Multisatellite-Based Feeding Habitat Suitability Modeling of Albacore Tuna in the Southern Atlantic Ocean
Abstract
1. Introduction
2. Materials and Methods
2.1. Albacore Tuna Fishing Fleet Data
2.2. Nominal CPUE Standardization
2.3. Satellite Remote Sensing Data
2.4. Suitability Index of CPUE and Environmental Variables
2.5. Development of the HSI Model
2.6. Model Selection and Validation
3. Results
3.1. Spatiotemporal Variations in Fishing Effort, Catch, and CPUE in the SAO
3.2. Remotly Sensed Environmental Variables in the SAO
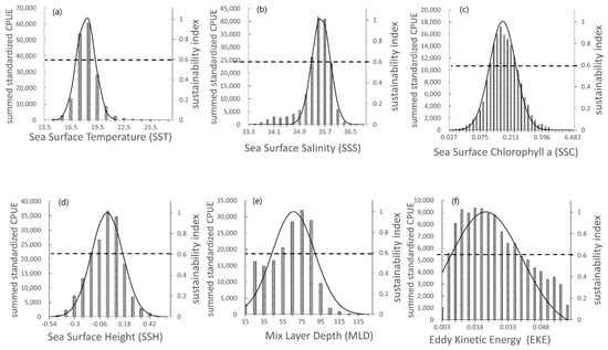
3.3. SI Curves and HSI Modeling of Albacore
3.4. HSI Model Validation
4. Discussion
5. Conclusions
Supplementary Materials
Author Contributions
Funding
Acknowledgments
Conflicts of Interest
References
- Belkin, I.M.; O’Reilly, J.E. An algorithm for oceanic front detection in chlorophyll and SST satellite imagery. J. Mar. Syst. 2009, 78, 319–326. [Google Scholar] [CrossRef]
- Shimada, T.; Sakaida, F.; Kawamura, H.; Okumura, T. Application of an edge detection method to satellite images for distinguishing sea surface temperature fronts near the Japanese coast. Remote Sens. Environ. 2005, 98, 21–34. [Google Scholar] [CrossRef]
- Wall, C.C.; Muller-Karger, F.E.; Roffer, M.A.; Hu, C.; Yao, W.; Luther, M.E. Satellite remote sensing of surface oceanic fronts in coastal waters off west-central Florida. Remote Sens. Environ. 2008, 112, 2963–2976. [Google Scholar] [CrossRef]
- Lan, K.W.; Lu, H.J.; Shimada, T.; Kawamura, H.; Lee, M.A.; Hosoda, K.; Sakaida, F. Relationship between albacore (Thunnus alalunga) fishing grounds in the Indian Ocean and the thermal environment revealed by cloud-free microwave sea surface temperature. Fish. Res. 2011, 113, 1–7. [Google Scholar] [CrossRef]
- Montgomery, D. Commercial applications of satellite oceanography. Earth Resour. Remote Sens. 1981, 24, 56–65. [Google Scholar]
- Laurs, R.M.; Fiedler, P.C.; Montgomery, D.R. Albacore tuna catch distributions relative to environmental features observed from satellites. Deep Sea Res. Part A Oceanogr. Res. Pap. 1984, 31, 1085–1099. [Google Scholar] [CrossRef]
- Chen, X.; Tian, S.; Chen, Y.; Liu, B. A modeling approach to identify optimal habitat and suitable fishing grounds for neon flying squid (Ommostrephes bartramii) in the northwest pacific ocean. Fish. Bull. 2010, 108, 1–14. [Google Scholar]
- Zainuddin, M.; Saitoh, S.; Saitoh, K. Detection of potential fishing ground for albacore tuna using synoptic measurements of ocean color and thermal remote sensing in the northwestern North Pacific. Geophys. Res. Lett. 2004, 31. [Google Scholar] [CrossRef]
- Zainuddin, M.; Saitoh, K.; Saitoh, S. Albacore (Thunnus alalunga) fishing ground in relation to oceanographic conditions in the western North Pacific Ocean using remotely sensed satellite data. Wiley Online Libr. 2008, 17, 61–73. [Google Scholar] [CrossRef]
- Lan, K.W.; Lee, M.A.; Chou, C.P.; Vayghan, A.H. Association between the interannual variation in the oceanic environment and catch rates of bigeye tuna (Thunnus obesus) in the Atlantic Ocean. Fish. Oceanogr. 2018, 27, 395–407. [Google Scholar] [CrossRef]
- Nieto, K.; Xu, Y.; Teo, S.L.H.; McClatchie, S.; Holmes, J. How important are coastal fronts to albacore tuna (Thunnus alalunga) habitat in the northeast pacific ocean? Prog. Oceanogr. 2017, 150, 62–71. [Google Scholar] [CrossRef]
