Mapping of Peat Thickness Using a Multi-Receiver Electromagnetic Induction Instrument
Abstract
1. Introduction
2. Materials and Methods
2.1. Study Area
2.2. Soil Observations and Sampling Design
2.3. DUALEM-421S Data Collection
2.4. DUALEM-421S Data Processing and Inversion
2.5. Environmental Covariates
2.6. Predictive Modelling of Peat Thickness
3. Results and Discussion
3.1. Preliminary Analysis of ECa Data
3.2. Spatial Distribution of Peat Thickness and ECa
3.3. Direct Correlation between Peat Thickness and Predictor Variables
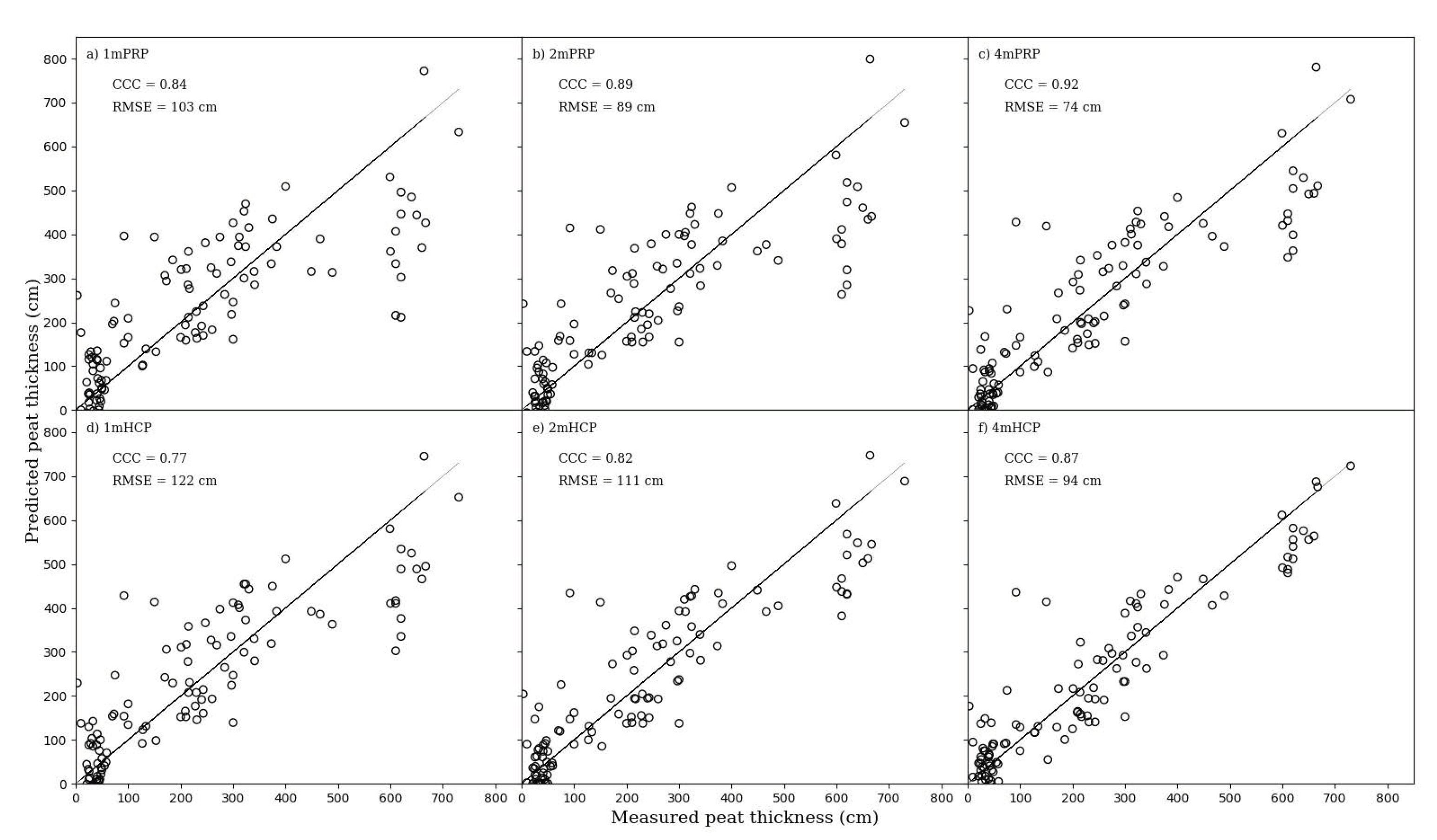
3.4. Predicting Peat Thickness with ECa Data from Single-Coil Configurations
3.5. Predicting Peat Thickness with Combinations of ECa Data and Environmental Covariates
3.6. Predicting Peat Thickness from Average Calculated Using a Quasi-3D Inversion Algorithm
3.7. Predictive Maps for Peat Thickness
3.8. Uncertainty Assessment
4. Conclusions
Author Contributions
Funding
Acknowledgments
Conflicts of Interest
References
- European Parliament. Inclusion of greenhouse gas emissions and removals from land use, land use change and forestry into the 2030 climate and energy framework. In P8-TA-PROV(2018)0096; Parliament, E., Ed.; European Parliament: Strasbourg, France, 2018. [Google Scholar]
- Holden, N.M.; Connolly, J. Estimating the carbon stock of a blanket peat region using a peat depth inference model. Catena 2011, 86, 75–85. [Google Scholar] [CrossRef]
- Parry, L.E.; Charman, D.J.; Noades, J.P. A method for modelling peat depth in blanket peatlands. Soil Use Manag. 2012, 28, 614–624. [Google Scholar] [CrossRef]
- Rudiyanto; Setiawan, B.I.; Arief, C.; Saptomo, S.K.; Gunawan, A.; Kuswarman; Sungkono; Indriyanto, H. Estimating Distribution of Carbon Stock in Tropical Peatland Using a Combination of an Empirical Peat Depth Model and GIS. Procedia Environ. Sci. 2015, 24, 152–157. [Google Scholar] [CrossRef]
- Hooijer, A.; Vernimmen, R. Peatland Maps for Indonesia. Including Accuracy Assessment and Recommendations for Improvement, Elevation Mapping and Evaluation of Future Flood Risk. Quick Assessment and Nationwide Screening (QANS) of Peat and Lowland Resources and Action Planning for the Implementation of a National Lowland Strategy-PVW3A10002; 2013; Available online: https://www.deltares.nl/app/uploads/2015/03/QANS-Peat-mapping-report-final-with-cover.pdf (accessed on 20 July 2020).
- Rudiyanto; Minasny, B.; Setiawan, B.I.; Arif, C.; Saptomo, S.K.; Chadirin, Y. Digital mapping for cost-effective and accurate prediction of the depth and carbon stocks in Indonesian peatlands. Geoderma 2016, 272, 20–31. [Google Scholar] [CrossRef]
- Aitkenhead, M.J. Mapping peat in Scotland with remote sensing and site characteristics. Eur. J. Soil Sci. 2017, 68, 28–38. [Google Scholar] [CrossRef]
