A Comparison of Multi-Temporal RGB and Multispectral UAS Imagery for Tree Species Classification in Heterogeneous New Hampshire Forests
Abstract
:1. Introduction
2. Materials and Methods
2.1. Study Area Description
2.2. UAS Data Collection
2.3. Imagery Pre-Processing and Orthomosaic Generation
2.4. Reference Data Collection
2.5. Tree Species Classification
2.6. Accuracy Assessment
2.7. Feature Importance
2.8. Statistical Comparisons
3. Results
3.1. Within-Sensor General Classification Results
3.2. Mono- Versus Multi-Temporal Classification
3.3. Per-Species Classification Result
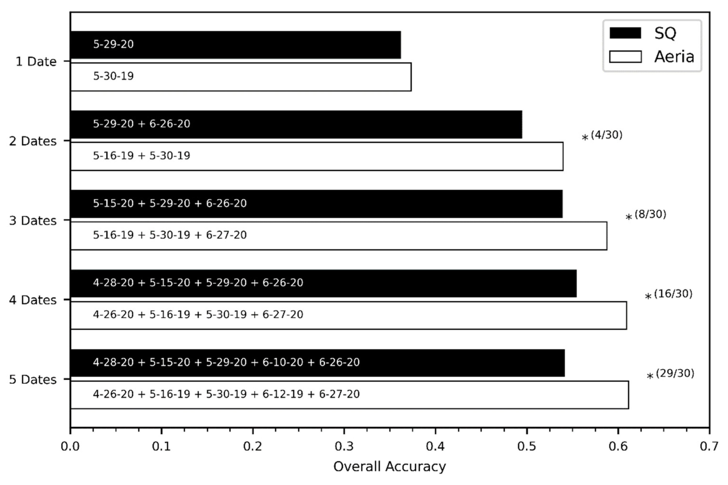
3.4. Between-Sensor Classification Results
3.5. Feature Importance
4. Discussion
4.1. Tree Species Classification Accuracy
4.2. Mono- versus Multi-Temporal Classification
4.3. Timing of Aerial Collection
4.4. RGB versus Multispectral Sensors for Tree Species Classification
5. Conclusions
Author Contributions
Funding
Data Availability Statement
Acknowledgments
Conflicts of Interest
Appendix A
| Index | Date Combination | Average OA | STD | |
|---|---|---|---|---|
| One Date | 1 | 4-26-20 | 0.248 | 0.004 |
| 5 | 6-27-20 | 0.313 | 0.005 | |
| 4 | 6-12-19 | 0.332 | 0.005 | |
| 2 | 5-16-19 | 0.346 | 0.004 | |
| 3 | 5-30-19 | 0.373 | 0.005 | |
| Two Dates | 8 | 4-26-20 + 6-12-19 | 0.370 | 0.005 |
| 15 | 6-12-19 + 6-27-20 | 0.391 | 0.006 | |
| 9 | 4-26-20 + 6-27-20 | 0.404 | 0.006 | |
| 7 | 4-26-20 + 5-30-19 | 0.429 | 0.005 | |
| 6 | 4-26-20 + 5-16-19 | 0.437 | 0.004 | |
| 13 | 5-30-19 + 6-12-19 | 0.440 | 0.006 | |
| 14 | 5-30-19 + 6-27-20 | 0.466 | 0.005 | |
| 11 | 5-16-19 + 6-12-19 | 0.479 | 0.006 | |
| 12 | 5-16-19 + 6-27-20 | 0.511 | 0.005 | |
| 10 | 5-16-19 + 5-30-19 | 0.540 | 0.005 | |
| Three Dates | 21 | 4-26-20 + 6-12-19 + 6-27-20 | 0.430 | 0.005 |
| 19 | 4-26-20 + 5-30-19 + 6-12-19 | 0.479 | 0.006 | |
| 25 | 5-30-19 + 6-12-19 + 6-27-20 | 0.501 | 0.006 | |
| 20 | 4-26-20 + 5-30-19 + 6-27-20 | 0.507 | 0.006 | |
| 17 | 4-26-20 + 5-16-19 + 6-12-19 | 0.524 | 0.005 | |
| 18 | 4-26-20 + 5-16-19 + 6-27-20 | 0.534 | 0.005 | |
| 24 | 5-16-19 + 6-12-19 + 6-27-20 | 0.550 | 0.004 | |
| 16 | 4-26-20 + 5-16-19 + 5-30-19 | 0.555 | 0.006 | |
| 22 | 5-16-19 + 5-30-19 + 6-12-19 | 0.567 | 0.005 | |
| 23 | 5-16-19 + 5-30-19 + 6-27-20 | 0.588 | 0.005 | |
| Four Dates | 29 | 4-26-20 + 5-30-19 + 6-12-19 + 6-27-20 | 0.513 | 0.005 |
| 28 | 4-26-20 + 5-16-19 + 6-12-19 + 6-27-20 | 0.554 | 0.004 | |
| 26 | 4-26-20 + 5-16-19 + 5-30-19 + 6-12-19 | 0.598 | 0.006 | |
| 30 | 5-16-19 + 5-30-19 + 6-12-19 + 6-27-20 | 0.604 | 0.006 | |
| 27 | 4-26-20 + 5-16-19 + 5-30-19 + 6-27-20 | 0.609 | 0.006 | |
| All | 31 | 4-26-20 + 5-16-19 + 5-30-19 + 6-12-19 + 6-27-20 | 0.611 | 0.005 |
| Index | Date Combination | Average OA | STD | |
|---|---|---|---|---|
| One Date | 2 | 5-15-20 | 0.270 | 0.005 |
| 1 | 4-28-20 | 0.272 | 0.005 | |
| 4 | 6-10-20 | 0.315 | 0.006 | |
| 5 | 6-26-20 | 0.333 | 0.006 | |
| 3 | 5-29-20 | 0.362 | 0.006 | |
| Two Dates | 6 | 4-28-20 + 5-15-20 | 0.362 | 0.004 |
| 8 | 4-28-20 + 6-10-20 | 0.375 | 0.004 | |
| 9 | 4-28-20 + 6-26-20 | 0.393 | 0.005 | |
| 15 | 6-10-20 + 6-26-20 | 0.405 | 0.005 | |
| 11 | 5-15-20 + 6-10-20 | 0.431 | 0.006 | |
| 7 | 4-28-20 + 5-29-20 | 0.450 | 0.005 | |
| 13 | 5-29-20 + 6-10-20 | 0.455 | 0.004 | |
| 12 | 5-15-20 + 6-26-20 | 0.457 | 0.006 | |
| 10 | 5-15-20 + 5-29-20 | 0.489 | 0.005 | |
| 14 | 5-29-20 + 6-26-20 | 0.495 | 0.007 | |
| Three Dates | 21 | 4-28-20 + 6-10-20 + 6-26-20 | 0.437 | 0.005 |
| 17 | 4-28-20 + 5-15-20 + 6-10-20 | 0.452 | 0.007 | |
| 18 | 4-28-20 + 5-15-20 + 6-26-20 | 0.462 | 0.006 | |
| 19 | 4-28-20 + 5-29-20 + 6-10-20 | 0.470 | 0.007 | |
| 24 | 5-15-20 + 6-10-20 + 6-26-20 | 0.479 | 0.005 | |
| 25 | 5-29-20 + 6-10-20 + 6-26-20 | 0.494 | 0.006 | |
| 22 | 5-15-20 + 5-29-20 + 6-10-20 | 0.502 | 0.005 | |
| 20 | 4-28-20 + 5-29-20 + 6-26-20 | 0.513 | 0.006 | |