- Stuart, V.; Platt, T.; Sathyendranath, S. The future of fisheries science in management: A remote-sensing perspective. ICES J. Mar. Sci. 2011, 68, 644–650. [Google Scholar] [CrossRef]
- Lan, K.W.; Nishida, T.; Lee, M.A.; Lu, H.J.; Huang, H.W.; Chang, S.K.; Lan, Y.C. Influence of the marine environment variability on the yellowfin tuna (Thunnus albacares) catch rate by the taiwanese longline fishery in the arabian sea, with special reference to the high catch in 2004. J. Mar. Sci. Tech. 2012, 20, 514–524. [Google Scholar] [CrossRef]
- Klemas, V. Remote sensing of environmental indicators of potential fish aggregation: An overview. Baltica 2012, 25, 99–112. [Google Scholar] [CrossRef]
- Juan-Jordá, M.J.; Murua, H.; Arrizabalaga, H.; Dulvy, N.K.; Restrepo, V. Report card on ecosystem-based fisheries management in tuna regional fisheries management organizations. Fish Fish. 2018, 19, 321–339. [Google Scholar] [CrossRef]
- Syamsuddin, M.; Saitoh, S.-I.; Hirawake, T.; Syamsudin, F.; Zainuddin, M. Interannual variation of bigeye tuna (Thunnus obesus) hotspots in the eastern Indian Ocean off Java. Int. J. Remote Sens. 2016, 37, 2087–2100. [Google Scholar] [CrossRef]
- Arrizabalaga, H.; Dufour, F.; Kell, L.; Merino, G.; Ibaibarriaga, L.; Chust, G.; Irigoien, X.; Santiago, J.; Murua, H.; Fraile, I.; et al. Global habitat preferences of commercially valuable tuna. Deep Sea Res. Part II Top. Stud. Oceanogr. 2015, 113, 102–112. [Google Scholar] [CrossRef]
- Lan, K.W.; Lee, M.A.; Lu, H.J.; Shieh, W.J.; Lin, W.K.; Kao, S.C. Ocean variations associated with fishing conditions for yellowfin tuna (Thunnus albacares) in the equatorial Atlantic Ocean. ICES J. Mar. Sci. 2011, 68, 1063–1071. [Google Scholar] [CrossRef]
- Mugo, R.; Saitoh, S.I.; Nihira, A.; Kuroyama, T. Habitat characteristics of skipjack tuna (Katsuwonus pelamis) in the western North Pacific: A remote sensing perspective. Fish. Oceanogr. 2010, 19, 382–396. [Google Scholar] [CrossRef]
- Su, N.J.; Yeh, S.Z.; Sun, C.L.; Punt, A.E.; Chen, Y.; Wang, S.P. Standardizing catch and effort data of the Taiwanese distant-water longline fishery in the western and central Pacific Ocean for bigeye tuna, Thunnus obesus. Fish. Res. 2008, 90, 235–246. [Google Scholar] [CrossRef]
- Tian, S.; Chen, X.; Chen, Y.; Xu, L.; Dai, X. Standardizing CPUE of Ommastrephes bartramii for Chinese squid-jigging fishery in Northwest Pacific Ocean. Chin. J. Oceanol. Limnol. 2009, 27, 729. [Google Scholar] [CrossRef]
- Maunder, M.N.; Hinton, M.G.; Bigelow, K.A.; Langley, A.D. Developing indices of abundance using habitat data in a statistical framework. Bull. Mar. Sci. 2006, 79, 545–559. [Google Scholar]
- Maunder, M.N.; Thorson, J.T.; Xu, H.; Oliveros-Ramos, R.; Hoyle, S.D.; Tremblay-Boyer, L.; Lee, H.H.; Kai, M.; Chang, S.-K.; Kitakado, T. The need for spatio-temporal modeling to determine catch-per-unit effort based indices of abundance and associated composition data for inclusion in stock assessment models. Fish. Res. 2020, 229, 105594. [Google Scholar] [CrossRef]
- Vayghan, A.H.; Zarkami, R.; Sadeghi, R.; Fazli, H. Modeling habitat preferences of Caspian kutum, Rutilus frisii kutum (Kamensky, 1901)(Actinopterygii, Cypriniformes) in the Caspian Sea. Hydrobiologia 2016, 766, 103–119. [Google Scholar] [CrossRef]
