Retrieval of O3, NO2, BrO and OClO Columns from Ground-Based Zenith Scattered Light DOAS Measurements in Summer and Autumn over the Northern Tibetan Plateau
Abstract
1. Introduction
2. Materials and Methods
2.1. Site and Instrument
2.2. Spectral Retrieval
2.3. Langley Plot Method
2.4. OMI Product
3. Results
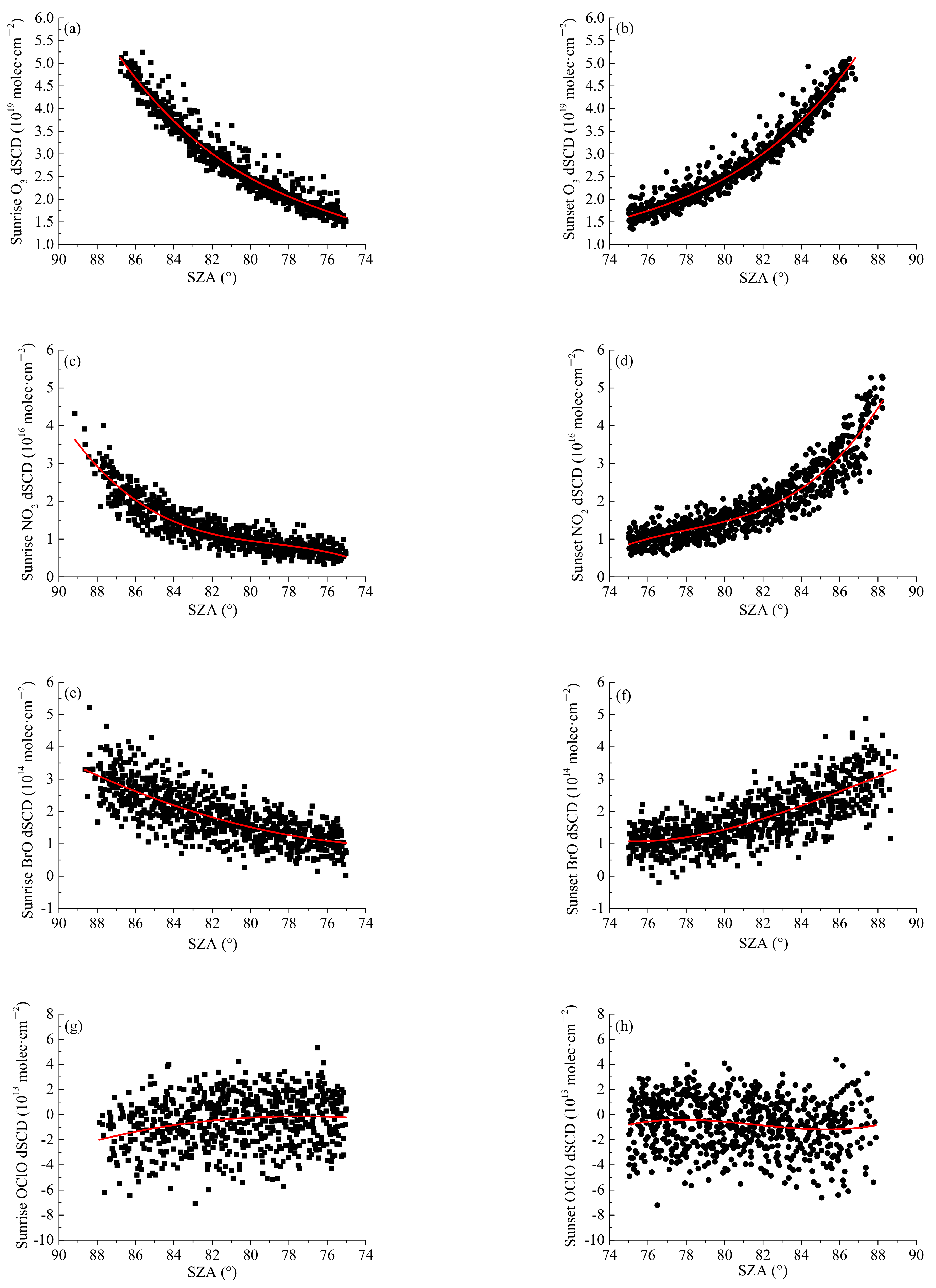
3.1. Overview on the Variations of the dSCDs with SZA
3.2. O3 Vertical Column Densities (VCDs)
3.2.1. O3 VCD Sensitivities to AMF Simulation Parameters
3.2.2. Variation of the O3 VCD and Comparison with the OMI Product
3.3. NO2 Vertical Column Densities (VCDs)
3.4. Temporal Variation of the BrO dSCDs
=(dSCD90° + SCDref)–(dSCD80° + SCDref)
=dSCD90°–dSCD80°
4. Discussion
5. Conclusions
- O3 VCDs, derived by the Langley plot method, are sensitive to the wavelength, the a priori O3 profile, and the aerosol extinction profile used in the AMF simulation model as well as the SZA range covered by O3 dSCDs. In contrast, the O3 VCDs are almost insensitive to the chosen profiles of temperature, pressure, and relative humidity.
