Agricultural Drought Detection with MODIS Based Vegetation Health Indices in Southeast Germany
Abstract
:1. Introduction
- To determine, by means of a correlation analysis between Moderate Resolution Imaging Spectroradiometer (MODIS) NDVI and LST, areas and time periods in which water is the limiting factor for vegetation growth. In addition, it will be examined whether and to what extent the factors of land cover and altitude influence these conditions;
- To carry out drought monitoring using the TCI, VCI, and VHI, as well as to evaluate their results by soil moisture and agricultural yields. The question to be addressed here is whether and to what extent these indices can be used to detect agricultural drought.
2. Materials and Methods
2.1. Study Area
2.2. Data
2.3. Correlation Analysis between NDVI and LST
2.4. Calculation and Evaluation of the Drought Indices VCI, TCI, and VHI
3. Results
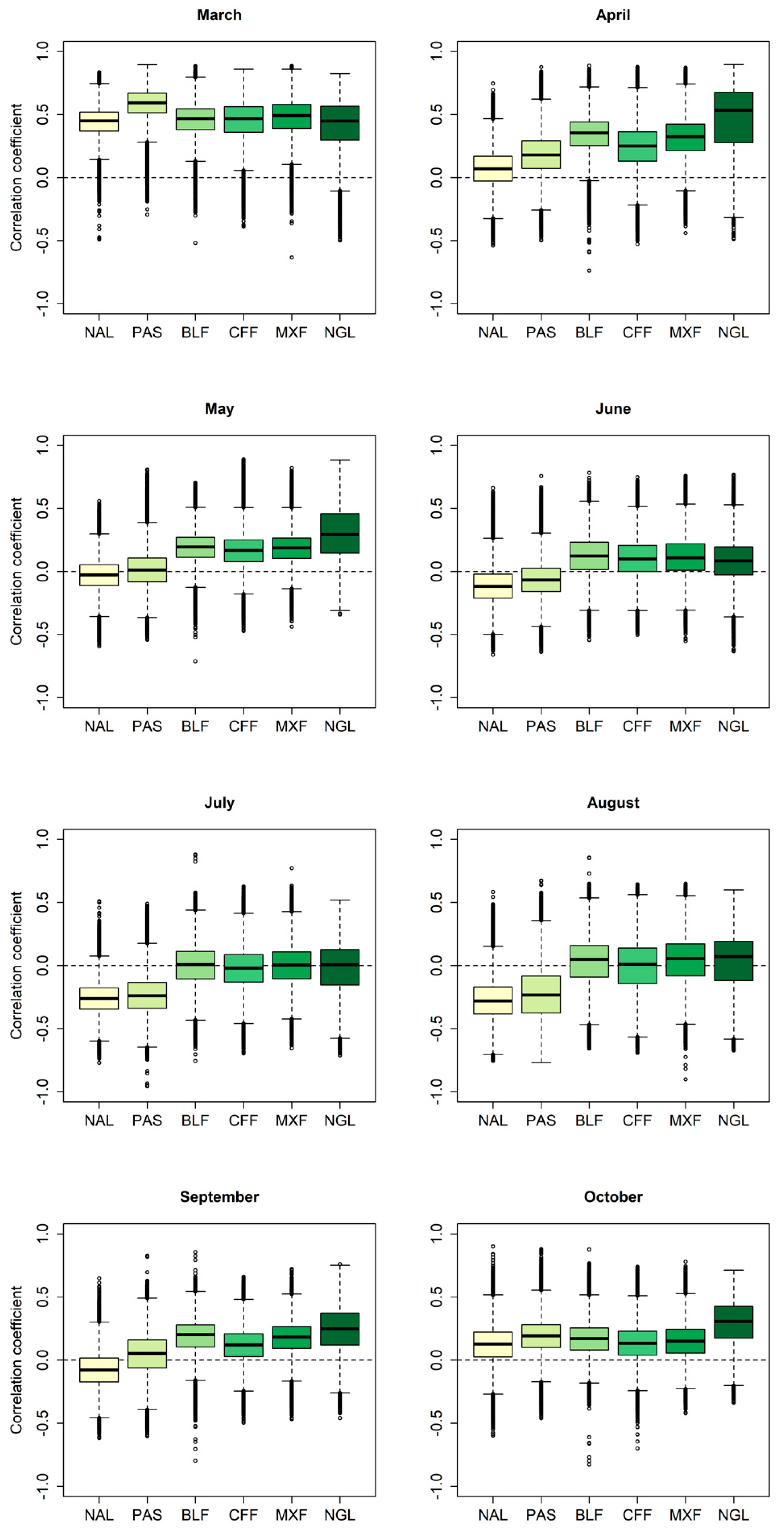
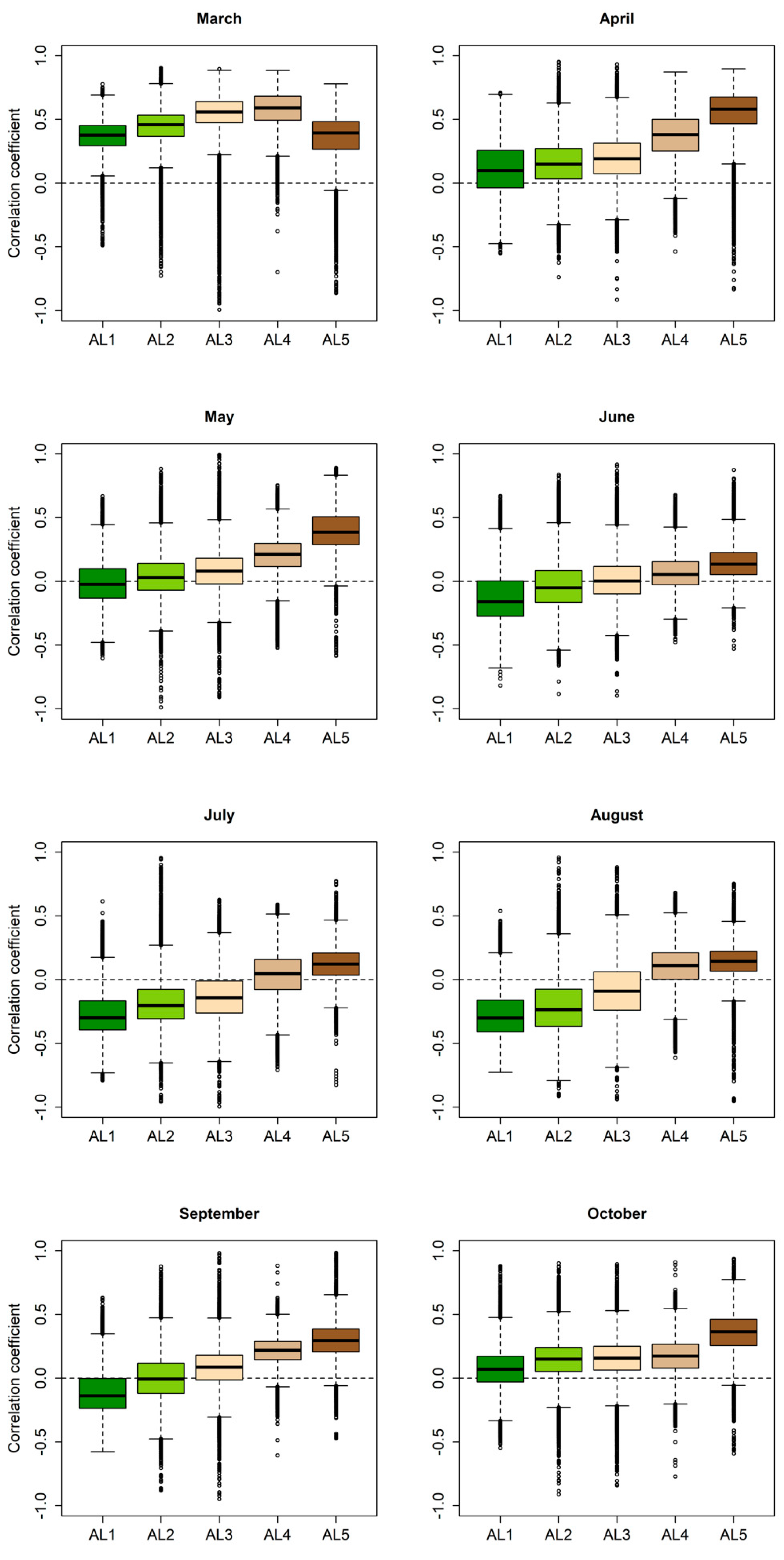
3.1. Correlations between NDVI and LST
3.2. Drought Indices VCI, TCI, and VHI and Their Evaluation Results
4. Discussion
5. Conclusions
Supplementary Materials
Author Contributions
Funding
Institutional Review Board Statement
Informed Consent Statement
Data Availability Statement
Acknowledgments
Conflicts of Interest
References
- Heim, R.R. A Review of Twentieth-Century Drought Indices Used in the United States. Bull. Am. Meteor. Soc. 2002, 83, 1149–1166. [Google Scholar] [CrossRef] [Green Version]
- Dai, A. Drought under global warming: A review. WIREs Clim Chang. 2011, 2, 45–65. [Google Scholar] [CrossRef] [Green Version]
- Wilhite, D.A. (Ed.) Drought as a Natural Hazard: Concepts and Definitions. In Drought: A Global Assessment; Routledge: London, UK, 2000; pp. 3–18. [Google Scholar]
