Clouds’ Microphysical Properties and Their Relationship with Lightning Activity in Northeast Brazil
Abstract
1. Introduction
2. Materials and Methods
2.1. Study Region
2.2. Data
2.2.1. LIS Data
2.2.2. 2A-Clim and 2A25 TRMM Products
2.3. Methodological Procedures
2.3.1. Cloud Microphysical Characteristics
2.3.2. Quantile Technique and Analysis of Variance (ANOVA)
2.3.3. Spatial Distribution of Clouds’ Microphysical Properties
2.3.4. Vertical Reflectivity Profiles (Z)
3. Results
3.1. Relationship between Clouds’ Microphysical Properties and Lightning Occurrence
3.2. Spatial and Seasonal Distribution of Microphysical Characteristics
3.3. Microphysical Properties as a Function of Lightning Tertiles
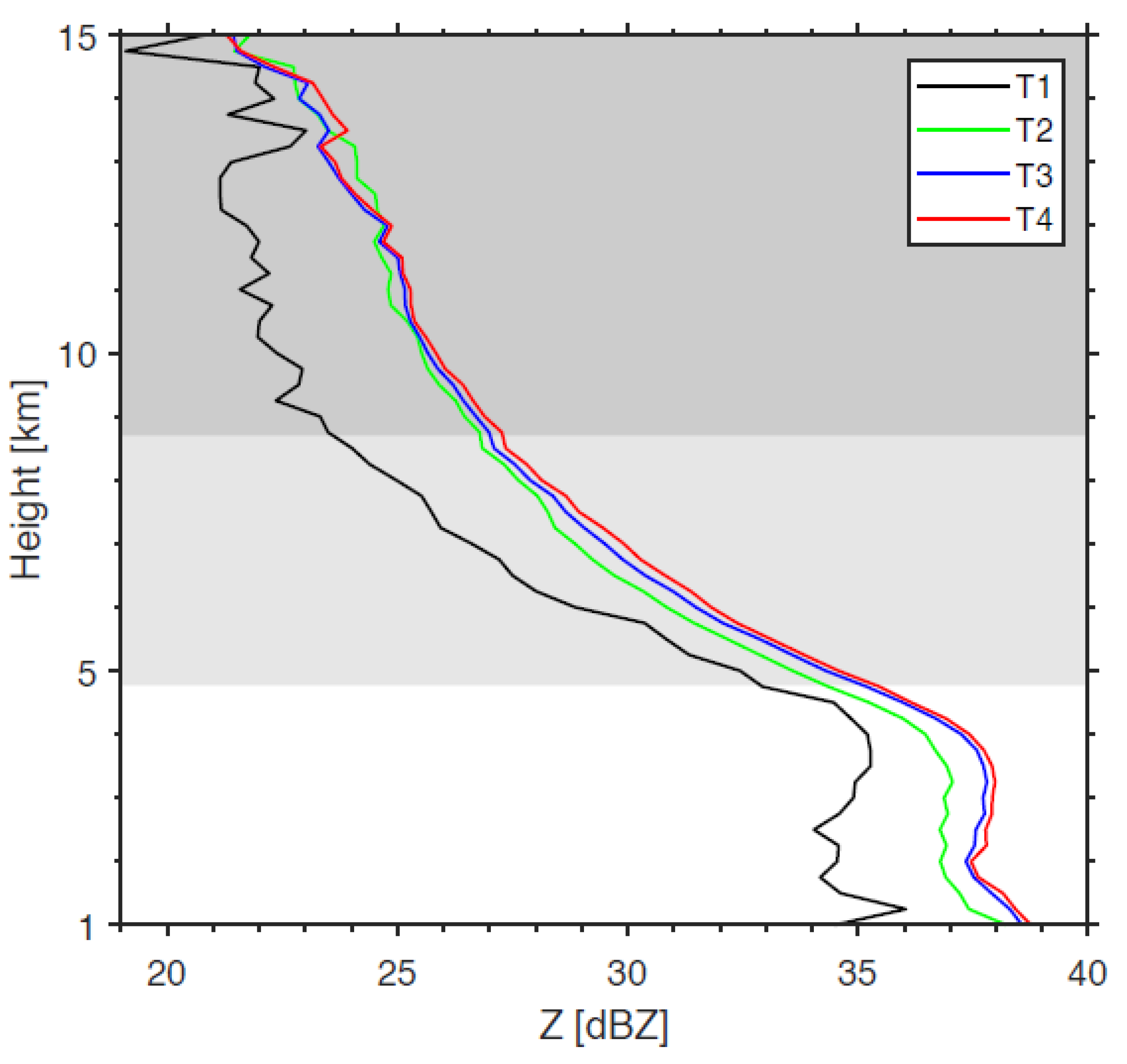
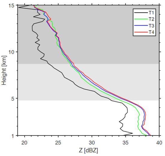
3.4. Vertical Structure of Clouds as a Function of Lightning Frequency
4. Discussion
4.1. Relationship between Clouds’ Microphysical Properties and Lightning Occurrence
4.2. Microphysical Properties as a Function of Lightning Tertiles
4.3. Vertical Structure of Clouds as a Function of Lightning Frequency
5. Conclusions
Author Contributions
Funding
Institutional Review Board Statement
Informed Consent Statement
Data Availability Statement
Acknowledgments
Conflicts of Interest
References
- Cunha, A.P.M.; Alvalá, R.C.; Nobre, C.A.; Carvalho, M.A. Monitoring vegetative drought dynamics in the Brazilian semiarid region. Agric. For. Meteorol. 2015, 214–215, 494–505. [Google Scholar] [CrossRef]
- Huang, J.; Ji, M.; Xie, Y.; Wang, S.; He, Y.; Ran, J. Global semi-arid climate change over last 60 years. Clim. Dyn. 2016, 46, 1131–1150. [Google Scholar] [CrossRef]
- Mutti, P.R.; Lúcio, P.S.; Dubreuil, V.; Bezerra, B.G. NDVI time series stochastic models for the forecast of vegetation dynamics over desertification hotspots. Int. J. Remote Sens. 2020, 41, 2759–2788. [Google Scholar] [CrossRef]
- Gomes, R.; Lima, K.C. Influence of the modes of climate variability in the Tropical Pacific and Atlantic on accumulated rainfall and reservoir water volumes in the Northeast Brazil. Int. J. Climatol. 2021. [Google Scholar] [CrossRef]
- Medeiros, F.J.; Lima, K.C.; Caetano, D.A.; Silva, F.J.O. Impact of the Internnual Variability of Precipitation on the Reservoirs of the Semiarid Northeast Brazil Region. Anuário do Instituto de Geociências 2018, 41, 731–741. [Google Scholar] [CrossRef]
- Reynolds, S.E.; Brook, M.; Gourley, M.F. Thunderstorm Charge Separation. J. Meteorol. 1957, 14, 426–436. [Google Scholar] [CrossRef]
- De Abreu, L.P.; Gonçalves, W.A.; Mattos, E.V.; Albrecht, R.I. Assessment of the total lightning flash rate density (FRD) in northeast Brazil (NEB) based on TRMM orbital data from 1998 to 2013. Int. J. Appl. Earth Obs. Geoinf. 2020, 93, 102195. [Google Scholar] [CrossRef]
- Zipser, E.J.; Cecil, D.J.; Liu, C.; Nesbitt, S.W.; Yorty, D.P. Where are the most: Intense thunderstorms on Earth? Bull. Am. Meteorol. Soc. 2006, 87, 1057–1071. [Google Scholar] [CrossRef]
- Albrecht, R.I.; Goodman, S.J.; Buechler, D.E.; Blakeslee, R.J.; Christian, H.J. Where Are the Lightning Hotspots on Earth? Bull. Am. Meteorol. Soc. 2016, 97, 2051–2068. [Google Scholar] [CrossRef]