- Rudiyanto; Minasny, B.; Setiawan, B.I.; Saptomo, S.K.; McBratney, A.B. Open digital mapping as a cost-effective method for mapping peat thickness and assessing the carbon stock of tropical peatlands. Geoderma 2018, 313, 25–40. [Google Scholar] [CrossRef]
- Young, D.M.; Parry, L.E.; Lee, D.; Ray, S. Spatial models with covariates improve estimates of peat depth in blanket peatlands. PLoS ONE 2018, 13, 1–19. [Google Scholar] [CrossRef] [PubMed]
- Asadi, A.; Huat, B.B. Electrical resistivity of tropical peat. Electron. J. Geotech. Eng. 2009, 14, 1–9. [Google Scholar]
- Ponziani, M.; Slob, E.C.; Ngan-Tillard, D.J.M.; Vanhala, H. Influence of water content on the electrical conductivity of peat. Int. Water Technol. J. 2011, 1, 14–21. [Google Scholar]
- Walter, J.; Lück, E.; Bauriegel, A.; Richter, C.; Zeitz, J. Multi-scale analysis of electrical conductivity of peatlands for the assessment of peat properties. Eur. J. Soil Sci. 2015, 66, 639–650. [Google Scholar] [CrossRef]
- Minasny, B.; Berglund, Ö.; Connolly, J.; Hedley, C.; de Vries, F.; Gimona, A.; Kempen, B.; Kidd, D.; Lilja, H.; Malone, B.; et al. Digital mapping of peatlands—A critical review. Earth-Sci. Rev. 2019, 196, 102870. [Google Scholar] [CrossRef]
- Silvestri, S.; Christensen, C.W.; Lysdahl, A.O.; Anschütz, H.; Pfaffhuber, A.A.; Viezzoli, A. Peatland Volume Mapping Over Resistive Substrates With Airborne Electromagnetic Technology. Geophys. Res. Lett. 2019, 46, 6459–6468. [Google Scholar] [CrossRef]
- Silvestri, S.; Knight, R.; Viezzoli, A.; Richardson, C.J.; Anshari, G.Z.; Dewar, N.; Flanagan, N.; Comas, X. Quantification of Peat Thickness and Stored Carbon at the Landscape Scale in Tropical Peatlands: A Comparison of Airborne Geophysics and an Empirical Topographic Method. J. Geophys. Res. Earth Surf. 2019, 124, 3107–3123. [Google Scholar] [CrossRef]
- Siemon, B.; Ibs-von Seht, M.; Frank, S. Airborne electromagnetic and radiometric peat thickness mapping of a bog in Northwest Germany (Ahlen-Falkenberger Moor). Remote Sens. 2020, 12, 203. [Google Scholar] [CrossRef]
- Siemon, B.; von Seht, M.I.; Steuer, A.; Deus, N.; Wiederhold, H. Airborne electromagnetic, magnetic, and radiometric surveys at the German North Sea coast applied to groundwater and soil investigations. Remote Sens. 2020, 12, 1629. [Google Scholar] [CrossRef]
- Theimer, B. Principles of Bog Characterization Using Ground Penetrating Radar. Master’s Thesis, University of Waterloo, Waterloo, ON, USA, 1990. [Google Scholar]
- Theimer, B.D.; Nobes, D.C.; Warner, B.G. A study of the geoelectrical properties of peatlands and their influence on ground-penetrating radar surveying. Geophys. Prospect. 1994, 42, 179–209. [Google Scholar] [CrossRef]
