An Integrated Approach to Study Spatial Patterns and Drivers of Land Cover Within Urban Functional Units: A Multi-City Comparative Study in China
Abstract
1. Introduction
2. Materials and Methods
2.1. Field Survey and Sampling Settings
2.2. Remote Sensing Interpretation of Land Cover Type
2.3. Field Vegetation Survey
2.4. Socioeconomic Variables
2.5. Data Analysis
3. Results
3.1. The Number of Primary and Secondary UFUs Within the Three Cities
3.2. The Greening Percentages of Different UFUs
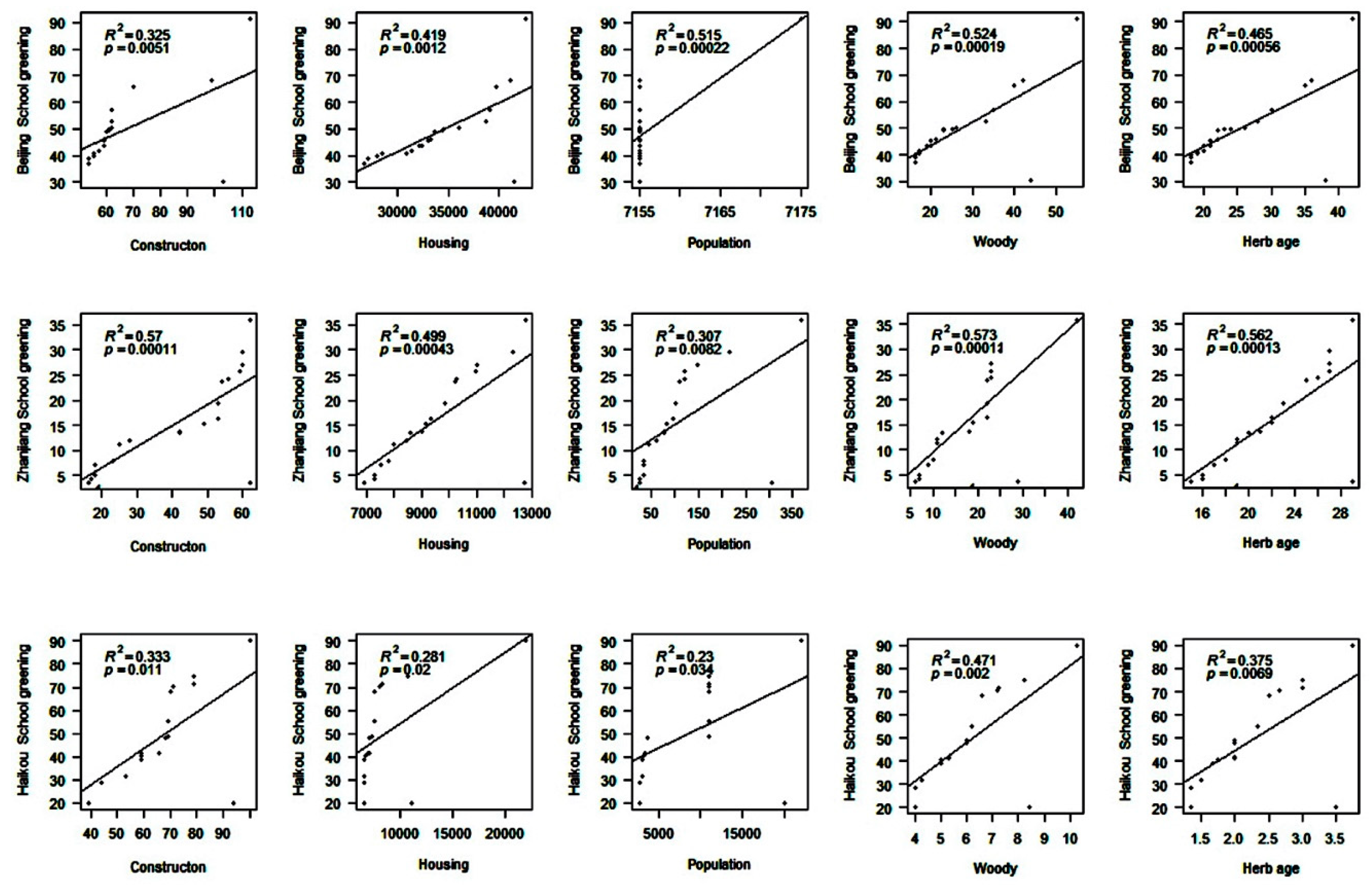
3.3. Greening Percentages of Different UFUs Across Three Cities Correlated with Socioeconomic Variables and Species Richness
3.4. Response of Greening Percentage to UFU Characteristics and Maintenance Intensity
4. Discussion
4.1. Variations in the Areas of Primary and Secondary UFUs
4.2. Variation in Greening Percentages of Different UFUs
4.3. The Relationship Between Greening Percentages and Plant Species Richness in Different UFUs Across China
5. Conclusions
Author Contributions
Funding
Acknowledgments
Conflicts of Interest
References
- Li, F.; Wang, R.; Zhao, D. Urban Ecological Infrastructure based on ecosystem services: Status, problems and perspectives. Acta Ecol. Sin. 2014, 34. [Google Scholar] [CrossRef][Green Version]
- Li, J.; Li, C.; Zhu, F.; Song, C.; Wu, J. Spatiotemporal pattern of urbanization in Shanghai, China between 1989 and 2005. Landsc. Ecol. 2013, 28, 1545–1565. [Google Scholar] [CrossRef]
- Yang, J.; Yan, P.; He, R.; Song, X. Exploring land-use legacy effects on taxonomic and functional diversity of woody plants in a rapidly urbanizing landscape. Landsc. Urban Plan. 2017, 162, 92–103. [Google Scholar] [CrossRef]
- Zhang, D.; Wang, W.; Zheng, H.; Ren, Z.; Zhai, C.; Tang, Z.; He, X. Effects of urbanization intensity on forest structural-taxonomic attributes, landscape patterns and their associations in Changchun, Northeast China: Implications for urban green infrastructure planning. Ecol. Indic. 2017, 80, 286–296. [Google Scholar] [CrossRef]
- Masoudi, M.; Tan, P.Y.; Liew, S.C. Multi-city comparison of the relationships between spatial pattern and cooling effect of urban green spaces in four major Asian cities. Ecol. Indic. 2019, 98, 200–213. [Google Scholar] [CrossRef]
