High-Resolution Ocean Currents from Sea Surface Temperature Observations: The Catalan Sea (Western Mediterranean)
Abstract
1. Introduction
2. Theoretical Framework
3. Materials and Methods
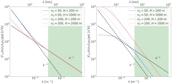
4. Framework Applicability
5. Reconstruction of Velocities
6. Comparison with Drifters
7. Summary and Conclusions
Author Contributions
Funding
Data Availability Statement
Acknowledgments
Conflicts of Interest
References
- Isern-Fontanet, J.; Ballabrera-Poy, J.; Turiel, A.; García-Ladona, E. Remote sensing of ocean surface currents: A review of what is being observed and what is being assimilated. Nonlinear Process. Geophys. 2017, 24, 613–643. [Google Scholar] [CrossRef]
- Gommenginger, C.; Chapron, B.; Hogg, A.; Buckingham, C.; Fox-Kemper, B.; Eriksson, L.; Soulat, F.; Ubelmann, C.; Ocampo-Torres, F.; Nardelli, B.B.; et al. SEASTAR: A Mission to Study Ocean Submesoscale Dynamics and Small-Scale Atmosphere-Ocean Processes in Coastal, Shelf and Polar Seas. Front. Mar. Sci. 2019, 6, 457. [Google Scholar] [CrossRef]
- Isern-Fontanet, J.; Lapeyre, G.; Klein, P.; Chapron, B.; Hetcht, M. Three-dimensional reconstruction of oceanic mesoscale currents from surface information. J. Geophys. Res. 2008, C09005. [Google Scholar] [CrossRef]
- Lapeyre, G. What mesoscale signal does the altimeter see? On the decomposition in baroclinic modes and the role of the surface boundary condition. J. Phys. Oceanogr. 2009, 39, 2857–2874. [Google Scholar] [CrossRef]
- Ponte, A.; Klein, P. Reconstruction of the upper ocean 3D dynamics from high-resolution sea surface height. Ocean. Dyn. 2013, 63, 777–791. [Google Scholar] [CrossRef]
- Lapeyre, G. Surface Quasi-Geostrophy. Fluids 2017, 2, 7. [Google Scholar] [CrossRef]
- Le Traon, P.; Klein, P.; Hua, B.; Dibarbourne, G. Do altimeter wavenumber spectra agree with interior or surface quasi-geostrophic theory? J. Phys. Oceanogr. 2008, 38, 1137–1142. [Google Scholar] [CrossRef]
- Lumpkin, R.; Elipot, S. Surface drifter pair spreading in the North Atlantic. J. Geophys. Res. Ocean. 2010, 115. [Google Scholar] [CrossRef]
- Kim, S.Y.; Terrill, E.J.; Cornuelle, B.D.; Jones, B.; Washburn, L.; Moline, M.A.; Paduan, J.D.; Garfield, N.; Largier, J.L.; Crawford, G.; et al. Mapping the U.S. West Coast surface circulation: A multiyear analysis of high-frequency radar observations. J. Geophys. Res. 2011, 116, C03011. [Google Scholar] [CrossRef]
- Isern-Fontanet, J.; Chapron, B.; Klein, P.; Lapeyre, G. Potential use of microwave SST for the estimation of surface ocean currents. Geophys. Res. Lett. 2006, 33, L24608. [Google Scholar] [CrossRef]
- González-Haro, C.; Isern-Fontanet, J. Reconstruction of global surface currents from passive microwave radiometers. J. Geophys. Res. 2014, 119. [Google Scholar] [CrossRef]
- Isern-Fontanet, J.; García-Ladona, E.; Madrid, J.; Olmedo, E.; García Sotillo, M.; Orfila, A.; Turiel, A. Real-time reconstruction of surface velocities from satellite observations in the Alboran sea. Remote Sens. 2020, 12, 724. [Google Scholar] [CrossRef]
- Isern-Fontanet, J.; Olmedo, E.; Turiel, A.; Ballabrera-Poy, J.; García-Ladona, E. Retrieval of eddy dynamics from SMOS sea surface salinity measurements in the Algerian Basin (Mediterranean Sea). Geophys. Res. Lett. 2016, 43. [Google Scholar] [CrossRef]
- Isern-Fontanet, J.; Hascoët, E. Diagnosis of high resolution upper ocean dynamics from noisy sea surface temperature. J. Geopys. Res. 2014, 118, 1–12. [Google Scholar] [CrossRef]
- Poulain, P.; Menna, M.; Mauri, E. Surface Geostrophic Circulation of the Mediterranean Sea Derived from Drifter and Satellite Altimeter Data. J. Phys. Oceanogr. 2012, 42, 973–990. [Google Scholar] [CrossRef]
- Puillat, I.; Taupier-Letage, I.; Millot, C. Algerian eddies lifetime can near 3 years. J. Mar. Syst. 2002, 31, 245–259. [Google Scholar] [CrossRef]