- Wilhite, D.A.; Glantz, M.H. Understanding: The Drought Phenomenon: The Role of Definitions. Water Int. 1985, 10, 111–120. [Google Scholar] [CrossRef] [Green Version]
- European Environment Agency. Mapping the Impacts of Natural Hazards and Technological Accidents in Europe: An Overview of the Last Decade. Available online: https://www.eea.europa.eu/publications/mapping-the-impacts-of-natural (accessed on 21 May 2021).
- DG Environment—European Commission. Water Scarcity and Droughts: Second Interim Report. Available online: https://ec.europa.eu/environment/water/quantity/pdf/comm_droughts/2nd_int_report.pdf (accessed on 21 May 2021).
- Cammalleri, C.; Naumann, G.; Mentaschi, L.; Formetta, G.; Forzieri, G.; Gosling, S.; Bisselink, B.; de Roo, A.; Feyen, L. Global Warming and Drought Impacts in the EU; Publications Office of the European Union: Luxembourg, 2020; ISBN 978-92-76-12947-9. [Google Scholar]
- Buras, A.; Schunk, C.; Zeiträg, C.; Herrmann, C.; Kaiser, L.; Lemme, H.; Straub, C.; Taeger, S.; Gößwein, S.; Klemmt, H.-J.; et al. Are Scots pine forest edges particularly prone to drought-induced mortality? Environ. Res. Lett. 2018, 13, 25001. [Google Scholar] [CrossRef]
- Schuldt, B.; Buras, A.; Arend, M.; Vitasse, Y.; Beierkuhnlein, C.; Damm, A.; Gharun, M.; Grams, T.E.; Hauck, M.; Hajek, P.; et al. A first assessment of the impact of the extreme 2018 summer drought on Central European forests. Basic Appl. Ecol. 2020, 45, 86–103. [Google Scholar] [CrossRef]
- de Bono, A.; Peduzzi, P.; Kluser, S.; Giuliani, G. Impacts of Summer 2003 Heat Wave in Europe. Available online: https://archive-ouverte.unige.ch/unige:32255 (accessed on 1 June 2021).