- Huang, C.; Yang, J.; Jiang, P. Assessing Impacts of Urban Form on Landscape Structure of Urban Green Spaces in China Using Landsat Images Based on Google Earth Engine. Remote Sens. 2018, 10, 1569. [Google Scholar] [CrossRef]
- Pickett, S.T.; Zhou, W. Global urbanization as a shifting context for applying ecological science toward the sustainable city. Ecosyst. Health Sustain. 2015, 1, 1–15. [Google Scholar] [CrossRef]
- Wu, J. Urban ecology and sustainability: The state-of-the-science and future directions. Landsc. Urban Plan. 2014, 125, 209–221. [Google Scholar] [CrossRef]
- Wu, W.J.; Zhao, S.Q.; Zhu, C.; Jiang, J.L. A comparative study of urban expansion in Beijing, Tianjin and Shijiazhuang over the past three decades. Landsc. Urban Plan. 2015, 134, 93–106. [Google Scholar] [CrossRef]
- Wang, H.-F.; Qureshi, S.; Qureshi, B.A.; Qiu, J.-X.; Friedman, C.R.; Breuste, J.; Wang, X.-K. A multivariate analysis integrating ecological, socioeconomic and physical characteristics to investigate urban forest cover and plant diversity in Beijing, China. Ecol. Indic. 2016, 60, 921–929. [Google Scholar] [CrossRef]
- Zhu, Z.-X.; Pei, H.-Q.; Schamp, B.S.; Qiu, J.-X.; Cai, G.-Y.; Cheng, X.-L.; Wang, H.-F. Land cover and plant diversity in tropical coastal urban Haikou, China. Urban Urban Green. 2019, 44, 126395. [Google Scholar] [CrossRef]
- Kremer, P.; Andersson, E.; McPhearson, T.; Elmqvist, T. Advancing the frontier of urban ecosystem services research. Ecosyst. Serv. 2015, 12, 149–151. [Google Scholar] [CrossRef]
- Wang, H.-F.; Qiu, J.-X.; Breuste, J.; Ross Friedman, C.; Zhou, W.-Q.; Wang, X.-K. Variations of urban greenness across urban structural units in Beijing, China. Urban Urban Green. 2013, 12, 554–561. [Google Scholar] [CrossRef]
- Li, X.; Zhou, W.; Ouyang, Z. Forty years of urban expansion in Beijing: What is the relative importance of physical, socioeconomic, and neighborhood factors? Appl. Geogr. 2013, 38, 1–10. [Google Scholar] [CrossRef]