- Cardoso, I.; Pinto, O.; Pinto, I.R.C.A.; Holle, R. Lightning casualty demographics in Brazil and their implications for safety rules. Atmos. Res. 2014, 135–136, 374–379. [Google Scholar] [CrossRef]
- Christian, H.J.; Blakeslee, R.J.; Goodman, S.J. The detection of lightning from geostationary orbit. J. Geophys. Res. 1989, 94, 13329. [Google Scholar] [CrossRef]
- Lima, K.C.; Gomes, R.G. Detecção de descargas elétricas atmosféricas em sistemas convectivos com dados do SIMEPAR. Revista Brasileira de Geofísica 2009, 27, 5–16. [Google Scholar] [CrossRef]
- Naccarato, K.P. Estudo de Relâmpagos no Brasil com base na Análise de Desempenho do Sistema de Localização de Tempestades; Instituto Nacional de Pesquisas Espaciais: São José dos Campos, Brazil, 2001. [Google Scholar]
- Williams, E.R. The tripole structure of thunderstorms. J. Geophys. Res. 1989, 94, 13151. [Google Scholar] [CrossRef]
- Formenton, M.; Panegrossi, G.; Casella, D.; Dietrich, S.; Mugnai, A.; Sanò, P.; Di Paola, F.; Betz, H.D.; Price, C.; Yair, Y. Using a cloud electrification model to study relationships between lightning activity and cloud microphysical structure. Nat. Hazards Earth Syst. Sci. 2013, 13, 1085–1104. [Google Scholar] [CrossRef]
- Zhou, Y.; Qie, X.; Soula, S. A study of the relationship between cloud-to-ground lightning and precipitation in the convective weather system in China. Ann. Geophys. 2002, 20, 107–113. [Google Scholar] [CrossRef]
- Dewan, A.; Ongee, E.T.; Rahman, M.M.; Mahmood, R.; Yamane, Y. Spatial and temporal analysis of a 17-year lightning climatology over Bangladesh with LIS data. Theor. Appl. Climatol. 2018, 134, 347–362. [Google Scholar] [CrossRef]
- Chatterjee, C.; Das, S. On the association between lightning and precipitation microphysics. J. Atmos. Sol. Terr. Phys. 2020, 207, 105350. [Google Scholar] [CrossRef]
- Soula, S.; Chauzy, S. Some aspects of the correlation between lightning and rain activities in thunderstorms. Atmos. Res. 2000, 56, 355–373. [Google Scholar] [CrossRef]
- Albrecht, R.I.; Morales, C.A.; Silva Dias, M.A.F. Electrification of precipitating systems over the Amazon: Physical processes of thunderstorm development. J. Geophys. Res. Atmos. 2011, 116, 1–27. [Google Scholar] [CrossRef]
- Petersen, W.A.; Fu, R.; Chen, M.; Blakeslee, R. Intraseasonal forcing of convection and lightning activity in the southern Amazon as a function of cross-equatorial flow. J. Clim. 2006, 19, 3180–3196. [Google Scholar] [CrossRef][Green Version]
- Petersen, W.A.; Deierling, W.K.; Gauthier, M.L.; Christian, H.J. Precipitation Ice and Lightning: From Global to Cell Scales. 2005. Available online: https://www.researchgate.net/publication/268372661_Precipitation_Ice_and_Lightning_From_Global_to_Cell_Scales (accessed on 9 October 2021).
- Abreu, L.P. Relâmpagos no Nordeste do Brasil: Ocorrência, Variabilidade Espaço-Temporal e Relação com Microfísica das Nuvens; Universidade Federal do Rio Grande do Norte: Natal, Brazil, 2018. [Google Scholar]
