Regarding Some Pitfalls in Urban Heat Island Studies Using Remote Sensing Technology
Abstract
:1. Introduction
2. Physical Background
- Q*: net radiation;
- KW↓: solar irradiance (diffuse and direct during daytime only);
- KW↑: reflectance of solar radiations due to albedo (during daytime only);
- LW↓: atmospheric counter-radiation (mainly due to air temperature, water vapor and carbon dioxide (CO2));
- LW↑: longwave terrestrial emission due to surface/brightness temperature according to the law of Stefan–Boltzmann.
- : net radiation;
- : sensible heat flux (air temperature);
- : latent heat flux (evapotranspiration, condensation);
- : storage heat flux (soil/storage temperature);
- : anthropogenic heat flux (heat release from traffic, air conditioning, industry).
3. The Importance of Net Radiation
- Increase solar incoming irradiance;
- Reduce the latent heat flux and re-invest more energy into the sensible heat flux.
- During the daytime (10–18 o’clock), between 40 and 60 percent of net radiation goes into storage heat flux, which is high compared to rural sites, which use ±10% of net radiation. In urban areas, storage heat flux into urban fabrics, asphalt, concrete, etc., is 4–5 times higher [25]. Urban net radiation values in Figure 2 (city center of Basel around 550 Wm−2) show storage heat flux gains between 200 and 350 Wm−2 during the satellite overpass, which have also been validated by measurements during BUBBLE [24]. This happens during the daytime when most LST satellite data are taken, and it can be considered akin to loading the “urban storage-heat-flux-battery” during the daytime; this energy is then re-invested at night to keep urban air temperatures on a high level and manifest a nocturnal urban heat island.
- On the other hand, if 40–60 % of the diurnal net radiation is stored in urban fabrics, this energy is not available for instantaneous turbulent heat fluxes (sensible and/or latent heat flux) to increase air temperature during the day. Given this, the available energy for turbulent fluxes is limited by two aspects (a—low net radiation; b—high storage heat flux), and it becomes clear that a high LST does not automatically translate to high air temperatures. During the day, and in most satellite data, urban areas have a surface urban heat island (SUHI) and no urban heat island (UHI). If surface temperatures are extreme, as they are in desert cities, even an urban cooling island can develop at these warm spots [26].Under these considerations, LST is probably related more to high storage heat fluxes rather than enhanced air temperatures.
- An important point to consider is that, at night, the QG/Q*-ratio can reach values greater than 1.0 (>100 %), which means that the nocturnal storage heat flux QG does not only completely compensate for the negative net radiation at night; rather, it also helps to maintain a sensible heat flux—even at night— which is directed upwards towards the urban atmosphere by up to 20 %, which is equivalent to 10–20 Wm−2 [25].
4. The Anthropogenic Heat Flux and Street Canon Radiation Trap
- At street level, there are additional sources of energy available, mainly the anthropogenic heat flux from street traffic (exhaust pipes, engine cooling), but also air conditioning and heating. This anthropogenic heat flux can be quite relevant and can reach several 100 Wm−2 in dense urban areas [20,27].
- Radiation trapping is another important reason to keep radiative energy within a street canyon. Since surrounding walls are much warmer than the sky above, a street canyon atmosphere gains additional longwave radiation from these walls.
- At roof level, only atmospheric counter-radiation exists as a longwave input from a rather cool atmospheric volume ranging over the year at around 340 ± 60 Wm−2 and corresponding to an atmospheric volumetric brightness temperature of ≈288 K (≈5 °C). Therefore, warmer house walls increase the longwave radiative input for street level atmosphere. However, normally, urban streets are much narrower than a thermal IR satellite pixel, so the source area of the remotely sensed surface temperature is not the street level but instead the roof level [28]. In dense city centers, the percentage of roof area in a TIR-satellite pixel can easily reach 50–70% or even more.
- At first glance, it seems to be a paradox that, at roof level, we find the highest surface temperatures but lower air temperatures during the day; however, the physics of radiation and heat fluxes is clear. In Figure 5, it is clear how high surface temperatures correspond with areas with a small sky-view factor (the proportion of visible sky above a pixel) and a high percentage of roof surfaces.
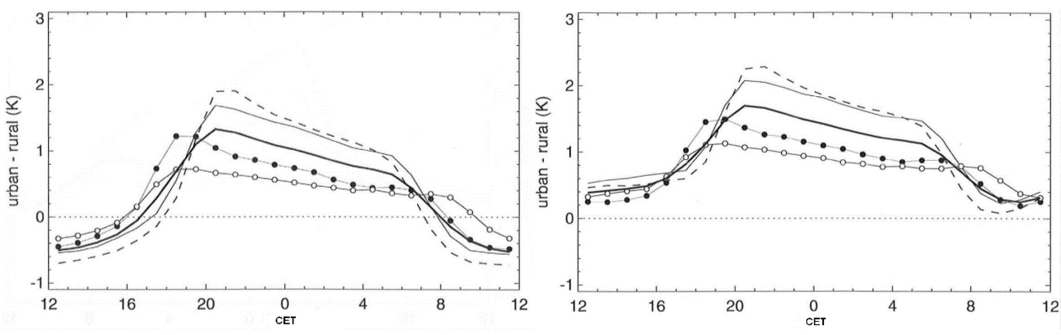
- Figure 4 also demonstrates that the diurnal UHI in Basel at street canyon level with a high traffic load during all seasons is +0.2–+0.5 K, which is shallow; in this case, the level should not be overinterpreted as HEAT island.