- Fei, W.; Zhao, S. Urban land expansion in China’s six megacities from 1978 to 2015. Sci. Total Environ. 2019, 664, 60–67. [Google Scholar] [CrossRef] [PubMed]
- Yan, Z.; Teng, M.; He, W.; Liu, A.; Li, Y.; Wang, P. Impervious surface area is a key predictor for urban plant diversity in a city undergone rapid urbanization. Sci. Total Environ. 2019, 650, 335–342. [Google Scholar] [CrossRef] [PubMed]
- Groffman, P.M.; Cavender-Bares, J.; Bettez, N.D.; Grove, J.M.; Hall, S.J.; Heffernan, J.B.; Hobbie, S.E.; Larson, K.L.; Morse, J.; Neill, C.; et al. Ecological homogenization of urban USA. Front. Ecol Environ. 2014, 12, 74–81. [Google Scholar] [CrossRef]
- Liu, H.; Fang, C.; Zhang, X.; Wang, Z.; Bao, C.; Li, F. The effect of natural and anthropogenic factors on haze pollution in Chinese cities: A spatial econometrics approach. J. Clean. Prod. 2017, 165, 323–333. [Google Scholar] [CrossRef]
- Da, L.J.; Hang, Y.; Xiaoli, H. The diversity, spatial pattern and dynamic response of Shanghai vegetation in the process of urbanization (Ⅶ): Dynamic change and mode optimization of Shanghai Pudong near natural forest in 10 years. J. East China Norm. Univ. Natur. Sci. Ed. 2011, 4, 15–23. [Google Scholar]
- SPOT-5 Satellite Sensor. Available online: https://www.satimagingcorp.com/satellite-sensors/other-satellite-sensors/spot-5/ (accessed on 12 December 2015).
- Wang, H.-F.; Qureshi, S.; Knapp, S.; Friedman, C.R.; Hubacek, K. A basic assessment of residential plant diversity and its ecosystem services and disservices in Beijing, China. Appl. Geogr. 2015, 64, 121–131. [Google Scholar] [CrossRef]
- Zhu, Z.-X.; Roeder, M.; Xie, J.; Nizamani, M.M.; Friedman, C.R.; Wang, H.-F. Plant taxonomic richness and phylogenetic diversity across different cities in China. Urban Urban Green. 2019, 39, 55–66. [Google Scholar] [CrossRef]
- Hope, D.; Gries, C.; Zhu, W.; Fagan, W.F.; Redman, C.L.; Grimm, N.B.; Nelson, A.L.; Martin, C.; Kinzig, A. Socioeconomics drive urban plant diversity. Proc. Natl. Acad. Sci. USA 2003, 100, 8788–8792. [Google Scholar] [CrossRef]
- UFORE (Urban Forest Effects Model). Field Data Collection Manual. 2011. Available online: http://www.ufore.org/using/03-00.html (accessed on 26 April 2020).
