Fusion of Channel State Information and Received Signal Strength for Indoor Localization Using a Single Access Point
Abstract
1. Introduction
- A methodology based on the fusion of CSI amplitude and RSS information is proposed improving the accuracy of indoor localization approaches that use a single feature.
- CSI amplitudes obtained in MIMO communications systems are processed for removing high variability information and building stable datasets.
- The proposed methodology achieves high accuracy and sub-meter error distance using a single access point.
2. Related Work
3. Channel State Information
4. Methodology
4.1. Data Collection
4.2. CSI Amplitude Processing
4.3. Features Fusion
4.4. Fingerprint Dataset
4.5. Classification
5. Datasets
5.1. Corridor Scenario
5.2. Laboratory Scenario
5.3. Outline of Datasets
6. Results and Discussion
6.1. Classifiers Configuration
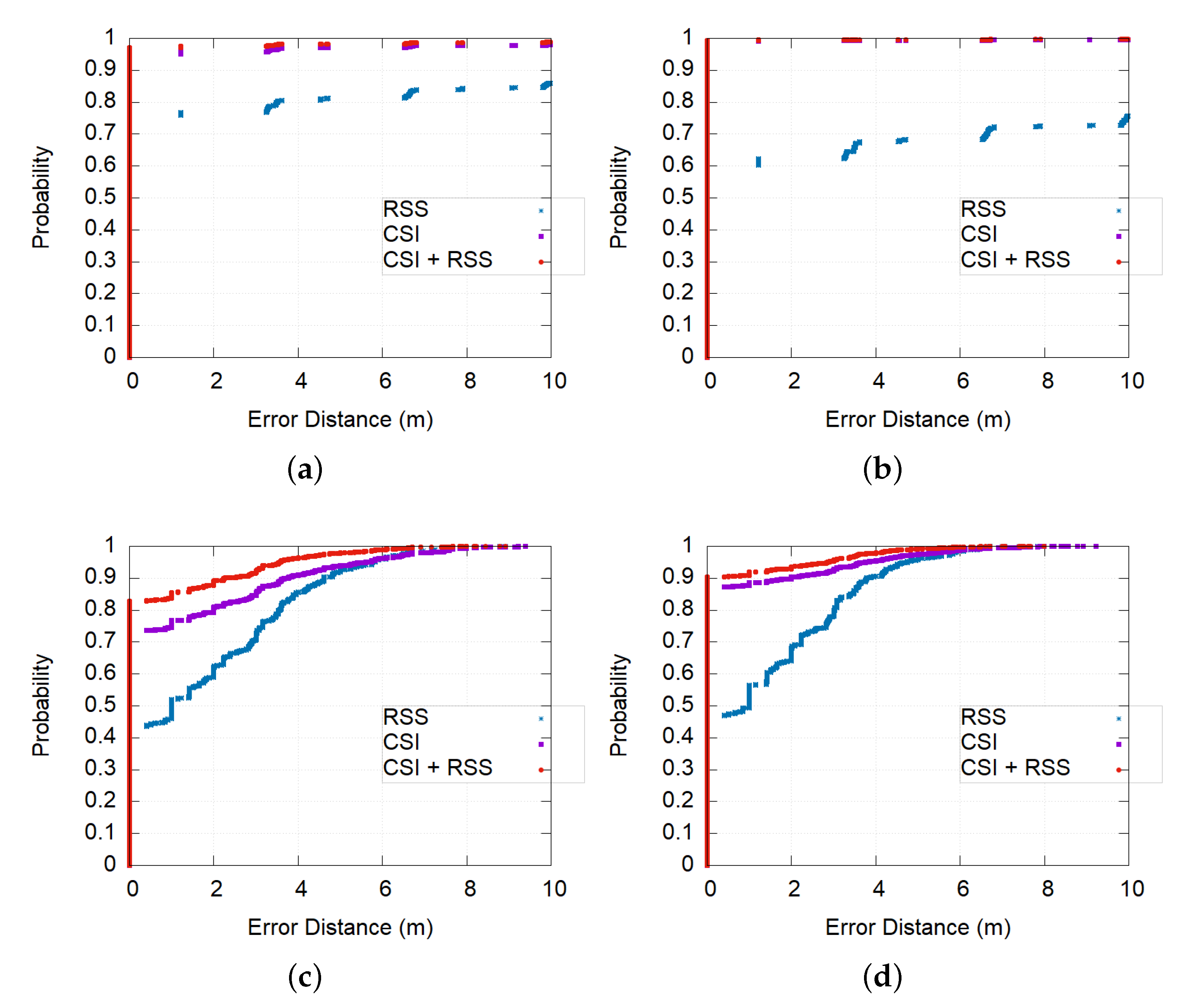
6.2. Performance Evaluation of the Proposal
6.3. Robustness
6.4. Performance Evaluation with Test Dataset
6.5. Related Work Comparison
7. Conclusions
Author Contributions
Funding
Acknowledgments
Conflicts of Interest
Abbreviations
| AoA | Angle of Arrival |
| AP | Access Point |
| BLE | Bluetooth Low Energy |
| CDF | Cumulative Distribution Function |
| CSI | Channel State Information |
| GNSS | Global Navigation Satellite System |
| KNN | K-Nearest Neighbor |
| LTE | Long Term Evolution |
| MANOVA | Multivariate analysis of variance |
| MIMO | Multiple Input Multiple Output |
| NLOS | Non Line of Sight |
| OFDM | Orthogonal Frequency Division Multiplexing |
| PCA | Principal Component Analysis |
| RFID | Radio Frequency Identification |
| ROC | Receiver Operating Characteristic |
| RSS | Received Signal Strength |
| SVM | Support Vector Machine |
| ToF | Time of Flight |
References
- Want, R.; Schilit, B. Expanding the horizons of location-aware computing. IEEE Comput. 2001, 34, 31–34. [Google Scholar] [CrossRef]
- Liu, H.; Darabi, H.; Banerjee, P.; Liu, J. Survey of wireless indoor positioning techniques and systems. IEEE Trans. Syst. Man, Cybern. Part C (Appl. Rev.) 2007, 37, 1067–1080. [Google Scholar] [CrossRef]
- Górak, R.; Luckner, M. Automatic Detection of Missing Access Points in Indoor Positioning System. Sensors 2018, 18, 3595. [Google Scholar] [CrossRef] [PubMed]
- Ou, C.W.; Chao, C.J.; Chang, F.S.; Wang, S.M.; Liu, G.X.; Wu, M.R.; Cho, K.Y.; Hwang, L.T.; Huan, Y.Y. A ZigBee position technique for indoor localization based on proximity learning. In Proceedings of the 2017 IEEE International Conference on Mechatronics and Automation (ICMA), Takamatsu, Japan, 6–9 August 2017; pp. 875–880. [Google Scholar]
- Wu, X.; Deng, F.; Chen, Z. RFID 3D-LANDMARC Localization Algorithm Based on Quantum Particle Swarm Optimization. Electronics 2018, 7, 19. [Google Scholar]