- Bavarian State Ministry for the Environment and Consumer Protection. Klima-Report Bayern 2021: Klimawandel, Auswirkungen, Anpassungs- und Forschungsaktivitäten. Available online: https://www.bestellen.bayern.de/application/eshop_app000000?SID=961655746&DIR=eshop&ACTIONxSETVAL(artdtl.htm,APGxNODENR:1325,AARTxNR:stmuv_klima_012,AARTxNODENR:358070,USERxBODYURL:artdtl.htm,KATALOG:StMUG,AKATxNAME:StMUG,ALLE:x)=X (accessed on 20 July 2021).
- Bakke, S.J.; Ionita, M.; Tallaksen, L.M. The 2018 northern European hydrological drought and its drivers in a historical perspective. Hydrol. Earth Syst. Sci. 2020, 24, 5621–5653. [Google Scholar] [CrossRef]
- Ionita, M.; Tallaksen, L.M.; Kingston, D.G.; Stagge, J.H.; Laaha, G.; van Lanen, H.A.J.; Scholz, P.; Chelcea, S.M.; Haslinger, K. The European 2015 drought from a climatological perspective. Hydrol. Earth Syst. Sci. 2017, 21, 1397–1419. [Google Scholar] [CrossRef] [Green Version]
- Schär, C.; Vidale, P.L.; Lüthi, D.; Frei, C.; Häberli, C.; Liniger, M.A.; Appenzeller, C. The role of increasing temperature variability in European summer heatwaves. Nature 2004, 427, 332–336. [Google Scholar] [CrossRef] [PubMed]
- Hari, V.; Rakovec, O.; Markonis, Y.; Hanel, M.; Kumar, R. Increased future occurrences of the exceptional 2018-2019 Central European drought under global warming. Sci. Rep. 2020, 10, 12207. [Google Scholar] [CrossRef]
- Hänsel, S.; Ustrnul, Z.; Łupikasza, E.; Skalak, P. Assessing seasonal drought variations and trends over Central Europe. Adv. Water Resour. 2019, 127, 53–75. [Google Scholar] [CrossRef]
- Spinoni, J.; Naumann, G.; Vogt, J.V. Pan-European seasonal trends and recent changes of drought frequency and severity. Glob. Planet. Chang. 2017, 148, 113–130. [Google Scholar] [CrossRef]
- Stagge, J.H.; Kingston, D.G.; Tallaksen, L.M.; Hannah, D.M. Observed drought indices show increasing divergence across Europe. Sci. Rep. 2017, 7, 14045. [Google Scholar] [CrossRef] [PubMed]
- Vicente-Serrano, S.M.; Domínguez-Castro, F.; Murphy, C.; Hannaford, J.; Reig, F.; Peña-Angulo, D.; Tramblay, Y.; Trigo, R.M.; Mac Donald, N.; Luna, M.Y.; et al. Long-term variability and trends in meteorological droughts in Western Europe (1851–2018). Int. J. Climatol. 2021, 41, E690–E717. [Google Scholar] [CrossRef]
- Spinoni, J.; Barbosa, P.; Bucchignani, E.; Cassano, J.; Cavazos, T.; Christensen, J.H.; Christensen, O.B.; Coppola, E.; Evans, J.; Geyer, B.; et al. Future Global Meteorological Drought Hot Spots: A Study Based on CORDEX Data. J. Clim. 2020, 33, 3635–3661. [Google Scholar] [CrossRef]
- Spinoni, J.; Vogt, J.V.; Naumann, G.; Barbosa, P.; Dosio, A. Will drought events become more frequent and severe in Europe? Int. J. Climatol. 2018, 38, 1718–1736. [Google Scholar] [CrossRef] [Green Version]
- Ruosteenoja, K.; Markkanen, T.; Venäläinen, A.; Räisänen, P.; Peltola, H. Seasonal soil moisture and drought occurrence in Europe in CMIP5 projections for the 21st century. Clim. Dyn. 2018, 50, 1177–1192. [Google Scholar] [CrossRef] [Green Version]
- Grillakis, M.G. Increase in severe and extreme soil moisture droughts for Europe under climate change. Sci. Total Environ. 2019, 660, 1245–1255. [Google Scholar] [CrossRef]
- West, H.; Quinn, N.; Horswell, M. Remote sensing for drought monitoring & impact assessment: Progress, past challenges and future opportunities. Remote Sens. Environ. 2019, 232, 111291. [Google Scholar] [CrossRef]
- Hazaymeh, K.; Hassan, Q.K. Remote sensing of agricultural drought monitoring: A state of art review. AIMS Environ. Sci. 2016, 3, 604–630. [Google Scholar] [CrossRef]
- AghaKouchak, A.; Farahmand, A.; Melton, F.S.; Teixeira, J.; Anderson, M.C.; Wardlow, B.D.; Hain, C.R. Remote sensing of drought: Progress, challenges and opportunities. Rev. Geophys. 2015, 53, 452–480. [Google Scholar] [CrossRef] [Green Version]
- Afshar, M.H.; Al-Yaari, A.; Yilmaz, M.T. Comparative Evaluation of Microwave L-Band VOD and Optical NDVI for Agriculture Drought Detection over Central Europe. Remote Sens. 2021, 13, 1251. [Google Scholar] [CrossRef]