5. Nocturnal LST and Net Radiation
- The nighttime radiation budget is reduced to longwave fluxes only, as solar radiation, such as shortwave irradiance and shortwave reflection, does not exist.
- Atmospheric longwave counter-radiation mostly has no spatial variations during fair weather situations, except when altitudinal effects come into play. Therefore, a constant value from a nearby urban climate station can be applied to all pixels.
- During the night, net radiation values should be negative because terrestrial emissions are higher than atmospheric counter-radiation. It can take values between −10 and −150 Wm−2, which then implicitly means that, at pixels with negative net radiation, the surface is warm (high emission), and heat fluxes must provide the system with more energy to compensate for negative Q*.
- Longwave terrestrial emission mirrors net radiation in terms of high emission versus negative net radiation.
6. Conclusions
Funding
Conflicts of Interest
References
- Howard, L. The Climate of London; Harvey and Darton: London, UK, 1833; Volumes 1–3. [Google Scholar]
- Arnfield, A.J. Two decades of urban climate research: A review of turbulence, exchanges of energy and water, and the urban heat island. Int. J. Clim. 2003, 23, 1–26. [Google Scholar] [CrossRef]
- Oke, T.; Mills, G.; Christen, A.; Voogt, J. Urban Climates; Cambridge University Press: Cambridge, UK, 2017. [Google Scholar] [CrossRef] [Green Version]
- Schmidt, W. Die Verteilung der Minimumtemperaturen in der Frostnacht des 12. Mai 1927 im Gemeindegebiet von Wien. Fortschritte Landwirtsch. 1927, 21, 1–11. [Google Scholar]
- Peppler, A. Die Temperaturverhältnisse von Karlsruhe an heissen Sommertagen. Dtsch. Meteorol. Jahrb. Baden 1929, 61, 59–60. [Google Scholar]
- Krishna, R.P. Remote sensing of urban “heat islands” from an environmental satellite. Bull. Am. Meteorol. Soc. 1972, 53, 647–648. [Google Scholar]
- Price, J.C. Assessment of the urban heat island effect through the use of satellite data. Mon. Weather Rev. 1979, 107, 1554–1557. [Google Scholar] [CrossRef] [Green Version]
- Gossmann, H. The influence of geography on local environment as inferred from night thermal infrared imagery. Remote Sens. Rev. 1986, 1, 249–275. [Google Scholar] [CrossRef]
- Parlow, E. Thermal infrared satellite images and their application in regional planning (presented with a map of surface temperatures of NE-Zealand/Denmark). Geogr. Ann. Ser. A Phys. Geogr. 1985, 67, 285. [Google Scholar] [CrossRef]
- Roth, M.; Oke, T.R.; Emery, W. Satellite-derived urban heat islands from three coastal cities and the utilization of such data in urban climatology. Int. J. Remote Sens. 1989, 10, 1699–1720. [Google Scholar] [CrossRef]
- Gallo, K.P.; McNab, A.L.; Karl, T.R.; Brown, J.F.; Hood, J.J.; Tarpley, J.D. The use of NOAA AVHRR data for assessment of the urban heat island effect. J. Appl. Meteorol. Climatol. 1993, 32, 899–908. [Google Scholar] [CrossRef] [Green Version]
- Caselles, V.; García, M.J.L.; Meliá, J.; Cueva, A.J.P. Analysis of the heat-island effect of the city of Valencia, Spain, through air temperature transects and NOAA satellite data. Theor. Appl. Clim. 1991, 43, 195–203. [Google Scholar] [CrossRef]
- Streutker, D. Satellite-measured growth of the urban heat island of Houston, Texas. Remote Sens. Environ. 2003, 85, 282–289. [Google Scholar] [CrossRef]
- Wicki, A.; Parlow, E. Multiple regression analysis for unmixing of surface temperature data in an urban environment. Remote Sens. 2017, 9, 684. [Google Scholar] [CrossRef] [Green Version]
- Voogt, J.; Oke, T. Thermal remote sensing of urban climates. Remote Sens. Environ. 2003, 86, 370–384. [Google Scholar] [CrossRef]
- Rasul, A.; Balzter, H.; Smith, C.; Remedios, J.; Adamu, B.; Sobrino, J.A.; Srivanit, M.; Weng, Q. A Review on Remote Sensing of Urban Heat and Cool Islands. Land 2017, 6, 38. [Google Scholar] [CrossRef] [Green Version]
- Stewart, I.D.; Oke, T.R. Local climate zones for urban temperature studies. Bull. Am. Meteorol. Soc. 2012, 93, 1879–1900. [Google Scholar] [CrossRef]