- Zhuang, Y.; Yang, J.; Li, Y.; Qi, L.; El-Sheimy, N. Smartphone-based indoor localization with bluetooth low energy beacons. Sensors 2016, 16, 596. [Google Scholar] [CrossRef]
- Nguyen, T.S.; Nguyen, T.N.; Tran, Q.S.; Huynh, T.H. Improvement of Ultrasound-Based Localization System Using Sine Wave Detector and CAN Network. J. Sens. Actuator Netw. 2017, 6, 12. [Google Scholar] [CrossRef]
- Makki, A.; Siddig, A.; Saad, M.; Bleakley, C. Survey of WiFi positioning using time-based techniques. Comput. Netw. 2015, 88, 218–233. [Google Scholar] [CrossRef]
- Hoene, C.; Willmann, J. Four-way TOA and software-based trilateration of IEEE 802.11 devices. In Proceedings of the 2008 IEEE 19th International Symposium on Personal, Indoor and Mobile Radio Communications, Cannes, France, 15–18 September 2008; pp. 1–6. [Google Scholar]
- Günther, A.; Hoene, C. Measuring round trip times to determine the distance between WLAN nodes. In Proceedings of the International Conference on Research in Networking, Waterloo, ON, Canada, 2–6 May 2005; pp. 768–779. [Google Scholar]
- Schwalowsky, S.; Trsek, H.; Exel, R.; Kerö, N. System integration of an IEEE 802.11 based TDoA localization system. In Proceedings of the 2010 IEEE International Symposium on Precision Clock Synchronization for Measurement, Control and Communication, Portsmouth, NH, USA, 27 September–1 October 2010; pp. 55–60. [Google Scholar]
- Rong, P.; Sichitiu, M.L. Angle of arrival localization for wireless sensor networks. In Proceedings of the 2006 3rd Annual IEEE Communications Society on Sensor and Ad Hoc Communications and Networks, Reston, VA, USA, 28 September 2006; Volume 1, pp. 374–382. [Google Scholar]
- Zhang, S.; Guo, J.; Luo, N.; Wang, L.; Wang, W.; Wen, K. Improving Wi-Fi Fingerprint Positioning with a Pose Recognition-Assisted SVM Algorithm. Remote Sens. 2019, 11, 652. [Google Scholar] [CrossRef]
- Yang, F.; Xiong, J.; Liu, J.; Wang, C.; Li, Z.; Tong, P.; Chen, R. A pairwise SSD fingerprinting method of smartphone indoor localization for enhanced usability. Remote Sens. 2019, 11, 566. [Google Scholar] [CrossRef]
- Bahl, P.; Padmanabhan, V.N. RADAR: An in-building RF-based user location and tracking system. In Proceedings of the IEEE INFOCOM 2000, Conference on Computer Communications, Nineteenth Annual Joint Conference of the IEEE Computer and Communications Societies (Cat. No. 00CH37064), Tel Aviv, Israel, 26–30 March 2000; Volume 2, pp. 775–784. [Google Scholar]
- Wu, K.; Xiao, J.; Yi, Y.; Chen, D.; Luo, X.; Ni, L.M. CSI-based indoor localization. IEEE Trans. Parallel Distrib. Syst. 2013, 24, 1300–1309. [Google Scholar] [CrossRef]
- Yang, Z.; Zhou, Z.; Liu, Y. From RSSI to CSI: Indoor localization via channel response. ACM Comput. Surv. (CSUR) 2013, 46, 1–32. [Google Scholar] [CrossRef]
- Ma, Y.; Zhou, G.; Wang, S. WiFi sensing with channel state information: A survey. ACM Comput. Surv. (CSUR) 2019, 52, 1–36. [Google Scholar] [CrossRef]