- Bachmair, S.; Tanguy, M.; Hannaford, J.; Stahl, K. How well do meteorological indicators represent agricultural and forest drought across Europe? Environ. Res. Lett. 2018, 13, 34042. [Google Scholar] [CrossRef]
- Peled, E.; Dutra, E.; Viterbo, P.; Angert, A. Technical Note: Comparing and ranking soil drought indices performance over Europe, through remote-sensing of vegetation. Hydrol. Earth Syst. Sci. 2010, 14, 271–277. [Google Scholar] [CrossRef] [Green Version]
- Buitink, J.; Swank, A.M.; van der Ploeg, M.; Smith, N.E.; Benninga, H.-J.F.; van der Bolt, F.; Carranza, C.D.U.; Koren, G.; van der Velde, R.; Teuling, A.J. Anatomy of the 2018 agricultural drought in the Netherlands using in situ soil moisture and satellite vegetation indices. Hydrol. Earth Syst. Sci. 2020, 24, 6021–6031. [Google Scholar] [CrossRef]
- van Hateren, T.C.; Chini, M.; Matgen, P.; Teuling, A.J. Ambiguous Agricultural Drought: Characterising Soil Moisture and Vegetation Droughts in Europe from Earth Observation. Remote Sens. 2021, 13, 1990. [Google Scholar] [CrossRef]
- Möllmann, J.; Buchholz, M.; Musshoff, O. Comparing the Hedging Effectiveness of Weather Derivatives Based on Remotely Sensed Vegetation Health Indices and Meteorological Indices. Weather Clim. Soc. 2019, 11, 33–48. [Google Scholar] [CrossRef]
- Buras, A.; Rammig, A.; Zang, C.S. Quantifying impacts of the 2018 drought on European ecosystems in comparison to 2003. Biogeosciences 2020, 17, 1655–1672. [Google Scholar] [CrossRef] [Green Version]
- Sepulcre-Canto, G.; Horion, S.; Singleton, A.; Carrao, H.; Vogt, J. Development of a Combined Drought Indicator to detect agricultural drought in Europe. Nat. Hazards Earth Syst. Sci. 2012, 12, 3519–3531. [Google Scholar] [CrossRef] [Green Version]
- Trnka, M.; Hlavinka, P.; Možný, M.; Semerádová, D.; Štěpánek, P.; Balek, J.; Bartošová, L.; Zahradníček, P.; Bláhová, M.; Skalák, P.; et al. Czech Drought Monitor System for monitoring and forecasting agricultural drought and drought impacts. Int. J. Climatol. 2020, 40, 5941–5958. [Google Scholar] [CrossRef]
- Karnieli, A.; Ohana-Levi, N.; Silver, M.; Paz-Kagan, T.; Panov, N.; Varghese, D.; Chrysoulakis, N.; Provenzale, A. Spatial and Seasonal Patterns in Vegetation Growth-Limiting Factors over Europe. Remote Sens. 2019, 11, 2406. [Google Scholar] [CrossRef] [Green Version]
- LP DAAC. MOD13Q1 v006: MODIS/Terra Vegetation Indices 16-Day L3 Global 250 m SIN Grid. Available online: https://lpdaac.usgs.gov/products/mod13q1v006/ (accessed on 13 April 2021).
- LP DAAC. MOD11A2 v006: MODIS/Terra Land Surface Temperature/Emissivity 8-Day L3 Global 1 km SIN Grid. Available online: https://lpdaac.usgs.gov/products/mod11a2v006/ (accessed on 13 April 2021).
- LP DAAC. MCD12Q1 v006: MODIS/Terra+Aqua Land Cover Type Yearly L3 Global 500 m SIN Grid. Available online: https://lpdaac.usgs.gov/products/mcd12q1v006/ (accessed on 13 April 2021).
- European Environment Agency. CLC 2018. Available online: https://land.copernicus.eu/pan-european/corine-land-cover/clc2018?tab=metadata (accessed on 13 April 2021).
- European Environment Agency. EU-DEM v1.1. Available online: https://land.copernicus.eu/imagery-in-situ/eu-dem/eu-dem-v1.1?tab=metadata (accessed on 13 April 2021).
- UFZ Drought Monitor/Helmholtz Centre for Environmental Research. Dürremonitor Deutschland. Available online: https://www.ufz.de/index.php?de=37937 (accessed on 13 April 2021).
- Zink, M.; Samaniego, L.; Kumar, R.; Thober, S.; Mai, J.; Schäfer, D.; Marx, A. The German drought monitor. Environ. Res. Lett. 2016, 11, 74002. [Google Scholar] [CrossRef]
- Statistical Offices of the Federation and the States. Erträge ausgewählter landwirtschaftlicher Feldfrüchte—Jahressumme—regionale Tiefe: Kreise und krfr. Städte. Available online: https://www.regionalstatistik.de/genesis/online?operation=previous&levelindex=2&levelid=1618314159666&levelid=1618314123639&step=1#abreadcrumb (accessed on 13 April 2021).
- Bavarian State Office for Statistics. Bodennutzung der landwirtschaftlichen Betriebe in Bayern 2016: Totalerhebung. Available online: https://www.statistik.bayern.de/mam/produkte/veroffentlichungen/statistische_berichte/c1101c_201651_25313.pdf (accessed on 13 April 2021).