| 16 | 4-28-20 + 5-15-20 + 5-29-20 | 0.515 | 0.006 | |
| 23 | 5-15-20 + 5-29-20 + 6-26-20 | 0.539 | 0.005 | |
| Four Dates | 28 | 4-28-20 + 5-15-20 + 6-10-20 + 6-26-20 | 0.478 | 0.005 |
| 29 | 4-28-20 + 5-29-20 + 6-10-20 + 6-26-20 | 0.523 | 0.008 | |
| 30 | 5-15-20 + 5-29-20 + 6-10-20 + 6-26-20 | 0.528 | 0.005 | |
| 26 | 4-28-20 + 5-15-20 + 5-29-20 + 6-10-20 | 0.528 | 0.006 | |
| 27 | 4-28-20 + 5-15-20 + 5-29-20 + 6-26-20 | 0.555 | 0.006 | |
| All | 31 | 4-28-20 + 5-15-20 + 5-29-20 + 6-10-20 + 6-26-20 | 0.542 | 0.007 |
References
- Brosofske, K.D.; Froese, R.E.; Falkowski, M.J.; Banskota, A. A Review of Methods for Mapping and Prediction of Inventory Attributes for Operational Forest Management. For. Sci. 2014, 60, 733–756. [Google Scholar] [CrossRef]
- Fassnacht, F.; Latifi, H.; Stereńczak, K.; Modzelewska, A.; Lefsky, M.; Waser, L.; Straub, C.; Ghosh, A. Review of studies on tree species classification from remotely sensed data. Remote Sens. Environ. 2016, 186, 64–87. [Google Scholar] [CrossRef]
- Turner, W.; Spector, S.; Gardiner, N.; Fladeland, M.; Sterling, E.; Steininger, M. Remote sensing for biodiversity science and conservation. Trends Ecol. Evol. 2003, 18, 306–314. [Google Scholar] [CrossRef]
- Saarinen, N.; Vastaranta, M.; Näsi, R.; Rosnell, T.; Hakala, T.; Honkavaara, E.; Wulder, M.A.; Luoma, V.; Tommaselli, A.M.G.; Imai, N.N.; et al. Assessing Biodiversity in Boreal Forests with UAV-Based Photogrammetric Point Clouds and Hyperspectral Imaging. Remote Sens. 2018, 10, 338. [Google Scholar] [CrossRef] [Green Version]
- Klouček, T.; Komárek, J.; Surový, P.; Hrach, K.; Janata, P.; Vašíček, B. The Use of UAV Mounted Sensors for Precise Detection of Bark Beetle Infestation. Remote Sens. 2019, 11, 1561. [Google Scholar] [CrossRef] [Green Version]
- Michez, A.; Piégay, H.; Lisein, J.; Claessens, H.; Lejeune, P. Classification of riparian forest species and health condition using multi-temporal and hyperspatial imagery from unmanned aerial system. Environ. Monit. Assess. 2016, 188, 1–19. [Google Scholar] [CrossRef] [PubMed] [Green Version]
- Goodbody, T.R.; Coops, N.C.; Marshall, P.L.; Tompalski, P.; Crawford, P. Unmanned aerial systems for precision forest inventory purposes: A review and case study. For. Chron. 2017, 93, 71–81. [Google Scholar] [CrossRef] [Green Version]
- Gülci, S. The determination of some stand parameters using SfM-based spatial 3D point cloud in forestry studies: An analysis of data production in pure coniferous young forest stands. Environ. Monit. Assess. 2019, 191, 495. [Google Scholar] [CrossRef]
- Alonzo, M.; Andersen, H.-E.; Morton, D.C.; Cook, B.D. Quantifying Boreal Forest Structure and Composition Using UAV Structure from Motion. Forests 2018, 9, 119. [Google Scholar] [CrossRef] [Green Version]
- Franklin, S.E.; Wulder, M.A. Remote sensing methods in medium spatial resolution satellite data land cover classification of large areas. Prog. Phys. Geogr. Earth Environ. 2002, 26, 173–205. [Google Scholar] [CrossRef]
- Wulder, M.A.; Hall, R.J.; Coops, N.; Franklin, S. High Spatial Resolution Remotely Sensed Data for Ecosystem Characterization. BioScience 2004, 54, 511–521. [Google Scholar] [CrossRef] [Green Version]
- Anderson, K.; Gaston, K.J. Lightweight unmanned aerial vehicles will revolutionize spatial ecology. Front. Ecol. Environ. 2013, 11, 138–146. [Google Scholar] [CrossRef] [Green Version]
- Cruzan, M.B.; Weinstein, B.G.; Grasty, M.R.; Kohrn, B.F.; Hendrickson, E.C.; Arredondo, T.M.; Thompson, P.G. Small Unmanned Aerial Vehicles (Micro-Uavs, Drones) in Plant Ecology. Appl. Plant Sci. 2016, 4, 1–11. [Google Scholar] [CrossRef]
- Whitehead, K.; Hugenholtz, C.H. Remote sensing of the environment with small unmanned aircraft systems (UASs), part 1: A review of progress and challenges. J. Unmanned Veh. Syst. 2014, 2, 69–85. [Google Scholar] [CrossRef]
