The Effect of Climatological Variables on Future UAS-Based Atmospheric Profiling in the Lower Atmosphere
Abstract
1. Introduction
2. Data and Methods
2.1. Data
2.1.1. NARR Data
2.1.2. Radiosonde Data
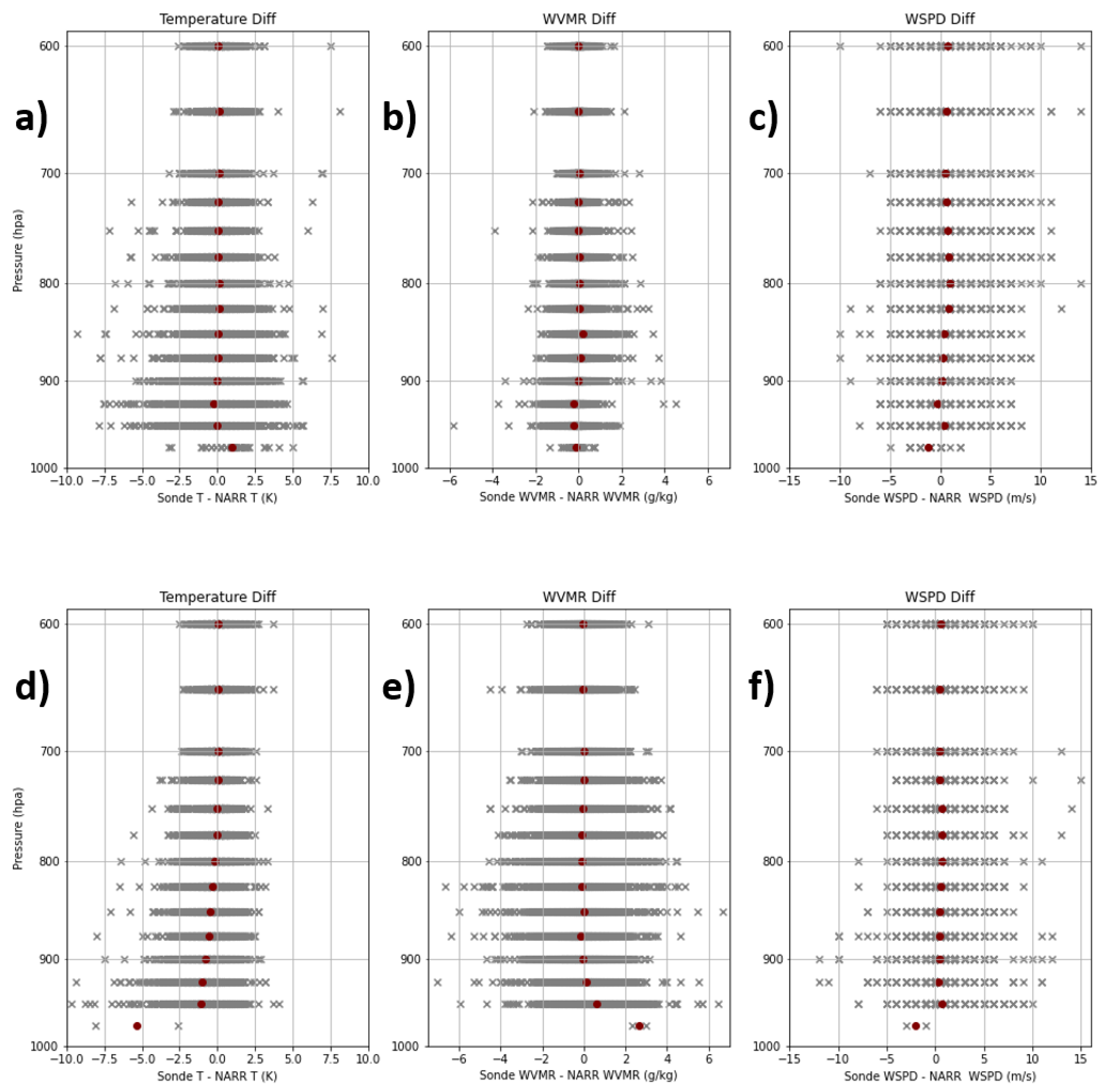
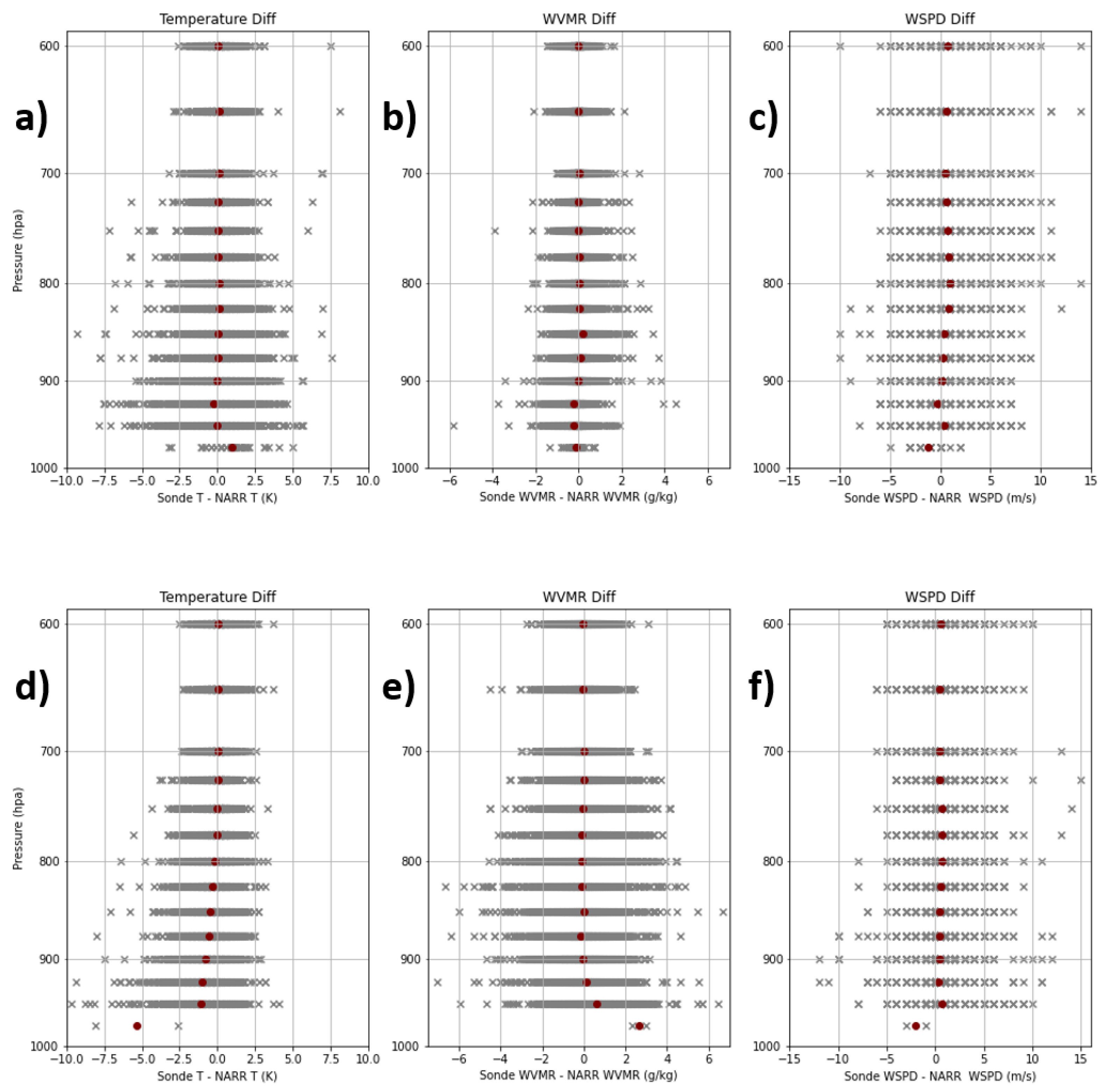
2.2. NARR Validation
2.3. Seasonal Climatologies
2.4. Selected Sites
3. Validation
4. Results
4.1. Seasonal Climatologies
4.1.1. Visibility
4.1.2. CBL Height
4.1.3. Wind Speed
4.1.4. Combined Climatologies
4.2. Maximum Potential UAS Sampling Height AMSL Statistics
5. Discussion
6. Conclusions
Supplementary Materials
Author Contributions
Funding
Acknowledgments
Conflicts of Interest
References
- Lazo, J.K.; Lawson, M.; Larsen, P.H.; Waldman, D.M. U.S. Economic Sensitivity to Weather Variability. Bull. Am. Meteorol. Soc. 2011, 92, 709–720. [Google Scholar] [CrossRef]
- Council, N.R. Observing Weather and Climate from the Ground Up: A Nationwide Network of Networks; The National Academies Press: Washington, DC, USA, 2009. [Google Scholar] [CrossRef]