- DWD Climate Data Center. Phenological Observations of Crops from Sowing to Harvest (Annual Reporters, Historical). Available online: https://opendata.dwd.de/climate_environment/CDC/observations_germany/phenology/annual_reporters/crops/historical/ (accessed on 20 April 2021).
- Rouse, J.W.; Haas, R.H.; Schell, J.A.; Deering, D.W. Monitoring the Vernal Advancement and Retrogradation (Green Wave Effect) of Natural Vegetation; Remote Sensing Centre, TEXAS A&M University: College Station, TX, USA, 1973. [Google Scholar]
- Tucker, C.J. Red and photographic infrared linear combinations for monitoring vegetation. Remote Sens. Environ. 1979, 8, 127–150. [Google Scholar] [CrossRef] [Green Version]
- Norman, S.P.; Koch, F.H.; Hargrove, W.W. Review of broad-scale drought monitoring of forests: Toward an integrated data mining approach. For. Ecol. Manag. 2016, 380, 346–358. [Google Scholar] [CrossRef] [Green Version]
- Zhang, Y.; Peng, C.; Li, W.; Fang, X.; Zhang, T.; Zhu, Q.; Chen, H.; Zhao, P. Monitoring and estimating drought-induced impacts on forest structure, growth, function, and ecosystem services using remote-sensing data: Recent progress and future challenges. Environ. Rev. 2013, 21, 103–115. [Google Scholar] [CrossRef]
- Ji, L.; Peters, A.J. Assessing vegetation response to drought in the northern Great Plains using vegetation and drought indices. Remote Sens. Environ. 2003, 87, 85–98. [Google Scholar] [CrossRef]
- Anderson, M.; Kustas, W.P. Thermal Remote Sensing of Drought and Evapotranspiration. Eos Trans. Am. Geophys. Union 2008, 89, 233–240. [Google Scholar] [CrossRef]
- Anderson, M.C.; Norman, J.M.; Mecikalski, J.R.; Otkin, J.A.; Kustas, W.P. A climatological study of evapotranspiration and moisture stress across the continental United States based on thermal remote sensing: 2. Surface moisture climatology. J. Geophys. Res. 2007, 112. [Google Scholar] [CrossRef]
- Karnieli, A.; Agam, N.; Pinker, R.T.; Anderson, M.; Imhoff, M.L.; Gutman, G.G.; Panov, N.; Goldberg, A. Use of NDVI and Land Surface Temperature for Drought Assessment: Merits and Limitations. J. Clim. 2010, 23, 618–633. [Google Scholar] [CrossRef]
- Sun, D.; Kafatos, M. Note on the NDVI-LST relationship and the use of temperature-related drought indices over North America. Geophys. Res. Lett. 2007, 34. [Google Scholar] [CrossRef] [Green Version]
- Abdi, A.M.; Vrieling, A.; Yengoh, G.T.; Anyamba, A.; Seaquist, J.W.; Ummenhofer, C.C.; Ardö, J. The El Niño—La Niña cycle and recent trends in supply and demand of net primary productivity in African drylands. Clim. Chang. 2016, 138, 111–125. [Google Scholar] [CrossRef] [Green Version]
- Walentowski, H.; Kopp, D. Leitlinien für eine gesamtdeutsche ökologische Klassifikation der Wald-Naturräume. Arch. Für Nat. Und Landsch. 2006, 45, 135–149. [Google Scholar]
- Hübl, E.; Burga, C.A.; Klötzli, F. Landschaft, Flora und Vegetation der Nordostalpen (Bayern–Wiener Becken). Vierteljahrsschr. Der Nat. Ges. Zürich 2007, 152, 17–26. [Google Scholar]
- Bayerische Staatsforsten AöR. Waldbauhandbuch Bayerische Staatsforsten: Richtlinie für die Waldbewirtschaftung im Hochgebirge. Available online: https://www.baysf.de/fileadmin/user_upload/04-wald_verstehen/Publikationen/WNJF-RL-006_Bergwaldrichtlinie.pdf (accessed on 15 April 2021).
