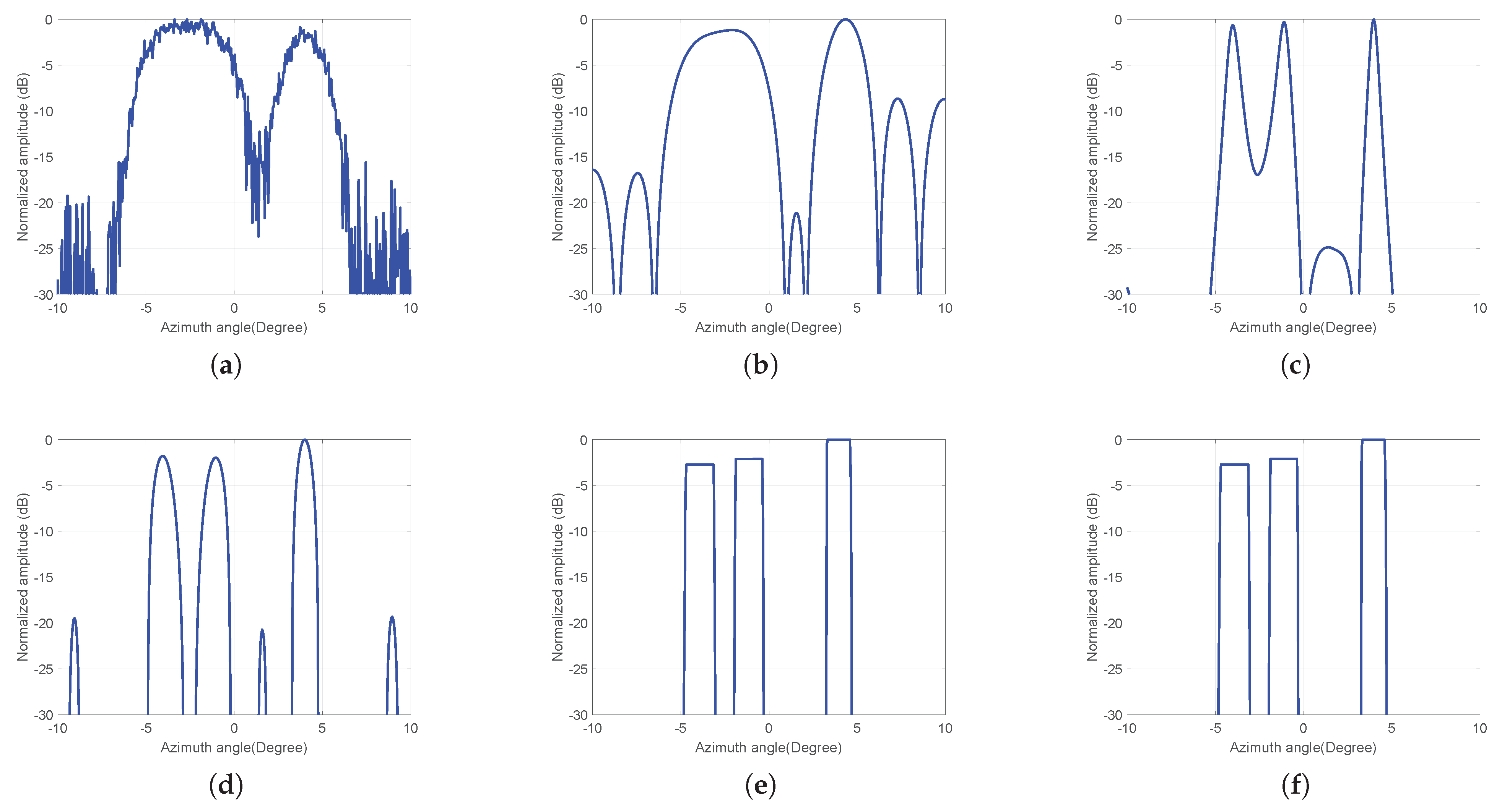
5.1. Simulation
5.2. Real Data Verification
5.2.1. Real Data 1
5.2.2. Real Data 2
5.3. Hardware Testing
6. Conclusions
Author Contributions
Funding
Institutional Review Board Statement
Informed Consent Statement
Data Availability Statement
Conflicts of Interest
References
- Esposito, C.; Berardino, P.; Natale, A.; Perna, S. On the Frequency Sweep Rate Estimation in Airborne FMCW SAR Systems. Remote Sens. 2020, 12, 3448. [Google Scholar] [CrossRef]
- Reigber, A.; Scheiber, R.; Jager, M.; Prats-Iraola, P.; Hajnsek, I.; Jagdhuber, T.; Papathanassiou, K.P.; Nannini, M.; Aguilera, E.; Baumgartner, S.; et al. Very-high-resolution airborne synthetic aperture radar imaging: Signal processing and applications. Proc. IEEE 2012, 101, 759–783. [Google Scholar] [CrossRef]
- Zhang, Q.; Zhang, Y.; Huang, Y.; Zhang, Y.; Pei, J.; Yi, Q.; Li, W.; Yang, J. TV-Sparse Super-Resolution Method for Radar Forward-Looking Imaging. IEEE Trans. Geosci. Remote Sens. 2020, 58, 6534–6549. [Google Scholar] [CrossRef]
- Biondi, F. Recovery of partially corrupted SAR images by super-resolution based on spectrum extrapolation. IEEE Geosci. Remote Sens. Lett. 2016, 14, 139–143. [Google Scholar] [CrossRef]
- Li, L.; Li, F. Beating the Rayleigh limit: Orbital-angular-momentum-based super-resolution diffraction tomography. Phys. Rev. E 2013, 88, 033205. [Google Scholar] [CrossRef]
- Donoho, D.L. Superresolution via sparsity constraints. SIAM J. Math. Anal. 1992, 23, 1309–1331. [Google Scholar] [CrossRef]
- Kang, M.S.; Kim, K.T. Compressive sensing based SAR imaging and autofocus using improved Tikhonov regularization. IEEE Sensors J. 2019, 19, 5529–5540. [Google Scholar] [CrossRef]
- Gennarelli, G.; Soldovieri, F. A linear inverse scattering algorithm for radar imaging in multipath environments. IEEE Geosci. Remote Sens. Lett. 2013, 10, 1085–1089. [Google Scholar] [CrossRef]
- Raju, C.; Reddy, T.S. MST radar signal processing using iterative adaptive approach. Geosci. Lett. 2018, 5, 1–10. [Google Scholar] [CrossRef]
- Zhang, Y.; Zhang, Q.; Zhang, Y.; Pei, J.; Huang, Y.; Yang, J. Fast Split Bregman Based Deconvolution Algorithm for Airborne Radar Imaging. Remote Sens. 2020, 12, 1747. [Google Scholar] [CrossRef]
- Mallat, S.; Yu, G. Super-resolution with sparse mixing estimators. IEEE Trans. Image Process. 2010, 19, 2889–2900. [Google Scholar] [CrossRef]
- Tang, V.H.; Bouzerdoum, A.; Phung, S.L. Compressive Radar Imaging of Stationary Indoor Targets with Low-Rank Plus Jointly Sparse and Total Variation Regularizations. IEEE Trans. Image Process. 2020, 29, 4598–4613. [Google Scholar] [CrossRef]
