A New Satellite-Based Retrieval of Low-Cloud Liquid-Water Path Using Machine Learning and Meteosat SEVIRI Data
Abstract
1. Introduction
2. Data and Methods
2.1. Meteosat-9 SEVIRI Data
2.2. CloudNet Data
2.3. CLAAS-2 Data
2.4. Paring of SEVIRI, CLAAS-2 and CloudNet Data
2.5. Gradient Boosting Regression Trees
3. Results and Discussion
3.1. Statistics for Model Performance
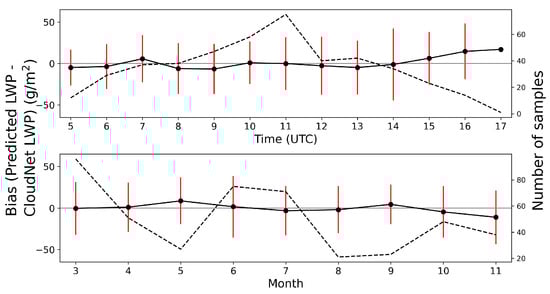
3.2. Bias Analysis for LWP Retrieval
3.3. Relationship between LWP and Input Variables
4. Summary and Conclusions
Author Contributions
Funding
Acknowledgments
Conflicts of Interest
Appendix A
| Situations | Sites | Linear Relation of LWPGBRT − LWPgr | |||
|---|---|---|---|---|---|
| n | R2 (%) | Slope | Intercept (g m−2) | ||
| Homogeneous | Leipzig | 450 | 47.3 | 0.47 | 38.51 |
| Lindenberg | 1207 | 34.1 | 0.33 | 36.76 | |
| Juelich | 412 | 46.4 | 0.46 | 43.67 | |
| Homogeneous after feature selection | Leipzig | 450 | 39.0 | 0.43 | 42.31 |
| Lindenberg | 1207 | 20.3 | 0.20 | 44.26 | |
| Juelich | 412 | 37.6 | 0.32 | 54.46 | |
| Inhomogeneous | Leipzig | 528 | 43.0 | 0.44 | 36.61 |
| Lindenberg | 1415 | 31.3 | 0.31 | 34.64 | |
| Juelich | 482 | 35.9 | 0.38 | 44.78 | |
| Inhomogeneous after feature selection | Leipzig | 528 | 40.0 | 0.39 | 40.60 |
| Lindenberg | 1415 | 20.0 | 0.17 | 42.19 | |
| Juelich | 482 | 28.7 | 0.30 | 49.88 | |
| Linear Relation of LWPCMSAF − LWPgr | |||||
| Homogeneous | Leipzig | 450 | 26.0 | 1.00 | 24.03 |
| Lindenberg | 1202 | 12.9 | 0.91 | 51.57 | |
| Juelich | 412 | 18.6 | 0.95 | 18.28 | |
| Inhomogeneous | Leipzig | 528 | 25.7 | 0.95 | 35.99 |
| Lindenberg | 1411 | 12.1 | 0.90 | 57.97 | |
| Juelich | 482 | 9.5 | 0.90 | 28.33 | |
| Situations | Sites | Difference between LWPGBRT and LWPgr | |||||||
|---|---|---|---|---|---|---|---|---|---|
| Mean (GBRT) | Mean (gr) | Median (GBRT) | Median (gr) | Accuracy (PB%) | Q50 (Prec) | Q66 | Q95 | ||
| Homogeneous | Leipzig | 73.38 | 74.42 | 72.98 | 66.87 | 6.11 (9.14) | 40.01 | 59.49 | 131.44 |
| Lindenberg | 57.80 | 64.27 | 56.23 | 54.63 | 1.60 (2.93) | 46.46 | 65.25 | 144.39 | |
| Juelich | 81.89 | 83.34 | 85.32 | 78.89 | 6.43 (8.15) | 42.40 | 66.38 | 130.20 | |
| Homogeneous after feature selection | Leipzig | 74.40 | 74.42 | 72.75 | 66.87 | 5.88 (8.79) | 39.37 | 60.25 | 141.88 |
| Lindenberg | 56.81 | 64.27 | 54.41 | 54.63 | −0.22 (0.40) | 58.77 | 77.65 | 146.24 | |
| Juelich | 81.25 | 83.34 | 86.12 | 78.89 | 7.23 (9.16) | 53.69 | 76.55 | 138.57 | |
| Inhomogeneous | Leipzig | 67.53 | 69.92 | 67.24 | 60.47 | 6.77 (11.20) | 40.98 | 59.13 | 149.26 |
| Lindenberg | 54.10 | 62.03 | 52.16 | 51.73 | 0.43 (0.83) | 47.96 | 71.84 | 151.74 | |
| Juelich | 76.10 | 81.76 | 76.96 | 77.30 | −0.33 (0.43) | 50.20 | 73.37 | 148.12 | |
| Inhomogeneous after feature selection | Leipzig | 67.53 | 69.92 | 68.23 | 60.47 | 7.76 (12.83) | 45.89 | 66.72 | 152.95 |
| Lindenberg | 52.88 | 62.03 | 51.12 | 51.73 | −0.60 (1.17) | 58.95 | 83.36 | 152.11 | |
| Juelich | 74.49 | 81.76 | 76.07 | 77.30 | −1.23 (1.59) | 57.06 | 79.42 | 153.06 | |
| Difference between LWPCMSAF and LWPgr | |||||||||
| Homogeneous | Leipzig | 98.27 | 74.42 | 80.60 | 66.87 | 13.73 (20.53) | 58.40 | 85.55 | 273.97 |
| Lindenberg | 110.12 | 64.27 | 77.50 | 54.63 | 22.87 (41.86) | 92.46 | 140.74 | 368.75 | |
