Global Glacial Isostatic Adjustment Constrained by GPS Measurements: Spherical Harmonic Analyses of Uplifts and Geopotential Variations
Abstract
1. Introduction
2. Materials and Methods
2.1. Data and Models
2.1.1. GIA Models
2.1.2. GPS Data and 2D Fitting
2.1.3. Weighting the GIA Models
2.2. Spherical Harmonic Analyses
2.2.1. Spherical Harmonic Expansion of the Crustal Uplift Rates
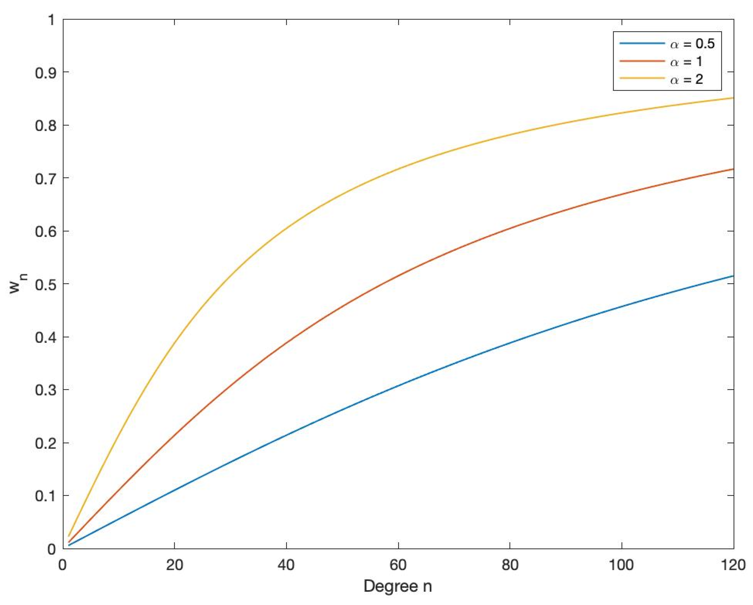
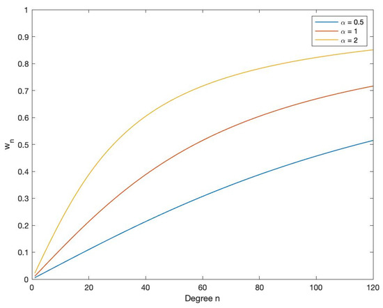
2.2.2. Degree-Dependent Weighting
2.3. Geopotential Variations Due to GIA
3. Results
3.1. Improved GIA Model ICE6Gavg (GPS) for Uplift Rates by Assimilating GPS Data
3.2. Improved GIA-Induced Geopotential Variations
4. Discussion
5. Conclusions
Supplementary Materials
Author Contributions
Funding
Acknowledgments
Conflicts of Interest
References
- Spada, G.; Sabadini, R.; Yuen, D.A.; Ricard, Y. Effects on postglacial rebound from the hard rheology in the transition zone. Geophys. J. Int. 1992, 109, 683–700. [Google Scholar] [CrossRef]
- Anderson, J.B.; Shipp, S.S.; Lowe, A.L.; Smith Wellner, J.; Mosola, A.B. The Antarctic ice sheet during the last glacial maximum and its subsequent retreat history: A review. Quat. Sci. Rev. 2002, 21, 49–70. [Google Scholar] [CrossRef]
- Peltier, W.R. Global glacial isostasy and the surface of the ice-age Earth: The ICE-5G (VM2) model and GRACE. Ann. Rev. Earth Planet. Sci. 2004, 32, 111–149. [Google Scholar] [CrossRef]
- Kendall, R.A.; Mitrovica, J.X.; Milne, G.A. On post-glacial sea level—II. Numerical formulation and comparative results on spherically symmetric models. Geophys. J. Int. 2005, 161, 679–706. [Google Scholar] [CrossRef]
- Klemann, V.; Martinec, Z. Contribution of glacial-isostatic adjustment to the geocenter motion. Tectonophysics 2011, 511, 99–108. [Google Scholar] [CrossRef]
- Peltier, W.R. The history of Earth’s rotation: Impacts of deep Earth physics and surface climate variability. In Treatise on Geophysics, 2nd ed.; Schubert, G., Ed.; Elsevier: Oxford, UK, 2015; Volume 9, pp. 221–279. [Google Scholar]
- Stuhne, G.R.; Peltier, W.R. Reconciling the ICE-6G_C reconstruction of glacial chronology with ice sheet dynamics: The cases of Greenland and Antarctica. J. Geophys. Res. Earth Surf. 2015, 120, 1841–1865. [Google Scholar] [CrossRef]
- Caron, L.; Ivins, E.R.; Larour, E.; Adhikari, S.; Nilsson, J.; Blewitt, G. GIA model statis tics for GRACE hydrology, cryosphere, and ocean science. Geophys. Res. Lett. 2018, 45, 2203–2212. [Google Scholar] [CrossRef]