- Holden, J.; Burt, T.P.; Vilas, M. Application of ground-penetrating radar to the identification of subsurface piping in blanket peat. Earth Surf. Process. Landf. 2002, 27, 235–249. [Google Scholar] [CrossRef]
- Slater, L.D.; Reeve, A. Investigating peatland stratigraphy and hydrogeology using integrated electrical geophysics. Geophysics 2002, 67, 365–378. [Google Scholar] [CrossRef]
- Rosa, E.; Larocque, M.; Pellerin, S.; Gagné, S.; Fournier, B. Determining the number of manual measurements required to improve peat thickness estimations by ground penetrating radar. Earth Surf. Process. Landf. 2009, 34, 377–383. [Google Scholar] [CrossRef]
- Kettridge, N.; Comas, X.; Baird, A.; Slater, L.; Strack, M.; Thompson, D.; Jol, H.; Binley, A. Ecohydrologically important subsurface structures in peatlands revealed by ground-penetrating radar and complex conductivity surveys. J. Geophys. Res. Biogeosci. 2008, 113, 1–15. [Google Scholar] [CrossRef]
- Sass, O.; Friedmann, A.; Haselwanter, G.; Wetzel, K.F. Investigating thickness and internal structure of alpine mires using conventional and geophysical techniques. Catena 2010, 80, 195–203. [Google Scholar] [CrossRef]
- Viezzoli, A.; Christiansen, A.V.; Auken, E.; Sørensen, K. Quasi-3D modeling of airborne TEM data by spatially constrained inversion. Geophysics 2008, 73, F105–F113. [Google Scholar] [CrossRef]
- Auken, E.; Christiansen, A.V.; Kirkegaard, C.; Fiandaca, G.; Schamper, C.; Behroozmand, A.A.; Binley, A.; Nielsen, E.; Effersø, F.; Christensen, N.B.; et al. An overview of a highly versatile forward and stable inverse algorithm for airborne, ground-based and borehole electromagnetic and electric data. Explor. Geophys. 2015, 46, 223–235. [Google Scholar] [CrossRef]
- Davies, G.; Huang, J.; Monteiro Santos, F.A.; Triantafilis, J. Modeling coastal salinity in Quasi 2D and 3D using a DUALEM-421 and inversion software. Groundwater 2015, 53, 424–431. [Google Scholar] [CrossRef]
- Zare, E.; Beucher, A.; Huang, J.; Boman, A.; Mattbäck, S.; Greve, M.H.; Triantafilis, J. Three-dimensional imaging of active acid sulfate soil using a DUALEM-21S and EM inversion software. J. Environ. Manag. 2018, 212, 99–107. [Google Scholar] [CrossRef]
- Koganti, T.; Narjary, B.; Zare, E.; Pathan, A.L.; Huang, J.; Triantafilis, J. Quantitative mapping of soil salinity using the DUALEM-21S instrument and EM inversion software. Land Degrad. Dev. 2018, 29, 1768–1781. [Google Scholar] [CrossRef]
- Comas, X.; Slater, L.; Reeve, A.S. Pool patterning in a northern peatland: Geophysical evidence for the role of postglacial landforms. J. Hydrol. 2011, 399, 173–184. [Google Scholar] [CrossRef]