- MacGregor-Fors, I. Misconceptions or misunderstandings? On the standardization of basic terms and definitions in urban ecology. Landsc. Urban Plan. 2011, 100, 347–349. [Google Scholar] [CrossRef]
- Cadenasso, M.L.; Pickett, S.T.; Schwarz, K. Spatial heterogeneity in urban ecosystems: Reconceptualizing land cover and a framework for classification. Front. Ecol. Environ. 2007, 5, 80–88. [Google Scholar] [CrossRef]
- Walker, J.S.; Blaschke, T. Object-based land-cover classification for the Phoenix metropolitan area: Optimization vs. transportability. Int. J. Remote Sens. 2008, 29, 2021–2040. [Google Scholar] [CrossRef]
- Congalton, R.G. A review of assessing the accuracy of classifications of remotely sensed data. Remote Sens. Environ. 1991, 37, 35–46. [Google Scholar] [CrossRef]
- Luck, G.W.; Smallbone, L.T.; O’Brien, R. Socio-Economics and Vegetation Change in Urban Ecosystems: Patterns in Space and Time. Ecosystems 2009, 12, 604–620. [Google Scholar] [CrossRef]
- Soltanifard, H.; Roshandel, T.; Ghodrati, S. Assessment and ranking of influencing factors in the relationship between spatial patterns of urban green spaces and socioeconomic indices in Mashhad urban districts, Iran. J. Adv. Model. Earth Syst. Environ. 2020, 6, 1589–1605. [Google Scholar] [CrossRef]
- Anonymous. Anjuke Housing Price. Available online: http://anjuke.com (accessed on 1 May 2017).
- Beijing Municipal Bureau of Statistics. Beijing Statistical Yearbook; China Statistics Press: Beijing, China, 2018. [Google Scholar]
- Guangdong Bureau of Statistics (GBS). Statistical Yearbook of Guangdong; Guangdong Bureau of Statistics: Guangdong, China, 2014. [Google Scholar]
- Hainan Bureau of Statistics (HBS). Statistical Yearbook of Hainan; Hainan Bureau of Statistics: Haikou, China, 2014. [Google Scholar]
- Anonymous. Google Earth. Available online: https://www.google.com/earth/ (accessed on 1 May 2017).
- Venables, W.N.; Ripley, B.D. Modern Applied Statistics with S; Springer: New York, NY, USA, 2002. [Google Scholar]
- Paradis, E.; Claude, J.; Strimmer, K. APE: Analyses of phylogenetics and evolution in R language. J. Bioinform. 2004, 20, 289–290. [Google Scholar] [CrossRef]
- Fang, C.; Zhao, S. A comparative study of spatiotemporal patterns of urban expansion in six major cities of the Yangtze River Delta from 1980 to 2015. Ecosyst. Health Sustain. 2018, 4, 95–114. [Google Scholar] [CrossRef]
- Wu, J. Hierarchy Theory: An Overview. Linking Ecology and Ethics for a Changing World; Springer: New York, NY, USA, 2013; pp. 281–301. [Google Scholar] [CrossRef]
- Douglas, I.; Goode, D. Urban natural histories to urban ecologies. The Routledge Handbook of Urban Ecology; Routledge: London, UK, 1994. [Google Scholar] [CrossRef]
- McIntyre, N.E.; Knowles-Yánez, K.; Hope, D. Urban Ecology as an Interdisciplinary Field: Differences in the use of “Urban” Between the Social and Natural Sciences. Urban Ecol. 2000, 49–65. [Google Scholar] [CrossRef]
- Anonymous. Beijing Greening Percentage. 2005. Available online: http://news.sina.com.cn/c/2005-03-30/02205499366s.shtml (accessed on 12 October 2019).