- The derived O3 VCDs matched well with the OMI satellite product, with a correlation coefficient R = 0.98 for the monthly O3 VCDs. One possible reason, for the differences between the two data sets, was the difference in the spatial and temporal representativeness of the O3 VCDs obtained by the zenith DOAS and the OMI satellite. The differences in O3 VCDs between sunrise and sunset are very small. The mean O3 VCDs from June to November 2020 are 7.21 × 1018 molec·cm−2 and 7.18 × 1018 molec·cm−2 at sunrise and sunset, respectively. The derived O3 VCDs show a considerable monthly variation in summer and autumn over the northern TP, ranging from a minimum of 6.9 × 1018 molec·cm−2 in October to 7.5 × 1018 molec·cm−2 in November.
- As expected, the NO2 VCDs for 90° SZA at sunset were systematically larger than those at sunrise with an average ratio of ~1.56, owing to the N2O5 photolysis under sunlight conditions. During the observation period the NO2 VCDs gradually decreased with time. Although the temporal trends of the NO2 VCDs obtained from the ground-based zenith DOAS and OMI satellite observations agree well, there are significant differences in the correlation coefficients of the NO2 VCDs at sunrise and at sunset between ground-based measurement and OMI satellite observation, with RSunrise = 0.86 and RSunset = 0.97 for monthly NO2 VCDs, respectively. This indicates that for the measurements in the TP, the NO2 VCDs during the satellite overpass are better represented by the sunset observations. The correlations between the two data sets are partly connected with the accuracy of NO2 VCDs retrieved from the ground-based zenith DOAS and OMI satellite observations.
- The average level of BrO dSCD90°–80° at Golmud was 2.06 × 1014 molec·cm−2 during the period of June–November 2020 with the highest values in August and July for sunrise and sunset, respectively. Our results did not show a pronounced anti-correlation of the monthly variations between BrO and NO2, implying the importance of dynamical transport processes, rather than photochemical reactions between NO2 and BrO over the TP.
Author Contributions
Funding
Institutional Review Board Statement
Informed Consent Statement
Data Availability Statement
Acknowledgments
Conflicts of Interest
Appendix A
| Parameters | Setting |
|---|---|
| fitting interval (nm) | 320–340 |
| Fraunhofer reference spectrum | Fixed |
| DOAS polynomial | degree: 5 |
| intensity offset | degree: 2 |
| shift and stretch | spectrum |
| Ring spectra | original and wavelength-dependent Ring spectra |
| NO2 cross section | Vandaele et al., (1998), 220 K, 294 K, Io correction (1017 molec·cm−2) |
| O3 cross section | Serdyuchenko et al., (2014), 223 K, 243 K, Io correction (1020 molec·cm−2) |
| Parameters | Setting |
|---|---|
| fitting interval (nm) | 399–440 |
| Fraunhofer reference spectrum | fixed |
| DOAS polynomial | degree: 5 |
| intensity offset | degree: 2 |
| shift and stretch | spectrum |
| gap (nm) | 416.5–417.5 |
| Ring spectra | original and wavelength-dependent Ring spectra |