- Khalajmehrabadi, A.; Gatsis, N.; Akopian, D. Modern WLAN fingerprinting indoor positioning methods and deployment challenges. IEEE Commun. Surv. Tutor. 2017, 19, 1974–2002. [Google Scholar] [CrossRef]
- Shang, J.; Hu, X.; Gu, F.; Wang, D.; Yu, S. Improvement schemes for indoor mobile location estimation: A survey. Math. Probl. Eng. 2015, 2015, 397298. [Google Scholar] [CrossRef]
- Kaemarungsi, K.; Krishnamurthy, P. Analysis of WLAN’s received signal strength indication for indoor location fingerprinting. Pervasive Mob. Comput. 2012, 8, 292–316. [Google Scholar] [CrossRef]
- Luo, J.; Fu, L. A Smartphone Indoor Localization Algorithm Based on WLAN Location Fingerprinting with Feature Extraction and Clustering. Sensors 2017, 17, 1339. [Google Scholar]
- Xie, Y.; Wang, Y.; Nallanathan, A.; Wang, L. An Improved K-Nearest-Neighbor Indoor Localization Method Based on Spearman Distance. IEEE Signal Process. Lett. 2016, 23, 351–355. [Google Scholar] [CrossRef]
- Hu, X.; Shang, J.; Gu, F.; Han, Q. Improving Wi-Fi indoor positioning via AP sets similarity and semi-supervised affinity propagation clustering. Int. J. Distrib. Sens. Netw. 2015, 11, 109642. [Google Scholar] [CrossRef]
- Kokkinis, A.; Kanaris, L.; Liotta, A.; Stavrou, S. RSS indoor localization based on a single access point. Sensors 2019, 19, 3711. [Google Scholar] [CrossRef]
- Wang, X.; Gao, L.; Mao, S.; Pandey, S. CSI-based fingerprinting for indoor localization: A deep learning approach. IEEE Trans. Veh. Technol. 2017, 66, 763–776. [Google Scholar] [CrossRef]
- Wu, Z.; Jiang, L.; Jiang, Z.; Chen, B.; Liu, K.; Xuan, Q.; Xiang, Y. Accurate Indoor Localization Based on CSI and Visibility Graph. Sensors 2018, 18, 2549. [Google Scholar] [CrossRef] [PubMed]
- Chapre, Y.; Ignjatovic, A.; Seneviratne, A.; Jha, S. CSI-MIMO: An efficient Wi-Fi fingerprinting using channel state information with MIMO. Pervasive Mob. Comput. 2015, 23, 89–103. [Google Scholar] [CrossRef]
- Dang, X.; Ren, J.; Hao, Z.; Hei, Y.; Tang, X.; Yan, Y. A novel indoor localization method using passive phase difference fingerprinting based on channel state information. Int. J. Distrib. Sens. Netw. 2019, 15, 1550147719844099. [Google Scholar] [CrossRef]
- Dang, X.; Si, X.; Hao, Z.; Huang, Y. A Novel Passive Indoor Localization Method by Fusion CSI Amplitude and Phase Information. Sensors 2019, 19, 875. [Google Scholar] [CrossRef] [PubMed]
- Vasisht, D.; Kumar, S.; Katabi, D. Decimeter-level localization with a single WiFi access point. In Proceedings of the 13th USENIX Symposium on Networked Systems Design and Implementation (NSDI 16), Santa Clara, CA, USA, 16–18 March 2016; pp. 165–178. [Google Scholar]
