Evaluation of the Significant Wave Height Data Quality for the Sentinel-3 Synthetic Aperture Radar Altimeter
Abstract
1. Introduction
2. Materials and Methods
2.1. Overview of Study Areas
2.2. Sentinel-3 Altimeter Data
2.3. Jason-2 Altimeter Data
2.4. Buoy Data
2.5. Time–Space Matching Method and Accuracy Evaluation Indexes
3. Results and Discussion
3.1. In Terms of Different Offshore Distances
3.2. In Terms of Different Water Depths
3.3. In Terms of Different Coasts
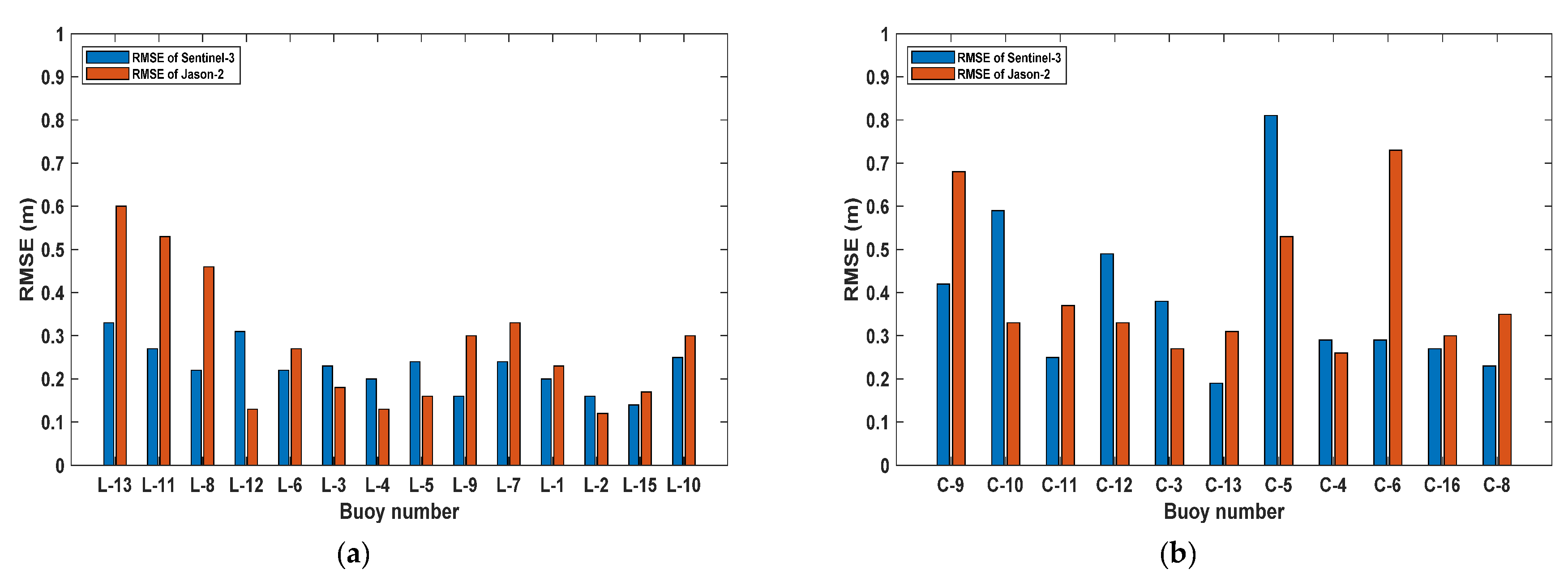
3.4. Comparison with Jason-2 Data
4. Conclusions
Author Contributions
Funding
Acknowledgments
Conflicts of Interest
References
- Bruck, M.; Lehner, S. Coastal wave field extraction using TerraSAR-X data. J. Appl. Remote Sens. 2013, 7, 073694. [Google Scholar] [CrossRef]
- Zheng, C.W.; Zheng, Y.Y.; Chen, H.C. Research on wave energy resources in the Northern South China Sea during recent 10 years using SWAN wave model. J. Subtrop. Resour. Environ. 2011, 6, 54–59. [Google Scholar]
- Liang, B.C.; Fan, F.; Liu, F.S.; Gao, S.H.; Zuo, H.Y. 22-Year wave energy hindcast for the China East Adjacent Seas. Renew. Energy 2014, 71, 200–207. [Google Scholar] [CrossRef]
- Li, P.; Wu, D.H.; Li, W.X. Study of Height Estimation Algorithm on Synthetic Aperture Radar Altimeter. J. Test Meas. Technol. 2016, 30, 411–416. (In Chinese) [Google Scholar]
- Zheng, C.W.; Zhuang, H.; Li, X.; Li, X.Q. Wind energy and wave energy resources assessment in the East China Sea and South China Sea. Sci. China Technol. Sci. 2012, 55, 163–173. [Google Scholar] [CrossRef]
- Li, J.; Qian, H.B.; Li, H.; Liu, Y.; Gao, Z.Y. Numerical study of sea waves created by tropical cyclone Jelawat. Acta Oceanol. Sin. 2011, 30, 64. [Google Scholar] [CrossRef]
- Zhang, P.; Chen, X.L.; Lu, J.Z.; Tian, L.Q.; Liu, H. Research on wave simulation of Bohai Sea based on the CCMP remotely sensed sea winds. Mar. Sci. Bull. 2011, 30, 266–271. (In Chinese) [Google Scholar]
- User Guide to ECMWF Forecast Products. Available online: http://old.ecmwf.int/products/forecasts/guide/user_guide.pdf (accessed on 16 February 2013).
- Hsu, T.W.; Liau, J.M.; Lin, J.G.; Zheng, J.H.; Ou, S.H. Sequential assimilation in the wind wave model for simulations of typhoon events around Taiwan Island Hsu. Ocean Eng. 2010, 38, 456–467. [Google Scholar] [CrossRef]