| Juelich | 97.35 | 83.34 | 66.20 | 78.89 | −12.69 (16.09) | 63.28 | 108.42 | 359.40 | |
| Inhomogeneous | Leipzig | 102.64 | 69.92 | 83.30 | 60.47 | 22.83 (37.76) | 57.89 | 89.87 | 276.40 |
| Lindenberg | 113.68 | 62.03 | 81.80 | 51.73 | 30.07 (58.14) | 96.34 | 141.95 | 403.75 | |
| Juelich | 101.87 | 81.76 | 69.70 | 77.30 | −7.60 (9.83) | 69.93 | 114.32 | 345.44 | |

References
- Boucher, O.; Randall, D.; Artaxo, P.; Bretherton, C.; Feingold, G.; Forster, P.; Kerminen, V.M.; Kondo, Y.; Liao, H.; Lohmann, U.; et al. Clouds and aerosols. In Climate Change 2013: The Physical Science Basis. Contribution of Working Group I to the Fifth Assessment Report of the Intergovernmental Panel on Climate Change; Cambridge University Press: Cambridge, UK, 2013; pp. 571–657. [Google Scholar]
- Greuell, W.; Roebeling, R. Toward a standard procedure for validation of satellite-derived cloud liquid water path: A study with SEVIRI data. J. Appl. Meteorol. Climatol. 2009, 48, 1575–1590. [Google Scholar] [CrossRef]
- Hollmann, R.; Merchant, C.J.; Saunders, R.; Downy, C.; Buchwitz, M.; Cazenave, A.; Chuvieco, E.; Defourny, P.; de Leeuw, G.; Forsberg, R.; et al. The ESA climate change initiative: Satellite data records for essential climate variables. Bull. Am. Meteorol. Soc. 2013, 94, 1541–1552. [Google Scholar] [CrossRef]
- Roebeling, R.; Feijt, A.; Stammes, P. Cloud property retrievals for climate monitoring: Implications of differences between Spinning Enhanced Visible and Infrared Imager (SEVIRI) on METEOSAT-8 and Advanced Very High Resolution Radiometer (AVHRR) on NOAA-17. J. Geophys. Res. Atmos. 2006, 111. [Google Scholar] [CrossRef]
- O’Dell, C.W.; Wentz, F.J.; Bennartz, R. Cloud liquid water path from satellite-based passive microwave observations: A new climatology over the global oceans. J. Clim. 2008, 21, 1721–1739. [Google Scholar] [CrossRef]
- Seethala, C.; Horváth, Á. Global assessment of AMSR-E and MODIS cloud liquid water path retrievals in warm oceanic clouds. J. Geophys. Res. Atmos. 2010, 115. [Google Scholar] [CrossRef]
- Roebeling, R.; Deneke, H.; Feijt, A. Validation of cloud liquid water path retrievals from SEVIRI using one year of CloudNET observations. J. Appl. Meteorol. Climatol. 2008, 47, 206–222. [Google Scholar] [CrossRef]
- Kniffka, A.; Stengel, M.; Lockhoff, M.; Bennartz, R.; Hollmann, R. Characteristics of cloud liquid water path from SEVIRI onboard the Meteosat Second Generation 2 satellite for several cloud types. Atmos. Meas. Tech. 2014, 7, 887–905. [Google Scholar] [CrossRef]
- Kostsov, V.S.; Kniffka, A.; Stengel, M.; Ionov, D.V. Cross-comparison of cloud liquid water path derived from observations by two space-borne and one ground-based instrument in northern Europe. Atmos. Meas. Tech. 2019, 12, 5927–5946. [Google Scholar] [CrossRef]
- Schutgens, N.; Roebeling, R. Validating the validation: The influence of liquid water distribution in clouds on the intercomparison of satellite and surface observations. J. Atmos. Ocean. Technol. 2009, 26, 1457–1474. [Google Scholar] [CrossRef]
- Greenwald, T.J.; Bennartz, R.; Lebsock, M.; Teixeira, J. An uncertainty data set for passive microwave satellite observations of warm cloud liquid water path. J. Geophys. Res. Atmos. 2018, 123, 3668–3687. [Google Scholar] [CrossRef]
