Combined GRACE and MT-InSAR to Assess the Relationship between Groundwater Storage Change and Land Subsidence in the Beijing-Tianjin-Hebei Region
Abstract
:1. Introduction
2. Study Area and Dataset Materials
2.1. Study Area
2.2. Dataset Materials
3. Methods
3.1. MT-InSAR
3.2. GRACE Data Analysis
3.3. Spatio-Temporal Data Interpolation
3.4. Loren Curve Model
3.5. Technical Flow Chart
4. Results
4.1. Land Subsidence in BTH
4.1.1. Spatial Distribution and Evolution Characteristics of Land Subsidence in BTH
4.1.2. Accuracy Verification
4.2. Groundwater Storage Change in BTH
5. Discussion
5.1. The Spatial Trend of GWSA and Land Subsidence in BTH
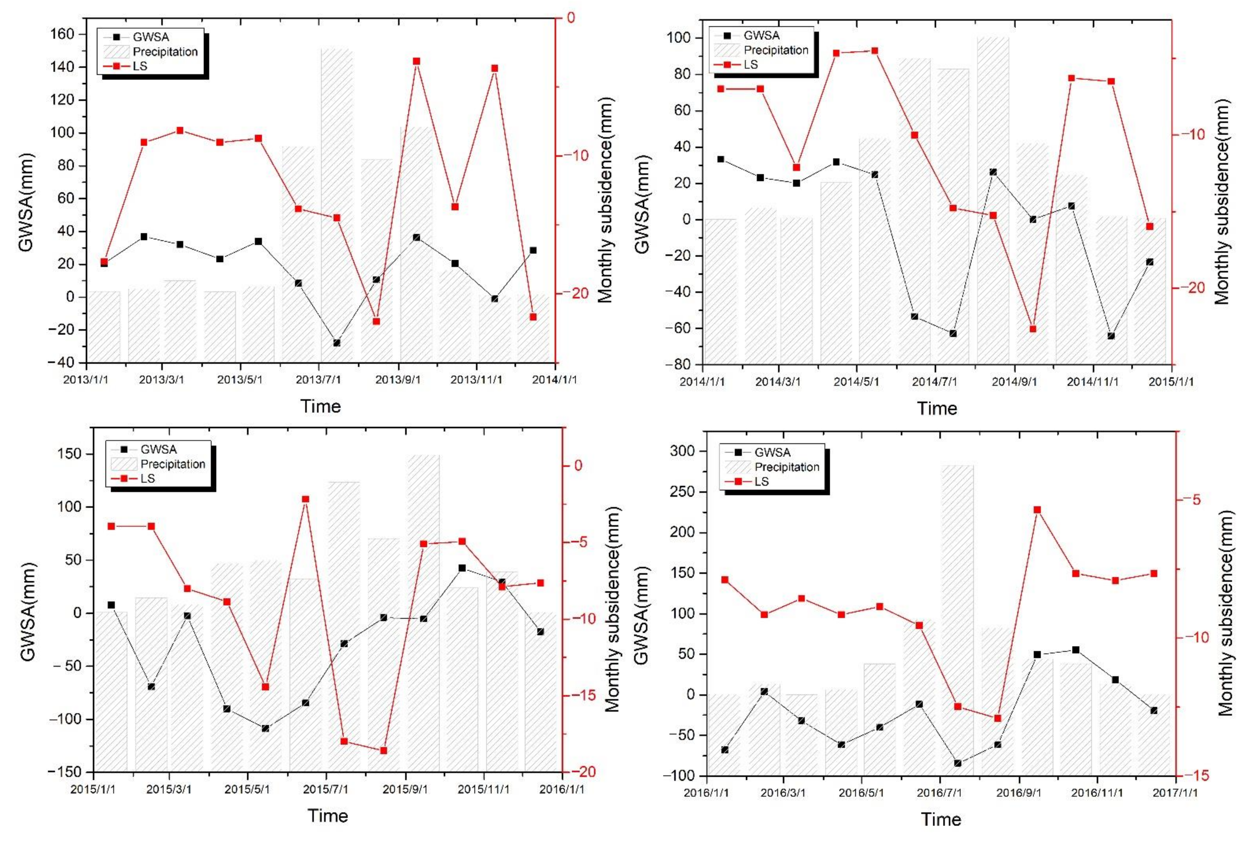
5.2. Time Series Trend of Regional GWSA and Subsidence in BTH
5.3. Analysis of GWS and LS in Typical Areas of BTH
5.3.1. Analysis of GWS and LS in Beijing
5.3.2. Analysis of GWS and LS in Tianjin and Langfang
5.3.3. Analysis of GWS and LS in Hengshui and Cangzhou
5.3.4. Analysis of GWS and LS in Baoding
5.4. Uncertainty Analysis
6. Conclusions
Author Contributions
Funding
Data Availability Statement
Acknowledgments
Conflicts of Interest
References
- Li, X.; Ye, S.; Song, F.; Zhou, P. Quantitative Identification of Major Factors Affecting Groundwater Change in Beijing-Tianjin-Hebei Plain. J. China Hydrol. 2018, 38, 21–27. [Google Scholar]
- Gong, H.; Li, X.; Pan, Y.; Zhu, L.; Zhang, Y.; Mi, C.; Chen, B.; Ke, Y.; Wang, Y.; Gao, M. Groundwater depletion and regional land subsidence of the Beijing-Tianjin-Hebei area. Bull. Natl. Nat. Sci. Found. China 2017, 31, 72–77. [Google Scholar]
- Cao, G.; Zheng, C.; Scanlon, B.; Jie, L.; Li, W. Use of flow modeling to assess sustainability of groundwater resources in the North China Plain. Water Resour. Res. 2013, 49, 159–175. [Google Scholar] [CrossRef]