- Mahmood, R.; Boyles, R.; Brinson, K.; Fiebrich, C.; Foster, S.; Hubbard, K.; Robinson, D.; Andresen, J.; Leathers, D. Mesonets: Mesoscale Weather and Climate Observations for the United States. Bull. Am. Meteorol. Soc. 2017, 98, 1349–1361. [Google Scholar] [CrossRef]
- Dabberdt, W.F.; Schlatter, T.W.; Carr, F.H.; Joe Friday, E.W.; Jorgensen, D.; Koch, S.; Pirone, M.; Ralph, F.M.; Sun, J.; Welsh, P.; et al. Multifunctional Mesoscale Observing Networks. Bull. Am. Meteorol. Soc. 2005, 86, 961–982. [Google Scholar] [CrossRef]
- McPherson, R.A.; Fiebrich, C.A.; Crawford, K.C.; Kilby, J.R.; Grimsley, D.L.; Martinez, J.E.; Basara, J.B.; Illston, B.G.; Morris, D.A.; Kloesel, K.A.; et al. Statewide Monitoring of the Mesoscale Environment: A Technical Update on the Oklahoma Mesonet. J. Atmos. Ocean. Technol. 2007, 24, 301–321. [Google Scholar] [CrossRef]
- Hardesty, R.M.; Hoff, R.M. Thermodynamic Profiling Technologies Workshop Report to the National Science Foundation and the National Weather Service; Technical report ncar/tn-488+str; National Center for Atmospheric Research: Boulder, CO, USA, 2012. [Google Scholar]