- Kotaru, M.; Joshi, K.; Bharadia, D.; Katti, S. Spotfi: Decimeter level localization using wifi. In Proceedings of the 2015 ACM Conference on Special Interest Group on Data Communication, London, UK, 17–21 August 2015; pp. 269–282. [Google Scholar]
- Wang, X.; Mao, S. Deep Learning for Indoor Localization based on Bi-modal CSI Data. Appl. Mach. Learn. Wirel. Commun. 2019, 81, 343. [Google Scholar]
- Tian, Z.; Li, Z.; Zhou, M.; Jin, Y.; Wu, Z. PILA: Sub-meter localization using CSI from commodity Wi-Fi devices. Sensors 2016, 16, 1664. [Google Scholar] [CrossRef]
- Zhao, L.; Wang, H.; Li, P.; Liu, J. An improved WiFi indoor localization method combining channel state information and received signal strength. In Proceedings of the 2017 36th Chinese Control Conference (CCC), Dalian, China, 26–28 July 2017; pp. 8964–8969. [Google Scholar]
- Perahia, E.; Stacey, R. Next Generation Wireless LANs: 802.11 n and 802.11 ac; Cambridge University Press: Cambridge, UK, 2013. [Google Scholar]
- Kamali, B. AeroMACS: An IEEE 802.16 Standard-Based Technology for the Next Generation of Air Transportation Systems; Standards Information Network IEEE Press: Hoboken, NJ, USA, 2018; pp. 189–258. [Google Scholar]
- Li, D.; Lei, Y.; Zhang, H. A Novel Outdoor Positioning Technique Using LTE Network Fingerprints. Sensors 2020, 20, 1691. [Google Scholar] [CrossRef]
- Yu, H.; Lee, H.; Jeon, H. What is 5G? Emerging 5G mobile services and network requirements. Sustainability 2017, 9, 1848. [Google Scholar] [CrossRef]
- Freund, Y.; Schapire, R.E. Experiments with a new boosting algorithm. Icml 1996, 96, 148–156. [Google Scholar]
- Quinlan, J.R. C4.5: Programs for Machine Learning; Morgan Kaufmann Publishers: San Francisco, CA, USA, 1993. [Google Scholar]
- Aha, D.W.; Kibler, D.; Albert, M.K. Instance-based learning algorithms. Mach. Learn. 1991, 6, 37–66. [Google Scholar] [CrossRef]
- Cover, T.; Hart, P. Nearest neighbor pattern classification. IEEE Trans. Inf. Theory 1967, 13, 21–27. [Google Scholar] [CrossRef]
- Halperin, D.; Hu, W.; Sheth, A.; Wetherall, D. Tool release: Gathering 802.11 n traces with channel state information. ACM SIGCOMM Comput. Commun. Rev. 2011, 41, 53. [Google Scholar] [CrossRef]
- Frank, E.; Hall, M.; Witten, I. The WEKA Workbench. Available online: https://www.cs.waikato.ac.nz/ml/weka/Witten_et_al_2016_appendix.pdf (accessed on 22 April 2020).
- Wang, Y.; Xiu, C.; Zhang, X.; Yang, D. WiFi indoor localization with CSI fingerprinting-based random forest. Sensors 2018, 18, 2869. [Google Scholar] [CrossRef]
- Xiang, C.; Zhang, S.; Xu, S.; Chen, X.; Cao, S.; Alexandropoulos, G.C.; Lau, V.K. Robust Sub-Meter Level Indoor Localization With a Single WiFi Access Point—Regression Versus Classification. IEEE Access 2019, 7, 146309–146321. [Google Scholar] [CrossRef]







| Scenario | Frequency Band | Access Point | Locations | Instances Per Location and Orientation | Orientations | Instances |
|---|---|---|---|---|---|---|