- Dahal, K.R.; Benner, S.; Lindquist, E. Urban hypotheses and spatiotemporal characterization of urban growth in the Treasure Valley of Idaho, USA. Appl. Geogr. 2017, 79, 11–25. [Google Scholar] [CrossRef]
- Wang, F. Launch of green projects to improve the ecological environment-Haikou the creation of a national Garden City has achieved remarkable results. Today Hainan. 1999, 8, 15–16. [Google Scholar]
- Wolch, J.R.; Byrne, J.; Newell, J.P. Urban green space, public health, and environmental justice: The challenge of making cities ‘just green enough’. Landsc. Urban Plan. 2014, 234–244. [Google Scholar] [CrossRef]
- Nock, C.A.; Paquette, A.; Follett, M.; Nowak, D.J.; Messier, C. Effects of urbanization on tree species functional diversity in eastern north America. Ecosystems 2013, 16, 1487–1497. [Google Scholar] [CrossRef]
- Fu, H.; Xu, X.S.; Fu, G. Study on Dynamic Changes of Green Space Landscape Pattern in Haikou. J. Fujian For. Sci. Tech. 2015, 42, 142–146. [Google Scholar]
- Iverson, L.R.; Cook, E.A. Urban forest cover of the Chicago region and its relation to household density and income. Urban Ecosyst. 2000, 4, 105–124. [Google Scholar] [CrossRef]
- Escobedo, F.J.; Nowak, D.J.; Wagner, J.E.; De la Maza, C.L.; Rodríguez, M.; Crane, D.E.; Hernández, J. The socioeconomics and management of Santiago de Chile’s public urban forests. Urban Urban Green. 2006, 4, 105–114. [Google Scholar] [CrossRef]
- Grove, J.M.; Troy, A.R.; O’Neil-Dunne, J.P.M.; Burch, W.R.; Cadenasso, M.L.; Pickett, S.T.A. Characterization of Households and its Implications for the Vegetation of Urban Ecosystems. Ecosystems 2006, 9, 578–597. [Google Scholar] [CrossRef]
- Kirkpatrick, J.B.; Daniels, G.D.; Zagorski, T. Explaining variation in front gardens between suburbs of Hobart, Tasmania, Australia. Landsc. Urban Plan. 2007, 79, 314–322. [Google Scholar] [CrossRef]
- Troy, A.R.; Grove, J.M.; O’Neil-Dunne, J.P.M.; Pickett, S.T.A.; Cadenasso, M.L. Predicting Opportunities for Greening and Patterns of Vegetation on Private Urban Lands. J. Environ. Manag. 2007, 40, 394–412. [Google Scholar] [CrossRef] [PubMed]
- Boone, C.G.; Cadenasso, M.L.; Grove, J.M.; Schwarz, K.; Buckley, G.L. Landscape, vegetation characteristics, and group identity in an urban and suburban watershed: Why the 60s matter. Urban Ecosyst. 2009, 13, 255–271. [Google Scholar] [CrossRef]
- Szantoi, Z.; Escobedo, F.; Wagner, J.; Rodriguez, J.M.; Smith, S. Socioeconomic factors and urban tree cover policies in a subtropical urban forest. Gisci. Remote Sens. 2012, 49, 428–449. [Google Scholar] [CrossRef]
- Wang, H.F.; López-Pujol, J. Urban green spaces and plant diversity at different spatio-temporal scales: The example of Beijing, China. Collect. Bot. 2015, 34, e008. [Google Scholar] [CrossRef][Green Version]









| Variables | Units | Transformations |
|---|---|---|
| Predictors | ||
| UFU characteristics | ||