| NO2 cross section | Vandaele et al., (1998), 220 K, 294 K, Io correction (1017 molec·cm−2) |
| H2O cross section | Polyansky et al., (2018), 293K |
| O3 cross section | Serdyuchenko et al., (2014), 223 K, Io correction (1020 molec·cm−2) |
| O4 cross section | Thalman and Volkamer (2013), 293 K |
| Parameters | Setting |
|---|---|
| fitting interval (nm) | 346–358 |
| Fraunhofer reference spectrum | fixed |
| DOAS polynomial | degree: 3 |
| intensity offset | constant |
| shift and stretch | spectrum |
| Ring spectra | original and wavelength-dependent Ring spectra |
| NO2 cross section | Vandaele et al., (1998), 220 K, 294 K, Io correction (1017 molec·cm−2) |
| O3 cross section | Serdyuchenko et al., (2014), 223 K, 243 K, Io correction (1020 molec·cm−2) |
| O4 cross section | Thalman and Volkamer (2013), 293 K |
| BrO cross section | Wilmouth et al., (1999), 228 K |
| Parameters | Setting |
|---|---|
| fitting interval (nm) | 346–390 |
| Fraunhofer reference spectrum | fixed |
| DOAS polynomial | degree: 5 |
| intensity offset | degree: 2 |
| shift and stretch | spectrum |
| gap (nm) | 377.04–377.32, 380.34–380.52, 384.82–385.25 |
| Ring spectra | original and wavelength-dependent Ring spectra |
| NO2 cross section | Vandaele et al., (1998), 220 K, 294 K, Io correction (1017 molec·cm−2) |
| O3 cross section | Serdyuchenko et al., (2014), 223 K, 243 K, Io correction (1020 molec·cm−2) |
| O4 cross section | Thalman and Volkamer (2013), 293 K |
| OClO cross section | Kromminga et al., (2003), 213 K |
Appendix B





References
- Seinfeld, J.H.; Pandis, S.N. Atmospheric Chemistry and Physics: From Air Pollution to Climate Change, 2nd ed.; John Wiley & Sons, Inc.: Hoboken, NJ, USA, 2006. [Google Scholar]
- Farman, J.C.; Gardiner, B.G.; Shanklin, J.D. Large losses of total ozone in Antarctica reveal seasonal ClOx/NOx interaction. Nature 1985, 315, 207–210. [Google Scholar] [CrossRef]
- Solomon, S.; Ivy, D.J.; Kinnison, D.; Mills, M.J.; Neely, R.R.; Schmidt, A. Emergence of healing in the Antarctic ozone layer. Science 2016, 353, 269–274. [Google Scholar] [CrossRef]
- Brasseur, G.; Solomon, S. Aeronomy of the Middle Atmosphere; D. Reidel: Dordrecht, The Netherlands, 1984; p. 441. [Google Scholar]
- Bates, D.R.; Nicolet, M. The photochemistry of atmospheric water vapor. J. Geophys. Res. 1950, 55, 301–327. [Google Scholar] [CrossRef]
- Crutzen, P.J. The influence of nitrogen oxides on the atmospheric ozone content. Q. J. R. Meteorol. Soc. 1970, 96, 320–325. [Google Scholar] [CrossRef]
- Johnston, H. Reduction of stratospheric ozone by nitrogen oxide catalysts from supersonic transport exhaust. Science 1971, 173, 517–522. [Google Scholar] [CrossRef]
- Lary, D.J. Gas phase atmospheric bromine photochemistry. J. Geophys. Res. Atmos. 1996, 101, 1505–1516. [Google Scholar] [CrossRef]
- Lary, D.J.; Chipperfield, M.P.; Toumi, R.; Lenton, T. Heterogeneous atmospheric bromine chemistry. J. Geophys. Res. Atmos. 1996, 101, 1489–1504. [Google Scholar] [CrossRef]
- Molina, M.J.; Rowland, F.S. Stratospheric sink for chlorofluoromethanes: Chlorine atom-catalysed destruction of ozone. Nature 1974, 249, 810–812. [Google Scholar] [CrossRef]