- Watkins, M.M.; Wiese, D.N.; Yuan, D.N.; Boening, C.; Landerer, F.W. Improved methods for observing Earth’s time variable mass distribution with GRACE using spherical cap mascons. J. Geophys. Res. Solid Earth 2015, 120, 2648–2671. [Google Scholar] [CrossRef]
- Wiese, D.N.; Landerer, F.W.; Watkins, M.M. Quantifying and reducing leakage errors in the JPL RL05M GRACE mascon solution. Water Resour. Res. 2016, 52, 7490–7502. [Google Scholar] [CrossRef]
- Save, H.; Bettadpur, S.; Tapley, B.D. High resolution CSR GRACE RL05 mascons. J. Geophys. Res. Solid Earth 2016, 121, 7547–7569. [Google Scholar] [CrossRef]
- Chen, W.; Luo, J.; Ray, J.; Yu, N.; Li, J.C. Multiple-data-based monthly geopotential model set LDCmgm90. Sci. Data 2019, 6, 288. [Google Scholar] [CrossRef] [PubMed]
- Argus, D.F.; Peltier, W.R.; Drummond, R.; Moore, A.W. The Antarctica component of postglacial rebound model ICE-6G_C (VM5a) based upon GPS positioning, exposure age dating of ice thicknesses, and relative sea level histories. Geophys. J. Int. 2014, 198, 537–563. [Google Scholar] [CrossRef]
- Peltier, W.R.; Argus, D.F.; Drummond, R. Space geodesy constrains ice-age terminal deglaciation: The global ICE-6G_C (VM5a) model. J. Geophys. Res. Solid Earth 2015, 120, 450–487. [Google Scholar] [CrossRef]
- Peltier, W.R.; Argus, D.F.; Drummond, R. Comment on "An Assessment of the ICE-6G_C (VM5a) Glacial Isostatic Adjustment Model" by Purcell et al. J. Geophys. Res. Solid Earth 2018, 123, 2019–2028. [Google Scholar] [CrossRef]
- Schumacher, M.; King, M.A.; Rougier, J.; Sha, Z.; Khan, S.A.; Bamber, J.L. A new global GPS data set for testing and improving modelled GIA uplift rates. Geophys. J. Int. 2018, 214, 2164–2176. [Google Scholar] [CrossRef]
- Ray, J.; Griffiths, J.; Collilieux, X.; Rebischung, P. Subseasonal GPS positioning errors. Geophys. Res. Lett. 2013, 40, 5854–5860. [Google Scholar] [CrossRef]
- Ray, J.; Rebischung, P.; Schmid, R. Dependence of IGS products on the ITRF datum. In Reference Frames for Applications in Geosciences; Altamimi, Z., Collilieux, X., Eds.; Springer: Berlin, Germany, 2013; Volume 138, pp. 63–67. [Google Scholar]
- Wahr, J.; Wingham, D.; Bentley, C. A method of combining ICESat and GRACE satellite data to constrain Antarctic mass balance. J. Geophys. Res. 2000, 105, 16279–16294. [Google Scholar] [CrossRef]
- Wahr, J.; Han, D.Z.; Trupin, A. Predictions of vertical uplift caused by changing polar ice volumes on a viscoelastic earth. Geophys. Res. Lett. 1995, 22, 977–980. [Google Scholar] [CrossRef]