- Nencioli, F.; Quartly, G.D. Evaluation of Sentinel-3A Wave Height Observations Near the Coast of Southwest England. Remote Sens. 2019, 11, 2998. [Google Scholar] [CrossRef]
- Gomez-Enri, J.; Vignudelli, S.; Quartly, G.D.; Gommenginger, C.P.; Cipollini, P.; Challenor, P.G.; Benveniste, J. Modeling Envisat RA-2 Waveforms in the Coastal Zone: Case Study of Calm Water Contamination. IEEE Geosci. Remote Sens. Lett. 2010, 7, 474–478. [Google Scholar] [CrossRef]
- Wang, X.; Ichikawa, K. Coastal waveform retracking for Jason-2 altimeter data based on along-track Echograms around the Tsushima Islands in Japan. Remote Sens. 2017, 9, 762. [Google Scholar] [CrossRef]
- Wingham, D.; Francis, C.; Baker, S.; Bouzinac, C.; Brockley, D.; Cullen, R.; de Chateau-Thierry, P.; Laxon, S.; Mallow, U.; Mavrocordatos, C.; et al. CryoSat: A mission to determine the flfluctuations in Earth’s land and marine ice fields. Adv. Space Res. 2006, 37, 841–871. [Google Scholar] [CrossRef]
- Fenoglio-Marc, L.; Dinardo, S.; Scharroo, R.; Roland, A.; Sikiric, M.D.; Lucas, B.; Becker, M.; Benveniste, J.; Weiss, R. The German Bight: A validation of CryoSat-2 altimeter data in SAR mode. Adv. Space Res. 2015, 55, 2641–2656. [Google Scholar] [CrossRef]
- Boy, F.; Desjonquères, J.; Picot, N.; Moreau, T.; Raynal, M. CryoSat-2 SAR-Mode Over Oceans: Processing Methods, Global Assessment, and Benefifits. IEEE Trans. Geosci. Remote. Sens. 2017, 55, 148–158. [Google Scholar] [CrossRef]
- Andriolo, U.; Mendes, D.; Taborda, R. Breaking Wave Height Estimation from Timex Images: Two Methods for Coastal Video Monitoring Systems. Remote Sens. 2020, 12, 204. [Google Scholar] [CrossRef]
- Almar, R.; Cienfuegos, R.A.; Catalán, P.; Michallet, H.; Castelle, B.; Bonneton, P.; Marieu, V. A new breaking wave height direct estimator from video imagery. Coast. Eng. 2012, 61, 42–48. [Google Scholar] [CrossRef]
- Yaniv, G.; Matthew, B.; Christopher, L. Automatic Estimation of Nearshore Wave Height from Video Timestacks. In Proceedings of the 2011 International Conference on Digital Image Computing: Techniques and Applications, Noosa, Australia, 6–8 December 2011; pp. 364–369. [Google Scholar]
- Sentinel-3 SRAL Marine User Handbook. Available online: https://www.eumetsat.int/wesite/wcm/idc/idcplg?IdcService=GET_FILE&dDocName=PDF_S3_SRAL_HANDBOOK&RevisionSelectionMethod=LatestReleased&Rendition=Web (accessed on 5 May 2019).