- Walentowski, H.; Gulder, H.-J.; Kölling, C.; Ewald, J.; Türk, W. Die Regionale Natürliche Waldzusammensetzung Bayerns; Bayerische Landesanstalt für Wald und Forstwirtschaft (LWF): Freising, Germany, 2001. [Google Scholar]
- Kogan, F. Global Drought Watch from Space. Bull. Am. Meteorol. Soc. 1997, 78, 621–636. [Google Scholar] [CrossRef]
- Kogan, F. Application of Vegetation Index and Brightness Temperature for Drought Detection. Adv. Space Res. 1995, 15, 91–100. [Google Scholar] [CrossRef]
- Kogan, F. Satellite-Observed Sensitivity of World Land Ecosystems to El Nino/La Nina. Remote Sens. Environ. 2000, 74, 445–462. [Google Scholar] [CrossRef]
- Kogan, F.; Guo, W.; Strashnaia, A.; Kleshenko, A.; Chub, O.; Virchenko, O. Modelling and prediction of crop losses from NOAA polar-orbiting operational satellites. Geomat. Nat. Hazards Risk 2016, 7, 886–900. [Google Scholar] [CrossRef] [Green Version]
- Gidey, E.; Dikinya, O.; Sebego, R.; Segosebe, E.; Zenebe, A. Analysis of the long-term agricultural drought onset, cessation, duration, frequency, severity and spatial extent using Vegetation Health Index (VHI) in Raya and its environs, Northern Ethiopia. Environ. Syst. Res. 2018, 7. [Google Scholar] [CrossRef] [Green Version]
- Pei, F.; Wu, C.; Liu, X.; Li, X.; Yang, K.; Zhou, Y.; Wang, K.; Xu, L.; Xia, G. Monitoring the vegetation activity in China using vegetation health indices. Agric. For. Meteorol. 2018, 248, 215–227. [Google Scholar] [CrossRef]
- Hu, X.; Ren, H.; Tansey, K.; Zheng, Y.; Ghent, D.; Liu, X.; Yan, L. Agricultural drought monitoring using European Space Agency Sentinel 3A land surface temperature and normalized difference vegetation index imageries. Agric. For. Meteorol. 2019, 279, 107707. [Google Scholar] [CrossRef]
- Senf, C.; Buras, A.; Zang, C.S.; Rammig, A.; Seidl, R. Excess forest mortality is consistently linked to drought across Europe. Nat. Commun. 2020, 11, 6200. [Google Scholar] [CrossRef]
- Julien, Y.; Sobrino, J.A.; Mattar, C.; Ruescas, A.B.; Jiménez-Muñoz, J.C.; Sòria, G.; Hidalgo, V.; Atitar, M.; Franch, B.; Cuenca, J. Temporal analysis of normalized difference vegetation index (NDVI) and land surface temperature (LST) parameters to detect changes in the Iberian land cover between 1981 and 2001. Int. J. Remote Sens. 2011, 32, 2057–2068. [Google Scholar] [CrossRef]
- Raynolds, M.; Comiso, J.; Walker, D.; Verbyla, D. Relationship between satellite-derived land surface temperatures, arctic vegetation types, and NDVI. Remote Sens. Environ. 2008, 112, 1884–1894. [Google Scholar] [CrossRef]
- Karnieli, A.; Bayasgalan, M.; Bayarjargal, Y.; Agam, N.; Khudulmur, S.; Tucker, C.J. Comments on the use of the Vegetation Health Index over Mongolia. Int. J. Remote Sens. 2006, 27, 2017–2024. [Google Scholar] [CrossRef]
- Ghaleb, F.; Mario, M.; Sandra, A. Regional Landsat-Based Drought Monitoring from 1982 to 2014. Climate 2015, 3, 563–577. [Google Scholar] [CrossRef] [Green Version]
- Zuhro, A.; Tambunan, M.P.; Marko, K. Application of vegetation health index (VHI) to identify distribution of agricultural drought in Indramayu Regency, West Java Province. IOP Conf. Ser. Earth Environ. Sci. 2020, 500, 12047. [Google Scholar] [CrossRef]
- Choi, M.; Jacobs, J.M.; Anderson, M.C.; Bosch, D.D. Evaluation of drought indices via remotely sensed data with hydrological variables. J. Hydrol. 2013, 476, 265–273. [Google Scholar] [CrossRef]
- Cong, D.; Zhao, S.; Chen, C.; Duan, Z. Characterization of droughts during 2001–2014 based on remote sensing: A case study of Northeast China. Ecol. Inform. 2017, 39, 56–67. [Google Scholar] [CrossRef]
- Li, Y.; Dong, Y.; Yin, D.; Liu, D.; Wang, P.; Huang, J.; Liu, Z.; Wang, H. Evaluation of Drought Monitoring Effect of Winter Wheat in Henan Province of China Based on Multi-Source Data. Sustainability 2020, 12, 2801. [Google Scholar] [CrossRef] [Green Version]
- Chang, S.; Chen, H.; Wu, B.; Nasanbat, E.; Yan, N.; Davdai, B. A Practical Satellite-Derived Vegetation Drought Index for Arid and Semi-Arid Grassland Drought Monitoring. Remote Sens. 2021, 13, 414. [Google Scholar] [CrossRef]