- Mattos, E.V.; Machado, L.A.T.; Williams, E.R.; Goodman, S.J.; Blakeslee, R.J.; Bailey, J.C. Electrification life cycle of incipient thunderstorms. J. Geophys. Res. Atmos. 2017, 122, 4670–4697. [Google Scholar] [CrossRef]
- Petersen, W.A.; Rutledge, S.A. Regional Variability in Tropical Convection: Observations from TRMM. J. Clim. 2001, 14, 3566–3586. [Google Scholar] [CrossRef]
- Williams, E.R.; Weber, M.E.; Orville, R.E. The relationship between lightning type and convective state of thunderclouds. J. Geophys. Res. 1989, 94, 13213. [Google Scholar] [CrossRef]
- Williams, E.; Boldi, B.; Matlin, A.; Weber, M.; Hodanish, S.; Sharp, D.; Goodman, S.; Raghavan, R.; Buechler, D. The behavior of total lightning activity in severe Florida thunderstorms. Atmos. Res. 1999, 51, 245–265. [Google Scholar] [CrossRef]
- Lamb, D. Clouds and Fog, Cloud Microphysics. In Encyclopedia of Atmospheric Sciences; Elsevier: Amsterdam, The Netherlands, 2015; Volume 2, pp. 133–140. ISBN 978-0-12-382225-3. [Google Scholar]
- Wallace, J.M.; Hobbs, P.V. Atmospheric Science: An Introductory Survey, 2nd ed.; Elsevier: Amsterdam, The Netherlands, 2006; ISBN 9780127329512. [Google Scholar]
- Carey, L.D.; Schultz, E.V.; Schultz, C.J.; Deierling, W.; Petersen, W.A.; Bain, A.L.; Pickering, K.E. An Evaluation of Relationships between Radar-Inferred Kinematic and Microphysical Parameters and Lightning Flash Rates in Alabama Storms. Atmosphere 2019, 10, 796. [Google Scholar] [CrossRef]
- Christian, H.J.; Blakeslee, R.J.; Boccippio, D.J.; Boeck, W.L.; Buechler, D.E.; Driscoll, K.; Goodman, S.J.; Hall, J.M.; Koshak, W.J.; Mach, D.M.; et al. Global frequency and distribution of lightning as observed from space by the Optical Transient Detector. J. Geophys. Res. 2003, 108, 4005. [Google Scholar] [CrossRef]
- Clark, S.K.; Ward, D.S.; Mahowald, N.M. Parameterization-based uncertainty in future lightning flash density. Geophys. Res. Lett. 2017, 44, 2893–2901. [Google Scholar] [CrossRef]
- Kummerow, C.; Barnes, W.; Kozu, T.; Shiue, J.; Simpson, J. The Tropical Rainfall Measuring Mission (TRMM) Sensor Package. J. Atmos. Ocean. Technol. 1998, 15, 809–817. [Google Scholar] [CrossRef]
- Allen, D.J.; Pickering, K.E. Evaluation of lightning flash rate parameterizations for use in a global chemical transport model. J. Geophys. Res. Atmos. 2002, 107, ACH15-1–ACH15-21. [Google Scholar] [CrossRef]
- Petersen, W.A.; Christian, H.J.; Rutledge, S.A. TRMM observations of the global relationship between ice water content and lightning. Geophys. Res. Lett. 2005, 32. [Google Scholar] [CrossRef]
- Grewe, V.; Brunner, D.; Dameris, M.; Grenfell, J.L.; Hein, R.; Shindell, D.; Staehelin, J. Origin and variability of upper tropospheric nitrogen oxides and ozone at northern mid-latitudes. Atmos. Environ. 2001, 35, 3421–3433. [Google Scholar] [CrossRef]
- Deierling, W.; Petersen, W.A. Total lightning activity as an indicator of updraft characteristics. J. Geophys. Res. 2008, 113, D16210. [Google Scholar] [CrossRef]
- Deierling, W.; Petersen, W.A.; Latham, J.; Ellis, S.; Christian, H.J. The relationship between lightning activity and ice fluxes in thunderstorms. J. Geophys. Res. 2008, 113, D15210. [Google Scholar] [CrossRef]