- Birgiel, E.; Ellmann, A.; Delpeche-Ellmann, N. Examining the Performance of the Sentinel-3 Coastal Altimetry in the Baltic Sea Using a Regional High-Resolution Geoid Model. In Proceedings of the 2018 Baltic Geodetic Congress (BGC Geomatics), Olsztyn, Poland, 21–23 June 2018; pp. 196–201. [Google Scholar] [CrossRef]
- Delikaraoglou, D.; Flokos, N. Preliminary assessment of observing different regime-s in the marine environment using SENTINEL-3 data. Earth Space Sci. Open Arch. 2019. [Google Scholar] [CrossRef]
- Gao, Q.; Makhoul, E.; Escorihuela, M.J.; Zribi, M.; Quintana Seguí, P.; García, P.; Roca, M. Analysis of Retrackers’ Performances and Water Level Retrieval over the Ebro River Basin Using Sentinel-3. Remote Sens. 2019, 11, 718. [Google Scholar] [CrossRef]
- Jiang, L.G.; Nielsen, K.; Dinardo, S.; Andersen, O.B.; Bauer-Gottwein, P. Evaluation of Sentinel-3 SRAL SAR altimetry over Chinese rivers. Remote Sens. Environ. 2020, 237, 111546. [Google Scholar] [CrossRef]
- Yang, J.G.; Zhang, J. Validation of Sentinel-3A/3B Satellite Altimetry Wave Heights with Buoy and Jason-3 Data. Sensors 2019, 19, 2914. [Google Scholar] [CrossRef]
- Sentinel-3-MPC-ECM-Winds-Waves-Cyclic-Report-050-031. Available online: https://sentinel.esa.int/documents/247904/3748263/Sentinel-3-MPC-ISR-SRAL-Cyclic-Report-050-031.pdf (accessed on 26 December 2019).
- Ray, C.; Martin-Puig, C.; Clarizia, M.P.; Ruffini, G.; Dinardo, S.; Gommenginger, C.; Benveniste, J. SAR Altimeter Backscattered Waveform Model. IEEE Trans. Geosci. Remote Sens. 2015, 53, 911–919. [Google Scholar] [CrossRef]
- OSTM_Jason-2 Products Handbook. Available online: https://www.ospo.noaa.gov/Products/documents/J2_handbook_v1-8_no_rev.pdf (accessed on 10 January 2020).