| Construction age | year | log(x) |
| House price | RMB (Yuan) | |
| Population density | person/km2 | |
| Distance from main road | g/100 g | log(x) |
| Distance from urban center | g/1000 g | |
| Traffic flow | km2 | log(x) |
| Longitude | decimal degrees | |
| Latitude | decimal degrees | |
| Land-use factors | ||
| Impervious area | km2 | log(x) |
| Wasteland area | km2 | log(x) |
| Water area | km2 | log(x) |
| Perimeter | km | log(x) |
| Human maintenance | ||
| Fertilization frequency/year | times/year | log(x) |
| Pesticide frequency /year | times/year | log(x) |
| Watering frequency/year | times/year | log(x) |
| Weeding frequency/year | times/year | log(x) |
| Trimming frequency/year | times/year | log(x) |
| Plant factors | ||
| Herb species richness | number of species | log(x) |
| Shrub species richness | number of species | log(x) |
| Tree species richness | number of species | log(x) |
| Total species richness | number of species | log(x) |
| Natural factors | ||
| Organic matter of soil | g/1000 g | log(x) |
| Water content of soil | g/100 g | log(x) |
| Temperature | °C | log(x) |
| Precipitation | mm | log(x) |
| Beijing | Zhanjiang | Haikou | |||||
|---|---|---|---|---|---|---|---|
| Primary Urban Functional Unit Type | Secondary Urban Functional Unit Type | Number | Percentage (%) | Number | Percentage (%) | Number | Percentage (%) |
| Agriculture (A) | Farmland (F) | 6 | 2.05 | 38 | 14.62 | - | - |
| Greenbelt (Gr) or Woodland (Wo) | 5 | 1.71 | 19 | 7.31 | - | - | |
| Nursery (N) | 1 | 0.34 | - | - | - | - | |
| Cemetery (E) | Cemetery (E) | 3 | 1.03 | - | - | - | - |
| Comm/Ind (C) | Enterprise (En) | 17 | 5.82 | 22 | 8.46 | 12 | 7.1 |
| Hotel (H) | 3 | 1.03 | 6 | 2.31 | 9 | 5.33 | |
| Logistics centre (L) | 6 | 2.05 | - | - | - | - | |
| Shopping center (S) | 1 | 0.34 | - | - | 8 | 4.73 | |
| Golf course (G) | Golf course (G) | 3 | 1.03 | - | - | - | - |
| Institutional (I) | Colleges or universities (Cu) | 34 | 11.64 | 4 | 1.54 | 7 | 4.14 |
| Places of historic interest and scenic beauty (Ph) | 2 | 0.68 | - | - | - | - | |
| Museum (Mu) | 5 | 1.71 | - | - | 5 | 2.96 | |
| Primary and middle schools (Pm) | 15 | 5.14 | 18 | 6.92 | 18 | 10.65 | |
| Research institution (Ri) | 7 | 2.4 | 1 | 0.38 | 4 | 2.37 | |
| Multi family residential (M) | High-density residential areas (Hd) | 38 | 13.01 | 18 | 6.92 | 40 | 23.67 |
| Park (P) | Park (P) | 53 | 18.15 | 14 | 5.38 | 6 | 3.55 |
| Residential (R) | Alleyway (Hutong) (Al) | 4 | 1.37 | - | - | - | - |
| Low-density residential areas (Ld) | 25 | 8.56 | - | - | - | - | |
| Urban village (Uv) | 15 | 5.14 | 23 | 8.85 | 5 | 2.96 | |
| Transportation (T) | Airport (Ai) | 1 | 0.34 | 1 | 0.38 | - | - |
| Bus station (Bs) | 2 | 0.68 | 1 | 0.38 | 4 | 2.37 | |
| Train station (Ts) | 4 | 1.37 | 1 | 0.38 | - | - | |
| Parking lot (Pl) | - | - | 3 | 1.15 | - | - | |
| Traffic island (Ti) | - | - | 3 | 1.15 | - | - | |