- Müller, J.; Fowler, G.; Dammann, K.; Rogers, C.; Buhler, Y.; Flewin, J. MSG Level 1.5 Image Data Format Description; Rapport Technique; EUMETSAT: Darmstadt, Germany, 2010; Volume 68, p. 167. [Google Scholar]
- SAF, C. Algorithm Theoretical Basis Document, SEVIRI Cloud Physical Products, CLAAS Edition 2, EUMETSAT Satellite Application Facility on Climate Monitoring; Technical Report, SAF/CM/KNMI/ATBD/SEVIRI/CPP; Satellite Application Facility on Climate Monitoring (CM SAF): Darmstadt, Germany, 2016. [Google Scholar]
- Cermak, J.; Bendix, J. A novel approach to fog/low stratus detection using Meteosat 8 data. Atmos. Res. 2008, 87, 279–292. [Google Scholar] [CrossRef]
- Strabala, K.I.; Ackerman, S.A.; Menzel, W.P. Cloud Properties inferred from 8–12-µm Data. J. Appl. Meteorol. 1994, 33, 212–229. [Google Scholar] [CrossRef]
- Illingworth, A.; Hogan, R.; O’connor, E.; Bouniol, D.; Brooks, M.; Delanoë, J.; Donovan, D.; Eastment, J.; Gaussiat, N.; Goddard, J.; et al. Cloudnet: Continuous evaluation of cloud profiles in seven operational models using ground-based observations. Bull. Am. Meteorol. Soc. 2007, 88, 883–898. [Google Scholar] [CrossRef]
- Löhnert, U.; Crewell, S. Accuracy of cloud liquid water path from ground-based microwave radiometry 1. Dependency on cloud model statistics. Radio Sci. 2003, 38. [Google Scholar] [CrossRef]
- Gaussiat, N.; Hogan, R.J.; Illingworth, A.J. Accurate liquid water path retrieval from low-cost microwave radiometers using additional information from a lidar ceilometer and operational forecast models. J. Atmos. Ocean. Technol. 2007, 24, 1562–1575. [Google Scholar] [CrossRef]
- Finkensieper, S.; Meirink, J.; van Zadelhoff, G.; Hanschmann, T.; Benas, N.; Stengel, M.; Fuchs, P.; Hollmann, R.; Werscheck, M. CLAAS-2: CM SAF CLoud Property dAtAset Using SEVIRI, 2nd ed.; Satellite Application Facility on Climate Monitoring: Darmstadt, Germany, 2016. [Google Scholar]
- Stephens, G.L. Radiation Profiles in Extended Water Clouds. II: Parameterization Schemes. J. Atmos. Sci. 1978, 35, 2123–2132. [Google Scholar] [CrossRef]
- Benas, N.; Finkensieper, S.; Stengel, M.; van Zadelhoff, G.J.; Hanschmann, T.; Hollmann, R.; Meirink, J.F. The MSG-SEVIRI-based cloud property data record CLAAS-2. Earth Syst. Sci. Data 2017, 9, 415. [Google Scholar] [CrossRef]
- Tranquilli, C.; Viticchiè, B.; Pessina, S.; Hewison, T.; Müller, J.; Wagner, S. Meteosat SEVIRI Performance Characterisation and Calibration with Dedicated Moon/Sun/Deep-space Scans. In Proceedings of the 14th International Conference on Space Operations, Daejeon, Korea, 16–20 May 2016; p. 2536. [Google Scholar]
- Aminou, D.M.A.; Jacquet, B.; Pasternak, F. Characteristics of the Meteosat Second Generation (MSG) radiometer/imager: SEVIRI. Sensors, Systems, and Next-Generation Satellites. Int. Soc. Opt. Photonics 1997, 3221, 19–31. [Google Scholar]
- Fuchs, J.; Cermak, J.; Andersen, H. Building a cloud in the southeast Atlantic: Understanding low-cloud controls based on satellite observations with machine learning. Atmos. Chem. Phys. 2018, 18, 16537–16552. [Google Scholar] [CrossRef]
- Friedman, J.H. Greedy function approximation: A gradient boosting machine. Ann. Stat. 2001, 29, 1189–1232. [Google Scholar] [CrossRef]
- Pedregosa, F.; Varoquaux, G.; Gramfort, A.; Michel, V.; Thirion, B.; Grisel, O.; Blondel, M.; Prettenhofer, P.; Weiss, R.; Dubourg, V.; et al. Scikit-learn: Machine learning in Python. J. Mach. Learn. Res. 2011, 12, 2825–2830. [Google Scholar]