- Getzin, S.; Wiegand, K.; Schöning, I. Assessing biodiversity in forests using very high-resolution images and unmanned aerial vehicles. Methods Ecol. Evol. 2012, 3, 397–404. [Google Scholar] [CrossRef]
- Baena, S.; Moat, J.; Whaley, O.; Boyd, D. Identifying species from the air: UAVs and the very high resolution challenge for plant conservation. PLoS ONE 2017, 12, e0188714. [Google Scholar] [CrossRef] [PubMed] [Green Version]
- Dvořák, P.; Müllerová, J.; Bartaloš, T.; Brůna, J. Unmanned Aerial Vehicles for Alien Plant Species Detection and Monitoring. ISPRS Int. Arch. Photogramm. Remote Sens. Spat. Inf. Sci. 2015, XL-1/W4, 83–90. [Google Scholar] [CrossRef] [Green Version]
- Müllerová, J.; Brůna, J.; Bartaloš, T.; Dvořák, P.; Vitkova, M.; Pyšek, P. Timing Is Important: Unmanned Aircraft vs. Satellite Imagery in Plant Invasion Monitoring. Front. Plant Sci. 2017, 8, 887. [Google Scholar] [CrossRef] [PubMed] [Green Version]
- Wijesingha, J.; Astor, T.; Schulze-Brüninghoff, D.; Wachendorf, M. Mapping Invasive Lupinus polyphyllus Lindl. in Semi-natural Grasslands Using Object-Based Image Analysis of UAV-borne Images. PFG J. Photogramm. Remote Sens. Geoinf. Sci. 2020, 88, 391–406. [Google Scholar] [CrossRef]
- Brooks, C.; Weinstein, C.; Poley, A.; Grimm, A.; Marion, N.; Bourgeau-Chavez, L.; Hansen, D.; Kowalski, K. Using Uncrewed Aerial Vehicles for Identifying the Extent of Invasive Phragmites australis in Treatment Areas Enrolled in an Adaptive Management Program. Remote Sens. 2021, 13, 1895. [Google Scholar] [CrossRef]
- Laliberte, A.S.; Herrick, J.E.; Rango, A.; Winters, C. Acquisition, Orthorectification, and Object-based Classification of Unmanned Aerial Vehicle (UAV) Imagery for Rangeland Monitoring. Photogramm. Eng. Remote Sens. 2010, 76, 661–672. [Google Scholar] [CrossRef]
- Lu, B.; He, Y. Species classification using Unmanned Aerial Vehicle (UAV)-acquired high spatial resolution imagery in a heterogeneous grassland. ISPRS J. Photogramm. Remote Sens. 2017, 128, 73–85. [Google Scholar] [CrossRef]
- Weil, G.; Lensky, I.M.; Resheff, Y.S.; Levin, N. Optimizing the Timing of Unmanned Aerial Vehicle Image Acquisition for Applied Mapping of Woody Vegetation Species Using Feature Selection. Remote Sens. 2017, 9, 1130. [Google Scholar] [CrossRef] [Green Version]
- Komárek, J.; Klouček, T.; Prošek, J. The potential of Unmanned Aerial Systems: A tool towards precision classification of hard-to-distinguish vegetation types? Int. J. Appl. Earth Obs. Geoinf. 2018, 71, 9–19. [Google Scholar] [CrossRef]
- Leduc, M.-B.; Knudby, A.J. Mapping Wild Leek through the Forest Canopy Using a UAV. Remote Sens. 2018, 10, 70. [Google Scholar] [CrossRef] [Green Version]
- Knoth, C.; Klein, B.; Prinz, T.; Kleinebecker, T. Unmanned aerial vehicles as innovative remote sensing platforms for high-resolution infrared imagery to support restoration monitoring in cut-over bogs. Appl. Veg. Sci. 2013, 16, 509–517. [Google Scholar] [CrossRef]
- Durgan, S.D.; Zhang, C.; Duecaster, A.; Fourney, F.; Su, H. Unmanned Aircraft System Photogrammetry for Mapping Diverse Vegetation Species in a Heterogeneous Coastal Wetland. Wetland 2020, 40, 2621–2633. [Google Scholar] [CrossRef]
- Lisein, J.; Michez, A.; Claessens, H.; Lejeune, P. Discrimination of Deciduous Tree Species from Time Series of Unmanned Aerial System Imagery. PLoS ONE 2015, 10, e0141006. [Google Scholar] [CrossRef]
- Nevalainen, O.; Honkavaara, E.; Tuominen, S.; Viljanen, N.; Hakala, T.; Yu, X.; Hyyppä, J.; Saari, H.; Pölönen, I.; Imai, N.N.; et al. Individual Tree Detection and Classification with UAV-Based Photogrammetric Point Clouds and Hyperspectral Imaging. Remote Sens. 2017, 9, 185. [Google Scholar] [CrossRef] [Green Version]
- Franklin, S.E.; Ahmed, O.S. Deciduous tree species classification using object-based analysis and machine learning with unmanned aerial vehicle multispectral data. Int. J. Remote Sens. 2018, 39, 5236–5245. [Google Scholar] [CrossRef]