| Road or express (Re) | 9 | 3.08 | 42 | 16.15 | 24 | 14.2 | |
| Utility (U) | Government office (Ge) | 5 | 1.71 | - | - | 1 | 0.59 |
| Public square (Ps) | 3 | 1.03 | - | - | - | - | |
| Refuse processing plant (Rp) | 1 | 0.34 | - | - | - | - | |
| Sewage treatment plant (St) | 2 | 0.68 | - | - | - | - | |
| Sport center (Sc) | 7 | 2.4 | - | - | - | - | |
| Entertainment Plaza (Ep) | 4 | 1.37 | - | - | - | - | |
| Government Organizations (Go) | 6 | 2.05 | 15 | 5.77 | 13 | 7.69 | |
| Hospital (Ho) | 5 | 1.71 | 8 | 3.08 | 10 | 5.92 | |
| Vacant (V) | Wasteland (Wa) | - | - | 23 | 8.85 | - | - |
| Sand land (Sl) | - | - | - | - | 3 | 1.78 | |
| Total | 292 | 100 | 260 | 100 | 169 | 100 | |
| Beijing | Haikou | Zhanjiang | |
|---|---|---|---|
| R2 | 0.49 | 0.61 | 0.68 |
| Intercept | 3.08 *** | 2.15 *** | 2.76 *** |
| Construction period | 0.12 * | ||
| Population density | −0.15 | ||
| Perimeter | 0.02 ** | 0.12 ** | |
| The distance from urban center | 0.11 * | ||
| Impervious area | −0.06 ** | −0.02 | −0.08 |
| Wasteland area | −0.07 | 0.13 ** | |
| Water area | 0.17 *** | 0.13 *** | 0.13 |
| Forest area | 0.16 *** | ||
| Shrub species | −0.26 | ||
| Herb species | 0.22 | −0.19 * | |
| Trimming frequency/year | −0.23 ** | ||
| Fertilizing frequency/year | 0.24 | ||
| Watering frequency/year | 0.24 ** | ||
| Water content of soil | 0.14 * |
© 2020 by the authors. Licensee MDPI, Basel, Switzerland. This article is an open access article distributed under the terms and conditions of the Creative Commons Attribution (CC BY) license (http://creativecommons.org/licenses/by/4.0/).
Share and Cite
Wang, H.-F.; Cheng, X.-L.; Nizamani, M.M.; Balfour, K.; Da, L.; Zhu, Z.-X.; Qureshi, S. An Integrated Approach to Study Spatial Patterns and Drivers of Land Cover Within Urban Functional Units: A Multi-City Comparative Study in China. Remote Sens. 2020, 12, 2201. https://doi.org/10.3390/rs12142201
Wang H-F, Cheng X-L, Nizamani MM, Balfour K, Da L, Zhu Z-X, Qureshi S. An Integrated Approach to Study Spatial Patterns and Drivers of Land Cover Within Urban Functional Units: A Multi-City Comparative Study in China. Remote Sensing. 2020; 12(14):2201. https://doi.org/10.3390/rs12142201
Chicago/Turabian StyleWang, Hua-Feng, Xia-Lan Cheng, Mir Muhammad Nizamani, Kelly Balfour, Liangjun Da, Zhi-Xin Zhu, and Salman Qureshi. 2020. "An Integrated Approach to Study Spatial Patterns and Drivers of Land Cover Within Urban Functional Units: A Multi-City Comparative Study in China" Remote Sensing 12, no. 14: 2201. https://doi.org/10.3390/rs12142201
APA StyleWang, H.-F., Cheng, X.-L., Nizamani, M. M., Balfour, K., Da, L., Zhu, Z.-X., & Qureshi, S. (2020). An Integrated Approach to Study Spatial Patterns and Drivers of Land Cover Within Urban Functional Units: A Multi-City Comparative Study in China. Remote Sensing, 12(14), 2201. https://doi.org/10.3390/rs12142201