| Corridor | 2.4 GHz | A | 38 | 200 | 4 (each 90°) | 30,400 |
| Corridor | 2.4 GHz | B | 38 | 200 | 4 (each 90°) | 30,400 |
| Corridor | 5 GHz | A | 38 | 450 | 4 (each 90°) | 68,400 |
| Corridor | 5 GHz | B | 38 | 450 | 4 (each 90°) | 68,400 |
| Laboratory | 2.4 GHz | A | 30 | 240 | 4 (each 90°) | 28,800 |
| Laboratory | 2.4 GHz | B | 30 | 240 | 4 (each 90°) | 28,800 |
| Laboratory | 5 GHz | A | 30 | 250 | 4 (each 90°) | 30,000 |
| Laboratory | 5 GHz | B | 30 | 250 | 4 (each 90°) | 30,000 |
| Dataset | KNN | ||||
|---|---|---|---|---|---|
| k = 1 | k = 2 | k = 3 | k = 4 | k = 5 | |
| Corridor-2.4 GHz-A | 97.14% ± 0.03 | 96.32% ± 0.03 | 96.15% ± 0.03 | 95.75% ± 0.02 | 95.32% ± 0.02 |
| Corridor-2.4 GHz-B | 96.19% ± 0.03 | 95.16% ± 0.04 | 94.88% ± 0.05 | 94.44% ± 0.02 | 94.21% ± 0.04 |
| Corridor-5 GHz-A | 99.36% ± 0.01 | 99.18% ± 0.01 | 99.11% ± 0.01 | 98.99% ± 0.01 | 98.88% ± 0.01 |
| Corridor-5 GHz-B | 98.69% ± 0.01 | 98.25% ± 0.01 | 98.29% ± 0.01 | 98.08% ± 0.01 | 97.98% ± 0.01 |
| Laboratory-2.4 GHz-A | 82.87% ± 0.08 | 80.09% ± 0.06 | 81.26% ± 0.07 | 80.77% ± 0.07 | 79.95% ± 0.09 |
| Laboratory-2.4 GHz-B | 95.36% ± 0.05 | 94.30% ± 0.06 | 94.58% ± 0.02 | 93.99% ± 0.05 | 93.74% ± 0.06 |
| Laboratory-5 GHz-A | 90.47% ± 0.04 | 89.06% ± 0.06 | 89.19% ± 0.06 | 88.47% ± 0.06 | 87.42% ± 0.06 |
| Laboratory-5 GHz-B | 96.76% ± 0.03 | 96.23% ± 0.05 | 96.26% ± 0.03 | 95.10% ± 0.06 | 95.78% ± 0.04 |
| Dataset | AdaBoost + C4.5 | |||
|---|---|---|---|---|
| c = 0.20 | c = 0.25 | c = 0.30 | c = 0.35 | |
| Corridor-2.4 GHz-A | 94.99% ± 0.09 | 94.93% ± 0.09 | 94.84% ± 0.07 | 94.82% ± 0.06 |
| Corridor-2.4 GHz-B | 94.15% ± 0.04 | 94.08% ± 0.08 | 94.12% ± 0.07 | 93.95% ± 0.11 |
| Corridor-5 GHz-A | 98.29% ± 0.03 | 98.29% ± 0.04 | 98.35% ± 0.03 | 98.34% ± 0.03 |
| Corridor-5 GHz-B | 97.26% ± 0.04 | 97.36% ± 0.03 | 97.19% ± 0.04 | 97.26% ± 0.05 |
| Laboratory-2.4 GHz-A | 79.21% ± 0.15 | 79.35% ± 0.11 | 79.28% ± 0.14 | 79.39% ± 0.08 |
| Laboratory-2.4 GHz-B | 94.83% ± 0.07 | 94.78% ± 0.06 | 94.98% ± 0.07 | 94.72% ± 0.06 |
| Laboratory-5 GHz-A | 86.26% ± 0.16 | 86.37% ± 0.13 | 86.32% ± 0.13 | 85.74% ± 0.11 |
| Laboratory-5 GHz-B | 93.98% ± 0.11 | 94.01% ± 0.11 | 94.04% ± 0.08 | 93.26% ± 0.11 |
| Dataset | KNN | AdaBoost + C4.5 | ||||
|---|---|---|---|---|---|---|
| Accuracy | Error Distance | Training Time | Accuracy | Error Distance | Training Time | |
| Corridor 2.4 GHz-A | 75.78% ± 0.06 | 4.22 m ± 9.96 | 28.8 ms ± 1.46 | 75.33% ± 0.05 | 4.33 m ± 10.12 | 2.8 s ± 0.10 |
| Corridor 2.4 GHz-B | 75.55% ± 0.06 | 5.24 m ± 12.71 | 29.2 ms ± 1.76 | 75.19% ± 0.05 | 5.32 m ± 12.08 | 2.8 s ± 0.12 |
| Corridor 5 GHz-A | 60.23% ± 0.03 | 7.47 m ± 12.64 | 32.5 ms ± 2.38 | 60.10% ± 0.04 | 7.48 m ± 12.64 | 4.7 s ± 0.30 |
| Corridor 5 GHz-B | 70.88% ± 0.04 | 3.11 m ± 6.79 | 32.2 ms ± 1.60 | 70.57% ± 0.04 | 3.15 m ± 6.83 | 8.1 s ± 0.46 |