- Peltier, W.R. The LAGEOS constraint on deep mantle viscosity: Results from a new normal mode method for the inversion of viscoelastic relaxation spectra. J. Geophys. Res. 1985, 90, 9411–9421. [Google Scholar] [CrossRef]
- Purcell, A.; Dehecq, A.; Tregoning, P.; Lambeck, K.; Potter, E.-K.; McClusky, S. Relationship between glacial isostatic adjustment and gravity perturbations observed by GRACE. Geophys. Res. Lett. 2011, 38, L18305. [Google Scholar] [CrossRef]
- van der Wal, W.; Wu, P.; Sideris, M.G.; Shum, C.K. Use of GRACE determined secular gravity rates for glacial isostatic adjustment studies in North-America. J. Geodyn. 2008, 46, 144–154. [Google Scholar] [CrossRef]
- Tregoning, P.; Ramillien, G.; McQueen, H.; Zwartz, D. Glacial isostatic adjustment and nonstationary signals observed by GRACE. J. Geophys. Res. 2009, 114, B06406. [Google Scholar] [CrossRef]
- Wu, X.; Heflin, M.B.; Schotman, H.; Vermeersen, B.L.; Dong, D.; Gross, R.S.; Owen, S.E. Simultaneous estimation of global present-day water transport and glacial isostatic adjustment. Nat. Geosci. 2010, 3, 642–646. [Google Scholar] [CrossRef]
- Jia, L.L.; Wang, H.S.; Xiang, L.W. Uncertainty of approximate relationship between GIA induced viscous gravity and radial displacement. Earth Sci. J. China Univ. Geosci. 2014, 39, 905–914. [Google Scholar]
- Guo, J.Y.; Huang, Z.W.; Shum, C.K.; van der Wal, W. Comparisons among contemporary glacial isostatic adjustment models. J. Geodyn. 2012, 61, 129–137. [Google Scholar] [CrossRef]
- Purcell, A.; Tregoning, P.; Dehecq, A. An assessment of the ICE-6G_C (VM5a) glacial isostatic adjustment model. J. Geophys. Res. Solid Earth 2016, 121, 3939–3950. [Google Scholar] [CrossRef]
- Purcell, A.; Tregoning, P.; Dehecq, A. Reply to comment by W. R. Peltier, D.F. Argus, and R. Drummond on “An assessment of the ICE6G_C (VM5a) glacial isostatic adjustment model”. J. Geophys. Res. Solid Earth 2018, 123, 2029–2032. [Google Scholar] [CrossRef]
- Fretwell, P.; Pritchard, H.D.; Vaughan, D.G.; Bamber, J.L. Bedmap2: Improved ice bed, surface and thickness datasets for Antarctica. Cryosphere 2013, 7, 375–393. [Google Scholar] [CrossRef]
- Lidberg, M.; Johansson, J.M.; Scherneck, H.-G.; Davis, J.L. An improved and extended GPS-derived 3D velocity field of the glacial isostatic adjustment (GIA) in Fennoscandia. J. Geod. 2007, 81, 213–230. [Google Scholar] [CrossRef]
- Heiskanen, W.A.; Moritz, H. Physical Geodesy; W. H. Freeman and Company: San Francisco, CA, USA, 1967; pp. 22–32. [Google Scholar]
