Coast–Ship Bistatic HF Surface Wave Radar: Simulation Analysis and Experimental Verification
Abstract
1. Introduction
2. Spreading Mechanism of the First-Order Sea Clutter Spectrum and Moving Targets
3. Simulation Analysis of the First-Order Sea Clutter Spectrum for a Coast–Ship Bistatic HFSWR
3.1. Simulation 1: Simulated Space–Time Distribution for Different Headings of the Shipborne Platform
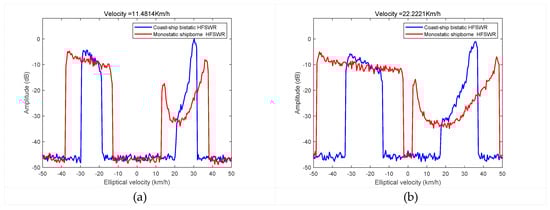
3.2. Simulation 2: Simulated Space–Time Distribution for Different Shipborne Platform Velocities
3.3. Simulation 3: Simulated Space–Time Distribution for Different Radar Frequencies
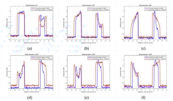
3.4. Simulation 4: Simulated Sea Clutter Spectrum for Different Wind Directions
3.5. Simulation 5: Simulated Space–Time Distribution for Different Elliptical Eccentricity
4. Vessel Target Monitoring Experiment with Coast–Ship Bistatic HFSWR
4.1. Introduction of the Coast–Ship Bistatic HFSWR
4.2. Interpretation of Experiment Results
5. Conclusions
Author Contributions
Funding
Acknowledgments
Conflicts of Interest
References
- Ponsford, A.M. Surveillance of the 200 Nautical Mile Exclusive Economic Zone (EEZ) Using High Frequency Surface Wave Radar (HFSWR). Can. J. Remote Sens. 2001, 27, 354–360. [Google Scholar] [CrossRef]
- Liu, Y.T.; Xu, R.Q.; Zhang, N. Progress in HFSWR research at Harbin Institute of Technology. In Proceedings of the International Conference on Radar, Adelaide, Australia, 3–5 September 2003; pp. 522–528. [Google Scholar]
- Nicholas, J. Bistatic Radar, 2nd ed.; SciTech Publishing Inc.: Troy, NY, USA, 2005; pp. 119–123. [Google Scholar]
- Yao, G.W.; Xie, J.H.; Huang, W.M. Ocean Surface Cross Section for Bistatic HF Radar Incorporating a Six DOF Oscillation Motion Model. Remote Sens. 2019, 11, 2738. [Google Scholar] [CrossRef]
- Huang, W.M.; Gill, E.; Wu, X.B.; Li, L. Measurement of Sea Surface Wind Direction Using Bistatic High-Frequency Radar. IEEE Trans. Geosci. Remote Sens. 2012, 50, 4117–4122. [Google Scholar] [CrossRef]
- Gill, E.W. The Scattering of High Frequency Electromagnetic Radiation from the Ocean Surface: An Analysis Based on a Bistatic Ground Wave Radar Configuration. Ph.D. Thesis, Memorial University of Newfoundland, St. John’s, NL, Canada, January 1999. [Google Scholar]
- Gill, E.W.; Walsh, J. High-frequency bistatic cross sections of the ocean surface. Radio Sci. 2001, 36, 1459–1475. [Google Scholar] [CrossRef]
- Barrick, D.E. First-order Theory and Analysis of MF/HF/VHF Scatter from the Sea. IEEE Trans. Antennas Propag. 1972, 20, 2–10. [Google Scholar] [CrossRef]
- Lipa, B.J.; Barrick, D.E. Extraction of sea state from HF radar sea echo: Mathematical theory and modeling. Radio Sci. 1986, 21, 81–100. [Google Scholar] [CrossRef]
- Xie, J.; Sun, M.; Ji, Z. Space-time Model of the First-Order Sea Clutter in Onshore Bistatic High Frequency Surface Wave Radar. IET Radar Sonar Navig. 2015, 9, 55–61. [Google Scholar] [CrossRef]
- Walsh, J.; Huang, W.; Gill, E.W. The First-Order High Frequency Radar Ocean Surface Cross Section for an Antenna on a Floating Platform. IEEE Trans. Antennas Propag. 2010, 58, 2994–3003. [Google Scholar] [CrossRef]