| Laboratory 2.4 GHz-A | 42.95% ± 0.10 | 1.75 m ± 2.00 | 29.8 ms ± 1.04 | 42.67% ± 0.09 | 1.75 m ± 1.99 | 0.5 s ± 0.01 |
| Laboratory 2.4 GHz-B | 74.79% ± 0.07 | 0.77 m ± 1.64 | 30.3 ms ± 1.18 | 74.30% ± 0.07 | 0.78 m ± 1.66 | 2.9 s ± 0.11 |
| Laboratory 5 GHz-A | 46.79% ± 0.07 | 1.42 m ± 1.70 | 29.1 ms ± 1.28 | 46.31% ± 0.06 | 1.43 m ± 1.69 | 0.6 s ± 0.04 |
| Laboratory 5 GHz-B | 71.11% ± 0.05 | 0.94 m ± 1.81 | 30.7 ms ± 2.47 | 70.63% ± 0.07 | 0.95 m ± 1.82 | 2.7 s ± 0.12 |
| Dataset | KNN | AdaBoost + C4.5 | ||||
|---|---|---|---|---|---|---|
| Accuracy | Error Distance | Training Time | Accuracy | Error Distance | Training Time | |
| Corridor 2.4 GHz-A | 94.94% ± 0.05 | 0.74 m ± 4.87 | 30.5 ms ± 1.47 | 92.05% ± 0.13 | 1.16 m ± 5.84 | 53.2 s ± 2.70 |
| Corridor 2.4 GHz-B | 93.69% ± 0.02 | 1.10 m ± 6.48 | 30.3 ms ± 1.53 | 91.14% ± 0.09 | 1.64 m ± 7.82 | 55.7 s ± 2.62 |
| Corridor 5 GHz-A | 99.11% ± 0.01 | 0.17 m ± 2.65 | 36.6 ms ± 2.06 | 97.91% ± 0.03 | 0.40 m ± 3.84 | 127.1 s ± 5.54 |
| Corridor 5 GHz-B | 97.76% ± 0.01 | 0.36 m ± 3.26 | 36.4 ms ± 1.53 | 95.58% ± 0.05 | 0.73 m ± 4.59 | 151.8 s ± 7.37 |
| Laboratory 2.4 GHz-A | 73.11% ± 0.08 | 0.94 m ± 1.87 | 29.3 ms ± 1.54 | 68.60% ± 0.21 | 1.09 m ± 1.97 | 64.7 s ± 3.84 |
| Laboratory 2.4 GHz-B | 89.13% ± 0.05 | 0.40 m ± 1.39 | 29.2 ms ± 1.08 | 87.14% ± 0.14 | 0.48 m ± 1.51 | 44.1 s ± 2.48 |
| Laboratory 5 GHz-A | 86.86% ± 0.05 | 0.44 m ± 1.32 | 30.6 ms ± 1.59 | 82.24% ± 0.12 | 0.59 m ± 1.48 | 63.5 s ± 3.01 |
| Laboratory 5 GHz-B | 94.29% ± 0.02 | 0.19 m ± 0.98 | 30.1 ms ± 1.44 | 90.66% ± 0.11 | 0.33 m ± 1.28 | 47.9 s ± 2.72 |
| Dataset | KNN | AdaBoost + C4.5 | ||||
|---|---|---|---|---|---|---|
| Accuracy | Error Distance | Training Time | Accuracy | Error Distance | Training Time | |
| Corridor 2.4 GHz-A | 97.14% ± 0.03 | 0.39 m ± 3.31 | 36.8 ms ± 1.06 | 94.99% ± 0.09 | 0.74 m ± 4.36 | 52.2 s ± 4.76 |
| Corridor 2.4 GHz-B | 96.19% ± 0.03 | 0.78 m ± 5.69 | 37.5 ms ± 1.73 | 94.15% ± 0.04 | 1.22 m ± 6.88 | 54.1 s ± 4.68 |
| Corridor 5 GHz-A | 99.36% ± 0.01 | 0.09 m ± 1.70 | 46.6 ms ± 2.66 | 98.35% ± 0.03 | 0.26 m ± 2.82 | 120.4 s ± 13.2 |
| Corridor 5 GHz-B | 98.69% ± 0.01 | 0.13 m ± 1.61 | 46.0 ms ± 2.66 | 97.36% ± 0.03 | 0.26 m ± 2.11 | 126.0 s ± 15.8 |
| Laboratory 2.4 GHz-A | 82.87% ± 0.08 | 0.50 m ± 1.30 | 39.5 ms ± 3.23 | 79.39% ± 0.08 | 0.61 m ± 1.42 | 67.0 s ± 3.52 |
| Laboratory 2.4 GHz-B | 95.36% ± 0.05 | 0.15 m ± 0.86 | 39.3 ms ± 2.25 | 94.98% ± 0.07 | 0.17 m ± 0.89 | 36.6 s ± 2.04 |
| Laboratory 5 GHz-A | 90.47% ± 0.04 | 0.27 m ± 0.96 | 39.3 ms ± 2.41 | 86.37% ± 0.13 | 0.38 m ± 1.08 | 64.3 s ± 4.48 |
| Laboratory 5 GHz-B | 96.76% ± 0.03 | 0.11 m ± 0.74 | 40.2 ms ± 1.62 | 94.04% ± 0.08 | 0.19 m ± 0.93 | 41.7 s ± 1.78 |
| Dataset | Training Size | Accuracy | Error Distance | Training Time | Precision | Recall | F-Measure | ROC Area |