- Chang, S.; Wu, B.; Yan, N.; Davdai, B.; Nasanbat, E. Suitability Assessment of Satellite-Derived Drought Indices for Mongolian Grassland. Remote Sens. 2017, 9, 650. [Google Scholar] [CrossRef] [Green Version]
- Zhao, S.; Cong, D.; He, K.; Yang, H.; Qin, Z. Spatial-Temporal Variation of Drought in China from 1982 to 2010 Based on a modified Temperature Vegetation Drought Index (mTVDI). Sci. Rep. 2017, 7, 17473. [Google Scholar] [CrossRef]
- Le Du, T.T.; Du Bui, D.; Nguyen, M.D.; Lee, H. Satellite-Based, Multi-Indices for Evaluation of Agricultural Droughts in a Highly Dynamic Tropical Catchment, Central Vietnam. Water 2018, 10, 659. [Google Scholar] [CrossRef] [Green Version]
- Miralles, D.G.; Gentine, P.; Seneviratne, S.I.; Teuling, A.J. Land-atmospheric feedbacks during droughts and heatwaves: State of the science and current challenges. Ann. N. Y. Acad. Sci. 2019, 1436, 19–35. [Google Scholar] [CrossRef] [PubMed]
- Dabrowska-Zielinska, K.; Kogan, F.; Ciolkosz, A.; Gruszczynska, M.; Kowalik, W. Modelling of crop growth conditions and crop yield in Poland using AVHRR-based indices. Int. J. Remote Sens. 2002, 23, 1109–1123. [Google Scholar] [CrossRef]
- García-León, D.; Contreras, S.; Hunink, J. Comparison of meteorological and satellite-based drought indices as yield predictors of Spanish cereals. Agric. Water Manag. 2019, 213, 388–396. [Google Scholar] [CrossRef]
- Panek, E.; Gozdowski, D. Relationship between MODIS Derived NDVI and Yield of Cereals for Selected European Countries. Agronomy 2021, 11, 340. [Google Scholar] [CrossRef]
- Bannari, A.; Morin, D.; Bonn, F.; Huete, A.R. A review of vegetation indices. Remote Sens. Rev. 1995, 13, 95–120. [Google Scholar] [CrossRef]
- Xue, J.; Su, B. Significant Remote Sensing Vegetation Indices: A Review of Developments and Applications. J. Sens. 2017, 2017, 1353691. [Google Scholar] [CrossRef] [Green Version]
- Glenn, E.P.; Huete, A.R.; Nagler, P.L.; Nelson, S.G. Relationship Between Remotely-sensed Vegetation Indices, Canopy Attributes and Plant Physiological Processes: What Vegetation Indices Can and Cannot Tell Us About the Landscape. Sensors 2008, 8, 2136–2160. [Google Scholar] [CrossRef] [Green Version]
- Huang, S.; Tang, L.; Hupy, J.P.; Wang, Y.; Shao, G. A commentary review on the use of normalized difference vegetation index (NDVI) in the era of popular remote sensing. J. For. Res. 2021, 32, 1–6. [Google Scholar] [CrossRef]
- Kumari, N.; Srivastava, A.; Dumka, U.C. A Long-Term Spatiotemporal Analysis of Vegetation Greenness over the Himalayan Region Using Google Earth Engine. Climate 2021, 9, 109. [Google Scholar] [CrossRef]
- Shahzaman, M.; Zhu, W.; Bilal, M.; Habtemicheal, B.A.; Mustafa, F.; Arshad, M.; Ullah, I.; Ishfaq, S.; Iqbal, R. Remote Sensing Indices for Spatial Monitoring of Agricultural Drought in South Asian Countries. Remote Sens. 2021, 13, 2059. [Google Scholar] [CrossRef]







| Month | MODIS Day Numbers |
|---|---|
| March | 065–089 |
| April | 097–113 |
| May | 121–145 |
| June | 153–177 |
| July | 185–209 |
| August | 217–241 |
| September | 249–273 |
| October | 281–297 |
| ID | Land Cover Classes (CLC 2018) | ID | Altitude Classes (EU-DEM v1.1) |
|---|---|---|---|
| NAL | Non-irrigated arable land | AL1 | <300 m |
| PAS | Pastures | AL2 | 300–500 m |
| BLF | Broad-leaved forest | AL3 | 500–800 m |
| CFF | Coniferous forest | AL4 | 800–1200 m |
| MXF | Mixed forest | AL5 | >1200 m |
| NGL | Natural grasslands |
| Selected Crops in The Yield Statistics (Regional Database Germany) | Mean Harvest Date (Day of The Year) in Bavaria from 2001 to 2019 |
|---|---|
| Winter wheat | 215 |
| Winter rye | 212 |
| Summer barley | 211 |
| Oat | 221 |
| Sugar beet | 283 |
| Winter rapeseed | 205 |
| Silage corn | 266 |
| Altitude | CLC 2018 | Number of Pixels | March | April | May | June | July | August | September | October |
|---|---|---|---|---|---|---|---|---|---|---|
| AL1 | NAL | 240,901 (48.69%) | 0.35 | 0.00 | −0.09 | −0.23 | −0.35 | −0.33 | −0.19 | 0.01 |
| (7.01%) | PAS | 77,745 (15.71%) | 0.46 | 0.19 | 0.01 | −0.12 | −0.29 | −0.36 | −0.14 | 0.12 |
| NGL | 1650 (0.33%) | 0.46 | 0.09 | −0.01 | −0.08 | −0.43 | −0.41 | −0.19 | 0.15 | |
| BLF | 38,559 (7.79%) | 0.42 | 0.32 | 0.16 | 0.08 | −0.06 | −0.06 | 0.12 | 0.18 | |