- Wang, N.-Y.; Gopalan, K.; Albrecht, R.I. Application of lightning to passive microwave convective and stratiform partitioning in passive microwave rainfall retrieval algorithm over land from TRMM. J. Geophys. Res. Atmos. 2012, 117. [Google Scholar] [CrossRef]
- Basarab, B.M.; Rutledge, S.A.; Fuchs, B.R. An improved lightning flash rate parameterization developed from Colorado DC3 thunderstorm data for use in cloud-resolving chemical transport models. J. Geophys. Res. Atmos. 2015, 120, 9481–9499. [Google Scholar] [CrossRef]
- Hayashi, S.; Umehara, A.; Nagumo, N.; Ushio, T. The relationship between lightning flash rate and ice-related volume derived from dual-polarization radar. Atmos. Res. 2021, 248, 105166. [Google Scholar] [CrossRef]
- Finney, D.L.; Doherty, R.M.; Wild, O.; Huntrieser, H.; Pumphrey, H.C.; Blyth, A.M. Using cloud ice flux to parametrise large-scale lightning. Atmos. Chem. Phys 2014, 14, 12665–12682. [Google Scholar] [CrossRef]
- Morales Rodriguez, C.A. Thunderstorm Efficiency Regimes in South America as Observed by STARNET and TRMM. J. Geophys. Res. Atmos. 2019, 124, 11428–11451. [Google Scholar] [CrossRef]
- Mattos, E.V.; Machado, L.A.T. Cloud-to-ground lightning and Mesoscale Convective Systems. Atmos. Res. 2011, 99, 377–390. [Google Scholar] [CrossRef]
- Cecil, D.J.; Blankenship, C.B. Toward a Global Climatology of Severe Hailstorms as Estimated by Satellite Passive Microwave Imagers. J. Clim. 2012, 25, 687–703. [Google Scholar] [CrossRef]
- Anselmo, E.M. Morfologia das Tempestades Elétricas na América do Sul. Ph.D. Thesis, Universidade de São Paulo, São Paulo, Brazil, 2015. [Google Scholar]
- Zhao, P.; Zhou, Y.; Xiao, H.; Liu, J.; Gao, J.; Ge, F. Total Lightning Flash Activity Response to Aerosol over China Area. Atmosphere 2017, 8, 26. [Google Scholar] [CrossRef]
- Rasmussen, K.L.; Houze, R.A. Orogenic Convection in Subtropical South America as Seen by the TRMM Satellite. Mon. Weather Rev. 2011, 139, 2399–2420. [Google Scholar] [CrossRef]
- Brazilian Institute of Geography and Statistics (IBGE). Sinopse do Censo Demográfico 2010; IBGE: Rio de Janeiro, Brazil, 2010. [Google Scholar]
- Alvares, C.A.; Stape, J.L.; Sentelhas, P.C.; de Moraes Gonçalves, J.L.; Sparovek, G. Köppen’s climate classification map for Brazil. Meteorologische Zeitschrift 2013, 22, 711–728. [Google Scholar] [CrossRef]
- Oliveira, P.T.; Santos e Silva, C.M.; Lima, K.C. Climatology and trend analysis of extreme precipitation in subregions of Northeast Brazil. Theor. Appl. Climatol. 2017, 130, 77–90. [Google Scholar] [CrossRef]
- Silva, P.E.; Silva, C.M.S.; Spyrides, M.H.C.; Andrade, L.M.B. Analysis of Climate Extreme Indices in the Northeast Brazil and the Brazilian Amazon in the Period from 1980 to 2013. Anuario do Instituto de Geociencias 2019, 42, 137–148. [Google Scholar] [CrossRef]
- Rodrigues, D.T.; Gonçalves, W.A.; Spyrides, M.H.C.; Santos e Silva, C.M. Spatial and temporal assessment of the extreme and daily precipitation of the Tropical Rainfall Measuring Mission satellite in Northeast Brazil. Int. J. Remote Sens. 2020, 41, 549–572. [Google Scholar] [CrossRef]