|---|---|---|---|---|---|---|---|---|
| Corridor 2.4 GHz-A | 5% | 43.44% ± 0.14 | 9.31 m ± 13.61 | 25.6 ms ± 5.04 | 0.466 | 0.434 | 0.426 | 0.710 |
| 8% | 72.24% ± 0.11 | 4.04 m ± 9.93 | 25.2 ms ± 1.12 | 0.729 | 0.722 | 0.719 | 0.857 | |
| 10% | 89.66% ± 0.08 | 1.53 m ± 6.43 | 25.9 ms ± 1.28 | 0.897 | 0.897 | 0.894 | 0.947 | |
| 20% | 93.06% ± 0.08 | 1.00 m ± 5.22 | 27.2 ms ± 1.06 | 0.931 | 0.931 | 0.931 | 0.964 | |
| 40% | 95.24% ± 0.04 | 0.67 m ± 4.32 | 29.2 ms ± 0.96 | 0.953 | 0.952 | 0.951 | 0.976 | |
| 60% | 96.25% ± 0.04 | 0.52 m ± 3.78 | 30.1 ms ± 1.42 | 0.963 | 0.963 | 0.963 | 0.981 | |
| 80% | 96.84% ± 0.04 | 0.44 m ± 3.52 | 31.9 ms ± 1.17 | 0.969 | 0.969 | 0.968 | 0.984 | |
| Corridor 5 GHz-A | 5% | 46.31% ± 0.04 | 9.30 m ± 14.11 | 25.8 ms ± 6.43 | 0.507 | 0.464 | 0.461 | 0.725 |
| 8% | 77.79% ± 0.05 | 3.43 m ± 9.52 | 26.0 ms ± 1.05 | 0.788 | 0.788 | 0.775 | 0.885 | |
| 10% | 97.17% ± 0.03 | 0.46 m ± 3.74 | 26.1 ms ± 1.31 | 0.972 | 0.972 | 0.971 | 0.986 | |
| 20% | 98.25% ± 0.01 | 0.27 m ± 2.88 | 28.8 ms ± 1.20 | 0.983 | 0.983 | 0.982 | 0.991 | |
| 40% | 98.88% ± 0.01 | 0.16 m ± 2.22 | 31.4 ms ± 1.73 | 0.989 | 0.989 | 0.988 | 0.994 | |
| 60% | 99.11% ± 0.01 | 0.13 m ± 1.97 | 35.3 ms ± 1.49 | 0.991 | 0.991 | 0.991 | 0.995 | |
| 80% | 99.32% ± 0.01 | 0.10 m ± 1.84 | 37.9 ms ± 0.90 | 0.993 | 0.993 | 0.993 | 0.997 | |
| Laboratory 2.4 GHz-B | 5% | 42.97% ± 0.18 | 1.73 m ± 2.13 | 25.3 ms ± 5.09 | 0.434 | 0.431 | 0.421 | 0.706 |
| 8% | 69.33% ± 0.13 | 0.97 m ± 1.86 | 24.9 ms ± 0.82 | 0.696 | 0.692 | 0.688 | 0.841 | |
| 10% | 87.15% ± 0.11 | 0.41 m ± 1.31 | 25.7 ms ± 1.29 | 0.872 | 0.872 | 0.871 | 0.934 | |
| 20% | 90.96% ± 0.05 | 0.29 m ± 1.12 | 27.0 ms ± 2.12 | 0.910 | 0.910 | 0.9.09 | 0.953 | |
| 40% | 93.46% ± 0.06 | 0.21 m ± 0.98 | 29.4 ms ± 1.15 | 0.935 | 0.935 | 0.934 | 0.966 | |
| 60% | 94.43% ± 0.05 | 0.18 m ± 0.92 | 29.9 ms ± 1.26 | 0.944 | 0.944 | 0.944 | 0.971 | |
| 80% | 95.08% ± 0.10 | 0.16 m ± 0.87 | 31.1 ms ± 1.18 | 0.950 | 0.950 | 0.950 | 0.974 | |
| Laboratory 5 GHz-B | 5% | 44.29% ± 0.16 | 1.77 m ± 2.19 | 24.8 ms ± 2.41 | 0.453 | 0.443 | 0.428 | 0.712 |
| 8% | 71.94% ± 0.17 | 0.88 m ± 1.76 | 25.7 ms ± 1.56 | 0.725 | 0.719 | 0.716 | 0.855 | |
| 10% | 91.04% ± 0.09 | 0.28 m ± 0.98 | 25.7 ms ± 1.21 | 0.911 | 0.910 | 0.908 | 0.954 | |
| 20% | 93.67% ± 0.04 | 0.20 m ± 0.96 | 27.2 ms ± 1.32 | 0.937 | 0.937 | 0.935 | 0.968 | |
| 40% | 95.20% ± 0.05 | 0.17 m ± 0.89 | 29.2 ms ± 1.32 | 0.951 | 0.951 | 0.950 | 0.975 | |
| 60% | 95.72% ± 0.04 | 0.16 m ± 0.88 | 30.2 ms ± 1.11 | 0.957 | 0.957 | 0.957 | 0.978 | |
| 80% | 95.92% ± 0.07 | 0.15 m ± 0.88 | 31.5 ms ± 1.11 | 0.959 | 0.959 | 0.958 | 0.979 |
| Dataset | Two Shortest Distances between Train and Test Point | Error Distance ± std |
|---|---|---|
| Corridor 2.4 GHz-A | 1.75 m/5.03 m | 5.11 m ± 12.78 |
| Corridor 5 GHz-A | 1.75 m/5.03 m | 4.75 m ± 9.23 |