- Miyoshi, G.T.; Imai, N.N.; Tommaselli, A.M.G.; De Moraes, M.V.A.; Honkavaara, E. Evaluation of Hyperspectral Multitemporal Information to Improve Tree Species Identification in the Highly Diverse Atlantic Forest. Remote Sens. 2020, 12, 244. [Google Scholar] [CrossRef] [Green Version]
- Colomina, I.; Molina, P. Unmanned aerial systems for photogrammetry and remote sensing: A review. ISPRS J. Photogramm. Remote Sens. 2014, 92, 79–97. [Google Scholar] [CrossRef] [Green Version]
- Manfreda, S.; McCabe, M.F.; Miller, P.E.; Lucas, R.; Pajuelo Madrigal, V.; Mallinis, G.; Ben-Dor, E.; Helman, D.; Estes, L.; Ciraolo, G.; et al. On the Use of Unmanned Aerial Systems for Environmental Monitoring. Remote Sens. 2018, 10, 641. [Google Scholar] [CrossRef] [Green Version]
- Niethammer, U.; James, M.; Rothmund, S.; Travelletti, J.; Joswig, M. UAV-based remote sensing of the Super-Sauze landslide: Evaluation and results. Eng. Geol. 2012, 128, 2–11. [Google Scholar] [CrossRef]
- Hugenholtz, C.H.; Whitehead, K.; Brown, O.W.; Barchyn, T.E.; Moorman, B.; LeClair, A.; Riddell, K.; Hamilton, T. Geomorphological mapping with a small unmanned aircraft system (sUAS): Feature detection and accuracy assessment of a photogrammetrically-derived digital terrain model. Geomorphology 2013, 194, 16–24. [Google Scholar] [CrossRef] [Green Version]
- Mafanya, M.; Tsele, P.; Botai, J.; Manyama, P.; Swart, B.; Monate, T. Evaluating pixel and object based image classification techniques for mapping plant invasions from UAV derived aerial imagery: Harrisia pomanensis as a case study. ISPRS J. Photogramm. Remote Sens. 2017, 129, 1–11. [Google Scholar] [CrossRef] [Green Version]
- Pádua, L.; Hruška, J.; Bessa, J.; Adão, T.; Martins, L.M.; Gonçalves, J.A.; Peres, E.; Sousa, A.M.R.; Castro, J.P.; Sousa, J.J. Multi-Temporal Analysis of Forestry and Coastal Environments Using UASs. Remote Sens. 2017, 10, 24. [Google Scholar] [CrossRef] [Green Version]
- Jensen, J.R. Introductory Digital Image Processing: A Remote Sensing Perspective, 4th ed.; Prentice-Hall Inc.: Upper Saddle River, NJ, USA, 2015; ISBN 0132058405. [Google Scholar]
- Hernandez-Santin, L.; Rudge, M.L.; Bartolo, R.E.; Erskine, P.D. Identifying Species and Monitoring Understorey from UAS-Derived Data: A Literature Review and Future Directions. Drones 2019, 3, 9. [Google Scholar] [CrossRef] [Green Version]
- Hunt, J.E.R.; Hively, W.D.; Fujikawa, S.J.; Linden, D.S.; Daughtry, C.S.T.; McCarty, G.W. Acquisition of NIR-Green-Blue Digital Photographs from Unmanned Aircraft for Crop Monitoring. Remote Sens. 2010, 2, 290–305. [Google Scholar] [CrossRef] [Green Version]
- Müllerová, J.; Brůna, J.; Dvořák, P.; Bartaloš, T.; Vítková, M. Does the Data Resolution/Origin Matter? Satellite, Airborne and Uav Imagery to Tackle Plant Invasions. ISPRS Int. Arch. Photogramm. Remote Sens. Spat. Inf. Sci. 2016, XLI-B7, 903–908. [Google Scholar] [CrossRef] [Green Version]
- Nijland, W.; De Jong, R.; De Jong, S.; Wulder, M.A.; Bater, C.W.; Coops, N. Monitoring plant condition and phenology using infrared sensitive consumer grade digital cameras. Agric. For. Meteorol. 2014, 184, 98–106. [Google Scholar] [CrossRef] [Green Version]
- MacLean, M.G.; Congalton, R.G. Applicability of Multi-date Land Cover Mapping using Landsat-5 TM Imagery in the Northeastern US. Photogramm. Eng. Remote Sens. 2013, 79, 359–368. [Google Scholar] [CrossRef]
- Mickelson, J.G.; Civco, D.L.; Silander, J. A Delineating Forest Canopy Species in the Northeastern United States Using Multi-Temporal TM Imagery. Photogramm. Eng. Remote Sens. 1998, 64, 891–904. [Google Scholar]
- Justice, D.; Deely, A.K.; Rubin, F. New Hampshire Land Cover Assessment: Final Report; NH GRANIT: Durham, NH, USA, 2002; Available online: https://granit.unh.edu/data/search?dset=nhlc01/nh (accessed on 2 July 2021).