- Hastenrath, S.; Heller, L. Dynamics of climatic hazards in northeast Brazil. Q. J. R. Meteorol. Soc. 1977, 103, 77–92. [Google Scholar] [CrossRef]
- Reboita, M.S.; Krusche, N.; Ambrizzi, T.; Porfírio, R.; Rocha, D. Entendendo o Tempo e o Clima na América do Sul O Sol como Fonte de Energia. Terrae Didatica 2012, 8, 34–50. [Google Scholar] [CrossRef]
- Gan, M.A.; Kousky, V.E. Vórtices Ciclônicos Da Alta Troposfera No Oceano Atlântico Sul. Rev. Bras. Meteorol. 1986, 1, 19–28. [Google Scholar]
- Kousky, V.E.; Gan, M.A. Upper tropospheric cyclonic vortices in the tropical South Atlantic. Tellus 1981, 33, 538–551. [Google Scholar] [CrossRef]
- Houze, R.A. Cloud Dynamics; Academic Press: Cambridge, MA, USA, 1993. [Google Scholar]
- Machado, L.A.T.; Rossow, W.B. Structural Characteristics and Radiative Properties of Tropical Cloud Clusters. Mon. Weather Rev. 1993, 121, 3234–3260. [Google Scholar] [CrossRef]
- Brito, B.M.; Levit, V.; Fedorova, N.; Molion, L.C.B.; Tenório, R.S.; Rodrigues, R.N.; da Silva, B.F.P. Análise do comportamento das trovoadas no estado de Alagoas, previsão à curto prazo. Rev. Bras. Meteorol. 2011, 26, 243–256. [Google Scholar] [CrossRef][Green Version]
- Fedorova, N.; Levit, V.; da Cruz, C.D. On Frontal Zone Analysis in the Tropical Region of the Northeast Brazil. Pure Appl. Geophys. 2016, 173, 1403–1421. [Google Scholar] [CrossRef]
- Gomes, H.B.; Ambrizzi, T.; Herdies, D.L.; Hodges, K.; Pontes da Silva, B.F. Easterly Wave Disturbances over Northeast Brazil: An Observational Analysis. Adv. Meteorol. 2015, 2015, 1–20. [Google Scholar] [CrossRef]
- Yamazaki, Y.; Rao, V.B. Tropical Cloudiness over the South Atlantic Ocean. J. Meteorol. Soc. Japan 1977, 55, 205–207. [Google Scholar] [CrossRef][Green Version]
- NASA. Lightning Imaging Sensor (LIS) Instrument Overview. Available online: https://lightning.nsstc.nasa.gov/lis/overview_lis_instrument.html (accessed on 3 May 2017).
- Bitzer, P.M. Global distribution and properties of continuing current in lightning. J. Geophys. Res. Atmos. 2017, 122, 1033–1041. [Google Scholar] [CrossRef]
- Boccippio, D.J.; Koshak, W.J.; Blakeslee, R.J. Performance Assessment of the Optical Transient Detector and Lightning Imaging Sensor. Part I: Predicted Diurnal Variability. J. Atmos. Ocean. Technol. 2002, 19, 1318–1332. [Google Scholar] [CrossRef]
- Christian, H.J.; Blakeslee, R.J.; Goodman, S.J.; Mach, D.M. Algorithm Theoretical Basis Document (ATBD) for the Lightning Imaging Sensor (LIS). 2000. Available online: https://eospso.gsfc.nasa.gov/sites/default/files/atbd/atbd-lis-01.pdf (accessed on 9 October 2021).
- Goodman, S.J.; Christian, H.J.; Rust, W.D. A Comparison of the Optical Pulse Characteristics of Intracloud and Cloud-to-Ground Lightning as Observed above Clouds. J. Appl. Meteorol. 1988, 27, 1369–1381. [Google Scholar] [CrossRef]
- NASA. TRMM Microwave Imager (TMI) 2A12. Available online: https://disc.gsfc.nasa.gov/precipitation/documentation/documentation/TRMM_README/TRMM_2A12_readme.shtml (accessed on 3 May 2017).