- Wahr, J.; Molenaar, M.; Bryan, F. Time variability of the Earth’s gravity field: Hydrological and oceanic effects and their possible detection using GRACE. J. Geophys. Res. 1998, 103, 30205–30229. [Google Scholar] [CrossRef]
- Han, S.C.; Shum, C.K.; Jekeli, C.; Kuo, C.Y.; Wilson, C.; Seo, K.W. Non-isotropic filtering of GRACE temporal gravity for geophysical signal enhancement. Geophys. J. Int. 2005, 163, 18–25. [Google Scholar] [CrossRef]
- Wouters, B.; Schrama, E.J.O. Improved accuracy of GRACE gravity solutions through empirical orthogonal function filtering of spherical harmonics. Geophys. Res. Lett. 2007, 34, L23711. [Google Scholar] [CrossRef]
- Klees, R.; Revtova, E.A.; Gunter, B.C.; Ditmar, P.; Oudman, E.; Winsemius, H.C.; Savenije, H.H.G. The design of an optimal filter for monthly GRACE gravity models. Geophys. J. Int. 2008, 175, 417–432. [Google Scholar] [CrossRef]
- Davis, J.L.; Tamisie, M.E.; Elósegui, P.; Mitrovica, J.X.; Hill, E.M. A statistical filtering approach for Gravity Recovery and Climate Experiment (GRACE) gravity data. J. Geophys. Res. 2008, 113, B04410. [Google Scholar] [CrossRef]
- Chen, W.; Li, J.C.; Ray, J.; Shen, W.; Huang, C. Consistent estimates of the dynamical figure parameters of the Earth. J. Geod. 2015, 89, 179–188. [Google Scholar] [CrossRef]












| n, m | ICE6G-C | ICE6G-D | PUR16 | PUR18 | GPSinterp | ICE6Gavg (GPS) |
|---|---|---|---|---|---|---|
| 0, 0 | −0.0000 | −0.0000 | 0.0000 | 0.0001 | 3.4973 | 0.0000 |
| 1, 0 | 0.9348 | 0.9700 | 1.3803 | 1.4527 | 2.3985 | 1.2694 |
| 1, 1 | 0.1554 | 0.1500 | 0.2337 | 0.2392 | 1.3595 | 0.2081 |
| 2, 0 | 4.0201 | 3.8636 | 3.7802 | 3.9165 | 6.7551 | 3.8517 |
| 2, 1 | −0.5934 | −0.6016 | −0.2137 | −0.2546 | −3.3227 | −0.3540 |
| 2, 2 | −0.8500 | −0.8470 | −0.8839 | −0.8875 | −0.5817 | −0.8730 |
| 3, 0 | 0.6715 | 0.8680 | 0.9535 | 1.0183 | 0.4444 | 0.9465 |
| 3, 1 | 0.3309 | 0.3130 | 0.3495 | 0.3135 | 3.0800 | 0.3259 |
| 3, 2 | −1.5963 | −1.5988 | −1.6791 | −1.7070 | −2.9660 | −1.6618 |
| 3, 3 | 0.0754 | 0.0756 | 0.0355 | 0.1017 | 2.2209 | 0.0700 |
| 4, 0 | 1.9807 | 1.7508 | 1.6660 | 1.7746 | 0.2638 | 1.7290 |
| 4, 1 | 0.3089 | 0.3510 | 0.3940 | 0.3507 | 5.1859 | 0.3659 |
| 4, 2 | −2.6493 | −2.6374 | −2.7762 | −2.9039 | −0.8364 | −2.7721 |
| 4, 3 | 0.1502 | 0.1423 | 0.1370 | 0.1643 | −0.6214 | 0.1475 |
| 4, 4 | 0.1325 | 0.1352 | 0.1415 | 0.1552 | 3.6533 | 0.1439 |
| 5, 0 | −2.5332 | −2.2571 | −2.2676 | −2.4280 | −4.6320 | −2.3161 |