- Vayghan, A.H.; Poorbagher, H.; Shahraiyni, H.T.; Fazli, H.; Saravi, H.N. Suitability indices and habitat suitability index model of Caspian kutum (Rutilus frisii kutum) in the southern Caspian Sea. Aquat. Ecol. 2013, 47, 441–451. [Google Scholar] [CrossRef]
- Vayghan, A.H.; Fazli, H.; Ghorbani, R.; Lee, M.A.; SARAVI, H.N. Temporal habitat suitability modeling of Caspian shad (Alosa spp.) in the southern Caspian Sea. J. Limnol. 2016, 75, 210–223. [Google Scholar] [CrossRef]
- Van der Lee, G.E.M.; Van der Molen, D.T.; Van den Boogaard, H.F.P.; Van der Klis, H. Uncertainty analysis of a spatial habitat suitability model and implications for ecological management of water bodies. Landsc. Ecol. 2006, 21, 1019–1032. [Google Scholar] [CrossRef]
- Lee, M.A.; Weng, J.S.; Lan, K.W.; Vayghan, A.H.; Wang, Y.C.; Chan, J.W. Empirical habitat suitability model for immature albacore tuna in the North Pacific Ocean obtained using multisatellite remote sensing data. Int. J. Remote Sens. 2020, 41, 5819–5837. [Google Scholar] [CrossRef]
- Wang, J.; Yu, W.; Chen, X.; Lei, L.; Chen, Y. Detection of potential fishing zones for neon flying squid based on remote-sensing data in the Northwest Pacific Ocean using an artificial neural network. Int. J. Remote Sens. 2015, 36, 3317–3330. [Google Scholar] [CrossRef]
- Wang, W.; Zhou, C.; Shao, Q.; Mulla, D.J. Remote sensing of sea surface temperature and chlorophyll-a: Implications for squid fisheries in the north-west Pacific Ocean. Int. J. Remote Sens. 2010, 31, 4515–4530. [Google Scholar] [CrossRef]
- Alabia, I.D.; Saitoh, S.I.; Igarashi, H.; Ishikawa, Y.; Imamura, Y. Spatial habitat shifts of oceanic cephalopod (ommastrephes bartramii) in oscillating climate. Remote Sens. 2020, 12, 521. [Google Scholar] [CrossRef]
- Lan, K.W.; Chang, Y.J.; Wu, Y.L. Influence of oceanographic and climatic variability on the catch rate of yellowfin tuna (Thunnus albacares) cohorts in the Indian Ocean. Deep Sea Res. Part II Top. Stud. Oceanogr. 2019, 104681. [Google Scholar] [CrossRef]
- Matsumoto, T. Standardization of CPUE for south Atlantic albacore (Thunnus alalunga) by the Japanese longline fishery using revised method. Collect. Vol. Sci. Pap. ICCAT 2017, 74, 584–597. [Google Scholar]
- Zhang, K.; Liu, Q.; Kalhoro, M.A. Application of a Delay-difference model for the stock assessment of southern Atlantic albacore (Thunnus alalunga). J. Ocean. Univ. China 2015, 14, 557–563. [Google Scholar] [CrossRef]
- Lee, L.K.; Yeh, S.Y. Assessment of south Atlantic albacore resource based on 1959–2005 catch and effort statistics from ICCAT. ICCAT Collect. 2008, 62, 870–883. [Google Scholar]
- Nikolic, N.; Morandeau, G.; Hoarau, L.; West, W.; Arrizabalaga, H.; Hoyle, S.; Nicol, S.J.; Bourjea, J.; Puech, A.; Farley, J.H.; et al. Review of albacore tuna, Thunnus alalunga, biology, fisheries and management. Rev. Fish Biol. Fish. 2017, 27, 775–810. [Google Scholar] [CrossRef]
- ICCAT. Report of the 2013 Iccat North and South Atlantic Albacore Stock Assessment Meeting; Sukarrieta, Spain, 17–24 June 2013. Available online: https://www.iccat.int/Documents/Meetings/Docs/2013_ALB_ASSESS_REP_ENG.pdf (accessed on 20 March 2020).