- Hill, R.A.; Wilson, A.; George, M.; Hinsley, S. Mapping tree species in temperate deciduous woodland using time-series multi-spectral data. Appl. Veg. Sci. 2010, 13, 86–99. [Google Scholar] [CrossRef]
- Immitzer, M.; Atzberger, C.; Koukal, T. Tree Species Classification with Random Forest Using Very High Spatial Resolution 8-Band WorldView-2 Satellite Data. Remote Sens. 2012, 4, 2661–2693. [Google Scholar] [CrossRef] [Green Version]
- Li, D.; Ke, Y.; Gong, H.; Li, X. Object-Based Urban Tree Species Classification Using Bi-Temporal WorldView-2 and WorldView-3 Images. Remote Sens. 2015, 7, 16917–16937. [Google Scholar] [CrossRef] [Green Version]
- Lucieer, A.; De Jong, S.M.; Turner, D. Mapping landslide displacements using Structure from Motion (SfM) and image correlation of multi-temporal UAV photography. Prog. Phys. Geogr. Earth Environ. 2014, 38, 97–116. [Google Scholar] [CrossRef]
- Du, M.; Noguchi, N. Monitoring of Wheat Growth Status and Mapping of Wheat Yield’s within-Field Spatial Variations Using Color Images Acquired from UAV-camera System. Remote Sens. 2017, 9, 289. [Google Scholar] [CrossRef] [Green Version]
- Kohv, M.; Sepp, E.; Vammus, L. Assessing multitemporal water-level changes with uav-based photogrammetry. Photogramm. Rec. 2017, 32, 424–442. [Google Scholar] [CrossRef] [Green Version]
- Blaschke, T. Object based image analysis for remote sensing. ISPRS J. Photogramm. Remote Sens. 2010, 65, 2–16. [Google Scholar] [CrossRef] [Green Version]
- Blaschke, T.; Hay, G.J.; Kelly, M.; Lang, S.; Hofmann, P.; Addink, E.; Feitosa, R.Q.; van der Meer, F.; van der Werff, H.; van Coillie, F.; et al. Geographic Object-Based Image Analysis—Towards a new paradigm. ISPRS J. Photogramm. Remote Sens. 2014, 87, 180–191. [Google Scholar] [CrossRef] [PubMed] [Green Version]
- Hay, G.J.; Castilla, G. Geographic object-based image analysis (GEOBIA): A new name for a new discipline. In Object-Based Image Analysis. Lecture Notes in Geoinformation and Cartography; Blaschke, T., Lang, S., Hay, G., Eds.; Springer: Berlin, Germany, 2008; pp. 75–89. [Google Scholar]
- Lang, S.; Baraldi, A.; Tiede, D.; Hay, G.; Blaschke, T. Towards a (GE)OBIA 2.0 Manifesto—Achievements and Open Challenges in Information & Knowledge Extraction from Big EARTH Data. In Proceedings of the GEOBIA 2018—From pixels to ecosystems and global sustainability, Montpellier, France, 18–22 June 2018; pp. 18–22. [Google Scholar]
- Bhuiyan, A.E.; Witharana, C.; Liljedahl, A.K.; Jones, B.M.; Daanen, R.; Epstein, H.E.; Kent, K.; Griffin, C.G.; Agnew, A. Understanding the Effects of Optimal Combination of Spectral Bands on Deep Learning Model Predictions: A Case Study Based on Permafrost Tundra Landform Mapping Using High Resolution Multispectral Satellite Imagery. J. Imaging 2020, 6, 97. [Google Scholar] [CrossRef]
- Bhuiyan, A.E.; Witharana, C.; Liljedahl, A.K. Use of Very High Spatial Resolution Commercial Satellite Imagery and Deep Learning to Automatically Map Ice-Wedge Polygons across Tundra Vegetation Types. J. Imaging 2020, 6, 137. [Google Scholar] [CrossRef]
- Cai, Y.; Huang, H.; Wang, K.; Zhang, C.; Fan, L.; Guo, F. Selecting Optimal Combination of Data Channels for Semantic Segmentation in City Information Modelling (CIM). Remote Sens. 2021, 13, 1367. [Google Scholar] [CrossRef]
- Kattenborn, T.; Eichel, J.; Wiser, S.; Burrows, L.; Fassnacht, F.E.; Schmidtlein, S. Convolutional Neural Networks accurately predict cover fractions of plant species and communities in Unmanned Aerial Vehicle imagery. Remote Sens. Ecol. Conserv. 2020, 6, 472–486. [Google Scholar] [CrossRef] [Green Version]
- Breiman, L. Random Forests. Mach. Learn. 2001, 45, 5–32. [Google Scholar] [CrossRef] [Green Version]
- Belgiu, M.; Drăguţ, L. Random forest in remote sensing: A review of applications and future directions. ISPRS J. Photogramm. Remote Sens. 2016, 114, 24–31. [Google Scholar] [CrossRef]