- Wofsy, S.C.; McElroy, M.B.; Yung, Y.L. The chemistry of atmospheric bromine. Geophys. Res. Lett. 1975, 2, 215–218. [Google Scholar] [CrossRef]
- Sinnhuber, B.-M.; Arlander, D.W.; Bovensmann, H.; Burrows, J.P.; Chipperfield, M.P.; Enell, C.F.; Frieß, U.; Hendrick, F.; Johnston, P.V.; Jones, R.L.; et al. Comparison of measurements and model calculations of stratospheric bromine monoxide. J. Geophys. Res. 2002, 107, ACH 11-1–ACH 11-18. [Google Scholar] [CrossRef]
- Ye, D.-Z.; Wu, G.-X. The role of the heat source of the Tibetan Plateau in the general circulation. Meteorol. Atmos. Phys. 1998, 67, 181–198. [Google Scholar] [CrossRef]
- Tian, W.; Chipperfield, M.; Huang, Q. Effects of the Tibetan Plateau on total column ozone distribution. Tellus B Chem. Phys. Meteorol. 2008, 60, 622–635. [Google Scholar] [CrossRef]
- Li, Y.; Chipperfield, M.P.; Feng, W.; Dhomse, S.S.; Pope, R.J.; Li, F.; Guo, D. Analysis and attribution of total column ozone changes over the Tibetan Plateau during 1979–2017. Atmos. Chem. Phys. 2020, 20, 8627–8639. [Google Scholar] [CrossRef]
- Arosio, C.; Rozanov, A.; Malinina, E.; Weber, M.; Burrows, J.P. Merging of ozone profiles from SCIAMACHY, OMPS and SAGE II observations to study stratospheric ozone changes. Atmos. Meas. Tech. 2019, 12, 2423–2444. [Google Scholar] [CrossRef]
- Fang, K.; Zhang, P.; Chen, J.; Chen, D. Co-varying temperatures at 200 hPa over the Earth’s three poles. Sci. China Earth Sci. 2021, 64, 340–350. [Google Scholar] [CrossRef]
- Wang, Q.; Huang, F.-X.; Xia, X.-Q. The differences in the trends of ozone and atmospheric temperature in spring over the Tibetan Plateau. Clim. Chang. Res. 2020, 16, 706–713. [Google Scholar]
- Zhou, X.; Luo, C.; Li, W.; Shi, J. Total column ozone over China and center of low total column ozone over the Tibetan Plateau. Chin. Sci. Bull. 1995, 40, 1396–1398. [Google Scholar]
- Tobo, Y.; Iwasaka, Y.; Zhang, D.; Shi, G.; Kim, Y.-S.; Tamura, K.; Ohashi, T. Summertime “ozone valley” over the Tibetan Plateau derived from ozonesondes and EP/TOMS data. Geophys. Res. Lett. 2008, 35, L16801. [Google Scholar] [CrossRef]
- Bian, J.; Wang, G.; Chen, H.; Qi, D.; Lü, D.; Zhou, X. Ozone mini-hole occurring over the Tibetan Plateau in December 2003. Sci. Bull. 2006, 51, 885–888. [Google Scholar] [CrossRef][Green Version]
- Han, Z.; Yongqi, G. Vertical ozone profile over tibet using sage I and II data. Adv. Atmos. Sci. 1997, 14, 505–512. [Google Scholar] [CrossRef]
- Liu, Y.; Li, W.L. Deepening of ozone valley over Tibetan Plateau and its possible influences. Acta Meteorol. Sin. 2001, 59, 97–106. [Google Scholar]
- Xiangdong, Z.; Xiuji, Z.; Jie, T.; Yu, Q.; Chuenyu, C. A meteorological analysis on a low tropospheric ozone event over Xining, North Western China on 26–27 July 1996. Atmos. Environ. 2004, 38, 261–271. [Google Scholar] [CrossRef]
- Xu, X.D.; Chen, L.S. Advances of the study on Tibetan Plateau experiment of atmospheric sciences. J. Appl. Meteorol. Sci. 2006, 17, 756–772. [Google Scholar]