- Koszinski, S.; Miller, B.A.; Hierold, W.; Haelbich, H.; Sommer, M. Spatial Modeling of organic carbon in degraded Peatland soils of northeast Germany. Soil Sci. Soc. Am. J. 2015, 79, 1496–1508. [Google Scholar] [CrossRef]
- Altdorff, D.; Bechtold, M.; van der Kruk, J.; Vereecken, H.; Huisman, J.A. Mapping peat layer properties with multi-coil offset electromagnetic induction and laser scanning elevation data. Geoderma 2016, 261, 178–189. [Google Scholar] [CrossRef]
- Boaga, J.; Viezzoli, A.; Cassiani, G.; Deidda, G.P.; Tosi, L.; Silvestri, S. Resolving the thickness of peat deposits with contact-less electromagnetic methods: A case study in the Venice coastland. Sci. Total Environ. 2020, 737, 139361. [Google Scholar] [CrossRef]
- Kandel, T.P.; Elsgaard, L.; Lærke, P.E. Annual balances and extended seasonal modelling of carbon fluxes from a temperate fen cropped to festulolium and tall fescue under two-cut and three-cut harvesting regimes. GCB Bioenergy 2017, 9, 1690–1706. [Google Scholar] [CrossRef]
- Madsen, H.B.; Nørr, A.H.; Holst, K.A. The Danish Soil Classification. Atlas Over Denmark I Vol. 3; The Royal Danish Geographical Society: Copenhagen, Denmark, 1992. [Google Scholar]
- Knadel, M.; Thomsen, A.; Greve, M.H. Multisensor on-the-go mapping of soil organic carbon content. Soil Sci. Soc. Am. J. 2011, 75, 1799–1806. [Google Scholar] [CrossRef]
- Wang, P.R. Teknisk Rapport 12-23. Referenceværdier: Måneds- og årskort 2001–2010, Danmark for Temperatur, Relativ Luftfugtighed, Vindhastighed, Globalstråling og Nedbør; 2013; pp. 1–40. Available online: https://www.dmi.dk/fileadmin/Rapporter/TR/tr12-23.pdf (accessed on 20 July 2020).
- Agency for Data Supply and Efficiency, GeoDanmark. 2019. Available online: https://sdfe.dk/hent-data/fotos-og-509geodanmark-data/ (accessed on 20 July 2020).
- ESRI. ArcGIS Desktop: Release 10.7.1; Environmental Systems Research Institute: Redlands, CA, USA, 2019. [Google Scholar]
- Everett, M. Electromagnetic induction. Near-Surface Applied Geophysics; Cambridge University Press: New York, NY, USA, 2013; pp. 200–238. [Google Scholar]
- McNeill, J.D. Electromagnetic Terrain Conductivity Measurement at Low Induction Numbers: Technical Note TN-6; Geonic Ltd.: Mississauga, ON, Canada, 1980. [Google Scholar]
- Dualem, Inc. DUALEM-21S User’s Manual; Dualem Inc.: Milton, ON, Canada, 2008. [Google Scholar]
- Auken, E.; Viezzoli, A.; Christensen, A. A single software for processing, inversion, and presentation of AEM data of different systems: The Aarhus Workbench. ASEG Ext. Abstr. 2009, 2009, 1. [Google Scholar] [CrossRef]
- Sharp Model Inversion Setup for Inversion of Geophysical Data—Guidelines and Examples. Hydrogeophysics Group, Department of Geoscience, Aarhus University, Denmark. 2018. Available online: http://www.hgg.geo.au.dk/rapporter/Sharp_report.pdf (accessed on 20 July 2020).