- Han, X.; Yang, J.G.; Wang, J.Z. Calibration and evaluation of satellite radar altimeter wave heights with in situ buoy data. Acta Oceanol. Sin. 2016, 38, 73–89. (In Chinese) [Google Scholar]











| Buoy Number | Buoy ID | Depth (km) | Distance from the Coast (km) | S3 Track | J2 Track |
|---|---|---|---|---|---|
| L-1 | 46066 | 4 | 334 | 305 | 199 |
| L-2 | 51004 | 5 | 196 | 063 | 158 |
| L-3 | 46005 | 3 | 485 | 076 | 130 |
| L-4 | 46073 | 3 | 195 | 163 | 175 |
| L-5 | 46035 | 4 | 462 | 206 | 056 |
| L-6 | 46089 | 3 | 164 | 361 | 028 |
| L-7 | 46001 | 4 | 275 | 114 | 054 |
| L-8 | 46080 | 0.25 | 109 | 328 | 054 |
| L-9 | 46085 | 4 | 437 | 071 | 173 |
| L-10 | 46078 | 5 | 121 | 148 | 156 |
| L-11 | 44008 | 0.08 | 116 | 259 | 065 |
| L-12 | 41010 | 1 | 183 | 011 | 243 |
| L-13 | 41013 | 0.03 | 111 | 011 | 076 |
| L-14 | 42039 | 0.27 | 152 | 268 | |
| L-15 | 41040 | 5 | 647 | 002 | 063 |
| Buoy Number | Buoy ID | Depth (km) | Distance from the Coast (km) | S3 Track | J2 Track |
|---|---|---|---|---|---|
| C-1 | 46029 | 0.13 | 26 | 090 | |
| C-2 | 46011 | 0.46 | 43 | 033 | |
| C-3 | 46083 | 0.14 | 35 | 019 | 173 |
| C-4 | 46082 | 0.30 | 42 | 119 | 104 |
| C-5 | 51201 | 0.20 | 21 | 277 | 223 |
| C-6 | 46069 | 1 | 49 | 027 | 206 |
| C-7 | 46086 | 2 | 41 | 198 | |
| C-8 | 46072 | 4 | 48 | 343 | 234 |
| C-9 | 44007 | 0.03 | 20 | 259 | 202 |
| C-10 | 44009 | 0.03 | 4 | 011 | 228 |
| C-11 | 44025 | 0.04 | 12 | 011 | 243 |
| C-12 | 41025 | 0.06 | 31 | 011 | 076 |
| C-13 | 44005 | 0.18 | 48 | 068 | 050 |
| C-14 | 41008 | 0.01 | 7 | 168 | |
| C-15 | 46012 | 0.21 | 46 | 361 | |
| C-16 | 46084 | 1 | 36 | 085 | 071 |
| Satellite | RMSE (m) | CC | SI | Bias (m) | Number of Matching Buoys | Number of Matching Points |
|---|---|---|---|---|---|---|
| Sentinel-3 | 0.35 | 0.96 | 0.16 | 0.24 | 31 | 686 |
| Jason-2 | 0.41 | 0.94 | 0.18 | 0.26 | 25 | 912 |
| Buoy ID | RMSE (m) | Bias (m) | SI | CC |
|---|---|---|---|---|
| 46029 | 0.45 | 0.27 | 0.19 | 0.94 |
| 46011 | 0.36 | 0.27 | 0.15 | 0.91 |
| 46086 | 0.29 | 0.21 | 0.21 | 0.87 |
| 41008 | 0.33 | 0.3 | 0.24 | 0.82 |
| 46012 | 0.48 | 0.4 | 0.15 | 0.94 |
© 2020 by the authors. Licensee MDPI, Basel, Switzerland. This article is an open access article distributed under the terms and conditions of the Creative Commons Attribution (CC BY) license (http://creativecommons.org/licenses/by/4.0/).
Share and Cite
Wan, Y.; Zhang, R.; Pan, X.; Fan, C.; Dai, Y. Evaluation of the Significant Wave Height Data Quality for the Sentinel-3 Synthetic Aperture Radar Altimeter. Remote Sens. 2020, 12, 3107. https://doi.org/10.3390/rs12183107
Wan Y, Zhang R, Pan X, Fan C, Dai Y. Evaluation of the Significant Wave Height Data Quality for the Sentinel-3 Synthetic Aperture Radar Altimeter. Remote Sensing. 2020; 12(18):3107. https://doi.org/10.3390/rs12183107
Chicago/Turabian StyleWan, Yong, Rongjuan Zhang, Xiaodong Pan, Chenqing Fan, and Yongshou Dai. 2020. "Evaluation of the Significant Wave Height Data Quality for the Sentinel-3 Synthetic Aperture Radar Altimeter" Remote Sensing 12, no. 18: 3107. https://doi.org/10.3390/rs12183107
APA StyleWan, Y., Zhang, R., Pan, X., Fan, C., & Dai, Y. (2020). Evaluation of the Significant Wave Height Data Quality for the Sentinel-3 Synthetic Aperture Radar Altimeter. Remote Sensing, 12(18), 3107. https://doi.org/10.3390/rs12183107