- Guo, D.; Wang, P.X.; Zhou, X.J.; Liu, Y.; Li, W.L. Dynamic effects of the South Asian high on the Ozone Valley over the Tibetan Plateau. Acta Meteorol. Sin. 2012, 26, 216–228. [Google Scholar] [CrossRef]
- Guo, F.; Mu, Y.; Li, Y.; Wang, M.; Huang, Z.; Zeng, F.; Lian, C. Effects of nitrogen oxides produced from lightning on the formation of the Ozone Valley over the Tibetan Plateau. Chin. J. Atmos. Sci. 2019, 43, 266–276. [Google Scholar] [CrossRef]
- Liu, Y.; Li, W.; Zhou, X.; He, J. Mechanism of formation of the Ozone Valley over the Tibetan Plateau in summer—Transport and chemical process of ozone. Adv. Atmos. Sci. 2003, 20, 103–109. [Google Scholar] [CrossRef]
- Bian, J.; Yan, R.; Chen, H.; Lü, D.; Massie, S.T. Formation of the summertime Ozone Valley over the Tibetan Plateau: The Asian summer monsoon and air column variations. Adv. Atmos. Sci. 2011, 28, 1318–1325. [Google Scholar] [CrossRef]
- Bian, J.; Li, D.; Bai, Z.; Li, Q.; Lyu, D.; Zhou, X. Transport of Asian surface pollutants to the global stratosphere from the Tibetan Plateau region during the Asian summer monsoon. Natl. Sci. Rev. 2020, 7, 516–533. [Google Scholar] [CrossRef]
- Platt, U.; Stutz, J. Differential Optical Absorption Spectroscopy, Principles and Applications; Springer: Berlin/Heidelberg, Germany, 2008. [Google Scholar]
- Eisinger, M.; Richter, A.; Ladstätter-Weißenmayer, A.; Burrows, J.P. DOAS zenith sky observations: 1. BrO measurements over bremen (53° N) 1993–1994. J. Atmos. Chem. 1997, 26, 93–108. [Google Scholar] [CrossRef]
- Kreher, K.; Johnston, P.V.; Wood, S.W.; Nardi, B.; Platt, U. Ground-based measurements of tropospheric and stratospheric BrO at Arrival Heights, Antarctica. Geophys. Res. Lett. 1997, 24, 3021–3024. [Google Scholar] [CrossRef]
- Aliwell, S.R.; Van Roozendael, M.; Johnston, P.V.; Richter, A.; Wagner, T.; Arlander, D.W.; Burrows, J.P.; Fish, D.J.; Jones, R.L.; Tornkvist, K.K.; et al. Analysis for BrO in zenith-sky spectra: An intercomparison exercise for analysis improvement. J. Geophys. Res. Atmos. 2002, 107, ACH-10-1–ACH-10-20. [Google Scholar] [CrossRef]
- Noxon, J.F. Nitrogen dioxide in the stratosphere and troposphere measured by ground-based absorption spectroscopy. Science 1975, 189, 547–549. [Google Scholar] [CrossRef] [PubMed]
- Solomon, S.; Schmeltekopf, A.L.; Sanders, R.W. On the interpretation of zenith sky absorption measurements. J. Geophys. Res. 1987, 92, 8311–8319. [Google Scholar] [CrossRef]
- Meena, G.S.; Devara, P.C.S. Zenith scattered light measurement: Observations of BrO and OClO. Int. J. Remote Sens. 2011, 32, 8595–8613. [Google Scholar] [CrossRef]
- Fraser, A.; Adams, C.; Drummond, J.R.; Goutail, F.; Manney, G.; Strong, K. The polar environment atmospheric research laboratory UV–visible ground-based spectrometer: First measurements of O3, NO2, BrO, and OClO columns. J. Quant. Spectrosc. Radiat. Transf. 2009, 110, 986–1004. [Google Scholar] [CrossRef]
- Saiz-Lopez, A.; Shillito, J.A.; Coe, H.; Plane, J.M.C. Measurements and modelling of I2, IO, OIO, BrO and NO3 in the mid-latitude marine boundary layer. Atmos. Chem. Phys. 2006, 6, 1513–1528. [Google Scholar] [CrossRef]