- Feng, W.; Zhong, M.; Lemoine, J.; Biancale, J.; Hsu, H.; Xia, J. Evaluation of groundwater depletion in North China using the Gravity Recovery and Climate Experiment (GRACE) data and ground-based measurements. Water Resour. Res. 2013, 49, 2110–2118. [Google Scholar] [CrossRef]
- Lei, K.; Luo, Y.; Chen, B.; Guo, G.; Zhou, Y. Distribution characteristics and influence factors of land subsidence in Beijing area. Geol. China 2016, 43, 2216–2228. [Google Scholar] [CrossRef]
- Zhang, Y.; Hongan, W.; Kang, Y. Ground Subsidence over Beijing-Tianjin-Hebei Region during Three Periods of 1992 to 2014 Monitored by Interferometric SAR. Acta Geod. Et Cartogr. Sin. 2016, 45, 1050–1058. [Google Scholar] [CrossRef]
- Zhang, J.; Liu, J.; Zhai, L.; Hou, W. Implementation of Geographical Conditions Monitoring in Beijing-Tianjin-Hebei, China. Int. J. Geo-Inf. 2016, 5, 89. [Google Scholar] [CrossRef] [Green Version]
- Liu, G. Application examples of InSAR and its limitation analysis. Surv. Mapp. Sichuan 2005, 3, 44–48. [Google Scholar] [CrossRef]
- Gabriel, A.; Goldstein, R.; Zebker, H. Mapping Small Elevation Changes Over Large Areas: Differential Radar Interferometry. J. Geophys. Res. Solid Earth 1989, 94, 9183–9184. [Google Scholar] [CrossRef]
- Hanssen, R.F. Radar Interferometry; Springer: Berlin/Heidelberg, Germany, 2001. [Google Scholar]
- Ghiglia, D.C.; Pritt, M.D. Two-Dimensional Phase Unwrapping: Theory, Algorithms, and Software. 1998. Available online: https://xueshu.baidu.com/usercenter/paper/show?paperid=f7a53cd9173485b92a3f0756cf0c1d84 (accessed on 10 August 2021).