- Rubio, A.; Arnau, P.; Espino, M.; Flexas, M.; Jordà, G.; Salat, J.; Puigdefàbregas, J.; Sánchez-Arcilla, A. A field study of the behaviour of an anticyclonic eddy on the Catalan continental shelf (NW Mediterranean). Prog. Oceanogr. 2005, 66, 142–156. [Google Scholar] [CrossRef]
- Isern-Fontanet, J.; García-Ladona, E.; Font, J. The vortices of the Mediterranean sea: An altimetric perspective. J. Phys. Oceanogr. 2006, 36, 87–103. [Google Scholar] [CrossRef]
- García-Olivares, A.; Isern-Fontanet, J.; García-Ladona, E. Dispersion of passive tracers and Finite-Scale Lyapunov Exponents in the Western Mediterranean sea. Deep-Sea Res. I 2007, 54, 253–268. [Google Scholar] [CrossRef]
- González-Haro, C.; Ponte, A.; Autret, E. Quantifying Tidal Fluctuations in Remote Sensing Infrared SST Observations. Remote Sens. 2019, 11, 2313. [Google Scholar] [CrossRef]
- Hoskins, B.; McIntyre, M.; Robertson, A. On the use and significance of isentropic potential vorticity maps. Q. J. R. Meteorol. Soc. 1985, 111, 877–946. [Google Scholar] [CrossRef]
- Lapeyre, G.; Klein, P. Dynamics of the Upper Oceanic Layers in Terms of Surface Quasigeostrophy Theory. J. Phys. Oceanogr. 2006, 36, 165–176. [Google Scholar] [CrossRef]
- Tulloch, R.; Smith, K. A New Theory for the Atmospheric Energy Spectrum: Depth-Limited Temperature Anomalies at the Tropopause. Proc. Natl. Acad. Sci. USA 2006, 103, 14690–14694. [Google Scholar] [CrossRef] [PubMed]
- Klein, P.; Lapeyre, G.; Roullet, G.; Le Gentil, S.; Sasaki, H. Ocean turbulence at meso and submesoscales: Connection between surface and interior dynamics. Geophys. Astrophys. Fluid Dyn. 2011, 105, 421–437. [Google Scholar] [CrossRef]
- Held, I.; Pierrehumbert, R.; Garner, S.; Swanson, K. Surface quasi-geostrophic dynamics. J. Fluid Mech. 1995, 282, 1–20. [Google Scholar] [CrossRef]
- LaCasce, J. Surface Quasigeostrophic Solutions and Baroclinic Modes with Exponential Stratification. J. Phys. Oceanogr. 2012, 42, 569–580. [Google Scholar] [CrossRef][Green Version]
- Ponte, A.; Klein, P.; Capet, X.; Le Traon, P.; Chapron, B.; Lherminier, P. Diagnosing Surface Mixed Layer Dynamics from High-Resolution Satellite Observations: Numerical Insights. J. Phys. Oceanogr. 2013, 43, 1345–1355. [Google Scholar] [CrossRef]
- LaCasce, J.; Mahadevan, A. Estimating subsurface horizontal and vertical velocities from sea surface temperature. J. Mar. Res. 2006, 64, 695–721. [Google Scholar] [CrossRef]
- Isern-Fontanet, J.; Shinde, M.; González-Haro, C. On the transfer function between surface fields and the geostrophic stream function in the Mediterranean sea. J. Phys. Ocean 2014, 44, 1406–1423. [Google Scholar] [CrossRef]
- González-Haro, C.; Isern-Fontanet, J.; Tandeo, P.; Garello, R. Ocean Surface Currents Reconstruction: Spectral Characterization of the Transfer Function Between SST and SSH. J. Geophys. Res. Ocean. 2020, 125, e2019JC015958. [Google Scholar] [CrossRef]
- Klein, P.; Isern-Fontanet, J.; Lapeyre, G.; Roullet, G.; Danioux, E.; Chapron, B.; Le Gentil, S.; Sasaki, H. Diagnosis of vertical velocities in the upper ocean from high resolution sea surface height. Geophys. Res. Lett. 2009, 33, L24608. [Google Scholar] [CrossRef]
- Qiu, B.; Chen, S.; Klein, P.; Ubelmann, C.; Fu, L.L.; Sasaki, H. Reconstructability of Three-Dimensional Upper-Ocean Circulation from SWOT Sea Surface Height Measurements. J. Phys. Oceanogr. 2016, 46, 947–963. [Google Scholar] [CrossRef]
- Qiu, B.; Chen, S.; Klein, P.; Torres, H.; Wang, J.; Fu, L.L.; Menemenlis, D. Reconstructing Upper-Ocean Vertical Velocity Field from Sea Surface Height in the Presence of Unbalanced Motion. J. Phys. Oceanogr. 2019, 50, 55–79. [Google Scholar] [CrossRef]
- Wang, J.; Flierl, G.; LaCasce, J.; McClean, J.; Mahadevan, A. Reconstructing the ocean’s interior from surface data. J. Phys Ocean. 2013, 43, 1611–1626. [Google Scholar] [CrossRef]
- LaCasce, J.H.; Wang, J. Estimating Subsurface Velocities from Surface Fields with Idealized Stratification. J. Phys. Oceanogr. 2015, 45, 2424–2435. [Google Scholar] [CrossRef]