- Richter, A.; Eisinger, M.; Ladstätter-weißenmayer, A.; Burrows, J.P. DOAS zenith sky observation: 2. seasonal variation of BrO over Bremen (53° N) 1994–1995. J. Atmos. Chem. 1999, 32, 83–99. [Google Scholar] [CrossRef]
- Theys, N.; Van Roozendael, M.; Hendrick, F.; Fayt, C.; Hermans, C.; Baray, J.L.; Goutail, F.; Pommereau, J.P.; De Mazière, M. Retrieval of stratospheric and tropospheric BrO columns from multi-axis DOAS measurements at Reunion Island (21° S, 56° E). Atmos. Chem. Phys. 2007, 7, 4733–4749. [Google Scholar] [CrossRef]
- Ladstätter-Weißenmayer, A.; Altmeyer, H.; Bruns, M.; Richter, A.; Rozanov, A.; Rozanov, V.; Wittrock, F.; Burrows, J.P. Measurements of O3, NO2 and BrO during the INDOEX campaign using ground based DOAS and GOME satellite data. Atmos. Chem. Phys. 2007, 7, 283–291. [Google Scholar] [CrossRef]
- Hendrick, F.; Pommereau, J.-P.; Goutail, F.; Evans, R.D.; Ionov, D.; Pazmino, A.; Kyrö, E.; Held, G.; Eriksen, P.; Dorokhov, V.; et al. NDACC/SAOZ UV-visible total ozone measurements: Improved retrieval and comparison with correlative ground-based and satellite observations. Atmos. Chem. Phys. 2011, 11, 5975–5995. [Google Scholar] [CrossRef]
- Hendrick, F.; Van Roozendael, M.; Chipperfield, M.P.; Dorf, M.; Goutail, F.; Yang, X.; Fayt, C.; Hermans, C.; Pfeilsticker, K.; Pommereau, J.P.; et al. Retrieval of stratospheric and tropospheric BrO profiles and columns using ground-based zenith-sky DOAS observations at Harestua, 60° N. Atmos. Chem. Phys. 2007, 7, 4869–4885. [Google Scholar] [CrossRef]
- Ma, J.; Dörner, S.; Donner, S.; Jin, J.; Cheng, S.; Guo, J.; Zhang, Z.; Wang, J.; Liu, P.; Zhang, G.; et al. MAX-DOAS measurements of NO2, SO2, HCHO, and BrO at the Mt. Waliguan WMO GAW global baseline station in the Tibetan Plateau. Atmos. Chem. Phys. 2020, 20, 6973–6990. [Google Scholar] [CrossRef]
- Zhou, M.; Chen, G.; Dong, Z.; Xie, B.; Gu, S.; Shi, P. Estimation of surface albedo from meteorological observations across China. Agric. For. Meteorol. 2020, 281, 107848. [Google Scholar] [CrossRef]
- Guo, D.; Wang, H. The significant climate warming in the northern Tibetan Plateau and its possible causes. Int. J. Climatol. 2011, 32, 1775–1781. [Google Scholar] [CrossRef]
- Wang, Y.; Puķīte, J.; Wagner, T.; Donner, S.; Beirle, S.; Hilboll, A.; Vrekoussis, M.; Richter, A.; Apituley, A.; Piters, A.; et al. Vertical profiles of tropospheric ozone from MAX-DOAS measurements during the CINDI-2 campaign: Part 1-development of a new retrieval algorithm. J. Geophys. Res. Atmos. 2018, 123, 10637–10670. [Google Scholar] [CrossRef]
- Wang, Y.; Dörner, S.; Donner, S.; Böhnke, S.; De Smedt, I.; Dickerson, R.R.; Dong, Z.; He, H.; Li, Z.; Li, Z.; et al. Vertical profiles of NO2, SO2, HONO, HCHO, CHOCHO and aerosols derived from MAX-DOAS measurements at a rural site in the central western North China Plain and their relation to emission sources and effects of regional transport. Atmos. Chem. Phys. 2019, 19, 5417–5449. [Google Scholar] [CrossRef]