- Westveld, M. Natural forest vegetation zones of New England. J. For. 1956, 54, 332–338. [Google Scholar]
- Klosterman, S.; Richardson, A.D. Observing Spring and Fall Phenology in a Deciduous Forest with Aerial Drone Imagery. Sensors 2017, 17, 2852. [Google Scholar] [CrossRef] [Green Version]
- SenseFly. eMotion User Manual Revision 3.1; SensFly SA: Cheseaux-sur-Lausanne, Switzerland, 2020. [Google Scholar]
- Fraser, B.T.; Congalton, R.G. Issues in Unmanned Aerial Systems (UAS) Data Collection of Complex Forest Environments. Remote Sens. 2018, 10, 908. [Google Scholar] [CrossRef] [Green Version]
- Agisoft. Agisoft Metashape User Manual Professional Edition, Verision 1.6; Agisoft LLC: St. Petersburg, Russia, 2020. [Google Scholar]
- Dandois, J.P.; Ellis, E.C. High spatial resolution three-dimensional mapping of vegetation spectral dynamics using computer vision. Remote Sens. Environ. 2013, 136, 259–276. [Google Scholar] [CrossRef] [Green Version]
- Lisein, J.; Pierrot-Deseilligny, M.; Bonnet, S.; Lejeune, P. A Photogrammetric Workflow for the Creation of a Forest Canopy Height Model from Small Unmanned Aerial System Imagery. Forests 2013, 4, 922–944. [Google Scholar] [CrossRef] [Green Version]
- Dandois, J.P.; Olano, M.; Ellis, E.C. Optimal Altitude, Overlap, and Weather Conditions for Computer Vision UAV Estimates of Forest Structure. Remote Sens. 2015, 7, 13895–13920. [Google Scholar] [CrossRef] [Green Version]
- Khosravipour, A.; Skidmore, A.; Isenburg, M.; Wang, T.; Hussin, Y.A. Generating Pit-free Canopy Height Models from Airborne Lidar. Photogramm. Eng. Remote Sens. 2014, 80, 863–872. [Google Scholar] [CrossRef]
- Hyyppä, J.; Yu, X.; Hyyppä, H.; Vastaranta, M.; Holopainen, M.; Kukko, A.; Kaartinen, H.; Jaakkola, A.; Vaaja, M.; Koskinen, J.; et al. Advances in Forest Inventory Using Airborne Laser Scanning. Remote Sens. 2012, 4, 1190–1207. [Google Scholar] [CrossRef] [Green Version]
- Ke, Y.; Quackenbush, L.J. A review of methods for automatic individual tree-crown detection and delineation from passive remote sensing. Int. J. Remote Sens. 2011, 32, 4725–4747. [Google Scholar] [CrossRef]
- Gao, Y.; Mas, J.F.; Kerle, N.; Pacheco, J.A.N. Optimal region growing segmentation and its effect on classification accuracy. Int. J. Remote Sens. 2011, 32, 3747–3763. [Google Scholar] [CrossRef]
- Belgiu, M.; Drǎguţ, L. Comparing supervised and unsupervised multiresolution segmentation approaches for extracting buildings from very high resolution imagery. ISPRS J. Photogramm. Remote Sens. 2014, 96, 67–75. [Google Scholar] [CrossRef] [Green Version]
- Congalton, R.G.; Green, K. Assessing the Accuracy of Remotely Sensed Data: Principles and Practices, 3rd ed.; CRC Press: Boca Raton, FL, USA, 2019. [Google Scholar]
- Conchedda, G.; Durieux, L.; Mayaux, P. An object-based method for mapping and change analysis in mangrove ecosystems. ISPRS J. Photogramm. Remote Sens. 2008, 63, 578–589. [Google Scholar] [CrossRef]
- Johansen, K.; Phinn, S.; Witte, C. Mapping of riparian zone attributes using discrete return LiDAR, QuickBird and SPOT-5 imagery: Assessing accuracy and costs. Remote Sens. Environ. 2010, 114, 2679–2691. [Google Scholar] [CrossRef]
- Rodriguez-Galiano, V.F.; Olmo, M.C.; Abarca-Hernandez, F.; Atkinson, P.; Jeganathan, C. Random Forest classification of Mediterranean land cover using multi-seasonal imagery and multi-seasonal texture. Remote Sens. Environ. 2012, 121, 93–107. [Google Scholar] [CrossRef]
- Goodbody, T.R.; Coops, N.C.; Hermosilla, T.; Tompalski, P.; Crawford, P. Assessing the status of forest regeneration using digital aerial photogrammetry and unmanned aerial systems. Int. J. Remote Sens. 2017, 39, 5246–5264. [Google Scholar] [CrossRef]
- Congalton, R.G.; Oderwald, R.G.; Mead, R.A. Assessing Landsat classification accuracy using discrete multivariate analysis statistical techniques. Photogramm. Eng. Remote Sens. 1983, 49, 1671–1678. [Google Scholar]