- Banze, B.E. Avaliação dos Modelos de Estimativa de Precipitação do TRMM em Moçambique; Universidade de São Paulo: São Paulo, Brazil, 2016. [Google Scholar]
- NASA. TRMM Instruments. Available online: https://gpm.nasa.gov/missions/TRMM/satellite (accessed on 14 January 2021).
- NASA. Tropical Rainfall Measuring Mission Precipitation Proceassing System: File Specification 2A25; NASA: Washington, DC, USA, 2015. [Google Scholar]
- De Oliveira, P.T. Estudo Estatístico Sobre Eventos de Precipitação Intensa no Nordeste do Brasil; Universidade Federal do Rio Grande do Norte: Natal, Brazil, 2014. [Google Scholar]
- Wilks, D.S. Statistical Methods in the Atmospheric Sciences; Academic Press: Cambridge, MA, USA, 2006; Volume 59, ISBN 9780080456225. [Google Scholar]
- Chambers, J.M.; Freeny, A.E.; Heiberger, R.M. Analysis of Variance; Designed Experiments. In Statistical Models in S; Routledge: Oxfordshire, UK, 1992; p. 49. [Google Scholar]
- Driscoll, W.C. Robustness of the ANOVA and Tukey-Kramer statistical tests. Comput. Ind. Eng. 1996, 31, 265–268. [Google Scholar] [CrossRef]
- Tukey, J.W. Comparing Individual Means in the Analysis of Variance. Biometrics 1949, 5, 99. [Google Scholar] [CrossRef]
- Royston, J.P. An Extension of Shapiro and Wilk’s W Test for Normality to Large Samples. Appl. Stat. 1982, 31, 115. [Google Scholar] [CrossRef]
- Brown, M.B.; Forsythe, A.B. Robust Tests for the Equality of Variances. J. Am. Stat. Assoc. 1974, 69, 364. [Google Scholar] [CrossRef]
- Ljung, G.M.; Box, G.E.P. On a Measure of Lack of Fit in Time Series Models. Biometrika 1978, 65, 297. [Google Scholar] [CrossRef]
- Rodrigues, D.T. Análise de Eventos Extremos de Precipitação no Nordeste do Brasil; Universidade Federal do Rio Grande do Norte: Natal, Brazil, 2019; Volume 1. [Google Scholar]
- Cumming, G.; Fidler, F.; Vaux, D.L. Error bars in experimental biology. J. Cell Biol. 2007, 177, 7–11. [Google Scholar] [CrossRef] [PubMed]
- Palharini, R.S.A.; Vila, D.A. Climatological Behavior of Precipitating Clouds in the Northeast Region of Brazil. Adv. Meteorol. 2017, 2017, 1–12. [Google Scholar] [CrossRef]
- Mattos, E.V.; Machado, L.A.T.; Williams, E.R.; Albrecht, R.I. Polarimetric radar characteristics of storms with and without lightning activity. J. Geophys. Res. Atmos. 2016, 121, 201–220. [Google Scholar] [CrossRef]
- Toracinta, E.R.; Cecil, D.J.; Zipser, E.J.; Nesbitt, S.W. Radar, Passive Microwave, and Lightning Characteristics of Precipitating Systems in the Tropics. Mon. Weather Rev. 2002, 130, 802–824. [Google Scholar] [CrossRef]
- Zipser, E.J.; Lutz, K.R. The Vertical Profile of Radar Reflectivity of Convective Cells: A Strong Indicator of Storm Intensity and Lightning Probability? Mon. Weather Rev. 1994, 122, 1751–1759. [Google Scholar] [CrossRef]
- Torenbeek, E. Appendix B—International Standard Atmosphere: Manual of the ICAO Standard Atmosphere. In Advanced Aircraft Design: Conceptual Design, Analysis and Optimization of Subsonic Civil Airplanes; Wiley: Hoboken, NJ, USA, 2013; pp. 397–398. [Google Scholar] [CrossRef]
- Cavcar, M. The International Standard Atmosphere (ISA). Available online: http://fisicaatmo.at.fcen.uba.ar/practicas/ISAweb.pdf (accessed on 8 October 2021).
- Agency, E.A.S. Definitions and Abbreviations used in Certification Specifications for Products, Parts and Appliances: CS-Definitions. Available online: https://www.easa.europa.eu/sites/default/files/dfu/CS-Definitions—Amendment2.pdf (accessed on 8 October 2021).