| 5, 1 | 0.6841 | 0.6520 | 0.7159 | 0.6802 | 1.2718 | 0.6834 |
| 5, 2 | −3.1391 | −3.1644 | −3.3642 | −3.5365 | −2.5247 | −3.3546 |
| 5, 3 | −0.0278 | −0.0229 | −0.0560 | 0.0130 | −0.4209 | −0.0228 |
| 5, 4 | 0.9174 | 0.9055 | 0.9614 | 1.0851 | 0.8596 | 0.9832 |
| 5, 5 | 0.0034 | 0.0038 | 0.0082 | 0.0192 | −1.8049 | 0.0103 |
| 6, 0 | −0.2711 | −0.5588 | −0.7469 | −0.8136 | −1.0671 | −0.7069 |
| 6, 1 | 0.5268 | 0.5785 | 0.6146 | 0.6067 | 0.4287 | 0.6002 |
| 6, 2 | −3.8244 | −3.8045 | −3.9613 | −4.0711 | −3.3941 | −3.9455 |
| 6, 3 | −0.0672 | −0.0759 | −0.1010 | 0.0230 | −0.4247 | −0.0526 |
| 6, 4 | 1.2479 | 1.2476 | 1.3217 | 1.3811 | −2.4670 | 1.3167 |
| 6, 5 | 0.0121 | 0.0165 | 0.0209 | 0.0123 | 1.4768 | 0.0167 |
| 6, 6 | −0.0073 | −0.0090 | −0.0088 | 0.0025 | −1.4879 | −0.0052 |
| n, m | ICE6G-C | ICE6G-D | PUR16 | PUR18 | GPSinterp | ICE6Gavg (GPS) |
|---|---|---|---|---|---|---|
| 0, 0 | 0 | 0 | 0 | 0 | 0 | 0 |
| 1, 0 | 0 | 0 | 0 | 0 | 0 | 0 |
| 1, 1 | −0.3925 | −0.3936 | −0.5428 | −0.5814 | −0.2333 | −0.5064 |
| 2, 0 | 0 | 0 | 0 | 0 | 0 | 0 |
| 2, 1 | 2.4902 | 2.5227 | 3.4276 | 3.6953 | −2.0796 | 3.2179 |
| 2, 2 | 0.0732 | 0.0761 | 0.0752 | 0.0670 | −1.3995 | 0.0728 |
| 3, 0 | 0 | 0 | 0 | 0 | 0 | 0 |
| 3, 1 | −3.0718 | −3.0483 | −3.0044 | −3.2498 | −4.1242 | −3.0983 |
| 3, 2 | 0.4888 | 0.4740 | 0.4718 | 0.5351 | 2.7229 | 0.4930 |
| 3, 3 | 0.6772 | 0.6705 | 0.6628 | 0.7411 | −2.4413 | 0.6907 |
| 4, 0 | 0 | 0 | 0 | 0 | 0 | 0 |
| 4, 1 | −2.7379 | −2.8181 | −2.9112 | −3.1001 | −3.2907 | −2.9419 |
| 4, 2 | 0.3035 | 0.3135 | 0.3220 | 0.4008 | 0.0360 | 0.3447 |
| 4, 3 | 1.0494 | 1.0546 | 1.0758 | 1.1641 | 0.2258 | 1.0975 |
| 4, 4 | 0.3769 | 0.3635 | 0.4033 | 0.4435 | 3.4466 | 0.4033 |
| 5, 0 | 0 | 0 | 0 | 0 | 0 | 0 |
| 5, 1 | −3.1112 | −3.0053 | −3.0913 | −3.3399 | −4.6518 | −3.1437 |
| 5, 2 | 0.3057 | 0.2865 | 0.2900 | 0.4082 | −1.1122 | 0.3271 |
| 5, 3 | 2.0740 | 2.0754 | 2.1677 | 2.3645 | 0.5202 | 2.2012 |
| 5, 4 | 0.0711 | 0.0750 | 0.0996 | 0.0729 | 1.7572 | 0.0829 |
| 5, 5 | 0.0839 | 0.0767 | 0.1060 | 0.0745 | 0.2649 | 0.0862 |
| 6, 0 | 0 | 0 | 0 | 0 | 0 | 0 |
| 6, 1 | −0.5756 | −0.7401 | −0.8132 | −0.7757 | 1.7817 | −0.7771 |
| 6, 2 | 0.3991 | 0.4420 | 0.5284 | 0.6393 | −1.4918 | 0.5360 |
| 6, 3 | 3.1258 | 3.1416 | 3.3148 | 3.4857 | 3.1034 | 3.3134 |
| 6, 4 | 0.2512 | 0.2517 | 0.3185 | 0.2648 | −0.5003 | 0.2792 |
| 6, 5 | −0.3714 | −0.3669 | −0.3886 | −0.4056 | 0.5800 | −0.3870 |
| 6, 6 | 0.0443 | 0.0427 | 0.0265 | 0.0340 | −1.4207 | 0.0343 |