- Story, M.; Congalton, R.G. Accuracy Assessment: A User ’ s Perspective. Photogramm. Eng. Remote Sens. 1986, 52, 397–399. [Google Scholar]
- Gini, R.; Sona, G.; Ronchetti, G.; Passoni, D.; Pinto, L. Improving Tree Species Classification Using UAS Multispectral Images and Texture Measures. ISPRS Int. J. Geoinf. 2018, 7, 315. [Google Scholar] [CrossRef] [Green Version]
- Ferreira, M.P.; Wagner, F.H.; Aragão, L.E.; Shimabukuro, Y.E.; Filho, C.R.D.S. Tree species classification in tropical forests using visible to shortwave infrared WorldView-3 images and texture analysis. ISPRS J. Photogramm. Remote Sens. 2019, 149, 119–131. [Google Scholar] [CrossRef]
- Laliberte, A.S.; Rango, A. Image Processing and Classification Procedures for Analysis of Sub-decimeter Imagery Acquired with an Unmanned Aircraft over Arid Rangelands. GISci. Remote Sens. 2011, 48, 4–23. [Google Scholar] [CrossRef] [Green Version]
- Feng, Q.; Liu, J.; Gong, J. UAV Remote Sensing for Urban Vegetation Mapping Using Random Forest and Texture Analysis. Remote Sens. 2015, 7, 1074–1094. [Google Scholar] [CrossRef] [Green Version]
- Key, T. A Comparison of Multispectral and Multitemporal Information in High Spatial Resolution Imagery for Classification of Individual Tree Species in a Temperate Hardwood Forest. Remote Sens. Environ. 2001, 75, 100–112. [Google Scholar] [CrossRef]
- Zhu, X.; Liu, D. Accurate mapping of forest types using dense seasonal Landsat time-series. ISPRS J. Photogramm. Remote Sens. 2014, 96, 1–11. [Google Scholar] [CrossRef]
- Crimmins, M.A.; Crimmins, T.M. Monitoring Plant Phenology Using Digital Repeat Photography. Environ. Manag. 2008, 41, 949–958. [Google Scholar] [CrossRef] [PubMed]
- Cole, E.F.; Sheldon, B.C. The shifting phenological landscape: Within- and between-species variation in leaf emergence in a mixed-deciduous woodland. Ecol. Evol. 2017, 7, 1135–1147. [Google Scholar] [CrossRef] [Green Version]
- Klosterman, S.; Melaas, E.; Wang, J.; Martinez, A.; Frederick, S.; O’Keefe, J.; Orwig, D.A.; Wang, Z.; Sun, Q.; Schaaf, C.; et al. Fine-scale perspectives on landscape phenology from unmanned aerial vehicle (UAV) photography. Agric. For. Meteorol. 2018, 248, 397–407. [Google Scholar] [CrossRef]
- Qiu, S.; He, B.; Yin, C.; Liao, Z. Assessments of sentinel-2 vegetation red-edge spectral bands for improving land cover classification. ISPRS Int. Arch. Photogramm. Remote Sens. Spat. Inf. Sci. 2017, XLII-2/W7, 871–874. [Google Scholar] [CrossRef] [Green Version]
- Macintyre, P.; van Niekerk, A.; Mucina, L. Efficacy of multi-season Sentinel-2 imagery for compositional vegetation classification. Int. J. Appl. Earth Obs. Geoinformation 2020, 85, 101980. [Google Scholar] [CrossRef]
- Ottosen, T.-B.; Petch, G.; Hanson, M.; Skjøth, C.A. Tree cover mapping based on Sentinel-2 images demonstrate high thematic accuracy in Europe. Int. J. Appl. Earth Obs. Geoinf. 2020, 84, 101947. [Google Scholar] [CrossRef]
- Milas, A.S.; Arend, K.; Mayer, C.; Simonson, M.A.; Mackey, S. Different colours of shadows: Classification of UAV images. Int. J. Remote Sens. 2017, 38, 3084–3100. [Google Scholar] [CrossRef]
- Maschler, J.; Atzberger, C.; Immitzer, M. Individual Tree Crown Segmentation and Classification of 13 Tree Species Using Airborne Hyperspectral Data. Remote Sens. 2018, 10, 1218. [Google Scholar] [CrossRef] [Green Version]






| Aeria X | Parrot Sequoia MSS | |
|---|---|---|
| Shutter | Global | Global |
| Sensor | APS-C | Multispectral sensor |
| Resolution | 24 MP | 1.2 MP |
| Focal length | 18.5 mm | 3.98 mm |
| Spectral bands with ranges | Blue Green Red | Green (510 nm–590 nm) Red (620 nm–700 nm) Red edge (725 nm–745 nm) Near infrared (750 nm–830 nm) |
| Season | Aeria X (RGB) | Parrot Sequoia (MSS) |
|---|---|---|
| Early spring | 26 April 2020 | 28 April 2020 |
| Mid-spring | 16 May 2019 | 15 May 2020 |
| Late spring | 30 May 2019 | 29 May 2020 |
| Early summer | 12 June 2019 | 10 June 2020 |