- Zainuddin, M.; Kiyofuji, H.; Saitoh, K.; Saitoh, S.-I. Using multi-sensor satellite remote sensing and catch data to detect ocean hot spots for albacore (Thunnus alalunga) in the northwestern North Pacific. Deep Sea Res. Part II Top. Stud. Oceanogr. 2006, 53, 419–431. [Google Scholar] [CrossRef]
- Chen, I.C.; Lee, P.F.; Tzeng, W.N. Distribution of albacore (Thunnus alalunga) in the Indian Ocean and its relation to environmental factors. Fish. Oceanogr. 2005, 14, 71–80. [Google Scholar] [CrossRef]
- Lee, M.A.; Vayghan, A.H.; Liu, D.C.; Yang, W.C. Potential and prospective seasonal distribution of hotspot habitat of albacore tuna (Thunnus alalunga) in the South Indian Ocean using the satellite data. In Proceedings of the International Geoscience and Remote Sensing Symposium (IGARSS), Fort Worth, TX, USA, 23–28 July 2017. [Google Scholar]
- Chang, F.C.; Yeh, S.Y. Standardized CPUE of South Atlantic albacore (Thunnus alalunga) based on Taiwanese longline catch and effort statistics dating from 1967 to 2012. Collect. Vol. Sci. Pap. ICCAT 2014, 70, 1234–1246. [Google Scholar]
- Schaefer, K.M. Reproductive biology of tunas. In Fish Physiology; Academic Press: Cambridge, MA, USA, 2001; Volume 19, pp. 225–270. ISBN 1546-5098. [Google Scholar]
- Marano, G.; De Zio, V.; Pastorelli, A.M.; Rositani, L.; Ungaro, N.; Vlora, A. Synopsis on the biology and fisheries on Thunnus alalunga (Bonnaterre, 1788). Biol. Mar. Medit. 1999, 6, 192–214. [Google Scholar]
- Ortiz de Zárate, V.; Cort, J.L. Albacore (Thunnus alalunga, Bonnaterre) stock structure in the Atlantic Ocean, as inferred from distribution and migration patterns. In Proceedings of the ICCAT Tuna Symposium, Madrid, Spain, 10 June 1998; Beckett, J.E., Ed.; Volume 1, pp. 251–260. [Google Scholar]
- Singh, A.A.; Sakuramoto, K.; Suzuki, N.; Roshni, S.; Nath, P.; Kalla, A. Environmental conditions are important influences on the recruitment of North Pacific albacore tuna, Thunnus alalunga. Appl. Ecol. Environ. Res. 2017, 15, 299–319. [Google Scholar] [CrossRef]
- Pauly, D.; Zeller, D. Catch reconstructions reveal that global marine fisheries catches are higher than reported and declining. Nat. Commun. 2016, 7, 1–9. [Google Scholar] [CrossRef] [PubMed]
- Wang, S.P. Data analysis and CPUE standardization of albacore caught by Taiwanese longline fishery in the Indian Ocean. IOTC–2019–WPTmT07 (DP)–14_Rev1. In Proceedings of the Working Party on Temperate Tuna (WPTmT), Kuala Lumpur, Malaysia, 14–17 January 2019. [Google Scholar]
- Maunder, M.N.; Punt, A.E. Standardizing catch and effort data: A review of recent approaches. Fish. Res. 2004, 70, 141–159. [Google Scholar] [CrossRef]
- Tian, S.; Chen, X.; Chen, Y.; Xu, L.; Dai, X. Evaluating habitat suitability indices derived from CPUE and fishing effort data for ommatrephes bratramii in the northwestern Pacific Ocean. Fish. Res. 2009, 95, 181–188. [Google Scholar] [CrossRef]
- Chen, X.; Li, G.; Feng, B.; Tian, S. Habitat suitability index of chub mackerel (scomber japonicus) from july to september in the east china sea. J. Oceanogr. 2009, 65, 93–102. [Google Scholar] [CrossRef]
- Lee, D.; Son, S.H.; Lee, C.I.; Kang, C.K.; Lee, S.H. Spatio-temporal variability of the habitat suitability index for the todarodes pacificus (japanese common squid) around south korea. Remote Sens. 2019, 11, 2720. [Google Scholar] [CrossRef]
- Lee, D.; Son, S.; Kim, W.; Park, J.M.; Joo, H.; Lee, S.H. Spatio-temporal variability of the habitat suitability index for chub mackerel (scomber japonicus) in the east/japan sea and the south sea of south korea. Remote Sens. 2018, 10, 938. [Google Scholar] [CrossRef]
- Hess, G.R.; Bay, J.M. A regional assessment of windbreak habitat suitability. Environ. Monit. Assess. 2000, 61, 239–256. [Google Scholar] [CrossRef]