- Vishnevskiy, V.; Gass, T.; Szekely, G.; Tanner, C.; Goksel, O. Isotropic total variation regularization of displacements in parametric image registration. IEEE Trans. Med Imaging 2016, 36, 385–395. [Google Scholar] [CrossRef]
- Zhang, Y.; Tuo, X.; Huang, Y.; Yang, J. A tv forward-looking super-resolution imaging method based on tsvd strategy for scanning radar. IEEE Trans. Geosci. Remote Sens. 2020, 58, 4517–4528. [Google Scholar] [CrossRef]
- Zhang, Q.; Zhang, Y.; Huang, Y.; Zhang, Y.; Li, W.; Yang, J. Total variation superresolution method for radar forward-looking imaging. In Proceedings of the 2019 6th Asia-Pacific Conference on Synthetic Aperture Radar, Xiamen, China, 26–29 November 2019; IEEE: Piscataway, NJ, USA, 2019; pp. 1–4. [Google Scholar]
- Freund, R.W.; Zha, H. A look-ahead algorithm for the solution of general Hankel systems. Numer. Math. 1993, 64, 295–321. [Google Scholar] [CrossRef]
- Zhang, Y.; Zhang, Y.; Li, W.; Huang, Y.; Yang, J. Super-resolution surface mapping for scanning radar: Inverse filtering based on the fast iterative adaptive approach. IEEE Trans. Geosci. Remote Sens. 2017, 56, 127–144. [Google Scholar] [CrossRef]
- Glentis, G.O.; Jakobsson, A. Time-recursive IAA spectral estimation. IEEE Signal Process. Lett. 2010, 18, 111–114. [Google Scholar] [CrossRef]
- Kailath, T. Some new algorithms for recursive estimation in constant linear systems. IEEE Trans. Inf. Theory 1973, 19, 750–760. [Google Scholar] [CrossRef]
- Bitmead, R.R.; Anderson, B.D.O. Asymptotically fast solution of Toeplitz and related systems of linear equations. Linear Algebra Its Appl. 1980, 34, 103–116. [Google Scholar] [CrossRef]
- Glentis, G.O.; Jakobsson, A. Efficient implementation of iterative adaptive approach spectral estimation techniques. IEEE Trans. Signal Process. 2011, 59, 4154–4167. [Google Scholar] [CrossRef]
- Karlsson, J.; Rowe, W.; Xu, L.; Glentis, G.O.; Li, J. Fast missing-data IAA with application to notched spectrum SAR. IEEE Trans. Aerosp. Electron. Syst. 2014, 50, 959–971. [Google Scholar] [CrossRef]
- Zhang, Y.; Mao, D.; Zhang, Q.; Zhang, Y.; Huang, Y.; Yang, J. Airborne forward-looking radar super-resolution imaging using iterative adaptive approach. IEEE J. Sel. Top. Appl. Earth Obs. Remote Sens. 2019, 12, 2044–2054. [Google Scholar] [CrossRef]
- Chen, G.; Zhu, F.; Ann, Heng, P. An efficient statistical method for image noise level estimation. In Proceedings of the IEEE International Conference on Computer Vision, Santiago, Chile, 7–13 December 2015; IEEE: NW Washington, DC, USA, 2015; pp. 477–485. [Google Scholar]