| Laboratory 2.4 GHz-B | 0.5 m/1.5 m | 2.32 m ± 1.39 |
| Laboratory 5 GHz-B | 0.5 m/1.5 m | 2.09 m ± 1.20 |
| Research Work | Algorithm | Data | APs | RL | Distance between RL | Error Distance | Evaluation Points |
|---|---|---|---|---|---|---|---|
| [22] | KPCA, Clustering and Maximum Likelihood | RSS | 14 | 115 | 2 m | 1.76 m | Independent |
| [23] | KNN based on Spearman distance | RSS | 4 | 400 | 0.5 m | 3.25 m | Independent |
| [25] | WKNN | RSS | 1 | 406 | 0.25 m | 1.69 m | Independent |
| [46] | Random Forest | CSI amplitude | 4 | 25 | 1 m | 0.17 m | Training |
| [28] | KNN | CSI amplitude | 2 | 19 | 1.5–2 m | 0.98 m | Training |
| [26] | Deep network | CSI amplitude | 1 | 50 | 0.5 m | 0.95 m | Independent |
| [47] | Regression with deep learning | CSI amplitude | 1 | 15 | 1.2 m | 0.97 m | Independent |
| [32] | Lateration | CSI amplitude and AoA | 3, 4 and 5 | 55 | 0.5–2 m | 1.9, 0.8 and 0.6 m | Independent |
| [29] | Neural Network | CSI phase and PCA | 1 | 25 | 1 m | 1.43 m | Independent |
| [30] | Bayesian classification | CSI amplitude and phase | 1 | 25 | 0.8 m | 0.5 m | Independent |
| [35] | WKNN | CSI amplitude and RSS | 1 | 138 | 0.5 m | 1.79 m | Independent |
| This work | KNN | CSI Amplitude and RSS | 1 | 30 | 1 m | 0.11 m 2.09 m | Training Independent |
| 38 | 1.2 and 3.2 m | 0.09 m 4.75 m | Training Independent |
© 2020 by the authors. Licensee MDPI, Basel, Switzerland. This article is an open access article distributed under the terms and conditions of the Creative Commons Attribution (CC BY) license (http://creativecommons.org/licenses/by/4.0/).
Share and Cite
Sánchez-Rodríguez, D.; Quintana-Suárez, M.A.; Alonso-González, I.; Ley-Bosch, C.; Sánchez-Medina, J.J. Fusion of Channel State Information and Received Signal Strength for Indoor Localization Using a Single Access Point. Remote Sens. 2020, 12, 1995. https://doi.org/10.3390/rs12121995
Sánchez-Rodríguez D, Quintana-Suárez MA, Alonso-González I, Ley-Bosch C, Sánchez-Medina JJ. Fusion of Channel State Information and Received Signal Strength for Indoor Localization Using a Single Access Point. Remote Sensing. 2020; 12(12):1995. https://doi.org/10.3390/rs12121995
Chicago/Turabian StyleSánchez-Rodríguez, David, Miguel A. Quintana-Suárez, Itziar Alonso-González, Carlos Ley-Bosch, and Javier J. Sánchez-Medina. 2020. "Fusion of Channel State Information and Received Signal Strength for Indoor Localization Using a Single Access Point" Remote Sensing 12, no. 12: 1995. https://doi.org/10.3390/rs12121995
APA StyleSánchez-Rodríguez, D., Quintana-Suárez, M. A., Alonso-González, I., Ley-Bosch, C., & Sánchez-Medina, J. J. (2020). Fusion of Channel State Information and Received Signal Strength for Indoor Localization Using a Single Access Point. Remote Sensing, 12(12), 1995. https://doi.org/10.3390/rs12121995