- Lauver, C.L.; Busby, W.H.; Whistler, J.L. Testing a GIS model of habitat suitability for a declining grassland bird. Environ. Manag. 2002, 30, 88–97. [Google Scholar] [CrossRef]
- Brooks, R.P. Improving habitat suitability index models. Wildl. Soc. Bull. 1997, 25, 163–167. [Google Scholar]
- Merino, G.; Arrizabalaga, H.; Arregui, I.; Santiago, J.; Murua, H.; Urtizberea, A.; Andonegi, E.; De Bruyn, P.; Kell, L.T. Adaptation of north atlantic albacore fishery to climate change: Yet another potential benefit of harvest control rules. Front. Mar. Sci. 2019, 6. [Google Scholar] [CrossRef]
- Hobday, A.J.; Hartmann, K. Near real-time spatial management based on habitat predictions for a longline bycatch species. Fish. Manag. Ecol. 2006, 13, 365–380. [Google Scholar] [CrossRef]
- Dufour, F.; Arrizabalaga, H.; Irigoien, X.; Santiago, J. Climate impacts on albacore and bluefin tunas migrations phenology and spatial distribution. Prog. Oceanogr. 2010, 86, 283–290. [Google Scholar] [CrossRef]
- Sagarminaga, Y.; Arrizabalaga, H. Spatio-temporal distribution of albacore (Thunnus alalunga) catches in the northeastern Atlantic: Relationship with the thermal environment. Fish. Oceanogr. 2010, 19, 121–134. [Google Scholar] [CrossRef]
- Phillips, A.J.; Ciannelli, L.; Brodeur, R.D.; Pearcy, W.G.; Childers, J. Spatio-temporal associations of albacore CPUEs in the Northeastern Pacific with regional SST and climate environmental variables. ICES J. Mar. Sci. 2014, 71, 1717–1727. [Google Scholar] [CrossRef]
- Lezama-Ochoa, A.; Boyra, G.; Goñi, N.; Arrizabalaga, H.; Bertrand, A. Investigating relationships between albacore tuna (Thunnus alalunga) CPUE and prey distribution in the Bay of Biscay. Prog. Oceanogr. 2010, 86, 105–114. [Google Scholar] [CrossRef]
- Farley, J.H.; Williams, A.J.; Hoyle, S.D.; Davies, C.R.; Nicol, S.J. Reproductive dynamics and potential annual fecundity of South Pacific albacore tuna (Thunnus alalunga). PLoS ONE 2013, 8, e60577. [Google Scholar] [CrossRef]
- Polovina, J.J.; Howell, E.; Kobayashi, D.R.; Seki, M.P. The transition zone chlorophyll front, a dynamic global feature defining migration and forage habitat for marine resources. Prog. Oceanogr. 2001, 49, 469–483. [Google Scholar] [CrossRef]
- Briand, K.; Molony, B.; Lehodey, P. A study on the variability of albacore (Thunnus alalunga) longline catch rates in the southwest Pacific Ocean. Fish. Oceanogr. 2011, 20, 517–529. [Google Scholar] [CrossRef]
- Cosgrove, R.; Arregui, I.; Arrizabalaga, H.; Goni, N.; Sheridan, M. New insights to behaviour of North Atlantic albacore tuna (Thunnus alalunga) observed with pop-up satellite archival tags. Fish. Res. 2014, 150, 89–99. [Google Scholar] [CrossRef]
- Goni, N.; Arregui, I.; Lezama, A.; Arrizabalaga, H.; Moreno, G. Small scale vertical behaviour of juvenile albacore in relation to their biotic environment in the Bay of Biscay. In Tagging and Tracking of Marine Animals with Electronic Devices; Nielsen, J.L., Arrizabalaga, H., Fragoso, N., Hobday, A., Lutcavage, M., Sibert, J., Eds.; Springer: Cham, Switzerland, 2009; pp. 51–73. [Google Scholar]
- Williams, A.J.; Allain, V.; Nicol, S.J.; Evans, K.J.; Hoyle, S.D.; Dupoux, C.; Vourey, E.; Dubosc, J. Vertical behavior and diet of albacore tuna (Thunnus alalunga) vary with latitude in the South Pacific Ocean. Deep Sea Res. Part II Top. Stud. Oceanogr. 2015, 113, 154–169. [Google Scholar] [CrossRef]
- Allain, C.; Aloncle, H.; Wise, J.P. Albacore Migrations between Portugal and the Southwest of Ireland as a Function of Environmental Temperature Variation. Bulletin d’Information et Documentation de l’Institut Scientifique et Technique des Pêches Maritimes. 1969. Available online: http://www.documentation.ird.fr/hor/fdi:010026596 (accessed on 14 February 2020).