- Donner, S. Mobile MAX-DOAS Measurements of the Tropospheric Formaldehyde Column in the Rhein-Main Region. Master Thesis, The University of Mainz, Mainz, Germany, 2016. [Google Scholar]
- Danckaert, T.; Fayt, C.; Roozendael, M.V.; Smedt, I.D.; Letocart, V.; Merlaud, A.; Pinardi, G. QDOAS Software User Manual; Belgian Institute for Space Aeronomy: Brussels, Belgium, 2017. [Google Scholar]
- Chance, K.; Kurucz, R.L. An improved high-resolution solar reference spectrum for earth’s atmosphere measurements in the ultraviolet, visible, and near infrared. J. Quant. Spectrosc. Radiat. Transf. 2010, 111, 1289–1295. [Google Scholar] [CrossRef]
- Deutschmann, T.; Beirle, S.; Frieß, U.; Grzegorski, M.; Kern, C.; Kritten, L.; Platt, U.; Prados-Román, C.; Puķı¯te, J.; Wagner, T.; et al. The Monte Carlo atmospheric radiative transfer model McArtim: Introduction and validation of Jacobians and 3D features. J. Quant. Spectrosc. Radiat. Transf. 2011, 112, 1119–1137. [Google Scholar] [CrossRef]
- Lorente, A.; Folkert Boersma, K.; Yu, H.; Dörner, S.; Hilboll, A.; Richter, A.; Liu, M.; Lamsal, L.N.; Barkley, M.; De Smedt, I.; et al. Structural uncertainty in air mass factor calculation for NO2 and HCHO satellite retrievals. Atmos. Meas. Tech. 2017, 10, 759–782. [Google Scholar] [CrossRef]
- Andrews, E.; Ogren, J.A.; Bonasoni, P.; Marinoni, A.; Cuevas, E.; Rodríguez, S.; Sun, J.Y.; Jaffe, D.A.; Fischer, E.V.; Baltensperger, U.; et al. Climatology of aerosol radiative properties in the free troposphere. Atmos. Res. 2011, 102, 365–393. [Google Scholar] [CrossRef]
- Levelt, P.F.; Van Den Oord, G.H.J.; Dobber, M.R.; Malkki, A.; Huib, V.; Johan de, V.; Stammes, P.; Lundell, J.O.V.; Saari, H. The ozone monitoring instrument. IEEE Trans. Geosci. Remote Sens. 2006, 44, 1093–1101. [Google Scholar] [CrossRef]
- Rupakheti, D.; Kang, S.; Rupakheti, M.; Tripathee, L.; Zhang, Q.; Chen, P.; Yin, X. Long-term trends in the total columns of ozone and its precursor gases derived from satellite measurements during 2004–2015 over three different regions in South Asia: Indo-Gangetic Plain, Himalayas and Tibetan Plateau. Int. J. Remote Sens. 2018, 39, 7384–7404. [Google Scholar] [CrossRef]
- Tian, T.; Ma, J. Numerical simulation of aerosol direct radiation forcing over the Tibetan Plateau. Clim. Environ. Res. 2021, 26, 449–460. [Google Scholar] [CrossRef]
- Tang, Z.; Guo, D.; Su, Y.; Shi, C.; Zhang, C.; Liu, Y.; Zheng, X.; Xu, W.; Xu, J.; Liu, R.; et al. Double cores of the Ozone Low in the vertical direction over the Asian continent in satellite data sets. Earth Planet. Phys. 2019, 3, 93–101. [Google Scholar] [CrossRef]
- Pommereau, J.P.; Goutail, F.; Stübi, R.; Braathen, G. Total Ozone Dobson, Brewer, Saoz and satellites comparisons at the historical station Arosa. Atmos. Meas. Tech. Discuss. 2019, 2019, 1–16. [Google Scholar] [CrossRef]
- Van Roozendael, M.; Hendrick, F. Recommendations for NO2 Column Retrieval from NDACC Zenith-Sky UV-VIS Spectrometers. Available online: http://ndacc-uvvis-wg.aeronomie.be/tools/NDACC_UVVIS-WG_NO2settings_v4.pdf (accessed on 26 March 2021).