- Banacos, P.C.; Schultz, D.M. The Use of Moisture Flux Convergence in Forecasting Convective Initiation: Historical and Operational Perspectives. Weather Forecast. 2005, 20, 351–366. [Google Scholar] [CrossRef]
- Gasperoni, N.A.; Xue, M.; Palmer, R.D.; Gao, J. Sensitivity of Convective Initiation Prediction to Near-Surface Moisture When Assimilating Radar Refractivity: Impact Tests Using OSSEs. J. Atmos. Ocean. Technol. 2013, 30, 2281–2302. [Google Scholar] [CrossRef]
- Chilson, P.; Bell, T.; Brewster, K.; Britto Hupsel de Azevedo, G.; Carr, F.; Carson, K.; Doyle, W.; Fiebrich, C.; Greene, B.; Grimsley, J.; et al. Moving towards a Network of Autonomous UAS Atmospheric Profiling Stations for Observations in the Earth’s Lower Atmosphere: The 3D Mesonet Concept. Sensors 2019, 19, 2720. [Google Scholar] [CrossRef] [PubMed]
- Mesinger, F.; DiMego, G.; Kalnay, E.; Mitchell, K.; Shafran, P.C.; Ebisuzaki, W.; Jović, D.; Woollen, J.; Rogers, E.; Berbery, E.H.; et al. North American Regional Reanalysis. Bull. Am. Meteorol. Soc. 2006, 87, 343–360. [Google Scholar] [CrossRef]
- National Weather Service. Radiosonde Observation. Available online: https://www.weather.gov/upperair/factsheet (accessed on 1 May 2020).