- Childers, J.; Snyder, S.; Kohin, S. Migration and behavior of juvenile North Pacific albacore (Thunnus alalunga). Fish. Oceanogr. 2011, 20, 157–173. [Google Scholar] [CrossRef]
- De Boyer Montégut, C.; Madec, G.; Fischer, A.S.; Lazar, A.; Iudicone, D. Mixed layer depth over the global ocean: An examination of profile data and a profile-based climatology. J. Geophys. Res. Ocean. 2004, 109. [Google Scholar] [CrossRef]
- Kobashi, F.; Kubokawa, A. Review on north pacific subtropical countercurrents and subtropical fronts: Role of mode waters in ocean circulation and climate. J. Oceanogr. 2012, 68, 21–43. [Google Scholar] [CrossRef]
- Qiu, C.; Kawamura, H.; Mao, H.; Wu, J. Sea surface height and mixed layer depth responses to sea surface temperature in northwestern Pacific subtropical front zone from spring to summer. Ocean. Sci. Discuss. 2015, 12, 83–101. [Google Scholar] [CrossRef]
- Teo, S.L.H.; Block, B.A. Comparative influence of ocean conditions on yellowfin and Atlantic bluefin tuna catch from longlines in the Gulf of Mexico. PLoS ONE 2010, 5, e10756. [Google Scholar] [CrossRef] [PubMed]
- Teo, S.L.H.; Boustany, A.M.; Block, B.A. Oceanographic preferences of Atlantic bluefin tuna, Thunnus thynnus, on their Gulf of Mexico breeding grounds. Mar. Biol. 2007, 152, 1105–1119. [Google Scholar] [CrossRef]
- Olson, D.B.; Hitchcock, G.L.; Mariano, A.J.; Ashjian, C.J.; Peng, G.; Nero, R.W.; Podestá, G.P. Life on the edge: Marine life and fronts. Oceanography 1994, 7, 52–60. [Google Scholar] [CrossRef]
- Olson, D.B. Rings in the ocean. Annu. Rev. Earth Planet. Sci. 1991, 19, 283–311. [Google Scholar] [CrossRef]
- Bakun, A. Fronts and eddies as key structures in the habitat of marine fish larvae: Opportunity, adaptive response and competitive advantage. Sci. Mar. 2006, 70, 105–122. [Google Scholar] [CrossRef]
- Burls, N.J.; Reason, C.J.C. Sea surface temperature fronts in the midlatitude South Atlantic revealed by using microwave satellite data. J. Geophys. Res. Ocean. 2006, 111. [Google Scholar] [CrossRef]
- Sagarminaga, Y.; Arrizabalaga, H. Relationship of Northeast Atlantic albacore juveniles with surface thermal and chlorophyll-a fronts. Deep-Sea Res. Part II 2014, 107, 54–63. [Google Scholar] [CrossRef]
- Lehodey, P.; Senina, I.; Dragon, A.C.; Arrizabalaga, H. Spatially explicit estimates of stock size, structure and biomass of North Atlantic albacore tuna (Thunnus alalunga). Earth Syst. Sci. Data 2014, 6, 317–329. [Google Scholar] [CrossRef]
- Chust, G.; Goikoetxea, N.; Ibaibarriaga, L.; Sagarminaga, Y.; Arregui, I.; Fontán, A.; Irigoien, X.; Arrizabalaga, H. Earlier migration and distribution changes of albacore in the Northeast Atlantic. Fish. Oceanogr. 2019, 28, 505–516. [Google Scholar] [CrossRef]