| CFF | 24,399 (4.93%) | 0.31 | 0.31 | 0.16 | 0.14 | −0.03 | −0.05 | 0.13 | 0.12 | |
| MXF | 22,339 (4.51%) | 0.36 | 0.38 | 0.17 | 0.14 | −0.03 | −0.02 | 0.14 | 0.18 | |
| AL2 | NAL | 1,603,322 (43.47%) | 0.44 | 0.07 | −0.03 | −0.12 | −0.26 | −0.29 | −0.08 | 0.14 |
| (52.28%) | PAS | 609,244 (16.52%) | 0.55 | 0.16 | −0.01 | −0.09 | −0.26 | −0.33 | −0.01 | 0.18 |
| NGL | 13,274 (0.36%) | 0.44 | 0.19 | 0.09 | −0.03 | −0.23 | −0.29 | 0.08 | 0.16 | |
| BLF | 253,590 (6.88%) | 0.45 | 0.35 | 0.19 | 0.14 | −0.01 | 0.04 | 0.20 | 0.18 | |
| CFF | 627,277 (17.01%) | 0.40 | 0.22 | 0.15 | 0.10 | −0.05 | −0.07 | 0.10 | 0.12 | |
| MXF | 239,313 (6.49%) | 0.44 | 0.31 | 0.17 | 0.13 | −0.02 | −0.01 | 0.16 | 0.17 | |
| AL3 | NAL | 511,891 (22.01%) | 0.51 | 0.09 | 0.00 | −0.07 | −0.24 | −0.21 | −0.02 | 0.14 |
| (32.96%) | PAS | 646,484 (27.80%) | 0.64 | 0.18 | 0.02 | −0.06 | −0.22 | −0.16 | 0.10 | 0.20 |
| NGL | 8681 (0.37%) | 0.61 | 0.24 | 0.11 | 0.00 | −0.18 | −0.15 | 0.10 | 0.17 | |
| BLF | 92,655 (3.98%) | 0.53 | 0.34 | 0.19 | 0.12 | 0.00 | 0.05 | 0.20 | 0.15 | |
| CFF | 595,578 (25.61%) | 0.53 | 0.24 | 0.16 | 0.10 | −0.02 | 0.03 | 0.11 | 0.13 | |
| MXF | 254,112 (10.93%) | 0.53 | 0.30 | 0.18 | 0.09 | −0.01 | 0.06 | 0.17 | 0.13 | |
| AL4 | NAL | 0 (0.00%) | n.a. | n.a. | n.a. | n.a. | n.a. | n.a. | n.a. | n.a. |
| (5.51%) | PAS | 95,015 (24.43%) | 0.71 | 0.35 | 0.09 | −0.02 | −0.13 | −0.02 | 0.21 | 0.23 |
| NGL | 15,785 (4.06%) | 0.60 | 0.54 | 0.27 | 0.03 | −0.01 | 0.08 | 0.25 | 0.27 | |
| BLF | 37,420 (9.62%) | 0.52 | 0.40 | 0.27 | 0.10 | 0.15 | 0.14 | 0.25 | 0.11 | |
| CFF | 129,960 (33.42%) | 0.55 | 0.37 | 0.24 | 0.08 | 0.08 | 0.14 | 0.20 | 0.16 | |
| MXF | 94,833 (24.38%) | 0.54 | 0.39 | 0.27 | 0.11 | 0.10 | 0.16 | 0.25 | 0.13 | |
| AL5 | NAL | 0 (0.00%) | n.a. | n.a. | n.a. | n.a. | n.a. | n.a. | n.a. | n.a. |
| (2.23%) | PAS | 747 (0.47%) | 0.34 | 0.69 | 0.43 | 0.13 | 0.13 | 0.16 | 0.29 | 0.40 |
| NGL | 35,529 (22.58%) | 0.34 | 0.66 | 0.46 | 0.17 | 0.10 | 0.16 | 0.36 | 0.42 | |
| BLF | 8214 (5.22%) | 0.47 | 0.51 | 0.32 | 0.08 | 0.16 | 0.14 | 0.25 | 0.24 | |
| CFF | 58,431 (37.14%) | 0.42 | 0.53 | 0.34 | 0.11 | 0.14 | 0.14 | 0.27 | 0.31 | |
| MXF | 14,883 (9.46%) | 0.47 | 0.53 | 0.34 | 0.10 | 0.16 | 0.13 | 0.28 | 0.27 |
| SMI vs. | TCI | VCI | VHI |
|---|---|---|---|
| March | 0.26 | 0.09 | 0.25 |
| April | 0.52 | 0.11 | 0.37 |
| May | 0.38 | 0.16 | 0.32 |
| June | 0.34 | 0.15 | 0.30 |
| July | 0.63 | 0.26 | 0.52 |
| August | 0.69 | 0.37 | 0.61 |
| September | 0.47 | 0.38 | 0.51 |
| October | 0.07 | 0.05 | 0.08 |
| Total | 0.54 | 0.27 | 0.48 |
| r | Winter Wheat | Winter Rye | Summer Barley | Oat | Sugar Beet | Winter Rapeseed | Silage Corn | Weighted Yield |
|---|---|---|---|---|---|---|---|---|
| TCI | 0.12 | 0.34 | 0.10 | 0.28 | 0.38 | 0.10 | 0.62 | 0.47 |
| VCI | 0.21 | 0.25 | 0.19 | 0.25 | 0.50 | 0.09 | 0.51 | 0.45 |
| VHI | 0.16 | 0.33 | 0.14 | 0.28 | 0.46 | 0.10 | 0.61 | 0.49 |
Publisher’s Note: MDPI stays neutral with regard to jurisdictional claims in published maps and institutional affiliations. |
© 2021 by the authors. Licensee MDPI, Basel, Switzerland. This article is an open access article distributed under the terms and conditions of the Creative Commons Attribution (CC BY) license (https://creativecommons.org/licenses/by/4.0/).
Share and Cite
Kloos, S.; Yuan, Y.; Castelli, M.; Menzel, A. Agricultural Drought Detection with MODIS Based Vegetation Health Indices in Southeast Germany. Remote Sens. 2021, 13, 3907. https://doi.org/10.3390/rs13193907
Kloos S, Yuan Y, Castelli M, Menzel A. Agricultural Drought Detection with MODIS Based Vegetation Health Indices in Southeast Germany. Remote Sensing. 2021; 13(19):3907. https://doi.org/10.3390/rs13193907
Chicago/Turabian StyleKloos, Simon, Ye Yuan, Mariapina Castelli, and Annette Menzel. 2021. "Agricultural Drought Detection with MODIS Based Vegetation Health Indices in Southeast Germany" Remote Sensing 13, no. 19: 3907. https://doi.org/10.3390/rs13193907
APA StyleKloos, S., Yuan, Y., Castelli, M., & Menzel, A. (2021). Agricultural Drought Detection with MODIS Based Vegetation Health Indices in Southeast Germany. Remote Sensing, 13(19), 3907. https://doi.org/10.3390/rs13193907