| n, m. | ICE6G-C | ICE6G-D | PUR16 | PUR18 | GPSinterp | ICE6Gavg (GPS) |
|---|---|---|---|---|---|---|
| 0, 0 | −0.0000 | −0.0000 | 0.0001 | 0.0001 | 6.6450 | 0.0001 |
| 1, 0 | 0.5920 | 0.6143 | 0.8742 | 0.9201 | 1.5191 | 0.8039 |
| 1, 1 | 0.0984 | 0.0950 | 0.1480 | 0.1515 | 0.8610 | 0.1318 |
| 2, 0 | 1.4870 | 1.4291 | 1.3983 | 1.4487 | 2.4987 | 1.4247 |
| 2, 1 | −0.2195 | −0.2225 | −0.0791 | −0.0942 | −1.2290 | −0.1309 |
| 2, 2 | −0.3144 | −0.3133 | −0.3270 | −0.3283 | −0.2152 | −0.3229 |
| 3, 0 | 0.1732 | 0.2238 | 0.2459 | 0.2626 | 0.1146 | 0.2441 |
| 3, 1 | 0.0853 | 0.0807 | 0.0901 | 0.0808 | 0.7942 | 0.0840 |
| 3, 2 | −0.4116 | −0.4123 | −0.4330 | −0.4402 | −0.7648 | −0.4285 |
| 3, 3 | 0.0194 | 0.0195 | 0.0091 | 0.0262 | 0.5727 | 0.0181 |
| 4, 0 | 0.3890 | 0.3439 | 0.3272 | 0.3485 | 0.0518 | 0.3396 |
| 4, 1 | 0.0607 | 0.0689 | 0.0774 | 0.0689 | 1.0185 | 0.0719 |
| 4, 2 | −0.5203 | −0.5180 | −0.5452 | −0.5703 | −0.1643 | −0.5444 |
| 4, 3 | 0.0295 | 0.0279 | 0.0269 | 0.0323 | −0.1220 | 0.0290 |
| 4, 4 | 0.0260 | 0.0266 | 0.0278 | 0.0305 | 0.7175 | 0.0283 |
| 5, 0 | −0.4003 | −0.3567 | −0.3584 | −0.3837 | −0.7320 | −0.3660 |
| 5, 1 | 0.1081 | 0.1030 | 0.1131 | 0.1075 | 0.2010 | 0.1080 |
| 5, 2 | −0.4961 | −0.5001 | −0.5316 | −0.5589 | −0.3990 | −0.5301 |
| 5, 3 | −0.0044 | −0.0036 | −0.0088 | 0.0021 | −0.0665 | −0.0036 |
| 5, 4 | 0.1450 | 0.1431 | 0.1519 | 0.1715 | 0.1358 | 0.1554 |
| 5, 5 | 0.0005 | 0.0006 | 0.0013 | 0.0030 | −0.2852 | 0.0016 |
| 6, 0 | −0.0358 | −0.0739 | −0.0987 | −0.1076 | −0.1411 | −0.0935 |
| 6, 1 | 0.0696 | 0.0765 | 0.0813 | 0.0802 | 0.0567 | 0.0794 |
| 6, 2 | −0.5056 | −0.5030 | −0.5237 | −0.5382 | −0.4487 | −0.5216 |
| 6, 3 | −0.0089 | −0.0100 | −0.0134 | 0.0030 | −0.0562 | −0.0070 |
| 6, 4 | 0.1650 | 0.1649 | 0.1747 | 0.1826 | −0.3262 | 0.1741 |
| 6, 5 | 0.0016 | 0.0022 | 0.0028 | 0.0016 | 0.1952 | 0.0022 |
| 6, 6 | −0.0010 | −0.0012 | −0.0012 | 0.0003 | −0.1967 | −0.0007 |
| n, m | ICE6G-C | ICE6G-D | PUR16 | PUR18 | GPSinterp | ICE6Gavg (GPS) |
|---|---|---|---|---|---|---|
| 0, 0 | 0 | 0 | 0 | 0 | 0 | 0 |
| 1, 0 | 0 | 0 | 0 | 0 | 0 | 0 |
| 1, 1 | −0.2486 | −0.2493 | −0.3438 | −0.3682 | −0.1477 | −0.3207 |
| 2, 0 | 0 | 0 | 0 | 0 | 0 | 0 |
| 2, 1 | 0.9211 | 0.9331 | 1.2679 | 1.3669 | −0.7692 | 1.1903 |
| 2, 2 | 0.0271 | 0.0282 | 0.0278 | 0.0248 | -0.5177 | 0.0269 |
| 3, 0 | 0 | 0 | 0 | 0 | 0 | 0 |
| 3, 1 | −0.7921 | −0.7861 | −0.7747 | −0.8380 | −1.0635 | −0.7990 |
| 3, 2 | 0.1261 | 0.1222 | 0.1217 | 0.1380 | 0.7022 | 0.1271 |