- Czekala, H.; Crewell, S.; Simmer, C.; Thiele, A. Discrimination of cloud and rain liquid water path by groundbased polarized microwave radiometry. Geophys. Res. Lett. 2001, 28, 267–270. [Google Scholar] [CrossRef]
- Collier, A.B.; Hughes, A.R.W. Lightning and the African ITCZ. J. Atmos. Solar-Terrestrial Phys. 2011, 73, 2392–2398. [Google Scholar] [CrossRef]
- Melo, A.B.C.; Nobre, P.; Melo, M.L.D.; Santana, S.C. Estudo climatológico da posiçõo da ZCIT no atlântico equatorial e sua influência sobre o Nordeste do Brasil. Congr. Bras. Meteorol. 2000, 11, 1142–1147. [Google Scholar]
- Soula, S.; Kasereka, J.K.; Georgis, J.F.; Barthe, C. Lightning climatology in the Congo Basin. Atmos. Res. 2016, 178–179, 304–319. [Google Scholar] [CrossRef]
- Reboita, M.S.; Gan, M.A.; Rocha, R.P.D.; Ambrizzi, T. Regimes de precipitação na América do Sul: Uma revisão bibliográfica. Rev. Bras. Meteorol. 2010, 25, 185–204. [Google Scholar] [CrossRef]
- Harris, G.N.; Bowman, K.P.; Shin, D.-B. Comparison of Freezing-Level Altitudes from the NCEP Reanalysis with TRMM Precipitation Radar Brightband Data. J. Clim. 2000, 13, 4137–4148. [Google Scholar] [CrossRef]
- Vendrasco, E.P.; Machado, L.A.T.; Araujo, C.S.; Ribaud, J.-F.; Ferreira, R.C. Potential use of the GLM for nowcasting and data assimilation. Atmos. Res. 2020, 242, 105019. [Google Scholar] [CrossRef]
- Soriano, L.R.; Sánchez Llorente, J.; González Zamora, A.; de Pablo Dávila, F. Influence of land cover on lightning and convective precipitation over the European continent. Prog. Phys. Geogr. Earth Environ. 2019, 43, 352–364. [Google Scholar] [CrossRef]
- Minobe, S.; Park, J.H.; Virts, K.S. Diurnal Cycles of Precipitation and Lightning in the Tropics Observed by TRMM3G68, GSMaP, LIS, and WWLLN. J. Clim. 2020, 33, 4293–4313. [Google Scholar] [CrossRef]
- Williams, E.R. The Electrification of Thunderstorms. Sci. Am. 1988, 259, 88–99. [Google Scholar] [CrossRef]
- Steiner, M.; Smith, J.A. Convective versus stratiform rainfall: An ice-microphysical and kinematic conceptual model. Atmos. Res. 1998, 47–48, 317–326. [Google Scholar] [CrossRef]
- Williams, E.; Rothkin, K.; Stevenson, D.; Boccippio, D. Global Lightning Variations Caused by Changes in Thunderstorm Flash Rate and by Changes in the Number of Thunderstorms. J. Appl. Meteorol. 2000, 39, 2223–2230. [Google Scholar] [CrossRef]
- Xavier, A.C.; King, W.; Scanlon, B.R. Daily gridded meteorological variables in Brazil (1980–2013). Int. J. Climatol. 2016, 2659, 2644–2659. [Google Scholar] [CrossRef]
- Takayabu, Y.N. Rain-yield per flash calculated from TRMM PR and LIS data and its relationship to the contribution of tall convective rain. Geophys. Res. Lett. 2006, 33. [Google Scholar] [CrossRef]
- Bourscheidt, V.; Pinto, O.; Naccarato, K.P.; Pinto, I.R.C.A. The influence of topography on the cloud-to-ground lightning density in South Brazil. Atmos. Res. 2009, 91, 508–513. [Google Scholar] [CrossRef]
- Bürgesser, R.E.; Nicora, M.G.; Ávila, E.E. Characterization of the lightning activity of “Relámpago del Catatumbo”. J. Atmos. Solar-Terrestrial Phys. 2012, 77, 241–247. [Google Scholar] [CrossRef]
- Molion, L.C.B.; Bernardo, S.D.O. Dinâmica das Chuvas no Nordeste Brasileiro. An. Congr. Bras. Meteorol. 2002, 1, 1334–1342. [Google Scholar] [CrossRef]
- Uvo, C.B. A Zona de Convergência Intertropical (ZCIT) e Sua Relação Com a Precipitação na Região Norte do Nordeste Brasileiro. Master’s Thesis, Instituto Nacional de Pesquisas Espaciais, São José dos Campos, Brazil, 1989. [Google Scholar]
- Rasmussen, K.L.; Zuluaga, M.D.; Houze, R.A. Severe convection and lightning in subtropical South America. Geophys. Res. Lett. 2014, 41, 7359–7366. [Google Scholar] [CrossRef]
- Sheridan, S.C.; Griffiths, J.F.; Orville, R.E. Warm Season Cloud-to-Ground Lightning–Precipitation Relationships in the South-Central United States. Weather Forecast. 1997, 12, 449–458. [Google Scholar] [CrossRef]