- Zhang, Q.; Zhang, Y.; Huang, Y.; Zhang, Y.; Li, W.; Yang, J. Sparse with fast MM superresolution algorithm for radar forward-looking imaging. IEEE Access 2019, 7, 105247–105257. [Google Scholar] [CrossRef]
- Majid, S.; Mohammad, J. Optimal selection of annulus radius ratio to enhance heat transfer with minimum entropy generation in developing laminar forced convection of water-Al2O3 nanofluid flow. J. Cent. South Univ. 2017, 24, 1850–1865. [Google Scholar] [CrossRef]









| Methods | Computational Complexities | Typical Parameter Values |
|---|---|---|
| TSVD | ||
| IAA | ||
| Sparse | ||
| TV | ||
| GSFTV |
| Methods | TSVD | IAA | Sparse | TV | GSFTV |
|---|---|---|---|---|---|
| 50.68% | 26.84% | 55.16% | 96.44% | 96.44% |
| Parameters | Values |
|---|---|
| Beamwidth | |
| Pulse width | μs |
| Scanning region | ∼ |
| Speed of airborne platform | 150 m/s |
| Methods | Real-Beam Imaging | TSVD | IAA | Sparse | TV | GSFTV |
|---|---|---|---|---|---|---|
| Entropies | 5.67 | 5.46 | 4.69 | 4.28 | 3.78 | 3.82 |
| Methods | Real-Beam Imaging | TSVD | IAA | Sparse | TV | GSFTV |
|---|---|---|---|---|---|---|
| Entropies | 6.13 | 4.42 | 3.56 | 4.28 | 3.17 | 3.25 |
| Methods | TSVD | IAA | Sparse | TV | GSFTV |
|---|---|---|---|---|---|
| Computing times of real data 1(s) | 35.78 | 56.25 | 96.17 | 112.32 | 0.46 |
| Computing times of real data 2(s) | 16.22 | 31.52 | 46.88 | 58.69 | 0.31 |
Publisher’s Note: MDPI stays neutral with regard to jurisdictional claims in published maps and institutional affiliations. |
© 2021 by the authors. Licensee MDPI, Basel, Switzerland. This article is an open access article distributed under the terms and conditions of the Creative Commons Attribution (CC BY) license (http://creativecommons.org/licenses/by/4.0/).
Share and Cite
Zhang, Q.; Zhang, Y.; Zhang, Y.; Huang, Y.; Yang, J. Airborne Radar Super-Resolution Imaging Based on Fast Total Variation Method. Remote Sens. 2021, 13, 549. https://doi.org/10.3390/rs13040549
Zhang Q, Zhang Y, Zhang Y, Huang Y, Yang J. Airborne Radar Super-Resolution Imaging Based on Fast Total Variation Method. Remote Sensing. 2021; 13(4):549. https://doi.org/10.3390/rs13040549
Chicago/Turabian StyleZhang, Qiping, Yin Zhang, Yongchao Zhang, Yulin Huang, and Jianyu Yang. 2021. "Airborne Radar Super-Resolution Imaging Based on Fast Total Variation Method" Remote Sensing 13, no. 4: 549. https://doi.org/10.3390/rs13040549
APA StyleZhang, Q., Zhang, Y., Zhang, Y., Huang, Y., & Yang, J. (2021). Airborne Radar Super-Resolution Imaging Based on Fast Total Variation Method. Remote Sensing, 13(4), 549. https://doi.org/10.3390/rs13040549