| Mid-summer | 27 June 2020 | 26 June 2020 |
| Scientific Name | Common Name | Abbreviation |
|---|---|---|
| Fagus grandifolia | American beech | ab |
| Betula lenta | Black birch | bb |
| Quercus velutina | Black oak | bo |
| Tsuga canadensis | Eastern hemlock | eh |
| Betula papyrifera | Paper birch | pb |
| Populus grandidentata | Bigtooth aspen | pg |
| Populus tremuloides | Quaking aspen | qa |
| Acer rubrum | Red maple | rm |
| Quercus rubra | Red oak | ro |
| Carya ovata | Shagbark hickory | sh |
| Acer saccharum | Sugar maple | sm |
| Fraxinus americana | White ash | wa |
| Pinus strobus | White pine | wp |
| Index | Aeria | Sequoia | |
|---|---|---|---|
| One Date | 1 | 4-26-20 | 4-28-20 |
| 2 | 5-16-19 | 5-15-20 | |
| 3 | 5-30-19 | 5-29-20 | |
| 4 | 6-12-19 | 6-10-20 | |
| 5 | 6-27-20 | 6-26-20 | |
| Two Dates | 6 | 4-26-20 + 5-16-19 | 4-28-20 + 5-15-20 |
| 7 | 4-26-20 + 5-30-19 | 4-28-20 + 5-29-20 | |
| 8 | 4-26-20 + 6-12-19 | 4-28-20 + 6-10-20 | |
| 9 | 4-26-20 + 6-27-20 | 4-28-20 + 6-26-20 | |
| 10 | 5-16-19 + 5-30-19 | 5-15-20 + 5-29-20 | |
| 11 | 5-16-19 + 6-12-19 | 5-15-20 + 6-10-20 | |
| 12 | 5-16-19 + 6-27-20 | 5-15-20 + 6-26-20 | |
| 13 | 5-30-19 + 6-12-19 | 5-29-20 + 6-10-20 | |
| 14 | 5-30-19 + 6-27-20 | 5-29-20 + 6-26-20 | |
| 15 | 6-12-19 + 6-27-20 | 6-10-20 + 6-26-20 | |
| Three Dates | 16 | 4-26-20 + 5-16-19 + 5-30-19 | 4-28-20 + 5-15-20 + 5-29-20 |
| 17 | 4-26-20 + 5-16-19 + 6-12-19 | 4-28-20 + 5-15-20 + 6-10-20 | |
| 18 | 4-26-20 + 5-16-19 + 6-27-20 | 4-28-20 + 5-15-20 + 6-26-20 | |
| 19 | 4-26-20 + 5-30-19 + 6-12-19 | 4-28-20 + 5-29-20 + 6-10-20 | |
| 20 | 4-26-20 + 5-30-19 + 6-27-20 | 4-28-20 + 5-29-20 + 6-26-20 | |
| 21 | 4-26-20 + 6-12-19 + 6-27-20 | 4-28-20 + 6-10-20 + 6-26-20 | |
| 22 | 5-16-19 + 5-30-19 + 6-12-19 | 5-15-20 + 5-29-20 + 6-10-20 | |
| 23 | 5-16-19 + 5-30-19 + 6-27-20 | 5-15-20 + 5-29-20 + 6-26-20 | |
| 24 | 5-16-19 + 6-12-19 + 6-27-20 | 5-15-20 + 6-10-20 + 6-26-20 | |
| 25 | 5-30-19 + 6-12-19 + 6-27-20 | 5-29-20 + 6-10-20 + 6-26-20 | |
| Four Dates | 26 | 4-26-20 + 5-16-19 + 5-30-19 + 6-12-19 | 4-28-20 + 5-15-20 + 5-29-20 + 6-10-20 |
| 27 | 4-26-20 + 5-16-19 + 5-30-19 + 6-27-20 | 4-28-20 + 5-15-20 + 5-29-20 + 6-26-20 | |
| 28 | 4-26-20 + 5-16-19 + 6-12-19 + 6-27-20 | 4-28-20 + 5-15-20 + 6-10-20 + 6-26-20 | |
| 29 | 4-26-20 + 5-30-19 + 6-12-19 + 6-27-20 | 4-28-20 + 5-29-20 + 6-10-20 + 6-26-20 | |
| 30 | 5-16-19 + 5-30-19 + 6-12-19 + 6-27-20 | 5-15-20 + 5-29-20 + 6-10-20 + 6-26-20 | |
| All | 31 | 4-26-20 + 5-16-19 + 5-30-19 + 6-12-19 + 6-27-20 | 4-28-20 + 5-15-20 + 5-29-20 + 6-10-20 + 6-26-20 |
| Number Significant | ||
|---|---|---|
| Comparison | Aeria | Sequoia |
| One date vs. two dates | 30 | 30 |
| Two dates vs. three dates | 5 | 3 |
| Three dates vs. four dates | 0 | 0 |
| Four dates vs. five dates | 0 | 0 |
Publisher’s Note: MDPI stays neutral with regard to jurisdictional claims in published maps and institutional affiliations. |
© 2021 by the authors. Licensee MDPI, Basel, Switzerland. This article is an open access article distributed under the terms and conditions of the Creative Commons Attribution (CC BY) license (https://creativecommons.org/licenses/by/4.0/).
Share and Cite
Grybas, H.; Congalton, R.G. A Comparison of Multi-Temporal RGB and Multispectral UAS Imagery for Tree Species Classification in Heterogeneous New Hampshire Forests. Remote Sens. 2021, 13, 2631. https://doi.org/10.3390/rs13132631
Grybas H, Congalton RG. A Comparison of Multi-Temporal RGB and Multispectral UAS Imagery for Tree Species Classification in Heterogeneous New Hampshire Forests. Remote Sensing. 2021; 13(13):2631. https://doi.org/10.3390/rs13132631
Chicago/Turabian StyleGrybas, Heather, and Russell G. Congalton. 2021. "A Comparison of Multi-Temporal RGB and Multispectral UAS Imagery for Tree Species Classification in Heterogeneous New Hampshire Forests" Remote Sensing 13, no. 13: 2631. https://doi.org/10.3390/rs13132631