- Zebker, H.; Rosen, P.; Hensley, S. Atmospheric effects in interferometric synthetic aperture radar surface deformation and topographic maps. J. Geophys. Res. Solid Earth 1997, 102, 7547–7563. [Google Scholar] [CrossRef]
- Xu, C.; He, P.; Wen, Y.; Liu, Y. Recent advances InSAR interferometry and its applications. J. Geomat. 2015, 40, 1–9. [Google Scholar] [CrossRef]
- China Geological Environmental Monitoring Institute. China Geological Environmental Monitoring Groundwater Level Yearbook; China Dadi Publishing House: Beijing, China, 2007. [Google Scholar]
- Li-Tang, H.; Sun, K.; Yin, W. Review on the Application of GRACE Satellite in Regional Groundwater Management. J. Earth Sci. Environ. 2016, 38, 258–266. [Google Scholar]
- Strassberg, G.; Scanlon, B.; Rodell, M. Comparison of seasonal terrestrial water storage variations from GRACE with groundwater-level measurements from the High Plains Aquifer (USA). Geophys. Res. Lett. 2007, 34. [Google Scholar] [CrossRef] [Green Version]
- Luo, Z.; Li, Q.; Zhong, P. Water storage variations in Heihe river recovered from GRACE temporal gravity field. Acta Geod. Cartogr. Sin. 2012, 41, 676–681. [Google Scholar]
- Xie, X.; Caijun, X.; Gong, Z.; Wei, L. Groundwater Storage Changes in Shan-Gan-Jin Plateau Derived from GRACE. Bull. Surv. Mapp. 2018, 1, 133–137. [Google Scholar]
- Srivastava, S.; Dikshit, O. Seasonal and trend analysis of TWS for the Indo-Gangetic plain using GRACE data. Geocarto Int. 2019, 35, 1343–1359. [Google Scholar] [CrossRef]
- Singh, L.; Subbarayan, S. Satellite-derived GRACE groundwater storage variation in complex aquifer system in India. Sustain. Water Resour. Manag. 2020, 6, 43. [Google Scholar] [CrossRef]
- Rodell, M.; Chen, J.; Kato, H.; Famigliettim, J.; Nigro, J.; Wilson, C. Estimating groundwater storage changes in the Mississippi River basin (USA) using GRACE. Hydrogeol. J. 2007, 15, 159–166. [Google Scholar] [CrossRef] [Green Version]
- Famiglietti, J.; Lo, M.; Ho, S.; Bethune, J.; Anderson, K.; Syed, T.; Swenson, S.; Linage, C.; Rodell, M. Satellites measure recent rates of groundwater depletion in California’s Central Valley. Geophys. Res. Lett. 2011, 38. [Google Scholar] [CrossRef] [Green Version]
- Voss, K.; Famiglietti, J.; Lo, M.; Linage, C.; Rodell, M.; Swenson, S. Groundwater depletion in the Middle East from GRACE with implications for transboundary water management in the Tigris-Euphrates-Western Iran region. Water Resour. Res. 2013, 49, 904–914. [Google Scholar] [CrossRef] [PubMed] [Green Version]
- Joodaki, G.; Wahr, J.; Swenson, S. Estimating the human contribution to groundwater depletion in the Middle East, from GRACE data, land surface models, and well observations. Water Resour. Res. 2014, 50, 2679–2692. [Google Scholar] [CrossRef]
- Velicogna, I.; Tong, J.; Zhang, T.; Kimball, J. Increasing subsurface water storage in discontinuous permafrost areas of the Lena River basin, Eurasia, detected from GRACE. Geophys. Res. Lett. 2012, 39, 1–5. [Google Scholar] [CrossRef] [Green Version]
- Suzuki, K.; Matsuo, K.; Yamazaki, D.; Ichii, K.; Lijima, Y.; Paga, F.; Yanagi, Y.; Hiyama, T. Hydrological variability and changes in the Arctic circumpolar tundra and the three largest pan-Arctic river basins from 2002 to 2016. Remote Sens. 2018, 10, 402. [Google Scholar] [CrossRef] [Green Version]