| 3, 3 | 0.1746 | 0.1729 | 0.1709 | 0.1911 | −0.6295 | 0.1781 |
| 4, 0 | 0 | 0 | 0 | 0 | 0 | 0 |
| 4, 1 | −0.5377 | −0.5535 | −0.5718 | −0.6089 | −0.6463 | −0.5778 |
| 4, 2 | 0.0596 | 0.0616 | 0.0632 | 0.0787 | 0.0071 | 0.0677 |
| 4, 3 | 0.2061 | 0.2071 | 0.2113 | 0.2286 | 0.0443 | 0.2155 |
| 4, 4 | 0.0740 | 0.0714 | 0.0792 | 0.0871 | 0.6769 | 0.0792 |
| 5, 0 | 0 | 0 | 0 | 0 | 0 | 0 |
| 5, 1 | −0.4917 | −0.4749 | −0.4885 | −0.5278 | −0.7351 | −0.4968 |
| 5, 2 | 0.0483 | 0.0453 | 0.0458 | 0.0645 | −0.1758 | 0.0517 |
| 5, 3 | 0.3278 | 0.3280 | 0.3426 | 0.3737 | 0.0822 | 0.3479 |
| 5, 4 | 0.0112 | 0.0119 | 0.0157 | 0.0115 | 0.2777 | 0.0131 |
| 5, 5 | 0.0133 | 0.0121 | 0.0168 | 0.0118 | 0.0419 | 0.0136 |
| 6, 0 | 0 | 0 | 0 | 0 | 0 | 0 |
| 6, 1 | −0.0761 | −0.0979 | −0.1075 | −0.1026 | 0.2356 | −0.1027 |
| 6, 2 | 0.0528 | 0.0584 | 0.0699 | 0.0845 | −0.1972 | 0.0709 |
| 6, 3 | 0.4133 | 0.4153 | 0.4382 | 0.4608 | 0.4103 | 0.4381 |
| 6, 4 | 0.0332 | 0.0333 | 0.0421 | 0.0350 | −0.0661 | 0.0369 |
| 6, 5 | −0.0491 | −0.0485 | −0.0514 | −0.0536 | 0.0767 | −0.0512 |
| 6, 6 | 0.0059 | 0.0056 | 0.0035 | 0.0045 | −0.1878 | 0.0045 |
© 2020 by the authors. Licensee MDPI, Basel, Switzerland. This article is an open access article distributed under the terms and conditions of the Creative Commons Attribution (CC BY) license (http://creativecommons.org/licenses/by/4.0/).
Share and Cite
Zhou, Y.; Yang, S.; Luo, J.; Ray, J.; Huang, Y.; Li, J. Global Glacial Isostatic Adjustment Constrained by GPS Measurements: Spherical Harmonic Analyses of Uplifts and Geopotential Variations. Remote Sens. 2020, 12, 1209. https://doi.org/10.3390/rs12071209
Zhou Y, Yang S, Luo J, Ray J, Huang Y, Li J. Global Glacial Isostatic Adjustment Constrained by GPS Measurements: Spherical Harmonic Analyses of Uplifts and Geopotential Variations. Remote Sensing. 2020; 12(7):1209. https://doi.org/10.3390/rs12071209
Chicago/Turabian StyleZhou, Yan, Shaomin Yang, Jiesi Luo, Jim Ray, Yong Huang, and Jiancheng Li. 2020. "Global Glacial Isostatic Adjustment Constrained by GPS Measurements: Spherical Harmonic Analyses of Uplifts and Geopotential Variations" Remote Sensing 12, no. 7: 1209. https://doi.org/10.3390/rs12071209
APA StyleZhou, Y., Yang, S., Luo, J., Ray, J., Huang, Y., & Li, J. (2020). Global Glacial Isostatic Adjustment Constrained by GPS Measurements: Spherical Harmonic Analyses of Uplifts and Geopotential Variations. Remote Sensing, 12(7), 1209. https://doi.org/10.3390/rs12071209