- Walsh, J.; Huang, W.; Gill, E.W. The second-order high frequency radar ocean surface cross section for an antenna on a floating platform. IEEE Trans. Antennas Propag. 2012, 60, 4804–4813. [Google Scholar] [CrossRef]
- Khoury, J.; Guinvarch, R.; Gillard, R. Sea-echo Doppler spectrum perturbation of the received signals from a floating high-frequency surface wave radar. IET Radar Sonar Navig. 2012, 6, 165–171. [Google Scholar] [CrossRef]
- Xie, J.; Yuan, Y.; Liu, Y.T. Experimental analysis of sea clutter in shipborne HFSWR. IEE Proc. Radar Sonar Navig. 2001, 148, 67–71. [Google Scholar] [CrossRef]
- Xie, J.; Sun, M.; Ji, Z. First-order ocean surface cross-section for shipborne HFSWR. Electron. Lett. 2013, 49, 1005–1026. [Google Scholar] [CrossRef]
- Li, F.L.; Chen, B.X.; Zhang, S.H. Design of Multi-carrier Digital Frequency Synthesizer for Coast-ship Multi-static GroundWave OTH Radar. In Proceedings of the 2006 CIE International Conference on Radar, Shanghai, China, 6–19 October 2006; pp. 1–5. [Google Scholar]
- Chen, B.X.; Chen, D.F.; Zhang, S.H. Experimental system and experimental results for coast-ship bi/multistatic ground-wave over-the-horizon radar. In Proceedings of the 2006 CIE International Conference on Radar, Shanghai, China, 6–19 October 2006; pp. 36–40. [Google Scholar]
- Chen, B.X.; Chen, D.F. Estimation of Gain and Phase Perturbations for Transmit Array Based on Parameter Transfer in Coast-Ship Bistatic SWOTHR. Acta Electron. Sin. 2011, 39, 2184–2189. [Google Scholar]
- Liu, C.B.; Chen, B.X.; Chen, D.F. Analysis of First-order Sea Clutter in a Shipborne Bistatic High Frequency Surface Wave Radar. In Proceedings of the 2006 CIE International Conference on Radar, Shanghai, China, 6–19 October 2006; pp. 1656–1659. [Google Scholar]
- Zhu, Y.; Wei, Y.; Tong, P. First order sea clutter cross section for bistatic shipborne HFSWR. J. Syst. Eng. Electron. 2017, 28, 681–689. [Google Scholar]
- Skolnik, M.I. An Analysis of Bistatic Radar. Aerosp. Navig. Electron. Ire Trans. 1961, ANE-8, 19–27. [Google Scholar] [CrossRef]























© 2020 by the authors. Licensee MDPI, Basel, Switzerland. This article is an open access article distributed under the terms and conditions of the Creative Commons Attribution (CC BY) license (http://creativecommons.org/licenses/by/4.0/).
Share and Cite
Ji, Y.; Zhang, J.; Wang, Y.; Yue, C.; Gong, W.; Liu, J.; Sun, H.; Yu, C.; Li, M. Coast–Ship Bistatic HF Surface Wave Radar: Simulation Analysis and Experimental Verification. Remote Sens. 2020, 12, 470. https://doi.org/10.3390/rs12030470
Ji Y, Zhang J, Wang Y, Yue C, Gong W, Liu J, Sun H, Yu C, Li M. Coast–Ship Bistatic HF Surface Wave Radar: Simulation Analysis and Experimental Verification. Remote Sensing. 2020; 12(3):470. https://doi.org/10.3390/rs12030470
Chicago/Turabian StyleJi, Yonggang, Jie Zhang, Yiming Wang, Chao Yue, Weichun Gong, Junwei Liu, Hao Sun, Changjun Yu, and Ming Li. 2020. "Coast–Ship Bistatic HF Surface Wave Radar: Simulation Analysis and Experimental Verification" Remote Sensing 12, no. 3: 470. https://doi.org/10.3390/rs12030470
APA StyleJi, Y., Zhang, J., Wang, Y., Yue, C., Gong, W., Liu, J., Sun, H., Yu, C., & Li, M. (2020). Coast–Ship Bistatic HF Surface Wave Radar: Simulation Analysis and Experimental Verification. Remote Sensing, 12(3), 470. https://doi.org/10.3390/rs12030470