- Pan, Y.; Zhang, C.; Gong, H.; Yeh, P.; Shen, Y.; Guo, Y.; Huang, Z.; Li, X. Detection of human--induced evapotranspiration using GRACE satellite observations in the Haihe River basin of China. EGU Gen. Assem. Conf. Abstr. 2017, 44, 190–199. [Google Scholar] [CrossRef]
- Gao, M.; Gong, H.; Chen, B.; Zhou, C.; Chen, W. InSAR time-series investigation of long-term ground displacement at Beijing Capital International Airport, China. Tectonophysics 2016, 691, 271–281. [Google Scholar] [CrossRef]
- Chen, B.; Gong, H.; Li, X.; Lei, K.; Zhu, L.; Gao, M.; Zhou, C. Characterization and causes of land subsidence in Beijing, China. Int. J. Remote. Sens. 2017, 38, 808–826. [Google Scholar] [CrossRef]
- Castellazzi, P.; Martel, R.; Rivera, A.; Huang, J.; Pavlic, G.; Calderhead, A.; Chaussard, E.; Garfias, J.; Salas, J. Groundwater depletion in Central Mexico: Use of GRACE and InSAR to support water resources management. Water Resour. Res. 2016, 52, 5985–6003. [Google Scholar] [CrossRef]
- Du, Z.; Ge, L.; Ng, H.; Li, X. Time series interferometry integrated with groundwater depletion measurement from grace. In Proceedings of the 2016 IEEE International Geoscience and Remote Sensing Symposium (IGARSS), Beijing, China, 10–15 July 2016; IEEE: Manhattan, NY, USA, 2016. [Google Scholar] [CrossRef]
- Huang, Z.; Pan, Y.; Gong, H.; Yeh, J.; Li, X.; Zhou, D.; Zhao, W. Subregional-scale groundwater depletion detected by GRACE for both shallow and deep aquifers in North China Plain. Geophys. Res. Lett. 2015, 42, 1791–1799. [Google Scholar] [CrossRef]
- Gong, H.; Pan, Y.; Zheng, L.; Li, X.; Zhu, L.; Zhang, C.; Huang, Z.; Li, Z.; Wang, H.; Zhou, C. Long-term groundwater storage changes and land subsidence development in the North China Plain (1971–2015). Hydrogeol. J. 2018, 26, 1417–1427. [Google Scholar] [CrossRef] [Green Version]
- Zhang, Z.; Shen, Z.; Xue, Y. Evolution of Groundwater Environment in North China Plain; Geological Publishing House: Bath, UK, 2000. [Google Scholar]
- Fei, Y.; Zhang, Z.; Zhang, F.; Chen, J.; Chen, Z.; Wang, Z. Factors affecting dynamic variation of groundwater level in North China Plain. J. Hehai Univ. 2005, 5, 538–541. [Google Scholar] [CrossRef]
- Chen, Z.; Qi, J.; Xu, J.; Xu, J.; Hao, Y.; Nan, Y. Paleoclimatic interpretation of the past 30 ka from isotopic studies of the deep confined aquifer of the North China Plain. Appl. Geochem. 2003, 18, 997–1009. [Google Scholar]
- Guo, H.; Li, W.; Wang, L.; Chen, Y.; Zang, X.; Wang, Y.; Zhu, J.; Bian, Y. Present situation and research prospects of the land subsidence driven by groundwater levels in the North China Plain. Hydrogeol. Eng. Geol. 2021, 48, 1–13. [Google Scholar]
- Cui, W.; Lei, K. Some Ideas on Land Subsidence Working from the view of Coordinated Development in Beijing-Tianjin-Hebei Regions. Urban Geol. 2018, 13, 1007–1903. [Google Scholar]
- Yi, L.; Fang, Z.; He, X.; Chen, S.; Wei, W.; Qiang, Y. Land subsidence in Tianjin, China. Environ. Earth Sci. 2011, 62, 1151–1161. [Google Scholar]
- Xue, X.; Li, J.; Xie, X.; Qian, K.; Wang, Y. Impacts of sediment compaction on iodine enrichment in deep aquifers of the North China Plain. Water Res. 2019, 159, 480–489. [Google Scholar] [CrossRef] [PubMed]