- University of Wyoming. Atmospheric Soundings. Available online: http://weather.uwyo.edu/upperair/sounding.html (accessed on 21 April 2020).
- Walters, C.K.; Winkler, J.A.; Husseini, S.; Keeling, R.; Nikolic, J.; Zhong, S. Low-Level Jets in the North American Regional Reanalysis (NARR): A Comparison with Rawinsonde Observations. J. Appl. Meteorol. Climatol. 2014, 53, 2093–2113. [Google Scholar] [CrossRef]
- Moore, A. Observing System Simulation Experiment Studies on the Use of Small UAV for Boundary-Layer Sampling. Master’s Thesis, University of Oklahoma, Norman, OK, USA, 2018. [Google Scholar]
- Flagg, D.D.; Doyle, J.D.; Holt, T.R.; Tyndall, D.P.; Amerault, C.M.; Geiszler, D.; Haack, T.; Moskaitis, J.R.; Nachamkin, J.; Eleuterio, D.P. On the Impact of Unmanned Aerial System Observations on Numerical Weather Prediction in the Coastal Zone. Mon. Weather Rev. 2018, 146, 599–622. [Google Scholar] [CrossRef]
- Operating Limitations for Small Unmanned Aircraft, 14 C.F.R §107.51. Available online: https://www.faa.gov/uas/media/part_107_summary.pdf (accessed on 12 June 2020).
- Segales, A.R.; Greene, B.R.; Bell, T.M.; Doyle, W.; Martin, J.J.; Pillar-Little, E.A.; Chilson, P.B. The CopterSonde: An insight into the development of a smart unmanned aircraft system for atmospheric boundary layer research. Atmos. Meas. Tech. 2020, 13, 2833–2848. [Google Scholar] [CrossRef]
- Virtanen, P.; Gommers, R.; Oliphant, T.E.; Haberland, M.; Reddy, T.; Cournapeau, D.; Burovski, E.; Peterson, P.; Weckesser, W.; Bright, J.; et al. SciPy 1.0–Fundamental Algorithms for Scientific Computing in Python. arXiv 2019, arXiv:1907.10121. [Google Scholar] [CrossRef] [PubMed]
- An, N.; Pinker, R.T.; Wang, K.; Rogers, E.; Zuo, Z. Evaluation of cloud base height in the North American Regional Reanalysis using ceilometer observations. Int. J. Climatol. 2019, 40, 3161–3178. [Google Scholar] [CrossRef]
- National Weather Service. Forecast Terms. Available online: https://www.weather.gov/bgm/forecast_terms (accessed on 1 May 2020).
- Oklahoma Climatological Survey. Map of Oklahoma Climate Divisions with Mesonet Stations. Available online: https://climate.ok.gov/index.php/climate/map/map_of_oklahoma_climate_divisions_with_mesonet_stations/oklahoma_climate (accessed on 9 July 2020).
- Oklahoma Climatological Survey. Climate of Oklahoma. Available online: https://climate.ok.gov/index.php/site/page/climate_of_oklahoma (accessed on 9 July 2020).
- Kimble, C.A. 50 Degree Temperature Ranges. Available online: https://www.weather.gov/ama/50ranges (accessed on 24 July 2020).