- García-Ladona, E.; Salvador, J.; Fernandez, P.; Pelegri, J.; El’osegui, P.; Sńchez, O.; Madrid, J.J.; Pérez, F.; Ballabrera, J.; Isern-Fontanet, J.; et al. Thirty years of research and development of Lagrangian buoys at the Institute of Marine Sciences. Sci. Mar. 2016, 80, 141–158. [Google Scholar] [CrossRef]
- Clavel-Henry, M.; North, E.W.; Solé, J.; Bahamon, N.; Carretón, M.; Company, J.B. Estimating the spawning locations of the deep-sea red and blue shrimp Aristeus antennatus (Crustacea: Decapoda) in the northwestern Mediterranean Sea with a backtracking larval transport model. Deep. Sea Res. Part Oceanogr. Res. Pap. 2021, 174, 103558. [Google Scholar] [CrossRef]
- Cushman-Roisin, B.; Beckers, J. Introduction to Geophysical Fluid Dynamics, 2nd ed.; International Geophysics Series; Academic Press: Cambridge, MA, USA, 2011; Volume 101. [Google Scholar]
- Chelton, D.B.; deSzoeke, R.A.; Schlax, M.G.; Naggar, K.E.; Siwertz, N. Geographical Variability of the First Baroclinic Rossby Radius of Deformation. J. Phys. Oceanogr. 1998, 28, 433–460. [Google Scholar] [CrossRef]
- Boyer, T.P.; Garcia, H.E.; Locarnini, R.A.; Zweng, M.M.; Mishonov, A.V.; Reagan, J.R.; Weathers, K.A.; Baranova, O.K.; Seidov, D.; Smolyar, I.V. World Ocean Atlas 2018; Technical Report; NOAA National Centers for Environmental Information: Silver Spring, MD, USA, 2018. [Google Scholar]
- Intergovernmental Oceanographic Commission; Scientific Committee on Oceanic Research; International Association for the Physical Sciences of the Oceans. The International Thermodynamic Equation of Seawater—2010: Calculation and Use of Thermodynamic Properties; Intergovernmental Oceanographic Commission, Manuals and Guides No. 56; UNESCO: Paris, France, 2010. [Google Scholar]









| SST Image Date | |||||||||
|---|---|---|---|---|---|---|---|---|---|
| [h] | [h] | [km] | [cm/s] | [deg] | [cm/s] | ||||
| 2013-11-29 12:49 | −23.9 | −2.7 | 70 | 0.70 | 0.81 | 0.99 | 31 | 8.9 | (7, −1) |
| 0.94 | 0.97 | 0.99 | 9 | 8.5 | |||||
| 2016-09-04 02:52 | 5.1 | 23.6 | 70 | 0.99 | 0.82 | 0.97 | 10 | 16.5 | (17, 3) |
| 2013-05-06 01:49 | 9.1 | 23.8 | 70 | 0.58 | 0.83 | 0.77 | 17 | 17.4 | (−10, −3) |
| 0.66 | 0.88 | 0.85 | 16 | 15 | (−3, 0) |
Publisher’s Note: MDPI stays neutral with regard to jurisdictional claims in published maps and institutional affiliations. |
© 2021 by the authors. Licensee MDPI, Basel, Switzerland. This article is an open access article distributed under the terms and conditions of the Creative Commons Attribution (CC BY) license (https://creativecommons.org/licenses/by/4.0/).
Share and Cite
Isern-Fontanet, J.; García-Ladona, E.; González-Haro, C.; Turiel, A.; Rosell-Fieschi, M.; Company, J.B.; Padial, A. High-Resolution Ocean Currents from Sea Surface Temperature Observations: The Catalan Sea (Western Mediterranean). Remote Sens. 2021, 13, 3635. https://doi.org/10.3390/rs13183635
Isern-Fontanet J, García-Ladona E, González-Haro C, Turiel A, Rosell-Fieschi M, Company JB, Padial A. High-Resolution Ocean Currents from Sea Surface Temperature Observations: The Catalan Sea (Western Mediterranean). Remote Sensing. 2021; 13(18):3635. https://doi.org/10.3390/rs13183635
Chicago/Turabian StyleIsern-Fontanet, Jordi, Emilio García-Ladona, Cristina González-Haro, Antonio Turiel, Miquel Rosell-Fieschi, Joan B. Company, and Antonio Padial. 2021. "High-Resolution Ocean Currents from Sea Surface Temperature Observations: The Catalan Sea (Western Mediterranean)" Remote Sensing 13, no. 18: 3635. https://doi.org/10.3390/rs13183635
APA StyleIsern-Fontanet, J., García-Ladona, E., González-Haro, C., Turiel, A., Rosell-Fieschi, M., Company, J. B., & Padial, A. (2021). High-Resolution Ocean Currents from Sea Surface Temperature Observations: The Catalan Sea (Western Mediterranean). Remote Sensing, 13(18), 3635. https://doi.org/10.3390/rs13183635