- Cheng, S.; Ma, J.; Cheng, W.; Yan, P.; Zhou, H.; Zhou, L.; Yang, P. Tropospheric NO2 vertical column densities retrieved from ground-based MAX-DOAS measurements at Shangdianzi regional atmospheric background station in China. J. Environ. Sci. 2019, 80, 186–196. [Google Scholar] [CrossRef]
- Gu, M. Long Term Trends of Stratospheric Trace Gases from Ground-Based DOAS Observations of Kiruna, Sweden. Ph.D. Thesis, The Ruperto-Carola University, Heidelberg, Germany, 2019. [Google Scholar]
- Meena, G.S.; Jadhav, D.B. Study of diurnal and seasonal variation of atmospheric NO2, O3, H2O and O4 at Pune, India. Atmósfera 2007, 20, 271–287. [Google Scholar] [CrossRef]
- Boynard, A.; Hurtmans, D.; Garane, K.; Goutail, F.; Hadji-Lazaro, J.; Koukouli, M.E.; Wespes, C.; Vigouroux, C.; Keppens, A.; Pommereau, J.-P.; et al. Validation of the IASI FORLI/EUMETSAT ozone products using satellite (GOME-2), ground-based (Brewer–Dobson, SAOZ, FTIR) and ozonesonde measurements. Atmos. Meas. Tech. 2018, 11, 5125–5152. [Google Scholar] [CrossRef]
- Fioletov, V.E.; Shepherd, T.G. Seasonal persistence of midlatitude total ozone anomalies. Geophys. Res. Lett. 2003, 30, 1417. [Google Scholar] [CrossRef]
- Gil, M.; Puentedura, O.; Yela, M.; Parrondo, C.; Jadhav, D.B.; Thorkelsson, B. OClO, NO2 and O3 total column observations over Iceland during the winter 1993/94. Geophys. Res. Lett. 1996, 23, 3337–3340. [Google Scholar] [CrossRef]













| Case No. | Case | Simulation Wavelength (nm) | SZA Range | O3 Profile | Aerosol Scenarios | Profiles of Temperature (T), Pressure (P), and Relative Humidity (RH) |
|---|---|---|---|---|---|---|
| 1 | Different _Wavelength_SZA | 320, 330, 340 | SZA > 75°, SZA > 65°, SZA > 55°, SZA > 45°, SZA > 35°, SZA > 30° | Radiosonde on 30 August 2020 | TR_ST (TR: tropospheric aerosol extinction profiles from Lidar; ST: stratospheric aerosol extinction profiles from Calipso) | Daily TPH (T, P, and RH profiles from the operational meteorological soundings at sunrise and sunset on 30 August 2020) |
| 2 | Different _O3 profile | 320 | SZA > 75° |
| TR_ST | Daily T-P-RH |
| 3 | Different _Aerosol | 320 | SZA > 75° | Radiosonde on 30 August 2020 |
| Daily T-P-RH |
| 4 | Different _T-P-RH profile | 320 | SZA > 75° | Radiosonde on 30 August 2020 | TR_ST |
|
| 5 | Optimal | 320 | SZA > 75° | Monthly ERA5 | TR_ST | Monthly T-P-RH |
Publisher’s Note: MDPI stays neutral with regard to jurisdictional claims in published maps and institutional affiliations. |
© 2021 by the authors. Licensee MDPI, Basel, Switzerland. This article is an open access article distributed under the terms and conditions of the Creative Commons Attribution (CC BY) license (https://creativecommons.org/licenses/by/4.0/).
Share and Cite
Cheng, S.; Ma, J.; Zheng, X.; Gu, M.; Donner, S.; Dörner, S.; Zhang, W.; Du, J.; Li, X.; Liang, Z.; et al. Retrieval of O3, NO2, BrO and OClO Columns from Ground-Based Zenith Scattered Light DOAS Measurements in Summer and Autumn over the Northern Tibetan Plateau. Remote Sens. 2021, 13, 4242. https://doi.org/10.3390/rs13214242
Cheng S, Ma J, Zheng X, Gu M, Donner S, Dörner S, Zhang W, Du J, Li X, Liang Z, et al. Retrieval of O3, NO2, BrO and OClO Columns from Ground-Based Zenith Scattered Light DOAS Measurements in Summer and Autumn over the Northern Tibetan Plateau. Remote Sensing. 2021; 13(21):4242. https://doi.org/10.3390/rs13214242
Chicago/Turabian StyleCheng, Siyang, Jianzhong Ma, Xiangdong Zheng, Myojeong Gu, Sebastian Donner, Steffen Dörner, Wenqian Zhang, Jun Du, Xing Li, Zhiyong Liang, and et al. 2021. "Retrieval of O3, NO2, BrO and OClO Columns from Ground-Based Zenith Scattered Light DOAS Measurements in Summer and Autumn over the Northern Tibetan Plateau" Remote Sensing 13, no. 21: 4242. https://doi.org/10.3390/rs13214242
APA StyleCheng, S., Ma, J., Zheng, X., Gu, M., Donner, S., Dörner, S., Zhang, W., Du, J., Li, X., Liang, Z., Lv, J., & Wagner, T. (2021). Retrieval of O3, NO2, BrO and OClO Columns from Ground-Based Zenith Scattered Light DOAS Measurements in Summer and Autumn over the Northern Tibetan Plateau. Remote Sensing, 13(21), 4242. https://doi.org/10.3390/rs13214242