- Parlow, E. Urban climate. In Urban Ecology; Niemelä, J., Breuste, J.H., Guntenspergen, G., McIntyre, N.E., Elmqvist, T., James, P., Eds.; Oxford University Press: Oxford, UK, 2011; pp. 31–44. [Google Scholar] [CrossRef]
- Feigenwinter, C.; Parlow, E.; Vogt, R.; Schmutz, M.; Lindberg, F.; Grimmond, S.; Crawford, B.; Marconcini, M.; Chrysoulakis, N.; Mitraka, Z.; et al. Spatial distribution of sensible and latent heat flux in the city of Basel (Switzerland). IEEE J. Sel. Top. Appl. Earth Obs. Remote Sens. 2018, 11, 2717–2723. [Google Scholar] [CrossRef] [Green Version]
- Chrysoulakis, N.; Grimmond, S.; Feigenwinter, C.; Lindberg, F.; Gastellu-Etchegorry, J.P.; Marconcini, M.; Mitraka, Z.; Stagakis, S.; Crawford, B.; Olofson, F.; et al. Urban energy exchanges monitoring from space. Sci. Rep. 2018, 8, 1–8. [Google Scholar] [CrossRef] [PubMed] [Green Version]
- Rotach, M.W.; Vogt, R.; Bernhofer, C.; Batchvarova, E.; Christen, A.; Clappier, A.; Feddersen, B.; Gryning, S.-E.; Martucci, G.; Mayer, H.; et al. BUBBLE—An urban boundary layer meteorology project. Theor. Appl. Climatol. 2005, 81, 231–261. [Google Scholar] [CrossRef] [Green Version]
- Parlow, E. Correction of terrain-controlled illumination effects in satellite data. In Progress in Environmental Remote Sensing Research and Applications, Proceedings of the 15th EARSeL Symposium, Basel, Switzerland, 4–6 September 1995; Balkema Publishers: Rotterdam, The Netherlands, 1996; pp. 139–145. [Google Scholar]
- Parlow, E. The urban heat budget derived from satellite data. Geogr. Helv. 2003, 58, 99–111. [Google Scholar] [CrossRef] [Green Version]
- Rigo, G.; Parlow, E. Modelling the ground heat flux of an urban area using remote sensing data. Theor. Appl. Clim. 2007, 90, 185–199. [Google Scholar] [CrossRef]
- Christen, A.; Vogt, R. Energy and radiation balance of a central European city. Int. J. Clim. 2004, 24, 1395–1421. [Google Scholar] [CrossRef]
- Frey, C.M.; Rigo, G.; Parlow, E. Urban radiation balance of two coastal cities in a hot and dry environment. Int. J. Remote Sens. 2007, 28, 2695–2712. [Google Scholar] [CrossRef]
- Iamarino, M.; Beevers, S.; Grimmond, C.S.B. High-resolution (space, time) anthropogenic heat emissions: London 1970–2025. Int. J. Climatol. 2012, 32, 1754–1767. [Google Scholar] [CrossRef] [Green Version]
- Parlow, E.; Vogt, R.; Feigenwinter, C. The urban heat island of Basel—Seen from different perspectives. Die Erde–J. Geogr. Soc. Berl. 2014, 145, 96–110. [Google Scholar] [CrossRef]
- Vogt, R.; Parlow, E. Die städtische Wärmeinsel von Basel-tages- und jahreszeitliche Charakterisierung. Reg. Basil. 2011, 52, 7–15. [Google Scholar]
- Spirig, R.; Feigenwinter, C.; Kalberer, M.; Parlow, E.; Vogt, R. Dolueg: A measurement network’s face. Bull. Am. Meteorol. Soc. 2021, 102, 629–631. [Google Scholar] [CrossRef]







Publisher’s Note: MDPI stays neutral with regard to jurisdictional claims in published maps and institutional affiliations. |
© 2021 by the author. Licensee MDPI, Basel, Switzerland. This article is an open access article distributed under the terms and conditions of the Creative Commons Attribution (CC BY) license (https://creativecommons.org/licenses/by/4.0/).
Share and Cite
Parlow, E. Regarding Some Pitfalls in Urban Heat Island Studies Using Remote Sensing Technology. Remote Sens. 2021, 13, 3598. https://doi.org/10.3390/rs13183598
Parlow E. Regarding Some Pitfalls in Urban Heat Island Studies Using Remote Sensing Technology. Remote Sensing. 2021; 13(18):3598. https://doi.org/10.3390/rs13183598
Chicago/Turabian StyleParlow, Eberhard. 2021. "Regarding Some Pitfalls in Urban Heat Island Studies Using Remote Sensing Technology" Remote Sensing 13, no. 18: 3598. https://doi.org/10.3390/rs13183598
APA StyleParlow, E. (2021). Regarding Some Pitfalls in Urban Heat Island Studies Using Remote Sensing Technology. Remote Sensing, 13(18), 3598. https://doi.org/10.3390/rs13183598