- Christiansen, A.V.; Pedersen, J.B.; Auken, E.; Søe, N.E.; Holst, M.K.; Kristiansen, S.M. Improved geoarchaeological mapping with electromagnetic induction instruments from dedicated processing and inversion. Remote Sens. 2016, 8, 1022. [Google Scholar] [CrossRef]
- Fleiss, J. Statistical Methods for Rates and Proportions, 1st ed.; John Wiley & Sons, Inc.: Hoboken, NJ, USA, 1981. [Google Scholar]
- Nathans, L.L.; Oswald, F.L.; Nimon, K. Interpreting multiple linear regression: A guidebook of variable importance. Pract. Assess. Res. Eval. 2012, 17, 1–19. [Google Scholar]
- Minasny, B.; McBratney, A.B. A conditioned Latin hypercube method for sampling in the presence of ancillary information. Comput. Geosci. 2006, 32, 1378–1388. [Google Scholar] [CrossRef]














| ECa (mS/m) | |||||||
|---|---|---|---|---|---|---|---|
| Data Source | n | Min. | Mean | Median | Max. | Skewness | CV (%) |
| Survey data | |||||||
| 1mPRP | 48,150 | 3.7 | 17.1 | 17.5 | 43.6 | 0.17 | 37.4 |
| 1mHCP | 48,150 | 1.6 | 20.9 | 21.8 | 56.4 | 0.09 | 47.8 |
| 2mPRP | 48,150 | 5.1 | 23.7 | 24.5 | 58 | 0.07 | 39 |
| 2mHCP | 48,150 | 4.3 | 24.7 | 25.5 | 62.6 | 0.14 | 45.9 |
| 4mPRP | 48,150 | 6.2 | 27.1 | 28.1 | 65.9 | 0.12 | 41.4 |
| 4mHCP | 48,150 | 8.1 | 25.6 | 25.1 | 60.8 | 0.29 | 41.6 |
| Soil observation sites | |||||||
| 1mPRP | 110 | 2.5 | 14.1 | 13.4 | 39.2 | 0.47 | 52.4 |
| 1mHCP | 110 | 0.6 | 15.5 | 14.3 | 47.2 | 0.46 | 68.7 |
| 2mPRP | 110 | 4.2 | 18.9 | 17.9 | 53.7 | 0.54 | 54.5 |
| 2mHCP | 110 | 4.2 | 18.2 | 16.1 | 50.1 | 0.59 | 61.2 |
| 4mPRP | 110 | 6.1 | 20.8 | 19 | 56.5 | 0.60 | 55.3 |
| 4mHCP | 110 | 7.1 | 19.4 | 16.2 | 44.3 | 0.76 | 48.5 |
| Soil Observation Sites | n | Min. | Mean | Median | Max. | Skewness | CV (%) |
|---|---|---|---|---|---|---|---|
| Peat thickness (cm) | 110 | 3 | 230 | 210 | 730 | 0.91 | 89.7 |
| 1mPRP | 1mHCP | 2mPRP | 2mHCP | 4mPRP | 4mHCP | ||
| 0.80 | 0.86 | 0.84 | 0.90 | 0.88 | 0.93 | ||
| 2-layered | 3-layered | 4-layered | blocky | sharp | smooth | ||
| 0.71 | 0.72 | 0.71 | 0.70 | 0.71 | 0.71 | ||
| DEM | slope | MRVBF | SAGAWI | plan curv | prof curv | cos aps | sin asp |
| −0.69 | −0.19 | 0.41 | 0.31 | −0.15 | −0.04 | 0.16 | −0.04 |
| R2 | RMSE (cm) | CCC | |
|---|---|---|---|
| Single-coil ECa | |||
| 1mPRP | 0.63 | 103 | 0.84 |
| 1mHCP | 0.74 | 122 | 0.77 |
| 2mPRP | 0.70 | 89 | 0.89 |
| 2mHCP | 0.81 | 111 | 0.82 |
| 4mPRP | 0.78 | 74 | 0.92 |
| 4mHCP | 0.86 | 94 | 0.87 |
| Multiple-coil ECa | |||
| 1m coils | 0.80 | 90 | 0.88 |
| 2m coils | 0.85 | 78 | 0.91 |
| 4m coils | 0.87 | 73 | 0.92 |