- Guo, H.; Bai, J.; Zhang, Y.; Wang, L.; Shi, J.; Li, W.; Zhang, Z.; Wang, Y.; Zhu, J.; Wang, H. The evolution characteristics and mechanism of the land subsidence in typical areas of the North China Plain. Geol. China 2017, 44, 1115–1127. [Google Scholar]
- Beijing Institute of Hydrogeology and Engineering Geology. The Annual Report of Beijing Land Subsidence Monitoring; Beijing Institute of Hydrogeology and Engineering Geology: Beijing, China, 2015. [Google Scholar]
- Yi, C. The latest progress of land subsidence control in Tianjin. Haihe Water Resour. 2017, 64, 42–43. [Google Scholar]
- Liu, X.; Wang, Y.; Yan, S. Ground deformation associated with exploitation of deep groundwater in Cangzhou City measured by multi-sensor synthetic aperture radar images. Environ. Earth. 2017, 76, 6. [Google Scholar] [CrossRef]
- Ferretti, A.; Prati, C. Nonlinear subsidence rate estimation using permanent scatterers in differential SAR interferometry. IEEE Trans. Geosci. Remote. Sens. 2000, 38, 2202–2212. [Google Scholar] [CrossRef] [Green Version]
- Zhang, Y.; Wu, H.; Kang, Y.; Zhu, C. Ground Subsidence in the Beijing-Tianjin-Hebei Region from 1992 to 2014 Revealed by Multiple SAR Stacks. Remote. Sens. 2016, 8, 675. [Google Scholar] [CrossRef] [Green Version]
- Tapley, B.; Bettadpur, S.; Ries, J.; Thompson, P.; Watkins, M. GRACE Measurements of Mass Variability in the Earth System. Science 2004, 305, 503–505. [Google Scholar] [CrossRef] [Green Version]
- Yeh, J.; Swenson, S.; Famiglietti, J.; Rodell, M. Remote Sensing of Groundwater Storage Changes in Illinois Using the Gravity Recovery and Climate Experiment (GRACE). Water Resour. Res. 2006, 42, 12. [Google Scholar] [CrossRef]
- Massoud, E.; Purdy, A.; Miro, M.; Famiglietti, J. Projecting Groundwater Storage Changes in California’s Central Valley. Entific Rep. 2018, 8, 12917. [Google Scholar] [CrossRef]
- Zhang, C.; Duan, Q.; Yeh, P.; Pan, Y. Sub-regional groundwater storage recovery in NCP after the South-to-North water diversion project. J. Hydrol. 2021, 597, 126–156. [Google Scholar] [CrossRef]
- Wang, J.; Song, C.; Reager, J.; Yao, F.; Famiglietti, J.; Sheng, Y.; MacDonald, G.; Brun, F.; Schmied, H.; Marston, R.; et al. Recent global decline in endorheic basin water storages. Nat. Geosci. 2018, 11, 926–932. [Google Scholar] [CrossRef] [Green Version]
- Lorenz, M.O. Methods for measuring the concentration of wealth. Am. Stat. Assoc. 1905, 70, 209–219. [Google Scholar] [CrossRef]
- Sangüesa, C.; Pizarro, R.; Ibañez, A.; Ingram, B.; Rivera, D.; Garcia, C.; Ingram, B. Spatial and Temporal Analysis of Rainfall Concentration Using the Gini Index and PCI. Water 2018, 10, 112. [Google Scholar] [CrossRef] [Green Version]
- Zou, S.; Abuduwaili, J.; Duan, W.; Ding, J.; Ma, L. Attribution of changes in the trend and temporal non-uniformity of extreme precipitation events in Central Asia. Sci. Rep. 2021, 11, 1–11. [Google Scholar] [CrossRef] [PubMed]
- Wanling, X.; Zhu, W.; Zhang, J.; Zheng, X.; Jin, H. Analysis on Temporal Inhomogenenity of Runoff in Tumen River Mainstream Based on Lorenz Curve. Bull. Soil Water Conserv. 2015, 35, 128–132. [Google Scholar]
- Save, H.; Bettadpur, S.; Tapley, B. High-resolution CSR GRACE RL05 mascons. J. Geophys. Res. Solid Earth 2016, 121, 7547–7569. [Google Scholar] [CrossRef]