- Senina, I.N.; Lehodey, P.; Hampton, J.; Sibert, J. Quantitative modelling of the spatial dynamics of South Pacific and Atlantic albacore tuna populations. Deep Res. Part II Top. Stud. Oceanogr. 2019, 104667. [Google Scholar] [CrossRef]








| Habitat Variables | Units | Data Source | Resolution |
|---|---|---|---|
| Sea Surface Temperature (SST) | °C | MODIS | 4 km × 4 km |
| Sea surface chlorophyll-a (SSC) | mg m−3 | MODIS | 4 km × 4 km |
| Sea Surface Salinity (SSS) | psu | MOVE-MRI | 10 km × 10 km |
| Sea Surface Height (SSH) | cm | AVISO | 25 km × 25 km |
| Mixed Layer Depth (MLD) | m | HYCOM | 1/12° × 1/12° |
| Eddy Kinetic Energy (EKE) | m2 s−2 | AVISO | 25 km × 25 km |
| Environmental Variables | AMM | GMM | ||||||||||
|---|---|---|---|---|---|---|---|---|---|---|---|---|
| α | β | P(F) | Adjusted R2 | AIC | ΔAICw | α | β | P(F) | Adjusted R2 | AIC | ΔAICw | |
| sst | 0.959 | 0.051 | <0.001 | 0.74 | −61.75 | 15.88 | 0.959 | 0.051 | <0.001 | 0.74 | −61.75 | 8.74 |
| sst, ssc | 0.097 | 0.041 | <0.001 | 0.90 | −77.63 | 0.00 | 0.095 | 0.052 | <0.001 | 0.84 | −67.77 | 2.72 |
| sst, mld | 0.100 | 0.039 | <0.001 | 0.61 | −61.3 | 16.33 | 0.081 | 0.075 | <0.001 | 0.86 | −61.67 | 8.82 |
| sst, ssh | 0.067 | 0.089 | <0.001 | 0.91 | −62.63 | 15 | 0.098 | 0.045 | <0.001 | 0.70 | −62.65 | 7.84 |
| sst, sss | 0.088 | 0.057 | <0.001 | 0.91 | −71.62 | 6.01 | 0.099 | 0.040 | <0.001 | 0.67 | −63.20 | 7.29 |
| sst, eke | 0.116 | 0.015 | <0.001 | 0.15 | −62.74 | 14.89 | 0.113 | 0.016 | <0.001 | 0.23 | −64.66 | 5.83 |
| sst, ssc, mld | 0.067 | 0.089 | <0.001 | 0.89 | −61.4 | 16.23 | 0.083 | 0.071 | <0.001 | 0.93 | −70.49 | 0.00 |
| sst, ssc, ssh | 0.099 | 0.038 | <0.001 | 0.65 | −63.56 | 14.07 | 0.094 | 0.053 | <0.001 | 0.85 | −67.80 | 2.69 |
| sst, ssc, sss | 0.095 | 0.047 | <0.001 | 0.73 | −63.06 | 14.57 | 0.101 | 0.041 | <0.001 | 0.70 | −64.46 | 6.03 |
| sst, ssc, eke | 0.116 | 0.017 | <0.001 | 0.15 | −60.39 | 17.24 | 0.109 | 0.025 | <0.001 | 0.32 | −59.76 | 10.73 |
| sst, mld, ssh | 0.073 | 0.076 | <0.001 | 0.91 | −65.91 | 11.72 | 0.083 | 0.069 | <0.001 | 0.88 | −65.60 | 4.89 |
| sst, mld, sss | 0.062 | 0.095 | <0.001 | 0.84 | −55.26 | 22.37 | 0.099 | 0.044 | <0.001 | 0.61 | −59.27 | 11.22 |
| sst, mld, eke | 0.081 | 0.068 | <0.001 | 0.83 | −61.75 | 15.88 | 0.111 | 0.023 | <0.001 | 0.35 | −62.93 | 7.56 |
| sst, ssh, sss | 0.098 | 0.041 | <0.001 | 0.88 | −75.57 | 2.06 | 0.108 | 0.028 | <0.001 | 0.53 | −64.96 | 5.53 |
| sst, ssh, eke | 0.113 | 0.018 | <0.001 | 0.63 | −77.63 | 0.00 | 0.118 | 0.009 | <0.001 | 0.04 | −66.49 | 4.00 |
| sst, sss, eke | 0.116 | 0.017 | <0.001 | 0.30 | −66.21 | 11.42 | 0.110 | 0.019 | <0.001 | 0.10 | −54.95 | 15.54 |
| sst, ssc, mld, ssh | 0.050 | 0.103 | <0.001 | 0.94 | −65 | 12.63 | 0.082 | 0.073 | <0.001 | 0.92 | −67.89 | 2.60 |
| sst, ssc, mld, sss | 0.097 | 0.061 | <0.001 | 0.88 | −58.06 | 19.57 | 0.099 | 0.046 | <0.001 | 0.67 | −60.73 | 9.76 |