- Roebeling, R.; Van Meijgaard, E. Evaluation of the daylight cycle of model-predicted cloud amount and condensed water path over Europe with observations from MSG SEVIRI. J. Clim. 2009, 22, 1749–1766. [Google Scholar] [CrossRef]
- Box, G.E.; Cox, D.R. An analysis of transformations. J. R. Stat. Soc. Ser. B Methodol. 1964, 26, 211–243. [Google Scholar] [CrossRef]
- Breiman, L. Random forests. Mach. Learn. 2001, 45, 5–32. [Google Scholar] [CrossRef]
- Lundberg, S.M.; Lee, S.I. A Unified Approach to Interpreting Model Predictions. In Advances in Neural Information Processing Systems 30; Guyon, I., Luxburg, U.V., Bengio, S., Wallach, H., Fergus, R., Vishwanathan, S., Garnett, R., Eds.; Curran Associates, Inc.: New York, NY, USA, 2017; pp. 4765–4774. [Google Scholar]
- Loeb, N.G.; Coakley, J., Jr. Inference of marine stratus cloud optical depths from satellite measurements: Does 1D theory apply? J. Clim. 1998, 11, 215–233. [Google Scholar] [CrossRef]
- Chang, F.L.; Li, Z. Estimating the vertical variation of cloud droplet effective radius using multispectral near-infrared satellite measurements. J. Geophys. Res. Atmos. 2002, 107, AAC-7. [Google Scholar] [CrossRef]
- Greenwald, T.J. A 2 year comparison of AMSR-E and MODIS cloud liquid water path observations. Geophys. Res. Lett. 2009, 36. [Google Scholar] [CrossRef]









| Feature Set 1 | Feature Set 2 |
|---|---|
| VIS0.6, VIS0.8 | VIS0.6 |
| IR1.6, IR3.9, IR8.7, IR10.8, IR12, IR13.4 | IR1.6, IR3.9 |
| SZA, AZA | SZA, AZA |
| Model Hyper-Parameters | Parameter Grid Search |
|---|---|
| The number of estimators | [10,500,10] |
| Learning rate | [0.01,0.1,10] |
| Maximum number of features | [1,5,1] |
| Minimum number of samples to split | [2,10,1] |
| Minimum number of samples in a leaf | [2,10,1] |
| Maximum depth of a tree | [2,3,1] |
Publisher’s Note: MDPI stays neutral with regard to jurisdictional claims in published maps and institutional affiliations. |
© 2020 by the authors. Licensee MDPI, Basel, Switzerland. This article is an open access article distributed under the terms and conditions of the Creative Commons Attribution (CC BY) license (http://creativecommons.org/licenses/by/4.0/).
Share and Cite
Kim, M.; Cermak, J.; Andersen, H.; Fuchs, J.; Stirnberg, R. A New Satellite-Based Retrieval of Low-Cloud Liquid-Water Path Using Machine Learning and Meteosat SEVIRI Data. Remote Sens. 2020, 12, 3475. https://doi.org/10.3390/rs12213475
Kim M, Cermak J, Andersen H, Fuchs J, Stirnberg R. A New Satellite-Based Retrieval of Low-Cloud Liquid-Water Path Using Machine Learning and Meteosat SEVIRI Data. Remote Sensing. 2020; 12(21):3475. https://doi.org/10.3390/rs12213475
Chicago/Turabian StyleKim, Miae, Jan Cermak, Hendrik Andersen, Julia Fuchs, and Roland Stirnberg. 2020. "A New Satellite-Based Retrieval of Low-Cloud Liquid-Water Path Using Machine Learning and Meteosat SEVIRI Data" Remote Sensing 12, no. 21: 3475. https://doi.org/10.3390/rs12213475
APA StyleKim, M., Cermak, J., Andersen, H., Fuchs, J., & Stirnberg, R. (2020). A New Satellite-Based Retrieval of Low-Cloud Liquid-Water Path Using Machine Learning and Meteosat SEVIRI Data. Remote Sensing, 12(21), 3475. https://doi.org/10.3390/rs12213475