| PRP coils | 0.85 | 78 | 0.91 |
| HCP coils | 0.87 | 72 | 0.92 |
| All coils | 0.87 | 72 | 0.92 |
| Single-coil ECa + DEM | |||
| 1mPRP + DEM | 0.74 | 103 | 0.84 |
| 1mHCP + DEM | 0.80 | 89 | 0.88 |
| 2mPRP + DEM | 0.78 | 93 | 0.87 |
| 2mHCP + DEM | 0.85 | 78 | 0.91 |
| 4mPRP + DEM | 0.84 | 81 | 0.90 |
| 4mHCP + DEM | 0.89 | 67 | 0.93 |
| Multiple-coil ECa + DEM | |||
| 1m coils + DEM | 0.85 | 79 | 0.91 |
| 2m coils + DEM | 0.88 | 70 | 0.93 |
| 4m coils + DEM | 0.89 | 66 | 0.93 |
| PRP coils + DEM | 0.88 | 70 | 0.93 |
| HCP coils + DEM | 0.89 | 66 | 0.94 |
| All coils + DEM | 0.90 | 65 | 0.94 |
| Single-coil ECa + DEM + MRVBF | |||
| 1mPRP + DEM + MRVBF | 0.74 | 102 | 0.85 |
| 1mHCP + DEM + MRVBF | 0.81 | 88 | 0.89 |
| 2mPRP + DEM + MRVBF | 0.79 | 93 | 0.87 |
| 2mHCP + DEM + MRVBF | 0.85 | 78 | 0.91 |
| 4mPRP + DEM + MRVBF | 0.84 | 81 | 0.90 |
| 4mHCP + DEM + MRVBF | 0.89 | 67 | 0.93 |
| Multiple-coil ECa + DEM + MRVBF | |||
| 1m coils + DEM + MRVBF | 0.85 | 79 | 0.91 |
| 2m coils + DEM + MRVBF | 0.88 | 70 | 0.93 |
| 4m coils + DEM + MRVBF | 0.89 | 66 | 0.93 |
| PRP coils + DEM + MRVBF | 0.88 | 70 | 0.93 |
| HCP coils + DEM + MRVBF | 0.89 | 66 | 0.94 |
| All coils + DEM + MRVBF | 0.90 | 65 | 0.94 |
| Average | |||
| 2-layered | 0.50 | 142 | 0.67 |
| 3-layered | 0.51 | 141 | 0.68 |
| 4-layered | 0.51 | 141 | 0.67 |
| blocky | 0.48 | 145 | 0.65 |
| sharp | 0.50 | 143 | 0.66 |
| smooth | 0.50 | 143 | 0.66 |
© 2020 by the authors. Licensee MDPI, Basel, Switzerland. This article is an open access article distributed under the terms and conditions of the Creative Commons Attribution (CC BY) license (http://creativecommons.org/licenses/by/4.0/).
Share and Cite
Beucher, A.; Koganti, T.; Iversen, B.V.; Greve, M.H. Mapping of Peat Thickness Using a Multi-Receiver Electromagnetic Induction Instrument. Remote Sens. 2020, 12, 2458. https://doi.org/10.3390/rs12152458
Beucher A, Koganti T, Iversen BV, Greve MH. Mapping of Peat Thickness Using a Multi-Receiver Electromagnetic Induction Instrument. Remote Sensing. 2020; 12(15):2458. https://doi.org/10.3390/rs12152458
Chicago/Turabian StyleBeucher, Amélie, Triven Koganti, Bo V. Iversen, and Mogens H. Greve. 2020. "Mapping of Peat Thickness Using a Multi-Receiver Electromagnetic Induction Instrument" Remote Sensing 12, no. 15: 2458. https://doi.org/10.3390/rs12152458
APA StyleBeucher, A., Koganti, T., Iversen, B. V., & Greve, M. H. (2020). Mapping of Peat Thickness Using a Multi-Receiver Electromagnetic Induction Instrument. Remote Sensing, 12(15), 2458. https://doi.org/10.3390/rs12152458