- Wiese, D.N.; Landerer, F.W.; Watkins, M.M. Quantifying and reducing leakage errors in the JPL RL05M GRACE mascon solution. Water Resour. Res. 2016, 52, 7490–7502. [Google Scholar] [CrossRef]
- Scanlon, B.; Zhang, Z.; Save, H.; Wiese, D.; Landerer, F.; Long, D.; Longuevergne, L.; Chen, J. Global Evaluation of New GRACE Mascon Products for Hydrologic Applications. Water Resour. Res. 2016, 52, 9412–9429. [Google Scholar] [CrossRef]
- Zhu, J.; Guo, H.; Peng, L.; Tian, X. Relationship between Land Subsidence and Deep Groundwater Yield in the North China Plain. South--North Water Transf. Water Sci. Technol. 2014, 12, 165–169. [Google Scholar]
- Jiang, L.; Bai, L.; Zhao, Y.; Gao, G.; Wang, H.; Sun, Q. Combining InSAR and Hydraulic Head Measurements to Estimate Aquifer Parameters and Storage Variations of Confined Aquifer System in Cangzhou, North China Plain. Water Resour. Res. 2018, 54, 8234–8252. [Google Scholar] [CrossRef]























| Year | Beijing | Tianjin | Hebei | |||||||||
|---|---|---|---|---|---|---|---|---|---|---|---|---|
| TW Supply (km3) | GW Supply (km3) | MSWDP Supply (km3) | P (mm) | TW Supply (km3) | GW Supply (km3) | MSWDP Supply (km3) | P (mm) | TW Supply (km3) | GW Supply (km3) | MSWDP Supply (km3) | P (mm) | |
| 2012 | 3.59 | 2.04 | 0.28 | 807.63 | 2.01 | 0.55 | 0 | 820.32 | 19.53 | 15.12 | 0 | 692.81 |
| 2013 | 3.64 | 2.01 | 0.35 | 516.48 | 2.38 | 0.57 | 0 | 452.02 | 19.13 | 14.46 | 0 | 557.83 |
| 2014 | 3.75 | 1.96 | 0.08 | 427.3 | 2.62 | 0.53 | 0.0063 | 435.66 | 19.28 | 14.21 | 0.00012 | 388.2 |
| 2015 | 3.82 | 1.82 | 0.76 | 596.03 | 2.57 | 0.49 | 0.39 | 561.2 | 18.72 | 13.36 | 0.11 | 526.06 |
| 2016 | 3.88 | 1.75 | 0.84 | 661.88 | 2.72 | 0.47 | 0.89 | 623.44 | 18.26 | 12.50 | 0.36 | 599.30 |
Publisher’s Note: MDPI stays neutral with regard to jurisdictional claims in published maps and institutional affiliations. |
© 2021 by the authors. Licensee MDPI, Basel, Switzerland. This article is an open access article distributed under the terms and conditions of the Creative Commons Attribution (CC BY) license (https://creativecommons.org/licenses/by/4.0/).
Share and Cite
Yu, W.; Gong, H.; Chen, B.; Zhou, C.; Zhang, Q. Combined GRACE and MT-InSAR to Assess the Relationship between Groundwater Storage Change and Land Subsidence in the Beijing-Tianjin-Hebei Region. Remote Sens. 2021, 13, 3773. https://doi.org/10.3390/rs13183773
Yu W, Gong H, Chen B, Zhou C, Zhang Q. Combined GRACE and MT-InSAR to Assess the Relationship between Groundwater Storage Change and Land Subsidence in the Beijing-Tianjin-Hebei Region. Remote Sensing. 2021; 13(18):3773. https://doi.org/10.3390/rs13183773
Chicago/Turabian StyleYu, Wen, Huili Gong, Beibei Chen, Chaofan Zhou, and Qingquan Zhang. 2021. "Combined GRACE and MT-InSAR to Assess the Relationship between Groundwater Storage Change and Land Subsidence in the Beijing-Tianjin-Hebei Region" Remote Sensing 13, no. 18: 3773. https://doi.org/10.3390/rs13183773
APA StyleYu, W., Gong, H., Chen, B., Zhou, C., & Zhang, Q. (2021). Combined GRACE and MT-InSAR to Assess the Relationship between Groundwater Storage Change and Land Subsidence in the Beijing-Tianjin-Hebei Region. Remote Sensing, 13(18), 3773. https://doi.org/10.3390/rs13183773