- Raupach, M.; Finnigan, J. The influence of topography on meteorogical variables and surface-atmosphere interactions. Aggregate Description of Land-Atmosphere Interactions. J. Hydrol. 1997, 190, 182–213. [Google Scholar] [CrossRef]









| Thresholds | |
|---|---|
| Visibility | <4828 m |
| CBL Height | CBL Height − 152.4 m < 600 hPa altitude & low + mid cloud cover >12% |
| Wind Speed | >25 m s−1 |
| Site ID | Latitude (°N) | Longitude (°E) | Climate Division | Nearest NARR Grid (km) |
|---|---|---|---|---|
| FITT | 34.55205 | −96.71779 | South Central | 17.55 |
| HOBA | 34.98971 | −99.05283 | Southwest | 18.57 |
| IDAB | 33.83013 | −94.88030 | Southeast | 5.14 |
| KENT | 36.82937 | −102.8782 | Panhandle | 3.89 |
| MEDF | 36.79242 | −97.74577 | North Central | 14.88 |
| MIAM | 36.88832 | −94.84437 | Northeast | 20.56 |
| NRMN | 35.23611 | −97.46488 | Central | 8.55 |
| PORT | 35.82570 | −95.55976 | Northeast | 14.09 |
| PUTN | 35.89904 | −98.96038 | West Central | 19.10 |
| Site ID | Elevation (km) | Winter (km) | Spring (km) | Summer (km) | Autumn (km) |
|---|---|---|---|---|---|
| FITT | 0.35 | 4.22 | 4.30 | 4.46 | 4.36 |
| HOBA | 0.47 | 4.26 | 4.32 | 4.46 | 4.37 |
| IDAB | 0.11 | 3.73 | 4.27 | 4.42 | 4.33 |
| KENT | 1.32 | 4.27 | 4.31 | 4.46 | 4.38 |
| MEDF | 0.33 | 4.22 | 4.27 | 4.45 | 4.35 |
| MIAM | 0.25 | 3.71 | 4.22 | 4.44 | 4.35 |
| NRMN | 0.36 | 4.23 | 4.30 | 4.46 | 4.36 |
| PORT | 0.19 | 3.74 | 4.25 | 4.45 | 4.34 |
| PUTN | 0.59 | 4.25 | 4.31 | 4.46 | 4.37 |
| Site ID | Elevation (km) | Winter (%) | Spring (%) | Summer (%) | Autumn (%) |
|---|---|---|---|---|---|
| FITT | 0.35 | 56.6 | 61.5 | 71.6 | 70.5 |
| HOBA | 0.47 | 66.7 | 68.9 | 75.8 | 70.0 |
| IDAB | 0.11 | 44.0 | 52.9 | 54.9 | 58.1 |
| KENT | 1.32 | 76.8 | 80.8 | 84.7 | 82.6 |
| MEDF | 0.33 | 61.8 | 61.3 | 72.2 | 69.1 |
| MIAM | 0.25 | 46.5 | 51.7 | 68.0 | 65.2 |
| NRMN | 0.36 | 58.5 | 62.0 | 73.7 | 68.0 |
| PORT | 0.19 | 47.8 | 53.0 | 68.7 | 62.6 |
| PUTN | 0.59 | 67.0 | 67.8 | 74.0 | 73.5 |
© 2020 by the authors. Licensee MDPI, Basel, Switzerland. This article is an open access article distributed under the terms and conditions of the Creative Commons Attribution (CC BY) license (http://creativecommons.org/licenses/by/4.0/).
Share and Cite
Jacobs, A.M.; Bell, T.M.; Greene, B.R.; Chilson, P.B. The Effect of Climatological Variables on Future UAS-Based Atmospheric Profiling in the Lower Atmosphere. Remote Sens. 2020, 12, 2947. https://doi.org/10.3390/rs12182947
Jacobs AM, Bell TM, Greene BR, Chilson PB. The Effect of Climatological Variables on Future UAS-Based Atmospheric Profiling in the Lower Atmosphere. Remote Sensing. 2020; 12(18):2947. https://doi.org/10.3390/rs12182947
Chicago/Turabian StyleJacobs, Ariel M., Tyler M. Bell, Brian R. Greene, and Phillip B. Chilson. 2020. "The Effect of Climatological Variables on Future UAS-Based Atmospheric Profiling in the Lower Atmosphere" Remote Sensing 12, no. 18: 2947. https://doi.org/10.3390/rs12182947
APA StyleJacobs, A. M., Bell, T. M., Greene, B. R., & Chilson, P. B. (2020). The Effect of Climatological Variables on Future UAS-Based Atmospheric Profiling in the Lower Atmosphere. Remote Sensing, 12(18), 2947. https://doi.org/10.3390/rs12182947