- Straka, J.M.; Zrnić, D.S.; Ryzhkov, A.V. Bulk Hydrometeor Classification and Quantification Using Polarimetric Radar Data: Synthesis of Relations. J. Appl. Meteorol. 2000, 39, 1341–1372. [Google Scholar] [CrossRef]
- Rinehart, R.E. Radar for Meteorologists, 5th ed.; Rinehart Publications, Ed.; Rinehart Publications: New York, NY, USA, 2010. [Google Scholar]
- Liu, Z.; Zheng, D.; Guo, F.; Zhang, Y.; Zhang, Y.; Wu, C.; Chen, H.; Han, S. Lightning activity and its associations with cloud structures in a rainstorm dominated by warm precipitation. Atmos. Res. 2020, 246, 105120. [Google Scholar] [CrossRef]
- Katsanos, D.K.; Lagouvardos, K.; Kotroni, V.; Argiriou, A.A. The Relationship of Lightning Activity with Microwave Brightness Temperatures and Spaceborne Radar Reflectivity Profiles in the Central and Eastern Mediterranean. J. Appl. Meteorol. Climatol. 2007, 46, 1901–1912. [Google Scholar] [CrossRef]
- Feng, G.; Qie, X.; Yuan, T.; Niu, S. Lightning activity and precipitation structure of hailstorms. Sci. China Ser. D Earth Sci. 2007, 50, 629–639. [Google Scholar] [CrossRef]
- Liu, C.; Cecil, D.J.; Zipser, E.J.; Kronfeld, K.; Robertson, R. Relationships between lightning flash rates and radar reflectivity vertical structures in thunderstorms over the tropics and subtropics. J. Geophys. Res. Atmos. 2012, 117. [Google Scholar] [CrossRef]
- Goodman, S.J.; Blakeslee, R.J.; Koshak, W.J.; Mach, D.; Bailey, J.; Buechler, D.; Carey, L.; Schultz, C.; Bateman, M.; McCaul, E.; et al. The GOES-R Geostationary Lightning Mapper (GLM). Atmos. Res. 2013, 125–126, 34–49. [Google Scholar] [CrossRef]







| Feature | Pre-Boost (before 7 August 2001) | Post-Boost (after 24 August 2001) |
|---|---|---|
| Temporal coverage | 8 December 1997 to 7 August 2001 | 24 August 2001 to 8 April 2015 |
| Temporal coverage used in this work | 1 January 1998 to 31 December 2013 | |
| Geographic coverage | Latitude: 38° S–38° N/Longitude: 180° W–180° E | |
| Temporal resolution | ~16 orbits/day | |
| Spatial resolution | ~4.4 km | ~5.1 km |
| Variables used in this work (Products) | Ice Water Path (2A-CLIM); Convective Precipitation (2A-CLIM); Rain Water Path (2A-CLIM); Surface Precipitation (2A-CLIM); Freezing Level Heigth (2A25); Reflectivity (2A25). | |
Publisher’s Note: MDPI stays neutral with regard to jurisdictional claims in published maps and institutional affiliations. |
© 2021 by the authors. Licensee MDPI, Basel, Switzerland. This article is an open access article distributed under the terms and conditions of the Creative Commons Attribution (CC BY) license (https://creativecommons.org/licenses/by/4.0/).
Share and Cite
de Abreu, L.P.; Gonçalves, W.A.; Mattos, E.V.; Mutti, P.R.; Rodrigues, D.T.; da Silva, M.P.A. Clouds’ Microphysical Properties and Their Relationship with Lightning Activity in Northeast Brazil. Remote Sens. 2021, 13, 4491. https://doi.org/10.3390/rs13214491
de Abreu LP, Gonçalves WA, Mattos EV, Mutti PR, Rodrigues DT, da Silva MPA. Clouds’ Microphysical Properties and Their Relationship with Lightning Activity in Northeast Brazil. Remote Sensing. 2021; 13(21):4491. https://doi.org/10.3390/rs13214491
Chicago/Turabian Stylede Abreu, Lizandro Pereira, Weber Andrade Gonçalves, Enrique Vieira Mattos, Pedro Rodrigues Mutti, Daniele Torres Rodrigues, and Marcos Paulo Araújo da Silva. 2021. "Clouds’ Microphysical Properties and Their Relationship with Lightning Activity in Northeast Brazil" Remote Sensing 13, no. 21: 4491. https://doi.org/10.3390/rs13214491
APA Stylede Abreu, L. P., Gonçalves, W. A., Mattos, E. V., Mutti, P. R., Rodrigues, D. T., & da Silva, M. P. A. (2021). Clouds’ Microphysical Properties and Their Relationship with Lightning Activity in Northeast Brazil. Remote Sensing, 13(21), 4491. https://doi.org/10.3390/rs13214491