| sst, ssc, mld, eke | 0.070 | 0.077 | <0.001 | 0.61 | −41.49 | 36.14 | 0.108 | 0.031 | <0.001 | 0.42 | −58.85 | 11.64 |
| sst, ssc, ssh, sss | 0.108 | 0.026 | <0.001 | 0.20 | −46.65 | 30.98 | 0.105 | 0.036 | <0.001 | 0.57 | −61.58 | 8.91 |
| sst, ssc, ssh, eke | 0.158 | −0.045 | <0.001 | 0.03 | −44.22 | 33.41 | 0.113 | 0.020 | <0.001 | 0.21 | −60.16 | 10.33 |
| sst, mld, ssh, sss | 0.057 | 0.090 | <0.001 | 0.88 | −50.85 | 26.78 | 0.104 | 0.037 | <0.001 | 0.57 | −61.41 | 9.08 |
| sst, mld, ssh, eke | 0.111 | 0.018 | <0.001 | 0.43 | −58.73 | 18.9 | 0.113 | 0.018 | <0.001 | 0.21 | −61.46 | 9.03 |
| sst, mld, sss, eke | 0.096 | 0.040 | <0.001 | 0.62 | −52.1 | 25.53 | 0.109 | 0.024 | <0.001 | 0.18 | −55.09 | 15.40 |
| sst, ssc, mld, ssh, sss | 0.072 | 0.074 | <0.001 | 0.94 | −59.7 | 17.93 | 0.102 | 0.043 | <0.001 | 0.61 | −59.98 | 10.51 |
| sst, ssc, mld, ssh, eke | 0.092 | 0.049 | <0.001 | 0.84 | −57.7 | 19.93 | 0.109 | 0.032 | <0.001 | 0.37 | −56.83 | 13.66 |
| sst, ssc, mld, sss, eke | 0.113 | 0.021 | <0.001 | 0.16 | −48.71 | 28.92 | 0.107 | 0.031 | <0.001 | 0.24 | −52.38 | 18.11 |
| sst, ssc, sss, ssh, eke | 0.150 | −0.025 | <0.001 | 0.05 | −41.51 | 36.12 | 0.110 | 0.025 | <0.001 | 0.13 | −51.38 | 19.11 |
| sst, mld, sss, ssh, eke | 0.087 | 0.053 | <0.001 | 0.55 | −45.77 | 31.86 | 0.114 | 0.016 | <0.001 | 0.04 | −54.32 | 16.17 |
| sst, ssc, mld, ssh, sss, eke | 0.110 | 0.028 | <0.001 | 0.37 | −50.51 | 27.12 | 0.111 | 0.026 | <0.001 | 0.15 | −52.25 | 18.24 |
© 2020 by the authors. Licensee MDPI, Basel, Switzerland. This article is an open access article distributed under the terms and conditions of the Creative Commons Attribution (CC BY) license (http://creativecommons.org/licenses/by/4.0/).
Share and Cite
Vayghan, A.H.; Lee, M.-A.; Weng, J.-S.; Mondal, S.; Lin, C.-T.; Wang, Y.-C. Multisatellite-Based Feeding Habitat Suitability Modeling of Albacore Tuna in the Southern Atlantic Ocean. Remote Sens. 2020, 12, 2515. https://doi.org/10.3390/rs12162515
Vayghan AH, Lee M-A, Weng J-S, Mondal S, Lin C-T, Wang Y-C. Multisatellite-Based Feeding Habitat Suitability Modeling of Albacore Tuna in the Southern Atlantic Ocean. Remote Sensing. 2020; 12(16):2515. https://doi.org/10.3390/rs12162515
Chicago/Turabian StyleVayghan, Ali Haghi, Ming-An Lee, Jinn-Shing Weng, Sandipan Mondal, Ching-Te Lin, and Yi-Chen Wang. 2020. "Multisatellite-Based Feeding Habitat Suitability Modeling of Albacore Tuna in the Southern Atlantic Ocean" Remote Sensing 12, no. 16: 2515. https://doi.org/10.3390/rs12162515
APA StyleVayghan, A. H., Lee, M.-A., Weng, J.-S., Mondal, S., Lin, C.-T., & Wang, Y.-C. (2020). Multisatellite-Based Feeding Habitat Suitability Modeling of Albacore Tuna in the Southern Atlantic Ocean. Remote Sensing, 12(16), 2515. https://doi.org/10.3390/rs12162515

